Next Article in Journal
Microenvironment Under Face Masks and Respirators: Impact of Textile Structure and Material Air Permeability
Previous Article in Journal
Harnessing Quantum Entanglement and Fidelity in Hydrogen Atoms: Unveiling Dynamics Under Dephasing Noise
 
 
Font Type:
Arial Georgia Verdana
Font Size:
Aa Aa Aa
Line Spacing:
Column Width:
Background:
Review

A Review of the Alanine Electron Paramagnetic Resonance Dosimetry Method as a Dose Verification Tool for Low-Dose Electron Beam Applications: Implications on Flash Radiotherapy

by
Babedi Sebinanyane
1,2,*,
Marta Walo
2,
Gregory Campbell Hillhouse
1,
Chamunorwa Oscar Kureba
1 and
Urszula Gryczka
2
1
The Department of Physics and Astronomy, Botswana International University of Science and Technology, Private Bag 16, Palapye 10071, Botswana
2
Institute of Nuclear Chemistry and Technology, ul. Dorodna 16, 03-195 Warszawa, Poland
*
Author to whom correspondence should be addressed.
Appl. Sci. 2025, 15(20), 10939; https://doi.org/10.3390/app152010939
Submission received: 22 August 2025 / Revised: 30 September 2025 / Accepted: 8 October 2025 / Published: 11 October 2025
(This article belongs to the Section Applied Physics General)

Abstract

Alanine dosimetry based on Electron Paramagnetic Resonance (EPR) spectroscopy has been a reliable reference and transfer dosimetry method in high-dose applications, valued for its high precision, accuracy and long-term stability. Additional characteristics, such as dose-rate independence up to 1010 Gy/s under electron beam (e-beam) irradiation, electron energy independence and tissue equivalence, position alanine EPR as a promising candidate to address dosimetric challenges arising in e-beam Flash Radiotherapy (RT), where radiation energy is delivered at Ultra-High Dose-Rates (UHDR) ≥ 40 Gy/s. At such dose-rates, reliable real-time monitoring dosimeters such as ionization chambers in conventional RT, suffer from ion recombination, compromising accuracy in dose determination. Several studies are currently focused on developing real-time beam monitoring systems dedicated specifically for e-beam Flash RT. This creates a need for standardized reference dosimetry methods to validate beam parameters determined by these systems under investigation. This review provides an overview of the potential and limitations of the alanine EPR dosimetry method for control, validation and verification of e-beam Flash RT beam parameters at doses less than 10 Gy, where the method has shown low sensitivity and increased uncertainty. It further discusses strategies to optimize alanine EPR measurements to enhance sensitivity and accuracy at these dose levels. Improved measurement procedures will ensure reliable and accurate e-beam Flash RT accelerator commissioning, performance checks, patient safety and treatment efficacy across all therapeutic dose ranges.

1. Introduction

Radiotherapy (RT) has been a reliable cancer treatment method to improve overall survival time of cancer patients [1,2,3]. In External Beam RT (EBRT, hereafter referred to as conventional RT), radiation energy is delivered at dose-rate ranging from 0.01–0.40 Gy/s with daily fractionated doses of 1–2 Gy depending on the sizes and type of the targeted tumor [4,5]. Consequently, treatment time varies from days to weeks, creating possibilities of tumor re-population between sessions and leading to difficulty in treating radio resistant tumors [4,6]. Flash RT, a technique in which radiation energy is delivered at Ultra-High Dose-Rates (UHDRs) ≥ 40 Gy/s within milliseconds has been introduced in a bid to maximize tumor control and reduce detrimental radiation effects on healthy tissues [7,8]. Delivery of radiation energy at UHDR causes a Flash effect, a process where radiation toxicity to surrounding healthy tissues is minimized while maintaining tumor control comparable to conventional RT [8]. Recent studies have demonstrated that Flash RT using charged particles such as e-beams, protons and carbon ions offer a therapeutic advantage in treating tumors of varying depths [7,9,10]. Although proton and heavy ion beams allow for more precise treatment of deep-seated tumors, generating X-rays [11], proton beams [12] and heavy ions [13] intense enough to cause a Flash effect remains challenging. Given the wide use of e-beams in preclinical studies of Flash RT, easy acceleration of electrons to match Flash RT dose-rates, compact size and wide availability of electron accelerators, e-beam Flash RT currently provides a feasible approach [14]. This study focuses specifically on e-beam Flash RT.
To translate e-beam Flash RT into a clinical practice, process control aspects such as accelerator commissioning, quality assurance, safety validations and precise calibrations need to be performed. These aspects rely on the essential role of dosimetry, which provides accurate quantification and a link between accelerator output energy and biological effects observed on the patient [15,16]. Accurate dosimetry is, therefore, essential for increasing chances of tumor control while reducing the risk of radiation toxicity in healthy tissues [3,17,18]. In conventional RT, ionization chambers are the “gold standard” real-time monitoring dosimeters which suffer from ion recombination and saturation effects at UHDR. Development of standardized real-time beam monitoring systems in Flash RT is still under investigation. Validation of beam characteristics measured by real-time beam monitors requires standardized and independent passive dosimetry methods accurate and reliable under rapid dose delivery [19,20].
Alanine Electron Paramagnetic Resonance (EPR) dosimetry has emerged as a preferred reference method, valued for its accuracy in the kGy range, stability of alanine EPR signal over time, similarity to biological tissue, linear response for doses up to 105 Gy, energy independence and dose-rate independence up to 1010 Gy/s for e-beam [21,22,23,24]. However, alanine EPR dosimetry faces accuracy challenges at doses less than 10 Gy due to weak signals and low Signal-to-Noise Ratio (SNR), resulting in low repeatability and reproducibility of measurements [25,26].
This narrative review consolidates both the foundational and recent literature on alanine EPR dosimetry, with emphasis on its application in e-beam Flash RT, particularly at doses below 10 Gy. Relevant publications were identified through PubMed, Web of Science, Scopus and Google Scholar, covering publications from 2000 to 2025 as well as seminal earlier work that established alanine as a reference dosimeter. The search strategy employed combinations of the following keywords: e-beam Flash RT, dosimetry in Flash RT, alanine EPR, conventional dosimetry methods and external beam radiotherapy. Studies were considered if they addressed reference dosimetry, methodological development, or performance under Flash conditions. By bringing these findings together, this review aims to highlight strategies for accurate dose measurement that can support quality assurance and calibration in e-beam Flash RT, contribute to studies investigating the Flash effect threshold and provide reliable dosimetry for future clinical applications such as hypofractionation. Following this introduction, the review outlines treatment requirements in conventional e-beam RT as a benchmark for accuracy, introduces the principles and motivations of e-beam Flash RT and examines the limitations of conventional dosimetry systems. The paper then discusses the strengths and limitations of alanine EPR dosimetry under e-beam Flash RT, reviews current optimization strategies and concludes with perspectives on its potential standardization as a reference method.

2. Treatment Requirements in Conventional E-Beam Radiotherapy

The International Atomic Energy Agency (IAEA) protocols on EBRT indicate that the overall expanded uncertainty of dose delivered to the patient should not exceed ±5% with a 95% confidence interval [27]. As such, all uncertainty contributions in dose delivery, such as calibration, patient setup and dose determination, should be much lower than ±5% to maintain allowable range between prescribed dose and actual dose delivered [28].
Standardized protocols that monitor and regulate dose delivered to the patient in e-beam RT mainly depend on understanding surface and depth dose profiles of electrons in a water phantom [29]. Due to the similarity on radiation response between biological tissue and water, water phantoms are mainly utilized in calibration and treatment planning. The general shape of electron depth dose profile in water is illustrated in Figure 1, characterized by an initial buildup of deposited dose, a maximum dose (Dmax) and a subsequent rapid fall-off. The beam quality index R50 (depth at 50% of Dmax) is used to provide a standardized reference for energy specification.
As the incident electron energy increases, the surface dose also increases and more back-scattered electrons deposit their energy into a shallow depth, resulting in a more pronounced buildup region and a peak region that is deeper into the tissue [30]. E-beams of energies ranging from 3 to 25 MeV have been clinically used to treat superficial tumors less than 5 cm deep such as lip, skin and breast cancers [27].
Advancements in accelerator technology have led to the development of mobile intra-operative linear accelerators with energies between 6 and 12 MeV, together with scattering foils, flattening foils, collimators and applicators to shape and homogenize the dose distribution [31,32]. These components ensure uniformity of dose across the target depth, as shown in Figure 2, and remain central to conventional treatment delivery. However, under UHDR conditions, such conventional reference equipment cannot be assumed to perform with the same reliability.
Table 1 summarizes general treatment requirements for conventional RT using e-beam recommended by the IAEA. These requirements define acceptable parameters for beam energy, dosimeter type, phantom material and reference conditions to ensure accurate absorbed dose for water measurements. Compliance to these guidelines is essential for achieving consistent and accurate dose delivery, while minimizing treatment uncertainties. These requirements define the baseline standards of accuracy and consistency in conventional e-beam RT and provide essential context when considering dosimetry at UHDR.

