The Effect of Competitive Level and Gender on the Interval Speed Characteristics and Pacing Strategies of High-Level 100 m Backstroke Athletes in China
Abstract
1. Introduction
2. Methods
2.1. Participants
2.2. Data Collection
2.3. Study Variables
2.4. Statistical Analysis
3. Results
3.1. Participant Information
3.2. Interval Speed Characteristics
3.3. Pacing Strategy Characteristics by Competitive Level and Gender
4. Discussion
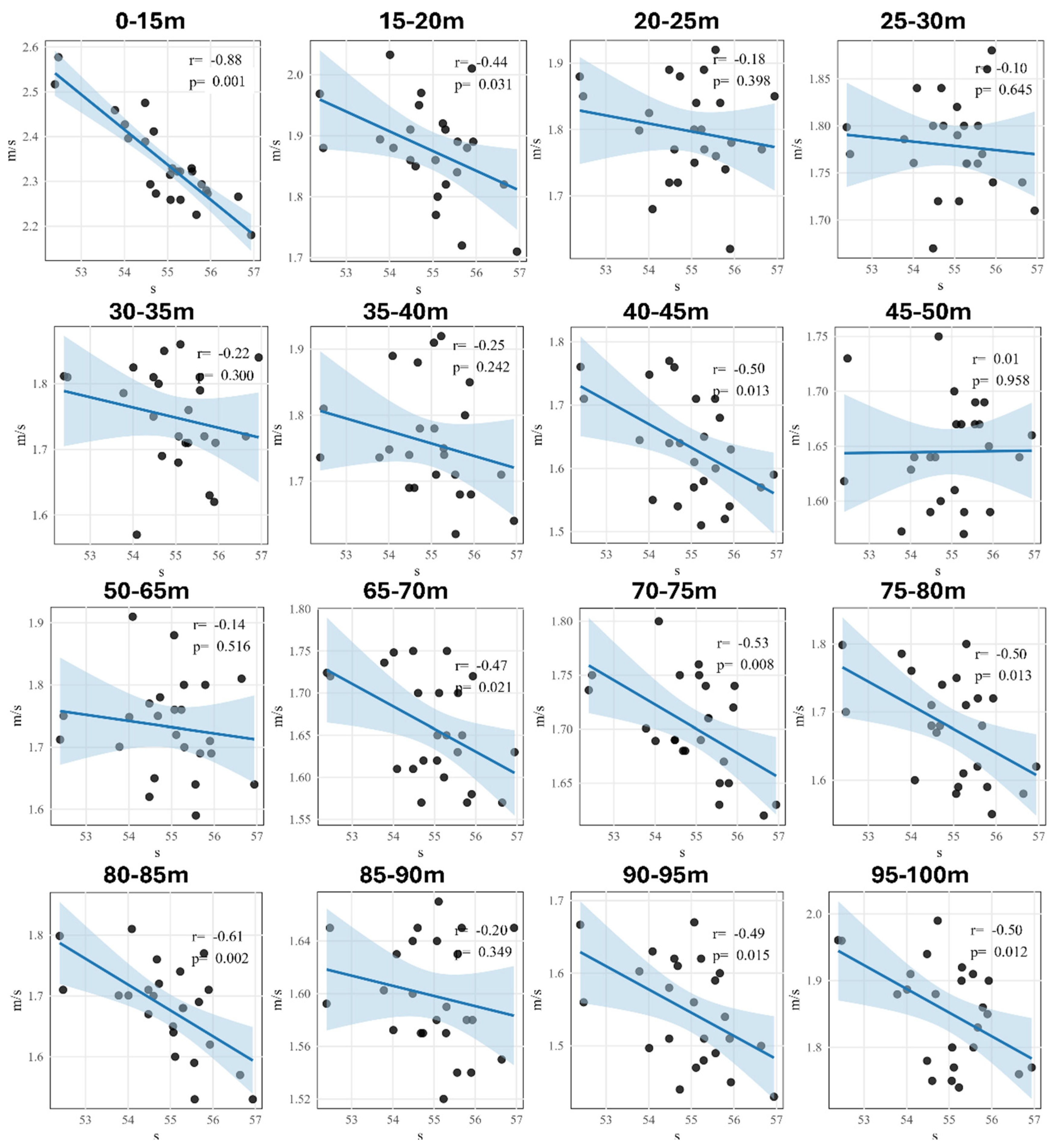
4.1. Correlation Between Interval Speed and Total Performance
4.2. Interaction Between Gender and Competitive Level on Pacing Strategy
4.3. Effect of Competitive Level on Speed Distribution and Pacing Strategy
4.4. Effect of Gender on Speed Distribution and Pacing Strategy
4.5. Study Limitations
5. Conclusions
Supplementary Materials
Author Contributions
Funding
Institutional Review Board Statement
Informed Consent Statement
Data Availability Statement
Acknowledgments
Conflicts of Interest
References
- Lipińska, P.; Allen, S.V.; Hopkins, W.G. Modeling parameters that characterize pacing of elite female 800-m freestyle swimmers. Eur. J. Sport Sci. 2016, 16, 287–292. [Google Scholar] [CrossRef] [PubMed]
- Abbiss, C.R.; Laursen, P.B. Describing and understanding pacing strategies during athletic competition. Sports Med. 2008, 38, 239–252. [Google Scholar] [CrossRef]
- De Koning, J.J.; Foster, C.; Lucia, A.; Bobbert, M.F.; Hettinga, F.J.; Porcari, J.P. Using modeling to understand how athletes in different disciplines solve the same problem: Swimming versus running versus speed skating. Int. J. Sports Physiol. Perform. 2011, 6, 276–280. [Google Scholar] [CrossRef]
- Filipas, L.; La Torre, A.; Hanley, B. Pacing Profiles of Olympic and IAAF World Championship Long-Distance Runners. J. Strength Cond. Res. 2021, 35, 1134–1140. [Google Scholar] [CrossRef] [PubMed]
- Hettinga, F.J.; Edwards, A.M.; Hanley, B. The science behind competition and winning in athletics: Using world-level competition data to explore pacing and tactics. Front. Sports Act. Living. 2019, 1, 11. [Google Scholar] [CrossRef] [PubMed]
- Mytton, G.J.; Archer, D.T.; Turner, L.; Skorski, S.; Renfree, A.; Thompson, K.G.; Gibson, A.S.C. Increased variability of lap speeds: Differentiating medalists and nonmedalists in middle-distance running and swimming events. Int. J. Sport. Physiol. 2015, 10, 369–373. [Google Scholar] [CrossRef] [PubMed]
