Organically Modified Layered Double Hydroxide for Enhancing Aging Resistance of Styrene–Butadiene Rubber
Abstract
1. Introduction
2. Experimental Section
2.1. Experimental Materials
2.1.1. Layered Double Hydroxide (LDH)
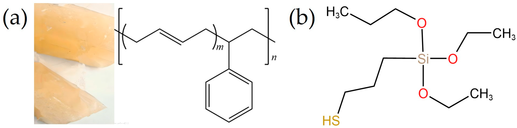
2.1.2. Styrene–Butadiene Rubber (SBR1502)
2.1.3. Silane Coupling Agent (KH−580)
2.1.4. Other Materials
2.2. Preparation of Organically Modified Hydrotalcite (m−LDHs)
2.3. Preparation of m−LDHs Modified SBR (m−LDHs/SBR)
2.4. Ultraviolet Aging Process
2.5. Testing and Characterization
2.5.1. Fourier Transform Infrared Spectroscopy (FT−IR) Detection
2.5.2. Vulcanization Characteristics Test
2.5.3. Thermogravimetric Test
2.5.4. Conventional Mechanical Properties Testing
2.5.5. Hardness Performance Test
3. Results and Discussion
3.1. FT−IR Analysis
3.2. UV−vis Spectroscopy Analysis
3.3. Vulcanization Characteristics Analysis
3.4. Thermogravimetric Analysis
3.5. Mechanical Properties Analysis
3.5.1. Tensile Strength
3.5.2. Elongation at Break
3.5.3. Shore Hardness Analysis
4. Conclusions
- (1)
- FTIR analysis showed that the addition of silane coupling agent KH−580 successfully achieved the surface organic modification of LDHs, generating m−LDHs.
- (2)
- Vulcanization characteristic analysis stated that the addition of m−LDHs does not affect the vulcanization speed and process of SBR. m−LDHs act as a “bridge,” promoting the interfacial bonding between the filler and the rubber matrix. Moreover, the added m−LDHs powder acts as a rigid particle filler in the material, thereby increasing the torque of m−LDHs/SBR and enhancing the anti−deformation ability of the modified SBR.
- (3)
- TGA demonstrated that the thermal stability of the m−LDHs/SBR is better than before modification, with the decomposition temperature increased by about 50 °C.
- (4)
- Mechanical properties illustrated that with increasing aging time, the change rates of tensile strength, elongation at break, and hardness of the m−LDHs/SBR are smaller than those of the SBR. On one hand, this is because the m−LDHs powder inside the m−LDHs/SBR acts as a partial filler and “bridge”. On the other hand, the UV shielding effect of LDH slows down the aging rate of SBR, resulting in enhanced corresponding mechanical properties.
Author Contributions
Funding
Institutional Review Board Statement
Informed Consent Statement
Data Availability Statement
Acknowledgments
Conflicts of Interest
References
- Um, G.; Kwon, T.; Lee, S.H.; Kim, W.; Kim, J.; Kim, H.J.; Lee, J.H. The Influence of Styrene Content in Solution Styrene Butadiene Rubber on Silica−Filled Tire Tread Compounds. Polymers 2023, 15, 4288. [Google Scholar] [CrossRef] [PubMed]
- Hamouda, I.; Tayefi, M.; Eesaee, M.; Hassanipour, M.; Nguyen−Tri, P. Kinetic Analysis of Thermal Degradation of Styrene–Butadiene Rubber Compounds Under Different Aging Conditions. J. Compos. Sci. 2025, 9, 420. [Google Scholar] [CrossRef]
- Xiang, K.; Wang, X.; Huang, G.; Zheng, J.; Huang, J.; Li, G. Thermogravimetric studies of styrene–butadiene rubber (SBR) after accelerated thermal aging. J. Therm. Anal. Calorim. 2014, 115, 247–254. [Google Scholar] [CrossRef]
- He, S.; Bai, F.; Liu, S.; Ma, H.; Hu, J.; Chen, L.; Lin, J.; Wei, G.; Du, X. Aging properties of styrene−butadiene rubber nanocomposites filled with carbon black and rectorite. Polym. Test. 2017, 64, 92–100. [Google Scholar] [CrossRef]
