Next Article in Journal
Integrated Geophysical and Geochemical Surveys for Assessing Mineral Potential in the Xintianling Tungsten Deposit, Nanling Range, South China
Previous Article in Journal
Real-Time Prediction of S-Wave Accelerograms from P-Wave Signals Using LSTM Networks with Integrated Fragility-Based Structural Damage Alerts for Induced Seismicity
 
 
Font Type:
Arial Georgia Verdana
Font Size:
Aa Aa Aa
Line Spacing:
Column Width:
Background:
Article

Flow Stabilization and Velocity Uniformity in a Göttingen-Type Closed-Circuit Subsonic Wind Tunnel with an Expanded Test Section

Laboratory of Heat-Equipment Research and Testing, Lithuanian Energy Institute, Breslaujos Str. 3, LT-44403 Kaunas, Lithuania
*
Author to whom correspondence should be addressed.
Appl. Sci. 2025, 15(20), 11021; https://doi.org/10.3390/app152011021
Submission received: 18 September 2025 / Revised: 9 October 2025 / Accepted: 13 October 2025 / Published: 14 October 2025

Abstract

Flow stabilization and velocity uniformity in a Göttingen-type closed-circuit subsonic aerodynamic wind tunnel with an expanded test section are investigated in this study. Both experimental and numerical approaches were employed. The experiments were performed by using Laser Doppler Anemometry, Pitot tubes, and thermal anemometry. For numerical simulations, Reynolds-averaged Navier–Stokes simulations with a standard k-ε turbulence model were employed to evaluate flow characteristics in the velocity range of 0.05–20 m/s. The study shows that a properly contoured contraction nozzle suppresses inlet turbulence and ensures stable Reynolds-independent core flow. The contraction nozzle significantly accelerates and redistributes the flow, allowing rapid hydrodynamic stabilization and ensuring velocity measurements with high repeatability. These characteristics are inherent in a benchmark facility. Additionally, the study shows that the outlet-to-inlet diameter has the most prominent role in longitudinal velocity distribution in the test section. An optimal ratio of 1.10 was identified, stabilizing the pressure distribution and providing the most uniform longitudinal velocity profile. These findings offer geometry-dependent design guidelines for achieving high-quality measurements in Göttingen-type wind tunnels with expanded test sections and support accurate velocity measurement instrument calibration and aerodynamic testing.