- Tucker, R.; Noakes, T.D. The physiological regulation of pacing strategy during exercise: A critical review. Br. J. Sports Med. 2009, 43, e1. [Google Scholar] [CrossRef]
- Li, X.; Wang, H.; Huang, L.; Liu, M.; Lin, X. Effect of Distance and Gender on Pacing Strategy in World Elite Front Crawl Swimmers. China Sport Sci. Technol. 2025, 61, 3–12. [Google Scholar] [CrossRef]
- Li, J.; Shengru, Z.; Xuhong, L. Domestic and International Swimming Competitions: The Pacing Strategy Choices of 200m Individual Medley Athletes. Zhejiang Sports Sci. 2022, 44, 107–112. [Google Scholar]
- He, Z. Biomechanical differences in maximum snatch weight between elite and sub-elite weightlifters: A one-dimensional statistical parameter mapping study. Mol. Cell. Biomech. 2024, 21, 525. [Google Scholar] [CrossRef]
- Liu, G.; He, Z.; Ye, B.; Guo, H.; Pan, H.; Zhu, H.; Meng, G. Comparative analysis of the kinematic characteristics of lunge-style and squat-style jerk techniques in elite weightlifters. Life 2024, 14, 1086. [Google Scholar] [CrossRef]
- Eltoukhy, M.; Asfour, S.; Thompson, C.; Latta, L. Evaluation of the performance of digital video analysis of human motion: Dartfish tracking system. Int. J. Sci. Eng. Res. 2012, 3, 1–6. [Google Scholar]
- Ye, B.; Liu, G.; He, Z.; Xu, J.; Pan, H.; Zhu, H. Biomechanical mechanisms of anterior cruciate ligament injury in the jerk dip phase of clean and jerk: A case study of an injury event captured on-site. Heliyon 2024, 10, e31390. [Google Scholar] [CrossRef]
- Chiu, H.; Wang, C.; Cheng, K.B. The three-dimensional kinematics of a barbell during the snatch of Taiwanese weightlifters. J. Strength Cond. Res. 2010, 24, 1520–1526. [Google Scholar] [CrossRef]
- Koo, T.K.; Li, M.Y. A Guideline of Selecting and Reporting Intraclass Correlation Coefficients for Reliability Research. J. Chiropr. Med. 2016, 15, 155–163. [Google Scholar] [CrossRef] [PubMed]
- Lara, B.; Juan, D.C. Pacing strategies of 1500 m freestyle swimmers in the world championships according to their final position. Int. J. Environ. Res. Public Health 2021, 18, 7559. [Google Scholar] [CrossRef]
- Portney, L.G.; Watkins, M.P. Foundations of Clinical Research: Applications to Practice; Pearson/Prentice Hall: Upper Saddle River, NJ, USA, 2009. [Google Scholar]