3. Overview and Advantages of E-Beam Flash RT

E-beam Flash RT has drawn significant attention since 2014, when the study of Favaudon et al. showed that irradiation at UHDR ≥ 40 Gy/s reduced lung fibrogenesis in mice while achieving tumor control that was comparable to conventional RT [7]. Subsequent studies have also demonstrated the ability of e-beam Flash RT to preserve normal tissue while maintaining tumor control on the first human patient [33] and in different models such as mice [34], zebra-fish [4], mini-pigs and cats [35]. These studies highlight that e-beam Flash RT has the ability to shorten treatment times, minimize the possibility of tumor re-population and increase the potential of treating radio-resistant tumors. Despite this, the biological basis of the “Flash effect” mechanism is still under investigation, with the leading hypothesis involving oxygen depletion in normal tissues. Reportedly, irradiation at UHDR temporarily depletes oxygen in normal tissues, inducing temporary hypoxia which selectively protects normal tissues from radiation toxicity [5,36]. Without reproducible biological models and validated dosimetry methods, these outcomes remain encouraging but insufficient to guide clinical implementation.
The main parameters currently differentiating Flash RT from conventional RT are summarized in Table 2 below.

4. Requirements for Clinical Implementation of E-Beam Flash RT

Medical linacs are widely available and are mainly designed to deliver doses at conventional dose-rates. However, adapting this equipment to operate under UHDR requires special modification to correctly and consistently achieve the Flash effect [38]. Major technical considerations to constantly deliver recommended doses at the required dose-rate include modification of existing linac hardware and beam parameters or the development of UHDR dedicated linacs. To reduce uncertainties in treatment outcomes across various settings, quality assurance protocols and dosimetry methods specialized for e-beam Flash RT are still under development [18,39,40]. Currently, there is no standardized framework for calibration or beam verification at UHDR, which limits reproducibility across centers or institutions. Consequently, uncertainties associated with UHDR are not yet standardized. However, current studies in e-beam Flash RT utilize an expanded uncertainty of ±5%, as adopted in conventional dose rates, where the expanded uncertainty is defined using a coverage factor k = 2, corresponding to a 95% confidence interval [15,41]. The use of uncertainties from conventional RT in e-beam Flash RT is currently an assumption rather than an evidence-based standard since UHDR conditions have not yet been validated against this benchmark. As a result, e-beam Flash RT must still be considered experimental until supported by standardized protocols and reference dosimetry methods.

5. Assessment of Conventional RT Dosimetry Systems Under E-Beam Flash RT Conditions

Conventional dosimetry systems play an essential role in RT by ensuring treatment efficacy and patient safety through accurate dose quantification [3,17,18]. However, these dosimetry systems show unreliable response under e-beam Flash RT, creating uncertainties in dose monitoring. This may lead to variations and discrepancies in treatment outcomes, hindering linac verification and the clinical transfer of this modality [42]. To address this, Schuller et al. recommended that a range of conventional RT dosimeters be studied under UHDR and narrowed down to the most suitable candidates through continued investigation [19]. Current investigations suggest that conventional RT dosimeters may not reliably satisfy the requirements of e-beam Flash RT; therefore, their use requires critical reassessment rather than simple extension of existing practice.
Reliable standard ionization chambers in conventional RT have shown ion recombination effects with increasing dose-rate, making them a less effective method at UHDR. To determine real-time beam monitoring systems tailored for UHDR, studies are exploring the development of ionization chambers such as modifications to gas fillings [43], chamber designs [43], and alternative measures such as the use Rogowski coils [14] and Silicon Carbide (SiC) detectors [44]. All of these real-time monitoring systems remain experimental and require verification and validation against an independent and reliable passive dosimetry method that maintain accuracy under UHDR conditions.
Passive dosimeters such as Thermoluminescent Dosimeters (TLDs), Gafchromic films and silicon diodes are used to quantify dose absorbed by the patient in conventional RT [41,45,46,47]. The major requirements of dosimetry systems in e-beam Flash RT include (i) accurate dose measurement in conventional RT, (ii) dose-rate independence, (iii) energy independence, (iv) dose linearity and (v) accuracy at UHDR [15,20]. In addition, McLaughlin et al. also recommended properties such as reproducible response, environmental effects on the response of the dosimeter, method of dosimeter evaluation, dosimeter stability before, during and after irradiation to also be considered when selecting a suitable dosimetry system [48]. Conventional RT dosimetry systems have been assessed against the major requirements of UHDR delivery in e-beam Flash RT and consistently fall short in one or more aspects, highlighting the absence of a reliable standard for e-beam Flash RT. Their responses under UHDR are summarized in Table 3 below, and the discussion highlights the specific factors that limit their suitability for e-beam Flash RT.
The assessment of different conventional RT dosimetry systems for potential adoption as independent dosimeters in e-beam Flash RT has been summarized in Table 3. Standard silicon diode dosimeters show a nonlinear dose response with poor accuracy and saturation effects at UHDR. Although calibration in a nonlinear regime can sometimes be attempted, at UHDR the response varies with dose, dose-rate, and accumulated exposure, leading to large uncertainties that make consistent correction unreliable. These limitations render silicon diodes inaccurate and unsuitable for independent dosimetry in e-beam Flash RT. Parwaie et al. highlighted that verification of measurements is an essential tool required for validation of dosimeters in new radiation processes, particularly when there is no standardized reference dosimetry method [54]. A major drawback of TLDs in e-beam Flash RT is their destructive readout method which makes it impossible to read and confirm measurements for inter-comparison exercises. On the other hand, Gafchromic film dosimeters are known for high accuracy at UHDR, good resolution, dose-rate independence and minimal energy dependence [54]. These characteristics are suitable for independent e-beam Flash RT dosimetry. However, Gafchromic film dosimeters require 24 h for a complete polymerization and accurate dose readout, a limitation in a modality that aims to reduce treatment time [55]. Wen et al. evaluated dose uncertainties associated with EBT3 Gafchromic film and demonstrated that its response is time-dependent [58]. The study indicated that measurements taken at different times after irradiation even beyond 24 h can introduce dose variations of approximately 3% between 1 and 4 days, which is significant at low-doses. In addition, Gafchromic films are known for linear dose ranges up to 40 Gy, which does not fully cover radiotherapy dose range of 1–100 Gy [48,55]. Nevertheless, due to the immediate radiation induced color change, Gafchromic films can be used for dose mapping to determine beam positioning during e-beam Flash RT treatment planning.
Although some of the assessed conventional RT dosimeters satisfy individual requirements for e-beam Flash RT, such as dose-rate independence, none satisfy all the conditions required for accurate, reproducible, and practical use. These limitations highlight the need to investigate alternative dosimetry systems better suited for e-beam Flash RT.

6. Alanine EPR Dosimetry System: A Candidate for Dose Verification in E-Beam Flash RT

6.1. Overview of Alanine EPR Dosimetry

Alanine is a naturally occurring amino acid developed as a specific solid-state dosimeter for EPR spectroscopy [59]. When exposed to ionizing radiation, alanine produces stable free radicals which are detected by an EPR spectrometer, resulting in an output alanine EPR signal proportional to the absorbed dose [60,61]. Stability of alanine EPR is a major strength that enables long term dose verification and traceability of measurements. However, this factor alone does not guarantee suitability under e-beam Flash RT, where accuracy under UHDR delivery is essential and where future clinical applications such as hypofractionation may also demand reliable performance at low-doses. This section provides a concise overview of the fundamental principles of alanine EPR dosimetry, highlighting the strengths that establish it as a reference system while also noting the critical gaps that motivate the optimization strategies.