- Wang, X.; Ji, Q.; Hu, D.; Jiang, X.; Wang, R. Molecular dynamics simulation of ultraviolet aging effects on the mechanical and physical properties of natural rubber. Polym. Bull. 2025, 82, 1–21. [Google Scholar] [CrossRef]
- Mathew, S.; Malu, K.M.; Varghese, S.; Kumar, P.S.; Vaishak, N. Effect of inorganic fillers on natural rubber latex foam vulcanisates. J. Rubber Res. 2024, 27, 127–136. [Google Scholar] [CrossRef]
- Habeeb, S.A.; Alobad, Z.K.; Albozahid, M.A. The Effecting of Physical Properties of Inorganic Fillers on Swelling Rate of Rubber Compound: A review Study. Univ. Babylon Eng. Sci. 2019, 27, 94–104. [Google Scholar]
- Yasin, S.; Hussain, M.; Zheng, Q.; Song, Y. Thermo−soil weathering and life cycle assessment of carbon black, silica and cellulose nanocrystal filled rubber nanocomposites. Sci. Total Environ. 2022, 835, 155521. [Google Scholar] [CrossRef]
- Amrollahi, A.; Razzaghi−Kashani, M.; Hosseini, S.M.; Habibi, N. Carbon black/silica hybrid filler networking and its synergistic effects on the performance of styrene−butadiene rubber composites. Polym. J. 2022, 54, 931–942. [Google Scholar] [CrossRef]
- Liu, N.; Li, Y.; Xie, D.; Zeng, Q.; Xu, H.; Ge, M.; Zhang, W.; Zhang, Y.; Liu, R.; Dai, J.; et al. UV stabilizer intercalated layered double hydroxide to enhance the thermal and UV degradation resistance of polypropylene fiber. Polym. Test. 2023, 121, 107979. [Google Scholar] [CrossRef]
- Liu, T.X.; Zhu, H. Flame Retardant Properties of Polymer/Layered Double Hydroxide N Nanocomposites. In Handbook of Polymernanocomposites. Processing, Performance and Application: Volume A: Layered Silicates; Pandey, J.K., Reddy, K.R., Mohanty, A.K., Misra, M., Eds.; Springer: Berlin/Heidelberg, Germany, 2014; pp. 389–414. [Google Scholar]
- Yu, J.; Ruengkajorn, K.; Crivoi, D.-D.; Chen, C.; Buffet, J.-C.; O’Hare, D. High gas barrier coating using non−toxic nanosheet dispersions for flexible food packaging film. Nat. Commun. 2019, 10, 2398. [Google Scholar] [CrossRef]
- Delorme, A.E.; Radusin, T.; Myllytie, P.; Verney, V.; Askanian, H. Enhancement of Gas Barrier Properties and Durability of Poly(butylene succinate−co−butylene adipate)−Based Nanocomposites for Food Packaging Applications. Nanomaterials 2022, 12, 978. [Google Scholar] [CrossRef] [PubMed]
- Gao, Y.; Gui, H.; Xu, J.; Shen, R.; Wei, L.; Zhao, X.; Zuo, S.; Xu, J.; Li, X.; Yao, C. ZnTi layered double hydroxide/dealkaline lignin 2D/2D nanosheets for ultraviolet shielding poly(ethylene terephthalate) nanocomposites. React. Funct. Polym. 2025, 212, 106249. [Google Scholar] [CrossRef]
- Li, T.; Shi, Z.; He, X.; Jiang, P.; Lu, X.; Zhang, R.; Wang, X. Aging−Resistant Functionalized LDH-SAS/Nitrile−Butadiene Rubber Composites: Preparation and Study of Aging Kinetics/Anti−Aging Mechanism. Materials 2018, 11, 836. [Google Scholar] [CrossRef] [PubMed]
- Basu, D.; Das, A.; George, J.J.; Wang, D.-Y.; Stöckelhuber, K.W.; Wagenknecht, U.; Leuteritz, A.; Kutlu, B.; Reuter, U.; Heinrich, G. Unmodified Ldh as Reinforcing Filler for Xnbr and the Development of Flame−Retardant Elastomer Composites. Rubber Chem. Technol. 2014, 87, 606–616. [Google Scholar] [CrossRef]