1. Introduction

In many cases in scientific, engineering, and industrial fields, there is a need to test scaled-down real-life objects under laboratory conditions. When referring to aerodynamic phenomena, wind tunnels are inseparable from achieving the above-mentioned goal, enabling airflow simulation over an object and recreating the aerodynamic environment in a laboratory. These devices offer a controllable, repeatable, and adjustable flow environment. They are applicable across a wide range of fields, including aerospace, automotive, civil, and structural engineering, as well as biological research, sports science, and metrology. This diversity of applications necessitates variations in wind tunnel design, depending on the characteristics of the object under investigation. Research on wind tunnel performance, flow uniformity, calibration procedures, and measurement uncertainty remains an active field, as these factors directly affect the accuracy and reliability of experimental data. Recent studies have highlighted the importance of improved flow characterization and uncertainty quantification, particularly in the context of evolving testing standards and precision measurement requirements [1,2,3].
The canonical configuration of a wind tunnel components, listed in the order through which the airflow passes, is the settling chamber, contraction, test sections diffuser, and drive section. Application-specific adaptations in wind tunnel design involve modifications to component geometry such as lengths, scales, and shapes, as well as the selection and integration of flow conditioning devices, including screens, honeycombs, and turbulence grids. Additional considerations include the choice of flow circuit configuration (open- or closed-circuit), the design of the test section (open-type or closed-type), and incorporation of environmental conditioning systems such as temperature control, low-pressure reservoirs for altitude simulation, and spray nozzles for icing studies.
The length of the nozzle influences boundary layer development along the nozzle walls and into the test section, making it a critical parameter for achieving flow uniformity. As explained in the research by Kosiak et al. [4] and Kumar & Kumar [5], long nozzles provided uniform flow but with higher losses and thicker boundary layers [5]. Short nozzles had lower losses but more velocity variation and risk of flow separation [4]. Durmus found that the nozzle contraction length of 2 times the inlet hydraulic radius provided the most effective configuration in terms of flow uniformity and boundary layer thickness [6].
A contraction block is one of the critical components of a wind tunnel. Kao et al. investigated different types of contraction blocks and found that the octagonal cross-sectional shape offers the best performance, followed by circular and square shapes [7]. The converging angle of a contraction nozzle plays a critical role in governing boundary layer development, flow stability, and overall aerodynamic resistance. Li et al. showed that the stability of the radial flow velocity increases as the contraction ratio decreases [8]. However, to mitigate manufacturing complexity and cost, a contraction ratio of around 10 is commonly regarded as a practical compromise, providing high-quality flow in non-complex wind tunnel configurations. These findings are supported by Sabnis et al., who demonstrated that a converging angle of 15°, combined with a throat length equal to three times the outlet diameter, provides an optimal balance, minimizing flow resistance, reducing fluctuations, and generating a stable, extended flow core at low speeds [9].
Another key consideration in wind tunnel design is the selection between open-loop and closed-loop configurations. Open-loop tunnels offer simpler design, easier maintenance, and lower construction costs; however, they typically exhibit reduced flow stability and higher turbulence levels [10]. In contrast, closed-loop wind tunnels provide enhanced control and efficiency, enabling precise regulation of flow conditions while achieving significantly lower turbulence intensity and improved flow stability [11].
Additionally, wind tunnels may feature open or closed-type test sections, each leading to significant performance and application potential differences. Open test sections allow the flow to develop without confinement by the walls, thereby better approximating free-stream conditions encountered in real-world environments. However, they are more susceptible to ambient disturbances, jet boundary instabilities, and increased sensitivity to environmental conditions, which lead to non-uniform flow distributions [12].
In contrast, closed-test sections confine the flow within solid walls, enabling more precise control of airflow conditions and reducing external interferences. This configuration is advantageous for achieving high flow uniformity and measurement accuracy; however, it is more prone to blockage effects when inserting the test model (the device under test, DUT) inside, leading to flow distortion and pressure gradients [11].
Depending on the test section design, circular, rectangular, or octagonal cross-sections are the most commonly used in wind tunnels [13,14,15]. Circular cross-sections provide better flow homogeneity, enhancing measurement accuracy and reducing velocity variations compared to rectangular cross-sections [13]. Octagonal cross-section also shows better flow homogeneity as this shape enhances flow uniformity by minimizing corner effects [14]. Also, test sections may be larger than the inflow and outflow air pipes. They can be used where low wall interference, good optical access, or accommodation of bulky equipment outweighs the penalties in drive power and background turbulence [16].
As can be seen from the literature review, wind tunnel performance depends on several design and operational parameters that influence flow quality, stability, and metrological reliability. As wind tunnels are used for various purposes, one of which is the accuracy of reproduction and measurement of air velocity, flow stability, and boundary layer development, play a crucial role, and design elements of the wind tunnel must be carefully chosen to maintain these parameters. In this context, the specialized Göttingen-type closed-circuit subsonic aerodynamic wind tunnel (AWT) with an expanded test section located at the designated institute, the Laboratory of Heat Equipment Research and Testing at the Lithuanian Energy Institute (Figure 1) was adopted for tests.
In recent years, aerodynamic wind tunnels have been increasingly optimized and diversified to address a wide range of research problems—from metrological applications to automotive applications and emerging fields involving aerodynamics of small-scale and unmanned aircraft systems. Among these research directions, the state of the art of aerodynamic wind tunnels increasingly reflects the growing demand for accurate aerodynamic studies of small unmanned aerial vehicles (UAVs). Although many existing wind tunnels were initially designed for conventional industrial testing, their optimization and adaptation for UAV-scale flow conditions have become an important research topic due to the challenges posed by low-to-moderate Re and complex propeller–wake interactions. Achieving the necessary flow uniformity and precise control of boundary-layer behavior requires optimal CN geometries and advanced flow measurement methodologies [17,18]. Modern approaches employ CFD and AI-driven surrogate models to ensure geometry optimization and improve the accuracy of numerical results before physical testing [19,20]. From the experimental point of view, uncertainty quantification and cross-facility calibration frameworks are now essential to ensure data comparability between conventional wind tunnels and those meant for aerodynamic UAV testing [21]. Furthermore, for UAV testing, the design of the AWT test section is undoubtedly important for achieving necessary flow conditions and accurate measurements [22]. Recent studies demonstrate that integrating high-fidelity aero-structural optimization and adaptive testing can effectively extend the capabilities of existing facilities to UAV-scale experiments, thereby bridging the gap between classical aerodynamic research and emerging UAV technologies [23]. Therefore, optimizing such AWTs significantly expands the experimental capabilities for future UAV aerodynamic research.
This study employs a combined CFD and experimental investigation across a velocity range of 0.05 to 20 m/s. Results demonstrated that a properly contoured convergent nozzle (CN) not only suppresses inlet turbulence but also renders the core flow largely insensitive to Reynolds-number variation across the entire operating range. Under CN-stabilized conditions, an optimum outlet-to-inlet diameter ratio of 1.10 was identified for the mildly divergent test section, effectively suppressing flow separation. This constitutes the first quantitative, geometry-dependent design guideline that fulfills flow stability criteria for this type of AWT with an expanded test section.