6.2. Formation of Radiation-Induced Radicals in Alanine

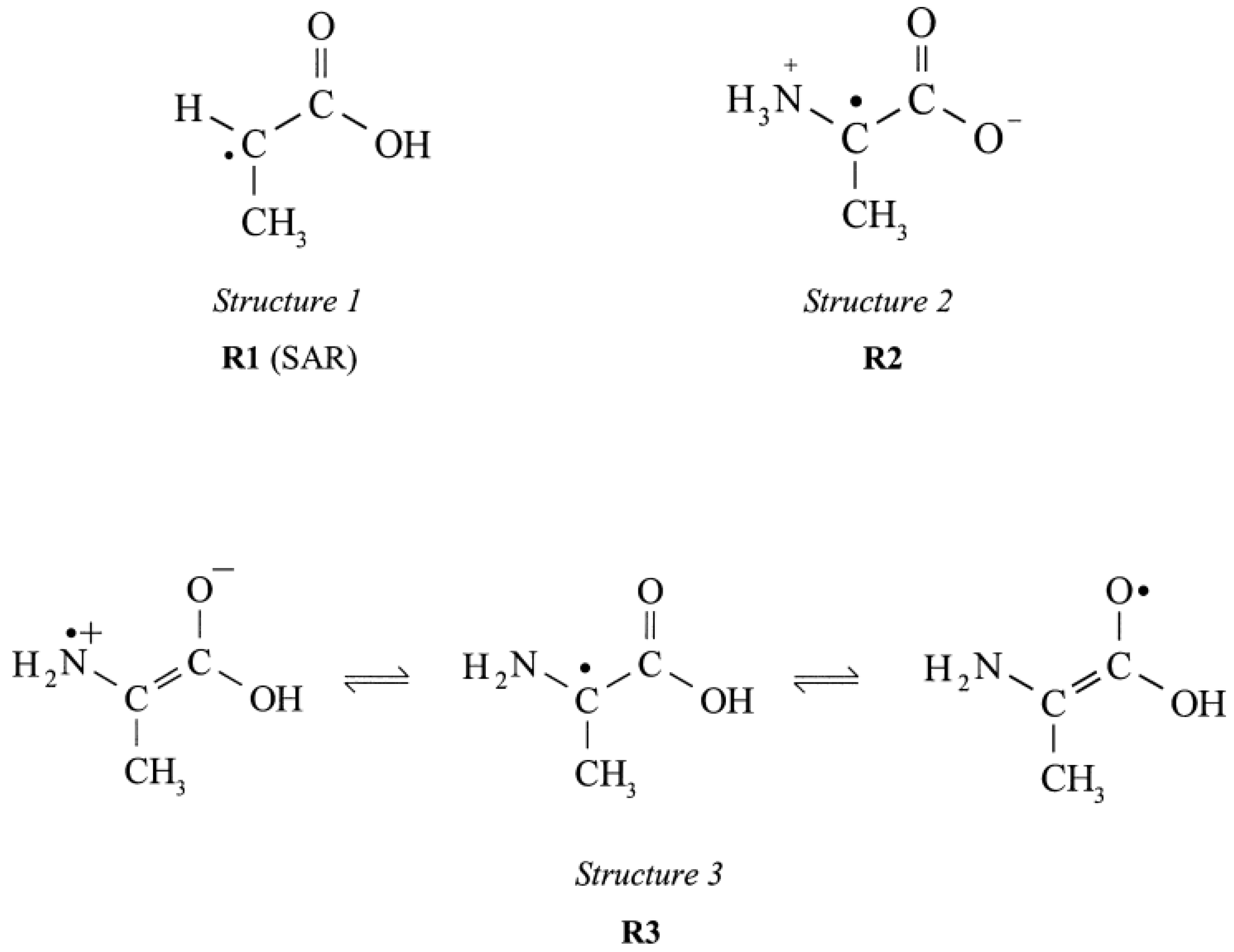
Studies have shown that three alanine radicals are produced in different fractions after exposure to ionizing radiation and contribute to the subsequent alanine EPR signal [62,63,64]. Stable Alanine Radical (SAR) or Radical 1 (R1) was first experimentally determined in the 1960s to be the de-aminated carbon centered radical contributing 55–60% of alanine radical concentration after irradiation [65]. The other two radicals, Radical 2 (R2) and Radical 3 (R3) were determined using alanine with different hydrogen positions and Electron Nuclear DOuble Resonance (ENDOR) technique in 1997 [62]. Figure 3 shows the structural formula of L- α -alanine, a standard material commonly used in EPR dosimetry, while Figure 4 illustrates the structural formulae of radiation-induced alanine radicals.
To estimate the contribution of radicals R1, R2 and R3 to the total alanine EPR signal, Heydari et al. simulated radical contribution of a 10 Gy e-beam irradiated alanine at an incident energy of 11 MeV [66]. The simulations were performed using a KVASAT program and experimental parameters such as g-tensors, and hyperfine coupling were extracted from previous studies. Figure 5 illustrates a general alanine EPR signal and simulation results of alanine radicals from Heydari et al., indicating radical R1 as a major contributor to alanine EPR signal.

6.3. Detection and Quantification of Alanine Radicals in EPR

EPR is an effective method for detection and quantification of unpaired electrons in paramagnetic species such as free radicals in alanine [67]. During an EPR measurement, the irradiated alanine sample is placed in a resonant cavity where it is exposed to a strong static magnetic field (B0) and simultaneously irradiated with electromagnetic waves in the microwave range. The applied magnetic field induces Zeeman’s effect, which splits the electron spin energy levels, enabling resonance detection. If magnetic moment of unpaired electrons aligns with the direction of applied magnetic field, free electrons will occupy a lower state of energy m s = 1 2 , where ms is the magnetic spin quantum number of an electron. On the other hand, if the magnetic moment of the unpaired electron aligns against the direction of magnetic field, it occupies a higher energy state, m s = + 1 2 [68,69]. The difference in energies between these two states is given by [68].
Δ E = h v = g μ B B 0 ,
where Δ E is the energy between the two states, h v is the energy of electromagnetic wave introduced into the cavity with h as Planck’s constant, v is the frequency of electromagnetic radiation, g is the Lande factor ( g 2 ), μ B is a Bohr magneton ( μ B = 9.274 × 10 24 J/T) and B 0 is applied magnetic field.
When the applied magnetic field adjusts the two energy states such that Δ E = h v , microwave absorption occurs, resulting in an absorption peak. This process is illustrated in Figure 6.
In continuous-wave EPR, a small sinusoidal modulation of the magnetic field (typically 100 kHz) is applied together with phase-sensitive detection to suppress noise and improve the SNR [68]. This procedure transforms the microwave absorption signal into its first derivative with respect to the magnetic field, as illustrated in Figure 7. The characteristic derivative line shape therefore arises directly from the use of magnetic field modulation and lock-in detection. Proper selection of modulation amplitude is essential, since low values preserve spectral resolution while excessive modulation can broaden lines and obscure fine structure. In practice, the peak-to-peak height (Hpp) of this first derivative signal is then used to quantify radical concentration at a specific magnetic field, as further described in Section 6.4.

6.4. Hyperfine Interactions in Irradiated Alanine

Nuclei of atoms in a radical have a magnetic moment that produces magnetic field to the unpaired electron. This interaction, termed hyperfine interaction, gives out information such as quantity and identity of atoms that makes a radical [68,69]. For the purpose of this review, hyperfine interactions and splitting patterns of the dominant SAR are utilized to describe irradiated alanine spectrum. The observed signal is linked to hyperfine interactions between unpaired electron and three β protons (hydrogen) from the methyl group and one from α proton (see Structure 1 in Figure 4) resulting in five spectral lines with a ratio of 1:4:6:4:1 [70]. The number of hyperfine interactions, corresponding splitting pattern and peak intensity ratios are illustrated with the aid of a Pascal’s triangle in Figure 8. Splitting pattern and peak intensity ratio in correspondence with an alanine EPR signal are illustrated in Figure 9. The central alanine peak is used to quantify radical concentration and absorbed dose due to its direct proportionality to radical concentration and absorbed dose [20,71].

6.5. Calibration

To ensure accuracy of the alanine EPR dosimetry system, a calibration process is required, which depends on factors such as;
  • Irradiation Procedure: Alanine dosimeters intended for calibration can be irradiated under a 60Co gamma-ray field or under a medical linear accelerator. Both irradiation procedures are calibrated under conventional dose-rates in terms of absorbed dose to water by an ionization chamber traceable to a primary standard laboratory such as National Physical Laboratory (NPL) or National Institute of Standards and Technology (NIST) [72,73].
  • EPR Signal Acquisition: Quantified alanine radical concentration is represented by the EPR signal intensity of the central alanine peak which determines reliability of measurements [20].
  • Curve Fitting: During calibration, the intensity of EPR signal is plotted as a function of the known irradiated doses to establish a calibration curve.
To determine the validity of a calibration curve with time, pellets irradiated at specific doses from a primary standard laboratory are used for verification of measurements [72]. Following a successful calibration, the alanine EPR dosimetry system can then be used to quantify routine or reference measurements of unknown doses.

6.6. Advantages of Alanine EPR Dosimetry System for E-Beam Flash RT

Alanine pellets commonly used in alanine EPR dosimetry studies are commercially available from Aerial, France, and STERIS Applied Sterilization Technologies (AST), United Kingdom. Characteristics of these dosimeters are stated in Table 4.
The small size of alanine dosimeters allows them to precisely measure doses under a broad energy spectrum of incident beam [76]. Some of other key advantages of alanine EPR method in e-beam Flash RT include the following:
  • Similarity to Biological Tissue: The chemical composition of alanine is similar to biological tissue, allowing alanine to have similar radiation energy absorption properties to biological tissue [28,77]. Thus, alanine dosimeters can accurately mimic the response of biological tissue to ionizing radiation including in e-beam Flash RT.
  • Dose-rate Independence: The sensitivity of alanine to ionizing radiation is not affected by a change in dose-rates up to 1010 Gy/s for pulsed e-beam and up to 102 Gy/s for continuous e-beam [21]. Consequently, the accuracy of alanine will not be affected by UHDR ≥ 40 Gy/s in e-beam Flash RT.
  • Energy Independence: The standard practice of International Organization for Standardization/American Society for Testing and Materials (ISO/ASTM) 51607:2013(E) for the use of alanine EPR dosimetry system indicated that alanine is energy independent under e-beam of energies 0.1–30 MeV [21]. This property allows alanine to be utilized for a wide range of energies delivered at UHDR.
  • Stability of Alanine EPR Signal: When exposed to ionizing radiation, alanine produces free radicals that are bound and stable with very little fading [78]. Together with a non-destructive readout, these properties permits alanine to be used as a transfer dosimeter between different laboratories [79,80].
  • Linear Dose Response: The dose threshold of e-beam Flash RT is not yet fully determined. Thus, linear dose response of alanine for doses up to 105 Gy allows applicability of alanine EPR method over a wide range of doses [21,81].
  • Internal EPR Reference Material: Reference crystals like Ruby (Al2O3) or Manganese (Mn2+) are used in EPR spectrometers for signal normalization [82,83]. The use of the ratio of alanine EPR signal to an internal standard minimizes the effects of preparation, fading and environmental effects [61]. This can aid in good reproducibility particularly for inter-comparison exercises.