- Xiao, S.; Feng, J.; Zhu, J.; Wang, X.; Yi, C.; Su, S. Preparation and characterization of lignin−layered double hydroxide/styrene−butadiene rubber composites. J. Appl. Polym. Sci. 2013, 130, 1308–1312. [Google Scholar] [CrossRef]
- van Tonder, L.; Labuschagné, F. Systematic Literature Review of the Effect of Layered Double Hydroxides on the Mechanical Properties of Rubber. Polymers 2021, 13, 3176. [Google Scholar] [CrossRef]
- Zhang, X.; Xu, Z.; Sun, C.; Zheng, L.; Wen, S. Enhanced Gas Barrier and Mechanical Properties of Styrene−Butadiene Rubber Composites by Incorporating Electrostatic Self−Assembled Graphene Oxide @ Layered Double Hydroxide Hybrids. ACS Omega 2024, 9, 39846–39855. [Google Scholar] [CrossRef]
- Kameliya, J.; Verma, A.; Dutta, P.; Arora, C.; Vyas, S.; Varma, R.S. Layered Double Hydroxide Materials: A Review on Their Preparation, Characterization, and Applications. Inorganics 2023, 11, 121. [Google Scholar] [CrossRef]
- Pavlovic, M.; Szerlauth, A.; Muráth, S.; Varga, G.; Szilagyi, I. Surface modification of two−dimensional layered double hydroxide nanoparticles with biopolymers for biomedical applications. Adv. Drug Deliv. Rev. 2022, 191, 114590. [Google Scholar] [CrossRef]
- Aminifazl, A.; Karunarathne, D.J.; Golden, T.D. Synthesis of Silane Functionalized LDH−Modified Nanopowders to Improve Compatibility and Enhance Corrosion Protection for Epoxy Coatings. Molecules 2024, 29, 819. [Google Scholar] [CrossRef] [PubMed]
- Zhang, C.; Yu, J.; Xue, L.; Sun, Y. Investigation of γ−(2,3−Epoxypropoxy)propyltrimethoxy Silane Surface Modified Layered Double Hydroxides Improving UV Ageing Resistance of Asphalt. Materials 2017, 10, 78. [Google Scholar] [CrossRef]
- Zhang, C.L.; Yu, J.Y.; Sun, Y.B.; Feng, K. Effect of Silane Coupling Agent Surface Modified Layered Double Hydroxides on Properties of Bitumen. Mater. Sci. Forum 2016, 847, 425–430. [Google Scholar] [CrossRef]
- Neethirajan, J.; Parathodika, A.R.; Hu, G.-H.; Naskar, K. Functional rubber composites based on silica−silane reinforcement for green tire application: The state of the art. Funct. Compos. Mater. 2022, 3, 7. [Google Scholar] [CrossRef]
- Xie, Y.; Hill, C.A.S.; Xiao, Z.; Militz, H.; Mai, C. Silane coupling agents used for natural fiber/polymer composites: A review. Compos. Part A Appl. Sci. Manuf. 2010, 41, 806–819. [Google Scholar] [CrossRef]
- Arrabito, G.; Bonasera, A.; Prestopino, G.; Orsini, A.; Mattoccia, A.; Martinelli, E.; Pignataro, B.; Medaglia, P.G. Layered Double Hydroxides: A Toolbox for Chemistry and Biology. Crystals 2019, 9, 361. [Google Scholar] [CrossRef]
- Xu, X.; Leng, Z.; Lan, J.; Wang, W.; Yu, J.; Bai, Y.; Sreeram, A.; Hu, J. Sustainable Practice in Pavement Engineering through Value−Added Collective Recycling of Waste Plastic and Waste Tyre Rubber. Engineering 2021, 7, 857–867. [Google Scholar] [CrossRef]
- Xu, X.; Xu, G.; Huang, X.; Alam, G.M.B.; Chen, X.; Sreeram, A. Material characterization and engineering performance evaluation of phosphogypsum as a high−performance filler for bituminous pavements. Fuel 2025, 393, 134977. [Google Scholar] [CrossRef]
- GB/T 528−2009; Rubber, Vulcanized or Thermoplastic—Determination of Tensile Stress−Strain Properties. Standard Press of China: Beijing, China, 2009.