2. Materials and Methods

2.1. Experimental Setup and Methodology

Experimental investigations were conducted in the above-described AWT designed to reproduce a wide range of air velocity conditions. It features a pipe test section and a rectangular measurement chamber to assess aerodynamic performance. The dimensions of the chamber are 1.0 × 1.0 × 0.9 m (width × height × length).
The AWT can generate air velocities ranging from 0.05 m/s to 40 m/s (extendable to 60 m/s). The velocity generation uncertainty, including contributions from flow stability and instrumentation, is estimated 8% at 0.05 m/s and decreases to 0.45% at 40 m/s. To ensure a uniform velocity profile across the test section, the system incorporates a CN with an inlet diameter of 1650 mm and an outlet diameter of 400 mm—a significant reduction in diameter results in a more uniform flow distribution by managing pressure gradients effectively. The nozzle was designed to straighten and smooth the airflow, reducing turbulence intensity before the flow enters the test section. This is a critical factor for achieving repeatable experimental results.
To further minimize flow disturbances, the AWT includes a section containing four stainless steel turbulence grids (flow straighteners) with varying mesh spacings. This configuration enables the AWT to achieve turbulence intensities as low as 0.5% over most of the operational velocity range. However, variations in turbulence intensity were observed with changes in Reynolds number at low velocities, particularly when the motors operated near their minimum frequency limit, leading to flow instabilities and increased fluctuations in turbulence intensity. Velocity distribution measurements were performed in the pipe section downstream of the CN, (Figure 1). The primary reference instrument was a Laser Doppler Anemometer (LDA)(ILA R&D GmbH, Germany), chosen for its high accuracy and non-intrusive nature. LDA has a measurement volume of (1.05 × 0.095) mm with the data acquisition system available to take samples in the order of 50 MHz. It has a measurement uncertainty of ±0.18% itself. Other factors depend on the application field and do not exceed the threshold of ±8% for 0.05 m/s and basically vary within ±0.5 % for the rest of the velocity range up to (30–40) m/s. Additional measurements were carried out using static Pitot tubes (SPT)(Testo, Germany) (of various tip diameters and lengths) for velocities above 2 m/s, and a thermal anemometer (TA)(Testo, Germany) for velocities below 2 m/s, particularly in regions downstream of the pipe outlet (placement hole for DUT in Figure 1) nd within the testing chamber. SPT (of approx. 6 mm) and TA (approx. 2 mm) being used have a larger measurement volume but are metrologically related to LDA with the specific uncertainty budget. SPT tube sensitivity depends on the differential pressure measuring system. The used system measures differential pressures from 0.001 Pa with the uncertainty in order of ±(0.003–0.03) Pa within the range of (0.15–20) Pa range. TA has a resolution of ±0.03 m/s and is capable to define the turbulence measures. When using these standard working meters (SPT and TA), the air velocity values were controlled by a secondary standard, such as an ultrasonic anemometer (UA). This was used to ensure the traceability of velocity value transfers when LDA could not be applied due to restrictions on optical access and particle-laden flow being unacceptable for TA measurements.
Secondary instruments (SPT, UA, and TA) were calibrated against LDA measurements, with correction factors applied to account for sources of error such as differential pressure variations, changes in air density, humidity effects, and temperature fluctuations. These environmental parameters were continuously monitored and controlled using calibrated reference instruments.
The velocity range selected for this study was between 0.05 m/s and 20 m/s, with expanded measurement uncertainties ranging from ±8% to ±0.5%, respectively. As no significant changes in the velocity distribution, flow field, or pressure field were observed at velocities above 20 m/s, experimental measurements and CFD simulations beyond this range were not performed. Experimental results were compared with numerical simulations to validate the computational model and to assess its capability in capturing the effects of adverse pressure gradients on flow development, particularly in the early stages before reaching a steady-state regime.

2.2. Computational Fluid Dynamics

The computational fluid dynamics (CFD) simulations of the single-phase airflow in the AWT were performed with a Finite Volume Method (FVM) based ANSYS Fluent 2019 R3 software (Ansys, Canonsburg, PA, USA). A steady-state Reynolds-Averaged Navier–Stokes (RANS) simulation approach was employed to capture the average air flow patterns. A workstation PC was used for CFD simulations. It had 2 CPU’s—Intel Xeon E5-2650v2 with 16 physical cores, and 128 GB RAM with a theoretical maximum memory bandwidth of 102.4 GB/s.

2.2.1. Governing Equations

The conservation of momentum of the airflow was governed by RANS equations, while the conservation of mass was governed by the continuity equation. Airflow was assumed to be an incompressible, Newtonian fluid, which was justified by the low Mach number and inherently Newtonian flow behavior.
The conservation of mass (continuity):
∇∙u = 0
The conservation of momentum:
ρ(u∙∇)u = ∇∙[−pI + (μ + μT) (∇u + (∇u)T)]
where ρ is air density, u and p are the time-averaged air velocity and pressure, ∇ is the nabla operator, I is the identity matrix, μ is a dynamic viscosity, μT is the eddy viscosity, T is a transpose operator. The two-equation standard k-ɛ turbulence model was used to close the system of equations. The choice of the model is justified by the high Reynolds number characteristic of the investigated airflow. Under such conditions, the flow exhibits thick, fully turbulent boundary layers, resolving fine near-wall details less critical than accurately capturing overall momentum transfer, and, therefore, the standard wall functions were also used in this study. The suitability of the chosen model for similar types of problems has been demonstrated in previous studies [3,5,14,15].

2.2.2. Boundary and Initial Conditions

At the inlet, the uniform airflow velocity was prescribed. The inlet hydraulic diameter was set to 1.65 m, and no-slip condition was prescribed at the walls, while the gauge pressure of 0 Pa was prescribed at the outlet boundary. As an initial condition, all dependent variable fields were set to zero.