6.7. Limitations of Alanine EPR Dosimetry at Low-Dose E-Beam Flash RT

Dedicated EPR spectrometers comprising of a pair of large electromagnets have been historically used to perform accurate alanine EPR dose measurements. These electromagnets provided stable and a homogeneous magnetic field distribution to the resonator cavity and aided in the generation of the desired magnetic field strength [25]. Large size and cost of these spectrometers has limited their use in academic research and clinical applications. Consequently, compact sized tabletop EPR spectrometers have been developed for possible applications in clinical dosimetry, academic research and the industry [84]. However, due to small sized magnets, the sensitivity of tabletop spectrometers reduces for doses less than 10 Gy leading to greater uncertainties and inaccurate results [85,86]. Current key challenges and limitations of the alanine EPR dosimetry method with tabletop spectrometers for applications in low-dose e-beam Flash RT are outlined in Table 5.

7. Correction Strategies Addressing Limitations of Alanine EPR Dosimetry in Low-Dose E-Beam Flash RT

Most limitations summarized in Table 5 can be corrected in order to achieve precise, repeatable and reproducible results with alanine EPR dosimetry method at low-doses [25]. The subsections below describe correction strategies to increase the sensitivity and measurement accuracy of alanine at low-dose in e-beam Flash RT.

7.1. No Real-Time Measurement

Alanine dosimeters cannot provide real-time feedback during irradiation. Gu et al. showed that the alanine EPR signal is stable immediately after irradiation under controlled conditions, allowing readout measurements without delay [73]. Reported readout times depend on spectrometer optimization and dose delivered. For moderate and higher doses, single optimized scans may take 2–3 min, while multiple scans for higher accuracy require about 10 min. At low doses, where the signal-to-noise ratio is poor, longer readout times are required for accurate measurements [20,88]. Despite this limitation, alanine dosimeters have been successfully applied in calibration, verification of beam characteristics, performance checks and validation of treatment planning systems [33,73,89].

7.2. Humidity Sensitivity

Relative humidity (RH) above 60% during pellet handling causes significant fading of the EPR signal, increasing background noise, signal variations and reducing reproducibility of measurements [21]. Storing pellets in sealed containers and handling them at RH < 60% reduces signal variations and improves stability [21,87]. Thus, humidity sensitivity can be effectively managed by controlling handling and storage conditions.

7.3. Temperature Variation

Temperature fluctuations during pellet storage or EPR readout can vary the alanine EPR signal intensity and line shape, introducing additional uncertainty. Several studies have reported that uncontrolled variations can increase measurement error [21]. Nevertheless, experiments under controlled conditions demonstrate that alanine signals remain stable when measurements are performed at controlled room temperature to lessen variation of EPR cavity temperature [87]. The best practice is therefore to ensure temperature stability during both irradiation and readout, which can be implemented in standard laboratory settings and has been adopted in routine protocols involving alanine EPR [21].

7.4. Post-Irradiation Fading

Post-irradiation fading is primarily influenced by temperature and humidity, so irradiated pellets should be stored in controlled environments [87]. Under these conditions, alanine dosimeters have been shown to remain stable and can be accurately re-measured at any time after irradiation.

7.5. Reduced Sensitivity at Low-Doses

The defining parameter of e-beam Flash RT is the delivery of dose at ≥40 Gy/s, whereas the optimal dose range for inducing the Flash effect remains under investigation. Most preclinical studies have reported single-fraction exposures between 10 and 40 Gy depending on the type and size of a tumor [7,34,35,36], while the first human case delivered 15 Gy in one fraction [33]. These doses overlap with the range where alanine EPR dosimetry can achieve acceptable accuracy under optimized conditions, ≥10 Gy [20,90]. However, optimization below 10 Gy remains essential for (i) determining the minimum dose required to induce the Flash effect, which has not yet been firmly established [5], (ii) enabling future clinical applications such as hypofractionation that may involve lower per-fraction doses [4,17] and (iii) ensuring accurate low-dose measurements for calibration and quality assurance over a wide range of doses [15]. Improving the sensitivity and accuracy of alanine EPR dosimetry at low-doses is therefore an active area of research. Recent optimization methods supporting reliable signal detection with reduced uncertainties at low-doses are described below.

7.5.1. Increased Alanine Concentration

Commercially available alanine pellets consist of about 90–97 % alanine concentration and 3–9 % paraffin binders depending on manufacturers [18,73]. At doses less than 10 Gy, the poor SNR due to weak signals increases measurement uncertainty. An increase in the measured alanine concentration boosts the alanine EPR signal, improving signal-to-noise ratio and measurement precision [86,91]. Since the EPR signal intensity is proportional to mass of sample, the use of larger or multiple pellets could be beneficial. These practices improve SNR and extend the reliability of alanine EPR measurements below 10 Gy.

7.5.2. Averaging Directional Measurements

Inhomogeneity of alanine concentration in pellets can result in the variation of measurements which introduces significant uncertainties at low-doses. To address this, averaging signals acquired at different orientations has been shown to improve reliability of measurements [86]. The measurement time for each orientation is not fixed and must be optimized based on spectrometer type, EPR operational parameters and dose level to achieve an acceptable balance between signal quality and total acquisition time. Reported values in the literature range from only a few seconds up to several minutes per orientation, with longer scans or multiple averages often used at lower doses to improve signal quality [20,86,90,92]. Specific examples from published studies are summarized in Table 6. These findings indicate that orientation averaging is an effective strategy, but the practical time per orientation must always be optimized for the chosen setup.

7.5.3. Advanced Signal Analysis

At low doses, alanine EPR peaks can easily be mixed up with background noise, increasing measurement uncertainty and accurate peak extraction. The recent literature shows that implementation of background subtraction and scaling algorithms such as linear least-squares fitting to a high-dose reference spectrum can enhance accuracy of the alanine EPR measurements at low-doses [25,26]. These techniques enable more precise dose calculation and reliable measurements below 10 Gy.

7.5.4. Combination with Alternative Dosimetry Methods

Alanine EPR dosimetry can be combined with complementary dose-rate–independent detectors such as Gafchromic film to enable cross-validation [19]. Agreement between methods strengthens confidence in dose measurements, while discrepancies highlight areas where further refinement is needed.

7.5.5. Monte-Carlo Simulations and Dose Response Corrections

Monte Carlo simulations are valuable for dosimetry calculations and accelerator design in low-dose e-beam Flash RT. Comparing experimental data with simulations validates alanine EPR accuracy after optimization and helps identify systematic deviations [93,94,95,96]. Integrating Monte Carlo modeling with experimental measurements can strengthen confidence in alanine EPR dosimetry, particularly at low-doses.
Table 6. Optimized parameters for low-dose alanine EPR Dosimetry in different studies where k is an uncertainty coverage factor.
Table 6. Optimized parameters for low-dose alanine EPR Dosimetry in different studies where k is an uncertainty coverage factor.
Author (Year)
[Ref]
Pellet Mass
(mg)
Dose Range
(Gy)
Microwave
Power
(mW)
Modulation
Amplitude
(mT)
Center Field/
Sweep Range (mT)
Sweep Time
(s)
Number
of Scans
Orientations/
Angles
UncertaintySpectrometer
Gondre et al. (2020) [20]64.50 ± 0.5010.1–1006.220.32-∼7.860-±2% *Bruker (model not specified)
4.96.220.32-∼1360-<5% *Bruker (model not specified)
Garcia et al. (2009) [86]66.00 ± 0.102–1020.4 2173/120°2.5% for 2 Gy *Bruker ELEXSYS E500
0.7% for 10 Gy *
Park et al. (2020) LAB 1 [91]64.5 ± 0.50.60, 2.70, 8.001.0020.735030.7210-(11.38%, 6.64%, 5.65%) (k = 2)Bruker ELEXSYS E500
37.95 ± 0.060.60, 2.70, 8.001.0020.735030.7210-(11.38%, 6.64%, 5.65%) (k = 2)Bruker ELEXSYS E500
Park et al. (2020) LAB 2 [91]64.5 ± 0.50.60, 2.70, 8.006.3513502020-(-, 16.55%, 19.79%) (k = 2)Bruker EMX
37.95 ± 0.060.60, 2.70, 8.006.3513502020 -Bruker EMX
Park et al. (2020) LAB 3 [91]64.5 ± 0.50.60, 2.70, 8.002.013316040-(5.68%, 5.82%, 5.29%) (k = 2)Magnettech MS-5000
37.95 ± 0.060.60, 2.70, 8.002.013316040-(6.45%, 6.34%, 5.86%) (k = 2)Magnettech MS-5000
Park et al. (2020) LAB 4 [91]64.5 ± 0.50.60, 2.70, 8.005.0240.535030.7310-(14.78%, 13.12%, 13.12%) (k = 2)Bruker ELEXSYS E500
37.95 ± 0.060.60, 2.70, 8.005.0240.535030.7310-(11.52%, 10.30%, 9.52%) (k = 2)Bruker ELEXSYS E500
Smith et al. (2021) [25]Not specified0.05–1000 Gy6.20.55320–365601–10-2.07% (k = 1) for 10 GyMagnettech MiniScope
Diameter = 4 mm MS 5000X
Gu et al. (2024) [73]35.30 ± 0.210–50100.7-1203--Magnettech ESR5000
Nagy et al. (2002) [97]Not specified0.5–5100.7-1173/120°1.4% at 5 Gy, 1.7% at 2 Gy,
Diameter = 4.9 mm 5.6% at 0.5 Gy (k = 1)Bruker ECS106
Anton (2005) [92]63.42 ± 0.42/5–500.250.5348∼90 s5, 72° rotation5/72°Reproducibility of <0.5%Bruker EMX 1327
60.15 ± 0.27/ for each scanbetween each scan for (5–50) Gy *
65.00 ± 0.30
Helt-Hansen et al. (2009) [26]Not specified1–10081346–35420 s per scan6, 90° rotation between2/90°<2% above 4 Gy *Bruker EMX-micro
Diameter = 4.8 mm 3rd and 4th scan
* Coverage factor not specified.