- Cohen, J. A Power Primer. Psychol. Bull. 1992, 112, 155–159. [Google Scholar] [CrossRef] [PubMed]
- Ailjeg, K.; Leko, G.; Mikulić, P. Situational success in 100-m backstroke event at the 2004 and 2008 European Swimming Championships. Stroke 2011, 3, 674. [Google Scholar]
- González-Ravé, J.M.; González-Mohino, F.; Hermosilla Perona, F.; Rodrigo-Carranza, V.; Yustres, I.; Pyne, D.B. Biomechanical, Physiological and Anthropometric Determinants of Backstroke Swimming Performance: A Systematic Review. Sports Med. Open. 2025, 11, 68. [Google Scholar] [CrossRef] [PubMed]
- Gao, Q.; He, Z.; Liu, G.; Jin, X.; Zhu, H. Phase-specific determinants of 100 m freestyle performance in elite swimmers. Sci. Rep. 2025, 15, 19394. [Google Scholar] [CrossRef] [PubMed]
- Li, M.; Liu, H.; Gao, J. Analysis of Factors Affecting the Effectiveness of Freestyle Turn in High-Level Swimmers in China. China Sport Sci. Technol. 2019, 55, 29–33. [Google Scholar] [CrossRef]
- Abbiss, C.R.; Laursen, P.B. Models to explain fatigue during prolonged endurance cycling. Sports Med. 2005, 35, 865–898. [Google Scholar] [CrossRef]
- Barbosa, T.M.; Bragada, J.A.; Reis, V.M.; Marinho, D.A.; Carvalho, C.; Silva, A.J. Energetics and biomechanics as determining factors of swimming performance: Updating the state of the art. J. Sci. Med. Sport 2010, 13, 262–269. [Google Scholar] [CrossRef]
- Paradisis, G.P. Reaction time and performance in the short sprints. New Stud. Athl. 2013, 28, 95–103. [Google Scholar]
- Zhang, Y.; Pan, X.; Jin, X.; Liu, G. Analysis of Interval Speed Characteristics in High-Level Male 100m Freestyle Swimmers in China. Zhejiang Sports Sci. 2025, 47, 86–93. [Google Scholar]
- Trboljevac, I.; Mijalković, S.; Djurović, M. Differences in decreasing of swimming pace in elite swimmers in the 100 m backstroke discipline. J. Anthropol. Sport Phys. Educ. 2023, 7, 3–5. [Google Scholar]
- Jones, J.V.; Pyne, D.B.; Haff, G.G.; Newton, R.U. Comparison between elite and subelite swimmers on dry land and tumble turn leg extensor force-time characteristics. J. Strength Cond. Res. 2018, 32, 1762–1769. [Google Scholar] [CrossRef] [PubMed]
- Foster, C.; Schrager, M.; Snyder, A.C.; Thompson, N.N. Pacing strategy and athletic performance. Sports Med. 1994, 17, 77–85. [Google Scholar] [CrossRef]