2.2.3. Solver Settings

The segregated solver was used, with the pressure-velocity coupling handled by the Semi-Implicit Method for Pressure Linked Equations (SIMPLE) algorithm. The gradient was discretized by the least squares cell-based approach, pressure was discretized by the second order scheme, while the momentum, turbulent kinetic energy and turbulent dissipation rate were discretized by the second order upwind scheme. The convergence criteria for all scaled residuals: continuity, momentum and turbulence were set to 10−6.

2.2.4. Mesh

Several different mesh configurations were tested for mesh convergence with an increasing number of mesh elements: No.1: 1.66 × 106, No.2: 1.65 × 107. As k-ε model with wall functions is sensitive to y+ values, all meshes were generated, ensuring that most of the proximal wall regions had 50 < y+ < 80. It was found that mesh No.1 provided values of interest within the 0.5% difference; therefore, it was used as a basis for all other simulations involving the change in the downstream pipe diameter [3,5,14,15].

3. Results and Discussion

3.1. Velocity Distribution in AWT

Both numerically simulated and experimentally measured axial velocity at the centerline of an aerodynamic wind tunnel (AWT) are demonstrated in Figure 2. In the CN region −3 < x/D0 < 0, as the flow approaches the nozzle exit (at x/D0 ≈ 0), a significant acceleration occurs due to a pressure drop caused by the area reduction in this converging section. This leads to an increase in axial velocity, a known characteristic of CN. Immediately downstream of the nozzle, where the cross-section reaches a stable value, the boundary layer on the pipe wall is still developing. This explains the higher central velocity observed at 0 < x/D0 < 1. In the following UA measurement pipe region 1 < x/D0 < 5, the flow reaches a nearly uniform velocity, which indicates the establishment of a core region with minimal shear and turbulence.
The numerical simulation results almost perfectly capture the initial deceleration of the airflow when it enters the measurement chamber. The minor discrepancies observed at x/D0 ≈ 7 indicate the presence of flow disturbances in that area. However, these deviations remain within an acceptable error.
Vertical velocity profiles are given in Figure 3. To further validate the numerical simulations, the velocity profiles of x/D0 = 1 were compared at different streamwise locations. The experimentally measured and numerically simulated velocity profiles showed acceptable agreement in both cases, confirming the correct turbulence model choice for axial and cross-sectional flow characteristics. The agreement of numerical and experimental results is acceptable for using numerical results for analyzing the factors of stable flow distribution along the whole AWT.

3.2. The Convergent Nozzle Influence on the Flow Development

Figure 4 shows the normalized centerline velocity UC/UA along the streamwise direction x/D0, where UC is the velocity at the centerline of the AWT and UA is the mean cross-sectional velocity. The ratio between centerline velocity and mean velocity indicates the flatness of velocity profiles, which is an inherent parameter for the air velocity benchmark facility. The horizontal velocity distribution is given for a range of nominal flow velocities, from 0.05 m/s to 10 m/s, which are measured at x/D0 = 3. The velocity values correspond to Re range from 1270 to 255,000, respectively.
All nominal velocity cases show a similar distribution mechanism. The acceleration region is observed within the converging section, where the flow is compressed, and the velocity at the center increases. This velocity peak is observed in the x/D0 range from −1.4 to 1.6, which is caused by the combined effects of geometric contraction and the acceleration caused by the pressure gradient. Afterwards, the velocity rapidly decreases as the flow adjusts to the uniform diameter section of the pipe.
As the nominal velocity increases, the peak in the center velocity becomes less pronounced, and the velocity profiles tend to flatten more quickly. This trend can be explained by turbulence intensification with increasing Re. At lower nominal velocities (e.g., 0.05–0.2 m/s), viscous effects dominate, and the velocity profiles show a more parabolic distribution, which is observed from a less uniform distribution of a center velocity. In contrast, the flow stabilizes faster for higher velocities (5–10 m/s), and the center velocity remains nearly constant after the initial adjustment region of x/D0 = 0.
The relative velocity UC/UA plotted against the dimensionless parameter x / D 0 R e x 1 / 5 for different nominal velocities ranging from 1 m/s to 20 m/s are demonstrated in Figure 5. The parameter x / D 0 R e x 1 / 5 allows for comparing and highlighting the flow development at different velocities. Both cases with a CN and reference data for flow in a pipe at the same nominal velocities are compared.
The results highlight the significant impact of the CN on the flow stabilization process. In all cases, the presence of the nozzle causes a more uniform flow development than the pipe flow without a nozzle. The velocity profiles in the nozzle-assisted flows show lower velocity gradients, but a similar beginning of asymptotic behavior ( x / D 0 R e x 1 / 5 wise). The lower velocity gradient indicates a more stable and fully developed longitudinal velocity field over a shorter axial distance. In contrast, the reference pipe flow profiles show larger velocity gradients, particularly at lower x / D 0 R e x 1 / 5 . This enhanced stabilization effect is significant in metrology applications involving velocity measurement equipment, where a uniform and predictable flow profile is inherent for accuracy and measurement repeatability. The nozzle effectively preconditions the flow by accelerating and redistributing the velocity field before entering the measurement section, minimizing the influence of upstream disturbances. As shown, across varying inlet velocities, the CN consistently reduces the sensitivity of the flow regardless of Re, resulting in a more reliable and reproducible flow structure.