7.5.6. Optimization of EPR Parameters

Alanine EPR measurements at low-doses suffer from high uncertainty, particularly with tabletop spectrometers, which are ideal for routine measurements but have fewer adjustable settings. Nevertheless, several dosimetry studies have demonstrated that careful optimization of key parameters can significantly improve accuracy without changing the spectrometer hardware [20,22,25,86,90]. The subsections below outline key EPR acquisition parameters, such as microwave power, modulation amplitude and scan averaging, which strongly influence signal intensity and reproducibility at low-doses.
  • Microwave power: The choice of microwave power strongly affects alanine signal quality at low-doses. Excessive power can saturate the signal, while too little reduces sensitivity. Optimization studies show that careful tuning maximizes peak resolution without distortion [25,86]. For reliable measurements, a power setting that provides the strongest signal intensity without line broadening needs to be selected.
  • Modulation amplitude: Modulation amplitude must be optimized to balance sensitivity and resolution. Large modulation amplitudes increase signal intensity but broaden lines, while small amplitudes reduce detectability at low-doses. Studies emphasize adjusting modulation amplitude for each spectrometer to achieve optimal SNR [20,86].
  • Scan averaging: Measurement time in alanine EPR at low-doses depends largely on the number of scans averaged. Fewer scans shorten readout time but risk poor SNR, while additional scans improve accuracy at the cost of longer acquisition time. Reports indicate that averaging 3–5 scans achieves uncertainties within ±5% above 10 Gy [20,90], and multiple repetitions can extend reliability down to 1–2 Gy [86,88].
Several studies have evaluated the effects of EPR parameters on low-dose alanine readout. However, standard guidelines on optimization of these parameters are still under development. Reported EPR settings differ across laboratories and the resulting uncertainties are summarized in Table 6. While many studies achieve reliable accuracy above 10 Gy, most report expanded uncertainties greater than the recommended ±5% at doses less than 10 Gy. This highlights the need for further methodological refinement and inter-laboratory standardization to improve confidence in alanine EPR at low doses.

8. Conclusions

E-beam Flash RT is a promising modality that has a potential to improve tumor control while reducing radiation-induced side effects. Its safe clinical use depends on reliable, accurate and independent dosimetry. Since the therapeutic dose range for e-beam Flash RT is not yet standardized, the conventional RT range of 1–100 Gy is used as the reference dose range for quality assurance. When optimized, alanine EPR dosimetry can be reliable for doses ≥ 10 Gy, which covers most reported preclinical and early clinical e-beam Flash RT exposures. At lower doses, where results are less consistent, further optimization is essential to extend accuracy down to the 1 Gy lower bound to support future applications such as hypo-fractionation and pediatric treatments, where lower per-fraction doses may be delivered. Advances in orientation averaging, signal processing and spectrometer parameter tuning have demonstrated that uncertainties at low doses can be reduced, strengthening alanine EPR’s potential to become a reliable reference and transfer dosimetry method for Flash RT.

Author Contributions

Conceptualization, M.W. and U.G.; investigation, B.S.; writing—original draft preparation, B.S.; visualization, B.S.; writing—review and editing, M.W., U.G., G.C.H. and C.O.K.; supervision, M.W. and U.G.; funding acquisition, G.C.H. and C.O.K. All authors have read and agreed to the published version of the manuscript.

Funding

This research was funded by the International Atomic Energy Agency (IAEA) grant number FS-BOT1002-2302931 and the Botswana International University of Science and Technology (BIUST) grant number S00534.

Conflicts of Interest

The authors declare no conflicts of interest.