- GB/T 23651−2009; Rubber Vulcanized or Thermoplastic—Hardness Testing—Introduction and Guide. Standard Press of China: Beijing, China, 2009.













| Elongation | Strength at 3 d/MPa | Strength at 15 d/MPa | Change Rate of Strength over 12 Days |
|---|---|---|---|
| 100% (SBR) | 1.7 | 1.15 | 55% |
| 300% (SBR) | 3.4 | 2.1 | 103% |
| 100% (m−LDHs/SBR) | 2.0 | 1.85 | 15% |
| 300% (m−LDHs/SBR) | 4.2 | 4.1 | 10% |
| Characterization | Value at 3 d | Value at 15 d | Change Rate of 12 d |
|---|---|---|---|
| Tensile Strength (SBR) | 10.9 | 5.8 | 41% |
| Tensile Strength (m−LDHs/SBR) | 11.7 | 10.8 | 9% |
| Item | Value at 3 d | Value at 15 d | Change Rate of 12 d |
|---|---|---|---|
| Elongation at Break (SBR) | 830 | 350 | 48% |
| Elongation at Break (m−LDHs/SBR) | 850 | 780 | 7% |
| SBR Type | Hardness at 3 d | Hardness at 15 d | Hardness Change Rate Over 12 d |
|---|---|---|---|
| SBR | 51.8 | 57 | 52% |
| m−LDHs/SBR | 53 | 53.8 | 8% |
Disclaimer/Publisher’s Note: The statements, opinions and data contained in all publications are solely those of the individual author(s) and contributor(s) and not of MDPI and/or the editor(s). MDPI and/or the editor(s) disclaim responsibility for any injury to people or property resulting from any ideas, methods, instructions or products referred to in the content. |
© 2025 by the authors. Licensee MDPI, Basel, Switzerland. This article is an open access article distributed under the terms and conditions of the Creative Commons Attribution (CC BY) license (https://creativecommons.org/licenses/by/4.0/).
Share and Cite
Hu, J.; Yang, N.; Xu, X. Organically Modified Layered Double Hydroxide for Enhancing Aging Resistance of Styrene–Butadiene Rubber. Appl. Sci. 2025, 15, 10971. https://doi.org/10.3390/app152010971
Hu J, Yang N, Xu X. Organically Modified Layered Double Hydroxide for Enhancing Aging Resistance of Styrene–Butadiene Rubber. Applied Sciences. 2025; 15(20):10971. https://doi.org/10.3390/app152010971
Chicago/Turabian StyleHu, Jingxuan, Nannan Yang, and Xiong Xu. 2025. "Organically Modified Layered Double Hydroxide for Enhancing Aging Resistance of Styrene–Butadiene Rubber" Applied Sciences 15, no. 20: 10971. https://doi.org/10.3390/app152010971
APA StyleHu, J., Yang, N., & Xu, X. (2025). Organically Modified Layered Double Hydroxide for Enhancing Aging Resistance of Styrene–Butadiene Rubber. Applied Sciences, 15(20), 10971. https://doi.org/10.3390/app152010971