3.3. Flow Distribution Inside the Test Section

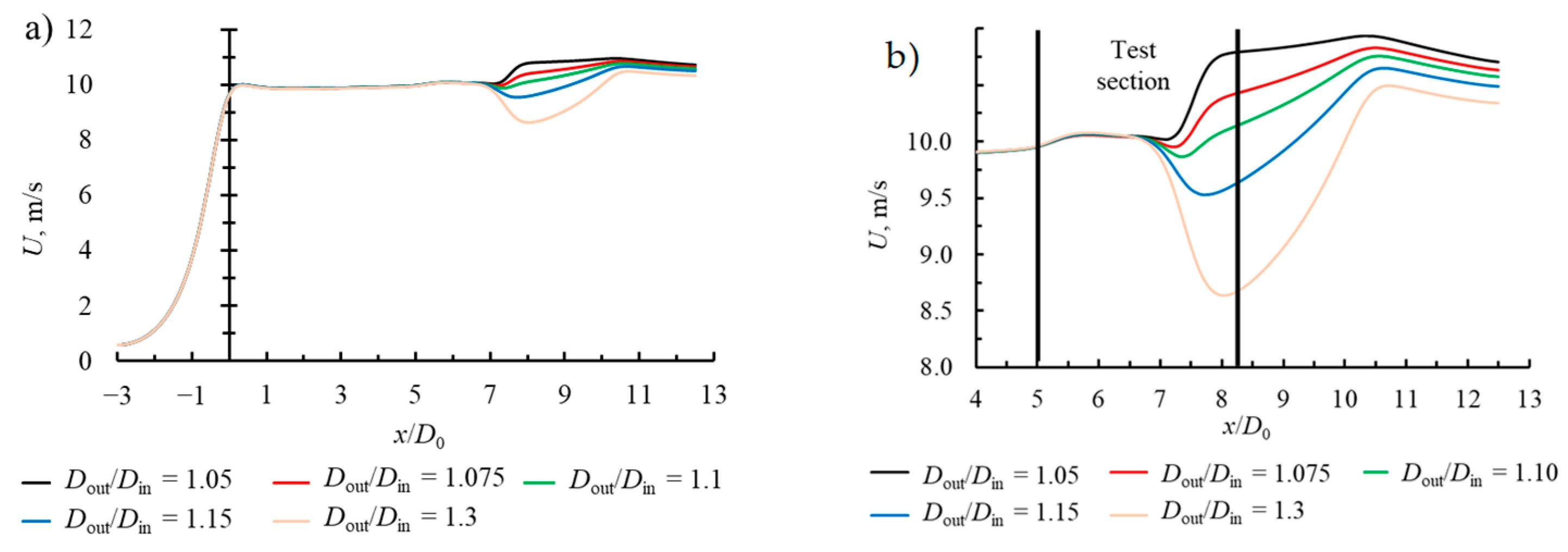
The flow stability along the AWT and the velocity and pressure distribution are presented in Figure 6 and Figure 7. The outlet (Dout) diameter is systematically varied, changing outlet-to-inlet ratio (Dout/Din) to study its effect on the axial velocity U and pressure distribution along the AWT centerline. The velocity distribution shown in Figure 6 reveals a consistent velocity increase within the nozzle, reaching a near-constant value inside the constant diameter (D0) pipe section. This is an effect of the CN, which was discussed in the previous section of this work. A characteristic adverse pressure gradient and velocity increase are observed in all cases immediately after flow enters the test section at x/D0 = 5, attributed to the abrupt expansion in cross-sectional area at the entrance to the test section. However, significant differences occur upon entering the test section depending on the outlet diameter. The velocity distribution along the centerline in the second half of the test section is governed by the pressure gradient (Figure 7), which is influenced by changes in cross-sectional area at the outlet of the test section.
The main differences occur at x/D0 = 6.5, where either an abrupt increase or decrease in velocity is observed, depending on the flow conditions. The abrupt velocity change is influenced by the pressure distribution and the outlet diameter Dout. As Dout increases, the recirculation zone formed at the fore wall becomes smaller in height with a weaker primary vortex. It increases the effective flow cross-section area, leading to a pressure drop and lower maximum velocity. If Dout is of comparable size with Din (Dout/Din = 1.05–1.1), a stagnation zone with sharp pressure increase is observed on the edge of the fore wall (Figure 8) indicating local velocity reduction, consequently, it reduces the efficient flow cross-section, leading to an increase in maximum velocity in the centerline (Figure 9). After the test section, the velocity is inversely proportional to Dout. It exhibits a high rate of decreases in the case of Dout/Din = 1.3 and stabilizes almost instantly after exiting the test section at lower Dout/Din.
This analysis is vital since a uniform center velocity distribution is essential for calibrating and testing the velocity meters. Based on these results, the outlet diameter was chosen as Dout = 440 mm, corresponding to Dout/Din = 1.1, as the centerline velocity remains the most uniform along the AWT. These effects collectively explain the observed trend of high centerline velocities at low expansion ratios and highlight the sensitivity of flow dynamics to geometric expansion characteristics. These effects are studied in the following section.
In Figure 9, the presented velocity contours at two different expansion ratios reveal the flow structure inside the test section and demonstrate the influence of the outlet diameter on the recirculation zones, flow uniformity, and centerline velocity distribution.
In both Dout/Din cases, a significant expansion from the inlet to the test section generates a strong adverse pressure gradient downstream of the contraction. It leads to the formation of recirculation zones at the bottom and upper walls of the test section. The streamlines near the walls show reversed flow patterns, indicating the flow separation. These recirculation zones constrain the expansion of the velocity core, resulting in a relatively constant velocity in the initial part of the test section (Figure 6).
As the flow progresses downstream, x/D0 ≈ 6.5—the pressure and velocity fields begin to diverge depending on the outlet geometry. In the case of x/D0 = 1.3, the expanded outlet increases the effective cross-sectional area, reducing the strength of the recirculation zone but also inducing a strong adverse pressure gradient. This results in a noticeable drop in centerline velocity and inefficient pressure recovery. In contrast, for x/D0 = 1.05, the smaller outlet area leads to a stagnation region at the outlet corner, creating a local pressure rise and funneling effect that accelerates the core flow and maintains higher centerline velocities.
These differences in outlet geometry give rise to distinct pressure loss characteristics. A larger expansion ratio increases turbulence and energy dissipation due to extended recirculation, resulting in higher pressure losses. On the other hand, the smallest expansion ratio preserves dynamic pressure but produces steep velocity gradients, which may introduce measurement uncertainties. The intermediate configuration (x/D0 = 1.1) offers a favorable balance, maintaining flow uniformity and minimizing pressure losses—making it particularly suitable for sensor calibration and flow characterization tasks. These findings align with the anticipated behavior of confined turbulent flows in AWT, underscoring the critical role of geometric parameters in optimizing flow stability for wind tunnel design. The presented results focus on the characterization of flow stability within the test section of the wind tunnel, including a detailed analysis of inlet and outlet flow parameters. These findings provide insight into the development and maintenance of stable flow conditions, which are critical for ensuring measurement accuracy and repeatability in aerodynamic testing. Furthermore, the results have broader applicability beyond the current setup, as they can be extrapolated to other wind tunnel designs and experimental configurations where flow uniformity and stability are essential. This includes applications in environmental wind engineering, aerodynamic calibration, and experimental fluid dynamics, where consistent flow conditions are necessary for reliable performance assessments and data interpretation.