References

  1. Ashraf, M.R.; Rahman, M.; Zhang, R.; Williams, B.B.; Gladstone, D.J.; Pogue, B.W.; Bruza, P. Dosimetry for FLASH radiotherapy: A review of tools and the role of radioluminescence and Cherenkov emission. Front. Phys. 2020, 8, 328. [Google Scholar] [CrossRef]
  2. Gianfaldoni, S.; Gianfaldoni, R.; Wollina, U.; Lotti, J.; Tchernev, G.; Lotti, T. An Overview on Radiotherapy: From Its History to Its Current Applications in Dermatology. Open Access Maced J. Med. Sci. 2017, 5, 521–525. [Google Scholar] [CrossRef]
  3. Gazis, N.; Bignami, A.; Trachanas, E.; Moniaki, M.; Gazis, E.; Bandekas, D.; Vordos, N. Simulation Dosimetry Studies for FLASH Radiation Therapy (RT) with Ultra-High Dose Rate (UHDR) Electron Beam. Quantum Beam Sci. 2024, 8, 13. [Google Scholar] [CrossRef]
  4. Bourhis, J.; Montay-Gruel, P.; Jorge, P.G.; Bailat, C.; Petit, B.; Ollivier, J.; Jeanneret-Sozzi, W.; Ozsahin, M.; Bochud, F.; Moeckli, R.; et al. Clinical translation of FLASH radiotherapy: Why and how? Radiother. Oncol. 2019, 139, 11–17. [Google Scholar] [CrossRef] [PubMed]
  5. Friedl, A.A.; Prise, K.M.; Butterworth, K.T.; Montay-Gruel, P.; Favaudon, V. Radiobiology of the FLASH effect. Med. Phys. 2022, 49, 1993–2013. [Google Scholar] [CrossRef]
  6. Chow, J.C.; Ruda, H.E. Mechanisms of action in FLASH radiotherapy: A comprehensive review of Physicochemical and Biological processes on cancerous and normal cells. Cells 2024, 13, 835. [Google Scholar] [CrossRef]
  7. Favaudon, V.; Caplier, L.; Monceau, V.; Pouzoulet, F.; Sayarath, M.; Fouillade, C.; Poupon, M.F.; Brito, I.; Hupé, P.; Bourhis, J.; et al. Ultrahigh dose-rate FLASH irradiation increases the differential response between normal and tumor tissue in mice. Sci. Transl. Med. 2014, 6, 245ra93. [Google Scholar] [CrossRef]
  8. Lin, B.; Huang, D.; Gao, F.; Yang, Y.; Wu, D.; Zhang, Y.; Feng, G.; Dai, T.; Du, X. Mechanisms of FLASH effect. Front. Oncol. 2022, 12, 995612. [Google Scholar] [CrossRef] [PubMed]
  9. Beyreuther, E.; Brand, M.; Hans, S.; Hideghéty, K.; Karsch, L.; Leßmann, E.; Schürer, M.; Szabó, E.R.; Pawelke, J. Feasibility of proton FLASH effect tested by zebrafish embryo irradiation. Radiother. Oncol. 2019, 139, 46–50. [Google Scholar] [CrossRef] [PubMed]
  10. Zakaria, A.M.; Colangelo, N.W.; Meesungnoen, J.; Azzam, E.I.; Plourde, M.É.; Jay-Gerin, J.P. Ultra-high dose-rate, pulsed (FLASH) radiotherapy with carbon ions: Generation of early, transient, highly oxygenated conditions in the tumor environment. Radiat. Res. 2020, 194, 587–593. [Google Scholar] [CrossRef]
  11. Maxim, P.G.; Keall, P.; Cai, J. FLASH radiotherapy: Newsflash or flash in the pan? Med. Phys. 2019, 46, 4287–4290. [Google Scholar] [CrossRef]
  12. Jolly, S.; Owen, H.; Schippers, M.; Welsch, C. Technical challenges for FLASH proton therapy. Phys. Medica 2020, 78, 71–82. [Google Scholar] [CrossRef]
  13. Schardt, D.; Elsässer, T.; Schulz-Ertner, D. Heavy-ion tumor therapy: Physical and Radiobiological benefits. Rev. Mod. Phys. 2010, 82, 383–425. [Google Scholar] [CrossRef]
  14. Lenartowicz-Gasik, A.; Misiarz, A.; Markopolski, V.; Walo, M.; Gryczka, U.; Bułka, S.; Pawałowski, B.; Kruszyna-Mochalska, M.; Rzadkiewicz, J. Verification of real-time dosimetry of ultra-high dose rate beams at AQURE FLASH RT on the sample surface. Pol. J. Med. Phys. Eng. 2024, 300–304. [Google Scholar] [CrossRef]
  15. Romano, F.; Bailat, C.; Jorge, P.G.; Lerch, M.L.F.; Darafsheh, A. Ultra-high dose rate dosimetry: Challenges and opportunities for FLASH radiation therapy. Med. Phys. 2022, 49, 4912–4932. [Google Scholar] [CrossRef] [PubMed]
  16. Klein, E.E.; Hanley, J.; Bayouth, J.; Yin, F.F.; Simon, W.; Dresser, S.; Serago, C.; Aguirre, F.; Ma, L.; Arjomandy, B.; et al. Task Group 142 report: Quality assurance of medical accelerators a. Med. Phys. 2009, 36, 4197–4212. [Google Scholar] [CrossRef] [PubMed]
  17. Chow, J.C.; Ruda, H.E. Flash radiotherapy: Innovative cancer treatment. Encyclopedia 2023, 3, 808–823. [Google Scholar] [CrossRef]
  18. Tuta, C.S.; Amiot, M.N.; Sommier, L.; Ioan, R.M. Alanine pellets comparison using EPR dosimetry in the frame of quality assurance for a Gamma Knife system in Romania. Radiat. Phys. Chem. 2020, 170, 108653. [Google Scholar] [CrossRef]
  19. Schüller, A.; Heinrich, S.; Fouillade, C.; Subiel, A.; De Marzi, L.; Romano, F.; Peier, P.; Trachsel, M.; Fleta, C.; Kranzer, R.; et al. The European Joint Research Project UHD pulse—Metrology for advanced radiotherapy using particle beams with ultra-high pulse dose rates. Phys. Medica 2020, 80, 134–150. [Google Scholar] [CrossRef]
  20. Gondré, M.; Jorge, P.G.; Vozenin, M.C.; Bourhis, J.; Bochud, F.; Bailat, C.; Moeckli, R. Optimization of alanine measurements for fast and accurate dosimetry in FLASH radiation therapy. Radiat. Res. 2020, 194, 573–579. [Google Scholar] [CrossRef]
  21. ISO/ASTM International Standard 51607-2013 (E); Standard Practice for Use of an Alanine-EPR Dosimetry System. International Standardization Organization: Geneva, Switzerland; ASTM International: West Conshohocken, PA, USA, 2013.
  22. Goodman, B.A.; Worasith, N.; Ninlaphruk, S.; Mungpayaban, H.; Deng, W. Radiation Dosimetry Using Alanine and Electron Paramagnetic Resonance (EPR) Spectroscopy: A new Look at an Old Topic. Appl. Magn. Reson. 2017, 48, 155–173. [Google Scholar] [CrossRef]
  23. Baffa, O.; Kinoshita, A. Clinical applications of alanine/electron spin resonance dosimetry. Radiat. Environ. Biophys. 2014, 53, 233–240. [Google Scholar] [CrossRef] [PubMed]
  24. Al-Karmi, A.M.; Ayaz, A.A.H.; Al-Enezi, M.S.; Abdel-Rahman, W.; Dwaikat, N. Verification of the pure alanine in PMMA tube dosimeter applicability for dosimetry of radiotherapy photon beams: A feasibility study. Australas. Phys. Eng. Sci. Med. 2015, 38, 425–434. [Google Scholar] [CrossRef]
  25. Smith, B.R.; Khan, A.; Culberson, W.S. Commissioning a compact, tabletop EPR spectrometer for alanine dosimetry. Radiat. Meas. 2021, 146, 106629. [Google Scholar] [CrossRef]
  26. Helt-Hansen, J.; Rosendal, F.; Kofoed, I.M.; Andersen, C.E. Medical reference dosimetry using EPR measurements of alanine: Development of an improved method for clinical dose levels. Acta Oncol. 2009, 48, 216–222. [Google Scholar] [CrossRef] [PubMed]
  27. IAEA. Absorbed Dose Determination in External Beam Radiotherapy; Number 398 (Rev. 1) in Technical Reports Series; International Atomic Energy Agency: Vienna, Austria, 2024. [Google Scholar] [CrossRef]
  28. Ciesielski, B.; Schultka, K.; Kobierska, A.; Nowak, R.; Peimel-Stuglik, Z. In vivo alanine/EPR dosimetry in daily clinical practice: A feasibility study. Int. J. Radiat. Oncol. Biol. Phys. 2003, 56, 899–905. [Google Scholar] [CrossRef]
  29. Gerbi, B.J.; Antolak, J.A.; Deibel, F.C.; Followill, D.S.; Herman, M.G.; Higgins, P.D.; Huq, M.S.; Mihailidis, D.N.; Yorke, E.D.; Hogstrom, K.R.; et al. Recommendations for clinical electron beam dosimetry: Supplement to the recommendations of Task Group 25. Med. Phys. 2009, 36, 3239–3279. [Google Scholar] [CrossRef]
  30. Adlienė, D.; Adlytė, R. Dosimetry principles, dose measurements, and radiation protection. Appl. Ioniz. Radiat. Mater. Process. 2017, 1, 55. [Google Scholar]
  31. Ryczkowski, A.; Kruszyna-Mochalska, M.; Pawałowski, B.; Bielęda, G.; Jodda, A.; Adrich, P.; Piotrowski, T. Shielding disc backscatter calculations in intraoperative radiotherapy using a Monte Carlo simulation based on the method of energy spectra reconstruction. Sci. Rep. 2025, 15, 12431. [Google Scholar] [CrossRef]
  32. Ayala, R.; Soza, Á.; García, M.J.; García, R.; Udías, J.M.; Ibáñez, P. Development and validation of a Monte Carlo model of a mobile accelerator for intraoperative radiation therapy. Med. Phys. 2025, 52, e18040. [Google Scholar] [CrossRef]
  33. Bourhis, J.; Sozzi, W.J.; Jorge, P.G.; Gaide, O.; Bailat, C.; Duclos, F.; Patin, D.; Ozsahin, M.; Bochud, F.; Germond, J.F.; et al. Treatment of a first patient with FLASH-radiotherapy. Radiother. Oncol. 2019, 139, 18–22. [Google Scholar] [CrossRef]
  34. Montay-Gruel, P.; Petersson, K.; Jaccard, M.; Boivin, G.; Germond, J.F.; Petit, B.; Doenlen, R.; Favaudon, V.; Bochud, F.; Bailat, C.; et al. Irradiation in a flash: Unique sparing of memory in mice after whole brain irradiation with dose rates above 100 Gy/s. Radiother. Oncol. 2017, 124, 365–369. [Google Scholar] [CrossRef]