- He, Z.; Liu, G.; Zhang, B.; Ye, B.; Zhu, H. Impact of specialized fatigue and backhand smash on the ankle biomechanics of female badminton players. Sci. Rep. 2024, 14, 10282. [Google Scholar] [CrossRef] [PubMed]
- He, Z.; Sun, G.; Zhu, H.; Ye, B.; Zheng, Z.; He, X.; Pan, H. Effects of different peripheral fatigue protocol on lower limb biomechanical changes during landing and its impact on the risk of anterior cruciate ligament injury: A systematic review. Front. Bioeng. Biotechnol. 2025, 13, 1587573. [Google Scholar] [CrossRef]
- Bishop, D.; Bonetti, D.; Dawson, B. The influence of pacing strategy on VO2 and supramaximal kayak performance. Med. Sci. Sports Exerc. 2002, 34, 1041–1047. [Google Scholar] [CrossRef] [PubMed]




| Male | Female | |||
|---|---|---|---|---|
| Result/s | Elite | Sub-Elite | Elite | Sub-Elite |
| 54.15 ± 0.89 | 55.74 ± 0.56 | 59.79 ± 0.62 | 61.88 ± 0.49 | |
| Sample size per group | 12 | 12 | 12 | 12 |
| Height/m | 1.87 ± 0.04 | 1.85 ± 0.03 | 1.74 ± 0.07 | 1.73 ± 0.06 |
| Weight/kg | 78.5 ± 2.4 | 76.8 ± 2.6 | 65.5 ± 1.8 | 63.5 ± 2.6 |
| Male | Female | Gender Effect | Competitive Level Effect | Interaction Effect | ||||||
|---|---|---|---|---|---|---|---|---|---|---|
| Elite | Sub-Elite | Elite | Sub-Elite | |||||||
| M ± SD | M ± SD | M ± SD | M ± SD | p | p | p | ||||
| 0–15 m | 2.40 ± 0.10 | 2.28 ± 0.05 | 2.1 ± 0.06 | 2.0 ± 0.05 | <0.001 | 0.838 | <0.001 | 0.406 | 0.603 | 0.006 |
| 15–20 m | 1.90 ± 0.07 | 1.85 ± 0.08 | 1.72 ± 0.06 | 1.67 ± 0.06 | <0.001 | 0.649 | 0.020 | 0.118 | 0.919 | 0.001 |
| 20–25 m | 1.80 ± 0.07 | 1.8 ± 0.08 | 1.68 ± 0.04 | 1.64 ± 0.03 | <0.001 | 0.597 | 0.213 | 0.035 | 0.185 | 0.04 |
| 25–30 m | 1.78 ± 0.05 | 1.78 ± 0.05 | 1.65 ± 0.05 | 1.59 ± 0.03 | <0.001 | 0.768 | 0.006 | 0.157 | 0.029 | 0.103 |
| 30–35 m | 1.76 ± 0.08 | 1.74 ± 0.08 | 1.62 ± 0.04 | 1.57 ± 0.05 | <0.001 | 0.609 | 0.061 | 0.077 | 0.364 | 0.019 |
| 35–40 m | 1.78 ± 0.08 | 1.73 ± 0.09 | 1.62 ± 0.04 | 1.58 ± 0.07 | <0.001 | 0.567 | 0.046 | 0.087 | 0.764 | 0.002 |
| 40–45 m | 1.66 ± 0.09 | 1.61 ± 0.07 | 1.57 ± 0.05 | 1.47 ± 0.05 | <0.001 | 0.458 | <0.001 | 0.283 | 0.220 | 0.034 |
| 45–50 m | 1.64 ± 0.06 | 1.65 ± 0.04 | 1.49 ± 0.07 | 1.44 ± 0.06 | <0.001 | 0.715 | 0.216 | 0.035 | 0.153 | 0.046 |
| 50–65 m | 1.75 ± 0.08 | 1.71 ± 0.07 | 1.61 ± 0.04 | 1.55 ± 0.08 | <0.001 | 0.558 | 0.019 | 0.119 | 0.614 | 0.006 |