4. Conclusions

In this study, the aerodynamic performance and flow stability within a Göttingen-type closed-circuit subsonic wind tunnel with an expanded test section were investigated, particularly focusing on the contraction nozzle and test section geometry. A combined experimental and Reynolds-averaged Navier–Stokes (RANS) simulation framework was used to identify the parameters that most strongly influence flow uniformity downstream of the contraction.
The results showed that the contraction nozzle significantly alters the flow uniformity by accelerating and redistributing the flow at the entrance to the testing section. This effect is important for precise velocity measurements, allowing us to achieve a stable core flow. It also minimizes the sensitivity of flow characteristics to changes in Re across the whole tested velocity range (1–20 m/s).
Additionally, the study showed that the outlet-to-inlet diameter ratio of the testing section plays the most prominent role in resulting pressure gradients, flow separation, and velocity distribution inside it. A diameter ratio of Dout/Din = 1.10 (440 mm) was revealed to be optimal, offering the most uniform longitudinal velocity distribution inside the AWT and thereby ensuring stable velocity measurement conditions.

Author Contributions

Conceptualization, J.Š. and P.V.; methodology, J.Š. and P.V.; software, J.Š., P.V. and E.M.; validation, J.Š., P.V. and A.B.; formal analysis, J.Š. and P.V. investigation, J.Š. and P.V.; writing—original draft preparation, J.Š.; writing—review and editing, J.Š., P.V., E.M. and A.B.; visualization, J.Š. and P.V. All authors have read and agreed to the published version of the manuscript.

Funding

This research was funded by the Association “Santakos slėnis” (agreement number 12_RUAV/25.26).

Data Availability Statement

The original contributions presented in this study are included in the article. Further inquiries can be directed to the corresponding authors.

Conflicts of Interest

The authors declare no conflicts of interest.