  35. Vozenin, M.C.; De Fornel, P.; Petersson, K.; Favaudon, V.; Jaccard, M.; Germond, J.F.; Petit, B.; Burki, M.; Ferrand, G.; Patin, D.; et al. The advantage of FLASH radiotherapy confirmed in mini-pig and cat-cancer patients. Clin. Cancer Res. 2019, 25, 35–42. [Google Scholar] [CrossRef]
  36. Vozenin, M.C.; Hendry, J.H.; Limoli, C. Biological benefits of ultra-high dose rate FLASH radiotherapy: Sleeping beauty awoken. Clin. Oncol. 2019, 31, 407–415. [Google Scholar] [CrossRef]
  37. Bourhis, J.; Overgaard, J.; Audry, H.; Ang, K.K.; Saunders, M.; Bernier, J.; Horiot, J.C.; Le Maître, A.; Pajak, T.F.; Poulsen, M.G.; et al. Hyperfractionated or accelerated radiotherapy in head and neck cancer: A meta-analysis. Lancet 2006, 368, 843–854. [Google Scholar] [CrossRef]
  38. Felici, G.; Barca, P.; Barone, S.; Bortoli, E.; Borgheresi, R.; De Stefano, S.; Di Francesco, M.; Grasso, L.; Linsalata, S.; Marfisi, D.; et al. Transforming an IORT linac into a FLASH research machine: Procedure and dosimetric characterization. Front. Phys. 2020, 8, 374. [Google Scholar] [CrossRef]
  39. Alhaddad, L.; Osipov, A.N.; Leonov, S. FLASH Radiotherapy: Benefits, Mechanisms, and Obstacles to Its Clinical Application. Int. J. Mol. Sci. 2024, 25, 12506. [Google Scholar] [CrossRef]
  40. Schulte, R.; Johnstone, C.; Boucher, S.; Esarey, E.; Geddes, C.G.; Kravchenko, M.; Kutsaev, S.; Loo, B.W., Jr.; Méot, F.; Mustapha, B.; et al. Transformative technology for FLASH radiation therapy. Appl. Sci. 2023, 13, 5021. [Google Scholar] [CrossRef] [PubMed]
  41. Palmiero, A.; Liu, K.; Colnot, J.; Chopra, N.; Neill, D.; Connell, L.; Velasquez, B.; Koong, A.C.; Lin, S.H.; Balter, P.; et al. On the acceptance, commissioning, and quality assurance of electron FLASH units. Med. Phys. 2024, 52, 1207–1223. [Google Scholar] [CrossRef]
  42. Cheng, C.; Xu, L.; Jing, H.; Selvaraj, B.; Lin, H.; Pennock, M.; Chhabra, A.M.; Hasan, S.; Zhai, H.; Zhang, Y.; et al. The potential and challenges of proton FLASH in head and neck cancer reirradiation. Cancers 2024, 16, 3249. [Google Scholar] [CrossRef] [PubMed]
  43. Di Martino, F.; Del Sarto, D.; Bisogni, M.G.; Capaccioli, S.; Galante, F.; Gasperini, A.; Linsalata, S.; Mariani, G.; Pacitti, M.; Paiar, F.; et al. A new solution for UHDP and UHDR (Flash) measurements: Theory and conceptual design of ALLS chamber. Phys. Medica 2022, 102, 9–18. [Google Scholar] [CrossRef]
  44. Romano, F.; Milluzzo, G.; Di Martino, F.; D’Oca, M.C.; Felici, G.; Galante, F.; Gasparini, A.; Mariani, G.; Marrale, M.; Medina, E.; et al. First characterization of novel silicon carbide detectors with ultra-high dose rate electron beams for FLASH radiotherapy. Appl. Sci. 2023, 13, 2986. [Google Scholar] [CrossRef]
  45. Siddique, S.; Ruda, H.E.; Chow, J.C. FLASH radiotherapy and the use of radiation dosimeters. Cancers 2023, 15, 3883. [Google Scholar] [CrossRef]
  46. Jorge, P.G.; Jaccard, M.; Petersson, K.; Gondré, M.; Durán, M.T.; Desorgher, L.; Germond, J.F.; Liger, P.; Vozenin, M.C.; Bourhis, J.; et al. Dosimetric and preparation procedures for irradiating biological models with pulsed electron beam at ultra-high dose-rate. Radiother. Oncol. 2019, 139, 34–39. [Google Scholar] [CrossRef]
  47. Jorge, P.G.; Grilj, V.; Bourhis, J.; Vozenin, M.C.; Germond, J.F.; Bochud, F.; Bailat, C.; Moeckli, R. Validation of an ultrahigh dose rate pulsed electron beam monitoring system using a current transformer for FLASH preclinical studies. Med. Phys. 2022, 49, 1831–1838. [Google Scholar] [CrossRef]
  48. McLaughlin, W.L.; Miller, A.; Kovács, A.; Mehta, K.K. Dosimetry Methods. In Handbook of Nuclear Chemistry; Vértes, A., Nagy, S., Klencsár, Z., Lovas, R.G., Rösch, F., Eds.; Springer: Boston, MA, USA, 2011; p. 2287. [Google Scholar] [CrossRef]
  49. 51956-2013 (E); Standard Practice for Use of Thermoluminescence-Dosimetry System (TLD System) for Radiation Processing. International Standardization Organization: Geneva, Switzerland; ASTM International: West Conshohocken, PA, USA, 2013.
  50. Yorke, E.; Alecu, R.; Ding, L.; Fontenla, D.; Kalend, A.; Kaurin, D.; Masterson-McGary, M.E.; Marinello, G.; Matzen, T.; Saini, A.; et al. Diode In Vivo Dosimetry for Patients Receiving External Beam Radiation Therapy; American Association of Physicists in Medicine: Alexandria, VA, USA, 2005. [Google Scholar] [CrossRef]
  51. IAEA. Radiation Oncology Physics; Non-Serial Publications; International Atomic Energy Agency: Vienna, Austria, 2005. [Google Scholar]
  52. ISO/ASTM International Standard 51275-2013 (E); Standard Practice for Use of Radiochromic Film Dosimetry System. International Standardization Organization: Geneva, Switzerland; ASTM International: West Conshohocken, PA, USA, 2013.
  53. Kry, S.F.; Alvarez, P.; Cygler, J.E.; DeWerd, L.A.; Howell, R.M.; Meeks, S.; O’Daniel, J.; Reft, C.; Sawakuchi, G.; Yukihara, E.G.; et al. AAPM TG 191: Clinical use of luminescent dosimeters: TLDs and OSLDs. Med. Phys. 2020, 47, e19–e51. [Google Scholar] [CrossRef] [PubMed]
  54. Parwaie, W.; Refahi, S.; Ardekani, M.A.; Farhood, B. Different dosimeters/detectors used in small-field dosimetry: Pros and cons. J. Med. Signals Sens. 2018, 8, 195–203. [Google Scholar] [CrossRef]
  55. Liu, K.; Jorge, P.G.; Tailor, R.; Moeckli, R.; Schüler, E. Comprehensive evaluation and new recommendations in the use of Gafchromic EBT3 film. Med. Phys. 2023, 50, 7252–7262. [Google Scholar] [CrossRef] [PubMed]
  56. Rosenfeld, A.B. Electronic dosimetry in radiation therapy. Radiat. Meas. 2006, 41, S134–S153. [Google Scholar] [CrossRef]
  57. Ataei, G.; Rezaei, M.; Gorji, K.E.; Banaei, A.; Goushbolagh, N.A.; Farhood, B.; Bagheri, M.; Firouzjah, R.A. Evaluation of dose rate and photon energy dependence of Gafchromic EBT3 film irradiating with 6 MV and Co-60 photon beams. J. Med. Signals Sens. 2019, 9, 204–210. [Google Scholar] [CrossRef] [PubMed]
  58. Wen, N.; Lu, S.; Kim, J.; Qin, Y.; Huang, Y.; Zhao, B.; Liu, C.; Chetty, I.J. Precise film dosimetry for stereotactic radiosurgery and stereotactic body radiotherapy quality assurance using Gafchromic™ EBT3 films. Radiat. Oncol. 2016, 11, 132. [Google Scholar] [CrossRef] [PubMed]
  59. Yordanov, N.D.; Gancheva, V. Some new approaches in the field of solid state/EPR dosimetry. Adv. ESR Appl. 2002, 18, 227–231. [Google Scholar]
  60. Mierzwińska, G.; Kłodowska, M.; Michalec, B.; Pędracka, A.; Rydygier, M.; Swakoń, J.; Waligórski, M.P. Application of alanine dosimetry in dose assessment for ocular melanoma patients undergoing proton radiotherapy–preliminary results. Nukleonika 2015, 60, 609–613. [Google Scholar] [CrossRef]
  61. Yordanov, N.; Gancheva, V. Some physico-technical aspects of the new generation of self-calibrated alanine/EPR dosimeter and results from the international intercomparison trial. J. Radioanal. Nucl. Chem. 2000, 245, 323–328. [Google Scholar] [CrossRef]
  62. Sagstuen, E.; Hole, E.O.; Haugedal, S.R.; Nelson, W.H. Alanine radicals: Structure determination by EPR and ENDOR of single crystals X-irradiated at 295 K. J. Phys. Chem. A 1997, 101, 9763–9772. [Google Scholar] [CrossRef]
  63. Malinen, E.; Heydari, M.Z.; Sagstuen, E.; Hole, E.O. Alanine radicals, Part 3: Properties of the components contributing to the EPR spectrum of X-irradiated alanine dosimeters. Radiat. Res. 2003, 159, 23–32. [Google Scholar] [CrossRef]
  64. Malinen, E.; Hult, E.A.; Hole, E.O.; Sagstuen, E. Alanine radicals, Part 4: Relative amounts of radical species in alanine dosimeters after exposure to 6–19 MeV electrons and 10 kV–15 MV photons. Radiat. Res. 2003, 159, 149–153. [Google Scholar] [CrossRef]
  65. Miyagawa, I.; Gordy, W. Electron Spin Resonance of an Irradiated Single Crystal of Alanine: Second-Order Effects in Free Radical Resonances. J. Chem. Phys. 1960, 32, 255–263. [Google Scholar] [CrossRef]
  66. Heydari, M.Z.; Malinen, E.; Hole, E.O.; Sagstuen, E. Alanine radicals. 2. The Composite Polycrystalline Alanine EPR Spectrum Studied by ENDOR, Thermal Annealing, and Spectrum Simulations. J. Phys. Chem. A 2002, 106, 8971–8977. [Google Scholar] [CrossRef]
  67. Makino, Y.; Ueno, M.; Shoji, Y.; Nyui, M.; Nakanishi, I.; Fukui, K.; Matsumoto, K.i. Simplifying quantitative measurement of free radical species using an X-band EPR spectrometer. J. Clin. Biochem. Nutr. 2021, 70, 213. [Google Scholar] [CrossRef]
  68. Eaton, G.R.; Eaton, S.S.; Barr, D.P.; Weber, R.T. Quantitative Epr; Springer Science & Business Media: Berlin/Heidelberg, Germany, 2010. [Google Scholar]
  69. Weber, R.T. Xenon’s User Guide; Bruker Biospin Corporation: Billerica, MA, USA, 2011. [Google Scholar]