| 65–70 m | 1.67 ± 0.06 | 1.65 ± 0.06 | 1.59 ± 0.05 | 1.53 ± 0.08 | <0.001 | 0.402 | 0.030 | 0.103 | 0.387 | 0.017 |
| 70–75 m | 1.72 ± 0.04 | 1.68 ± 0.04 | 1.58 ± 0.03 | 1.52 ± 0.05 | <0.001 | 0.768 | <0.001 | 0.286 | 0.446 | 0.590 |
| 75–80 m | 1.70 ± 0.07 | 1.65 ± 0.08 | 1.56 ± 0.05 | 1.5 ± 0.05 | <0.001 | 0.594 | 0.003 | 0.181 | 0.969 | 0.001 |
| 80–85 m | 1.71 ± 0.05 | 1.64 ± 0.08 | 1.56 ± 0.05 | 1.49 ± 0.07 | <0.001 | 0.620 | <0.001 | 0.246 | 0.885 | 0.001 |
| 85–90 m | 1.61 ± 0.03 | 1.59 ± 0.05 | 1.49 ± 0.05 | 1.45 ± 0.07 | <0.001 | 0.631 | 0.077 | 0.070 | 0.598 | 0.006 |
| 90–95 m | 1.58 ± 0.07 | 1.52 ± 0.06 | 1.43 ± 0.06 | 1.39 ± 0.06 | <0.001 | 0.583 | 0.006 | 0.162 | 0.544 | 0.008 |
| 95–100 m | 1.87 ± 0.08 | 1.83 ± 0.07 | 1.63 ± 0.05 | 1.63 ± 0.08 | <0.001 | 0.726 | 0.346 | 0.020 | 0.337 | 0.021 |
| Male | Female | Gender Effect | Competitive Level Effect | Interaction Effect | ||||||
|---|---|---|---|---|---|---|---|---|---|---|
| Elite | Sub-Elite | Elite | Sub-Elite | |||||||
| M ± SD | M ± SD | M ± SD | M ± SD | p | p | p | ||||
| 0–15 m | 135.36 ± 4.51 | 131.87 ± 2.12 | 129.66 ± 3.27 | 128.07 ± 3.42 | <0.001 | 0.343 | 0.014 | 0.13 | 0.341 | 0.021 |
| 15–20 m | 107.32 ± 3.39 | 106.88 ± 4.64 | 106.09 ± 3.35 | 106.76 ± 3.48 | 0.535 | 0.009 | 0.914 | 0.001 | 0.609 | 0.006 |
| 20–25 m | 101.39 ± 3.47 | 103.86 ± 4.48 | 103.93 ± 2.23 | 104.7 ± 2.13 | 0.076 | 0.070 | 0.089 | 0.064 | 0.367 | 0.019 |
| 25–30 m | 100.62 ± 3.01 | 102.51 ± 2.96 | 102.26 ± 2.81 | 101.56 ± 1.96 | 0.664 | 0.004 | 0.454 | 0.013 | 0.105 | 0.059 |
| 30–35 m | 99.23 ± 4.26 | 100.5 ± 4.65 | 100.25 ± 2.05 | 100.38 ± 3.23 | 0.676 | 0.004 | 0.510 | 0.010 | 0.594 | 0.007 |
| 35–40 m | 100.6 ± 4.54 | 100.14 ± 4.61 | 100.11 ± 2.77 | 101.27 ± 4.17 | 0.787 | 0.002 | 0.769 | 0.002 | 0.493 | 0.011 |
| 40–45 m | 93.78 ± 4.59 | 92.84 ± 3.9 | 97.1 ± 2.39 | 94.06 ± 3.53 | 0.038 | 0.094 | 0.068 | 0.074 | 0.329 | 0.022 |
| 45–50 m | 92.74 ± 3.16 | 95.11 ± 2.78 | 91.93 ± 4.95 | 92.11 ± 3.45 | 0.080 | 0.068 | 0.236 | 0.032 | 0.306 | 0.024 |
| 50–65 m | 98.91 ± 4.84 | 98.9 ± 4.03 | 99.4 ± 2.64 | 98.94 ± 5.19 | 0.833 | 0.001 | 0.851 | 0.001 | 0.857 | 0.001 |
| 65–70 m | 94.32 ± 3.23 | 95.05 ± 3.3 | 97.99 ± 3.18 | 97.66 ± 4.73 | 0.005 | 0.167 | 0.853 | 0.001 | 0.617 | 0.006 |
| 70–75 m | 97.24 ± 2.55 | 97.02 ± 2.09 | 97.72 ± 2.24 | 97.13 ± 3.41 | 0.695 | 0.004 | 0.595 | 0.006 | 0.812 | 0.001 |