References

  1. Bobovnik, G.; Kutin, J. Uncertainty analysis of the air velocity standard based on LDA and wind tunnel. Measurement 2023, 206, 112228. [Google Scholar] [CrossRef]
  2. Li, Q.; Liu, D.; Zhu, J. Uncertainty evaluation for wind tunnel test based on new flow field and balance models. Aerosp. Sci. Technol. 2025, 167, 110593. [Google Scholar] [CrossRef]
  3. Schmeer, J.; Hayden, P.; Birch, D.M. Dynamic calibration of a high-resolution wind tunnel model for ultra-low-range fluctuating surface pressure measurement. Meas. Sci. Technol. 2025, 36, 015807. [Google Scholar] [CrossRef]
  4. Kosiak, P.; Radnic, T.; Mamula, M.; Hála, J.; Šimurda, D.; Luxa, M. Assessment of Various Converging Inlet Nozzles for Wind Tunnel Using CFD. In Proceedings of the Topical Problems of Fluid Mechanics 2022, Prague, Czech Republic, 7–8 April 2022; Czech Technical University in Prague—Central Library: Prague, Czech Republic, 2022; pp. 95–102. [Google Scholar] [CrossRef]
  5. Kumar, S.; Kumar, A. Dependence of wall jet phenomenology on inlet conditions and near-field flow development. J. Turbul. 2022, 23, 276–304. [Google Scholar] [CrossRef]
  6. Durmuş, S.; Üniversitesi, B.; Yüksekokulu, E.S.H.; Tarihi, B.G. Optimization of contraction cone length in an open-circuit wind tunnel. Balıkesir Üniversitesi Fen Bilim. Enstitüsü Derg. 2024, 26, 431–440. [Google Scholar] [CrossRef]
  7. Kao, Y.H.; Jiang, Z.W.; Fang, S.C. A computational simulation study of fluid mechanics of low-speed wind tunnel contractions. Fluids 2017, 2, 23. [Google Scholar] [CrossRef]
  8. Li, H.; Chen, C.; Liu, B.; Zhang, L. Flow quality analysis of contraction section and test section of low-speed wind tunnel based on CFD numerical simulation. J. Phys. Conf. Ser. 2019, 1176, 052064. [Google Scholar] [CrossRef]
  9. Sabnis, K.; Galbraith, D.S.; Babinsky, H.; Benek, J.A. Nozzle geometry effects on supersonic wind tunnel studies of shock–boundary-layer interactions. Exp. Fluids 2022, 63, 191. [Google Scholar] [CrossRef]
  10. Ismail; John, J.; Pane, E.A.; Maulana, R.; Rahman, R.A.; Suwandi, A. Experimental evaluation for the feasibility of test chamber in the open-loop wind tunnel. WSEAS Trans. Fluid Mech. 2021, 16, 120–126. [Google Scholar] [CrossRef]
  11. Anis, A.; Sutardi, S. Study of Flow Characteristics in a Closed-Loop Low-Speed Wind Tunnel. Int. J. Mech. Eng. Sci. 2017, 1, 9–16. [Google Scholar] [CrossRef]
  12. Sanders, M.P.J.; Koenjer, C.F.J.; Botero-Bolivar, L.; Santos, F.L.D.; Venner, C.H.; de Santana, L.D. Trailing-Edge Noise Comparability in Open, Closed, and Hybrid Wind Tunnel Test Sections. AIAA J. 2022, 60, 4053–4067. [Google Scholar] [CrossRef]
  13. Hartung, K.M.; Sanders, D.M.; Oehlert, K. Economically and Aerodynamically Optimized Closure of Wind Tunnel Test Sections. In Proceedings of the Global Power and Propulsion Society, Chania, Greece, 18–20 September 2022. [Google Scholar] [CrossRef]
  14. Rhakasywi, D.; Ismail; Suwandi, A.; Fadhli, A. Analysis of subsonic wind tunnel with variation shape rectangular and octagonal on test section. IOP Conf. Ser. Mater. Sci. Eng. 2018, 308, 012036. [Google Scholar] [CrossRef]
  15. Kang, S.-H. Conceptual study of a low speed wind tunnel for performance test of wind turbine. J. Korean Soc. Aviat. Aeronaut. 2011, 19, 24–29. [Google Scholar] [CrossRef]
  16. Xu, W.P.; Martinelli, L.; Xu, Z.D.; Dai, J. Dimensions optimization design of a low-speed wind tunnel for an expanded test section with limited overall space. Wind Struct. 2025, 40, 61–74. [Google Scholar] [CrossRef]
  17. Karali, H.; Inalhan, G.; Tsourdos, A. Advanced UAV Design Optimization Through Deep Learning-Based Surrogate Models. Aerospace 2024, 11, 669. [Google Scholar] [CrossRef]
  18. Zhao, Y.; Liu, J.; Li, D.; Liu, C.; Fu, X.; Wang, H. Aerodynamic performance optimization of a UAV’s airfoil at low-Reynolds number and transonic flow under the Martian carbon dioxide atmosphere. Acta Astronaut. 2024, 223, 512–524. [Google Scholar] [CrossRef]
  19. Du, Y.; Liu, Z.; Shen, M.; Wu, J.; Zhang, K.; Jiang, C.; Zhong, J. An Efficient Parametric Modeling, Evaluation and Optimization Strategy for Aerodynamic Configuration Design of eVTOL Aircraft. Aerosp. Res. Commun. 2025, 3, 14986. [Google Scholar] [CrossRef]
  20. Sarikaya, B.; Zarri, A.; Christophe, J.; Aissa, M.H.; Verstraete, T.; Schram, C. Aerodynamic and aeroacoustic design optimization of UAVs using a surrogate model. J. Sound Vib. 2024, 589, 118539. [Google Scholar] [CrossRef]
  21. Huang, M.; Wang, Z.W. A review of wind tunnel based virtual flight testing techniques for evaluation of flight control systems. Int. J. Aerosp. Eng. 2015, 2015, 672423. [Google Scholar] [CrossRef]
  22. He, P.; Koyuncuoglu, H.U.; Hu, H.; Dhulipalla, A.; Hu, H.; Hu, H. High-fidelity Aerodynamic and Aerostructural Optimization of UAV Propellers Using the Adjoint Method. In Proceedings of the AIAA SciTech Forum 2023, National Harbor, MD, USA, 23–27 January 2023. [Google Scholar]
  23. Khan, S.H.; Danish, M.; Ayaz, M.; Husain, A.; Saeed, S.; Abdulla, S.; Shaheen, S.; Saeed, A.; Thaher, A. Aerodynamic analysis and ANN-based optimization of NACA airfoils for enhanced UAV performance. Sci. Rep. 2025, 15, 11998. [Google Scholar] [CrossRef] [PubMed]
Figure 1. Göttingen-type test facility: measurement sections of the UA (x/D0 = 1) and installation places for LDA (x/D0 = 3) and DUT (x/D0 = 1, 3, 5).
Figure 1. Göttingen-type test facility: measurement sections of the UA (x/D0 = 1) and installation places for LDA (x/D0 = 3) and DUT (x/D0 = 1, 3, 5).
Applsci 15 11021 g001
Figure 2. Axial flow velocity distribution along the centerline of an aerodynamic wind tunnel and comparison between experimental and numerical data.
Figure 2. Axial flow velocity distribution along the centerline of an aerodynamic wind tunnel and comparison between experimental and numerical data.
Applsci 15 11021 g002
Figure 3. Comparison between experimental and numerical vertical velocity profiles at x/D0 = 1.
Figure 3. Comparison between experimental and numerical vertical velocity profiles at x/D0 = 1.
Applsci 15 11021 g003
Figure 4. Numerical results of relative velocity distribution at the inlet area of the airflow facility.
Figure 4. Numerical results of relative velocity distribution at the inlet area of the airflow facility.
Applsci 15 11021 g004
Figure 5. Convergent nozzle influence on hydrodynamic stabilization distance obtained from numerical simulation.
Figure 5. Convergent nozzle influence on hydrodynamic stabilization distance obtained from numerical simulation.
Applsci 15 11021 g005
Figure 6. The numerical data of velocity distribution at the centerline of AWT. (a) Full AWT; (b) only test section.
Figure 6. The numerical data of velocity distribution at the centerline of AWT. (a) Full AWT; (b) only test section.
Applsci 15 11021 g006
Figure 7. The numerical data of distribution of the pressure gradient at the centerline of AWT. (a) Full AWT; (b) only test section.
Figure 7. The numerical data of distribution of the pressure gradient at the centerline of AWT. (a) Full AWT; (b) only test section.
Applsci 15 11021 g007
Figure 8. The numerical data of pressure gradient contours in the measurement chamber at U0 = 10 m/s; (a) Dout/Din = 1.05; (b) Dout/Din = 1.3.
Figure 8. The numerical data of pressure gradient contours in the measurement chamber at U0 = 10 m/s; (a) Dout/Din = 1.05; (b) Dout/Din = 1.3.
Applsci 15 11021 g008
Figure 9. The numerical data of velocity contours in the measurement chamber at U0 = 10 m/s; (a) Dout/Din = 1.05; (b) Dout/Din = 1.3.
Figure 9. The numerical data of velocity contours in the measurement chamber at U0 = 10 m/s; (a) Dout/Din = 1.05; (b) Dout/Din = 1.3.
Applsci 15 11021 g009
Disclaimer/Publisher’s Note: The statements, opinions and data contained in all publications are solely those of the individual author(s) and contributor(s) and not of MDPI and/or the editor(s). MDPI and/or the editor(s) disclaim responsibility for any injury to people or property resulting from any ideas, methods, instructions or products referred to in the content.

Share and Cite

MDPI and ACS Style

Šereika, J.; Vilkinis, P.; Bertašienė, A.; Misiulis, E. Flow Stabilization and Velocity Uniformity in a Göttingen-Type Closed-Circuit Subsonic Wind Tunnel with an Expanded Test Section. Appl. Sci. 2025, 15, 11021. https://doi.org/10.3390/app152011021

AMA Style

Šereika J, Vilkinis P, Bertašienė A, Misiulis E. Flow Stabilization and Velocity Uniformity in a Göttingen-Type Closed-Circuit Subsonic Wind Tunnel with an Expanded Test Section. Applied Sciences. 2025; 15(20):11021. https://doi.org/10.3390/app152011021

Chicago/Turabian Style

Šereika, Justas, Paulius Vilkinis, Agnė Bertašienė, and Edgaras Misiulis. 2025. "Flow Stabilization and Velocity Uniformity in a Göttingen-Type Closed-Circuit Subsonic Wind Tunnel with an Expanded Test Section" Applied Sciences 15, no. 20: 11021. https://doi.org/10.3390/app152011021

APA Style

Šereika, J., Vilkinis, P., Bertašienė, A., & Misiulis, E. (2025). Flow Stabilization and Velocity Uniformity in a Göttingen-Type Closed-Circuit Subsonic Wind Tunnel with an Expanded Test Section. Applied Sciences, 15(20), 11021. https://doi.org/10.3390/app152011021

Note that from the first issue of 2016, this journal uses article numbers instead of page numbers. See further details here.

Article Metrics

Back to TopTop