| 75–80 m | 96.18 ± 3.45 | 95.24 ± 4.07 | 96.44 ± 2.72 | 96.17 ± 3.06 | 0.541 | 0.009 | 0.534 | 0.009 | 0.731 | 0.003 |
| 80–85 m | 96.72 ± 2.48 | 94.84 ± 4.11 | 96.21 ± 2.51 | 95.32 ± 4.11 | 0.986 | 0.001 | 0.165 | 0.043 | 0.614 | 0.006 |
| 85–90 m | 90.76 ± 2.3 | 91.79 ± 3.26 | 91.94 ± 2.9 | 92.94 ± 4.67 | 0.242 | 0.031 | 0.308 | 0.024 | 0.983 | 0.001 |
| 90–95 m | 89.11 ± 4.12 | 87.53 ± 3.13 | 88.21 ± 2.96 | 88.67 ± 4.06 | 0.909 | 0.001 | 0.596 | 0.006 | 0.334 | 0.021 |
| 95–100 m | 105.72 ± 3.92 | 105.92 ± 3.31 | 100.75 ± 3.53 | 104.26 ± 4.6 | 0.005 | 0.166 | 0.105 | 0.059 | 0.147 | 0.047 |
Disclaimer/Publisher’s Note: The statements, opinions and data contained in all publications are solely those of the individual author(s) and contributor(s) and not of MDPI and/or the editor(s). MDPI and/or the editor(s) disclaim responsibility for any injury to people or property resulting from any ideas, methods, instructions or products referred to in the content. |
© 2025 by the authors. Licensee MDPI, Basel, Switzerland. This article is an open access article distributed under the terms and conditions of the Creative Commons Attribution (CC BY) license (https://creativecommons.org/licenses/by/4.0/).
Share and Cite
Shen, C.; He, Z.; Ye, B.; Zhu, H. The Effect of Competitive Level and Gender on the Interval Speed Characteristics and Pacing Strategies of High-Level 100 m Backstroke Athletes in China. Appl. Sci. 2025, 15, 11195. https://doi.org/10.3390/app152011195
Shen C, He Z, Ye B, Zhu H. The Effect of Competitive Level and Gender on the Interval Speed Characteristics and Pacing Strategies of High-Level 100 m Backstroke Athletes in China. Applied Sciences. 2025; 15(20):11195. https://doi.org/10.3390/app152011195
Chicago/Turabian StyleShen, Cuimei, Zhanyang He, Binyong Ye, and Houwei Zhu. 2025. "The Effect of Competitive Level and Gender on the Interval Speed Characteristics and Pacing Strategies of High-Level 100 m Backstroke Athletes in China" Applied Sciences 15, no. 20: 11195. https://doi.org/10.3390/app152011195
APA StyleShen, C., He, Z., Ye, B., & Zhu, H. (2025). The Effect of Competitive Level and Gender on the Interval Speed Characteristics and Pacing Strategies of High-Level 100 m Backstroke Athletes in China. Applied Sciences, 15(20), 11195. https://doi.org/10.3390/app152011195