  70. Karakirova, Y. Application of Amino Acids for High-Dosage Measurements with Electron Paramagnetic Resonance Spectroscopy. Molecules 2023, 28, 1745. [Google Scholar] [CrossRef]
  71. Yordanov, N.D.; Gancheva, V.; Karakirova, Y. Some recent developments of EPR dosimetry. In EPR of Free Radicals in Solids II: Trends in Methods and Applications; Springer: Dordrecht, The Netherlands, 2012; pp. 311–343. [Google Scholar] [CrossRef]
  72. Desrosiers, M.; Puhl, J.; Cooper, S. An absorbed-dose/dose-rate dependence for the alanine-EPR dosimetry system and its implications in high-dose ionizing radiation metrology. J. Res. Natl. Inst. Stand. Technol. 2008, 113, 79. [Google Scholar] [CrossRef]
  73. Gu, R.; Wang, J.; Wang, P.; Mao, X.; Lin, B.; Tan, W.; Du, X.; Gao, F.; Wang, T. Alanine/electron spin resonance dosimetry for FLASH radiotherapy. Radiat. Phys. Chem. 2024, 225, 112113. [Google Scholar] [CrossRef]
  74. Secerov, B.; Radenkovic, M.; Dramicanin, M. Uncertainty and routine use of Aerial l-alanine–Electron spin resonance dosimetry system. Radiat. Meas. 2016, 89, 63–67. [Google Scholar] [CrossRef]
  75. STERIS Applied Sterilization Technologies. Alanine Loose Pellet Dosimeters. 2025. Available online: https://edge.sitecorecloud.io/steriscorp14550-sterisast2aa2-production420c-14c4/media/project/steris/steris/pdffiles/2024/alanine-loose-pellet-tech-sheet.pdf (accessed on 10 July 2025).
  76. Malinen, E. EPR dosimetry in clinical applications. In Applications of EPR in Radiation Research; Springer: Cham, Switzerland, 2014; pp. 509–538. [Google Scholar] [CrossRef]
  77. Sharpe, P.H.; Sephton, J.P. Alanine dosimetry at NPL-the development of a mailed reference dosimetry service at radiotherapy dose levels. In Proceedings of the International Symposium on Techniques for High Dose Dosimetry in Industry, Agriculture and Medicine, Vienna, Austria, 2–5 November 1998. [Google Scholar]
  78. Podgorsak, E.B. Review of Radiation Oncology Physics: A Handbook for Teachers and Students; IAE Agency: Vienna, Austria, 2003; Volume 19, p. 133. [Google Scholar]
  79. De Angelis, C.; De Coste, V.; Fattibene, P.; Onori, S.; Petetti, E. Use of alanine for dosimetry intercomparisons among Italian radiotherapy centers. Appl. Radiat. Isot. 2005, 62, 261–265. [Google Scholar] [CrossRef] [PubMed]
  80. Ankjærgaard, C.; Konradsson, E.; Christensen, J.; Petterson, K.; Andersen, C.; Ceberg, C. PO-1772: Towards auditing FLASH electron beam dosimetry: Clinical film vs. alanine. Radiother. Oncol. 2020, 152, S987. [Google Scholar] [CrossRef]
  81. Romanyukha, A.A. Neutron and Gamma Multi-Element Alanine Dosimeter Holder. U.S. Patent Application 17/484,531, 24 March 2022. [Google Scholar]
  82. Nagy, V.; Sleptchonok, O.F.; Desrosiers, M.F.; Weber, R.T.; Heiss, A.H. Advancements in accuracy of the alanine EPR dosimetry system: Part III: Usefulness of an adjacent reference sample. Radiat. Phys. Chem. 2000, 59, 429–441. [Google Scholar] [CrossRef]
  83. Magnettech GmbH and Freiberg Instruments GmbH. Manual and Documentation: MiniScope MS 5000 and MS 5000X, EPR Spectrometer with Scientific Grade Performance, Version 7.2; Freiberg Instruments GmbH and Magnettech GmbH: Freiberg, Germany; Berlin, Germany, 2019. Available online: http://www.magnettech.de/esr-epr-spectrometer/miniscope-ms-5000.html (accessed on 12 June 2025).
  84. Ptushenko, V.V.; Linev, V.N. A Review of the Dawn of Benchtop EPR Spectrometers—Innovation That Shaped the Future of This Technology. Molecules 2022, 27, 5996. [Google Scholar] [CrossRef]
  85. Seco, J.; Clasie, B.; Partridge, M. Review on the characteristics of radiation detectors for dosimetry and imaging. Phys. Med. Biol. 2014, 59, R303. [Google Scholar] [CrossRef]
  86. Garcia, T.; Lin, M.; Pasquié, I.; Lourenço, V. A methodology for choosing parameters for ESR readout of alanine dosimeters for radiotherapy. Radiat. Phys. Chem. 2009, 78, 782–790. [Google Scholar] [CrossRef]
  87. Sleptchonok, O.F.; Nagy, V.; Desrosiers, M.F. Advancements in accuracy of the alanine dosimetry system. Part 1. The effects of environmental humidity. Radiat. Phys. Chem. 2000, 57, 115–133. [Google Scholar] [CrossRef]
  88. Höfel, S.; Stehle, M.; Zwicker, F.; Fix, M.K.; Drescher, M. A practical EPR dosimetry system for routine use in radiotherapy: Uncertainty analysis of lithium formate dosimeters at the therapeutic dose level. Phys. Med. Biol. 2021, 66, 045005. [Google Scholar] [CrossRef]
  89. Kim, C.E.; Park, J.I.; Jung, S.; Pak, S.i.; Jeong, S.; An, S.; Kim, C.; Jeong, J.H.; Kim, H.; Lim, Y.K.; et al. Determination of beam quality correction factors for alanine dosimetry in clinical proton beams. Phys. Medica 2025, 134, 104992. [Google Scholar] [CrossRef]
  90. Gago-Arias, A.; González-Castaño, D.; Gómez, F.; Peteiro, E.; Lodeiro, C.; Pardo-Montero, J. Development of an alanine dosimetry system for radiation dose measurements in the radiotherapy range. J. Instrum. 2015, 10, T08004. [Google Scholar] [CrossRef]
  91. Park, B.R.; Kim, J.S.; Yoo, J.; Ha, W.H.; Jang, S.; Kang, Y.R.; Kim, H.; Jang, H.K.; Han, K.T.; Min, J.; et al. The first KREDOS-EPR intercomparison exercise using alanine pellet dosimeter in South Korea. Nucl. Eng. Technol. 2020, 52, 2379–2386. [Google Scholar] [CrossRef]
  92. Anton, M. Development of a secondary standard for the absorbed dose to water based on the alanine EPR dosimetry system. Appl. Radiat. Isot. 2005, 62, 779–795. [Google Scholar] [CrossRef]
  93. Gao, Y.; Liu, R.; Chang, C.W.; Charyyev, S.; Zhou, J.; Bradley, J.D.; Liu, T.; Yang, X. A potential revolution in cancer treatment: A topical review of FLASH radiotherapy. J. Appl. Clin. Med. Phys. 2022, 23, e13790. [Google Scholar] [CrossRef] [PubMed]
  94. Zou, W.; Zhang, R.; Schüler, E.; Taylor, P.A.; Mascia, A.E.; Diffenderfer, E.S.; Zhao, T.; Ayan, A.S.; Sharma, M.; Yu, S.J.; et al. Framework for quality assurance of ultrahigh dose rate clinical trials investigating FLASH effects and current technology gaps. Int. J. Radiat. Oncol. Biol. Phys. 2023, 116, 1202–1217. [Google Scholar] [CrossRef]
  95. Anton, M.; Kapsch, R.; Krauss, A.; von Voigts-Rhetz, P.; Zink, K.; McEwen, M. Difference in the relative response of the alanine dosimeter to megavoltage x-ray and electron beams. Phys. Med. Biol. 2013, 58, 3259. [Google Scholar] [CrossRef]
  96. Andreo, P. Monte Carlo simulations in radiotherapy dosimetry. Radiat. Oncol. 2018, 13, 121. [Google Scholar] [CrossRef]
  97. Nagy, V.; Sholom, S.V.; Chumak, V.V.; Desrosiers, M.F. Uncertainties in alanine dosimetry in the therapeutic dose range. Appl. Radiat. Isot. 2002, 56, 917–929. [Google Scholar] [CrossRef] [PubMed]
Figure 1. Depth–dose distribution of an e-beam in water, showing the buildup region, maximum dose (Dmax), fall-off and beam quality index R50, used to specify electron energy in conventional RT.
Figure 1. Depth–dose distribution of an e-beam in water, showing the buildup region, maximum dose (Dmax), fall-off and beam quality index R50, used to specify electron energy in conventional RT.
Applsci 15 10939 g001
Figure 2. The effects of accelerator components on the surface dose profile of electrons on a patient plane: (a) no additional components (b) with scattering foil; (c) with scattering and flattening foils; (d) with foils, collimator, and applicator. The vertical dashed lines represent treatment field boundaries.
Figure 2. The effects of accelerator components on the surface dose profile of electrons on a patient plane: (a) no additional components (b) with scattering foil; (c) with scattering and flattening foils; (d) with foils, collimator, and applicator. The vertical dashed lines represent treatment field boundaries.
Applsci 15 10939 g002
Figure 3. Structural formula of L- α -alanine before irradiation.
Figure 3. Structural formula of L- α -alanine before irradiation.
Applsci 15 10939 g003
Figure 4. Molecular structures of radiation-induced alanine radicals [62,66].
Figure 4. Molecular structures of radiation-induced alanine radicals [62,66].
Applsci 15 10939 g004
Figure 5. (a) A general representation of alanine EPR signal, (b) simulated contribution of radiation-induced alanine radicals to the overall alanine EPR signal, modeled by Heydari et al. using the KVASAT program and experimental parameters from previous alanine studies [66]. Copyright 2002 American Physical Society. Accessed on 13 March 2025.
Figure 5. (a) A general representation of alanine EPR signal, (b) simulated contribution of radiation-induced alanine radicals to the overall alanine EPR signal, modeled by Heydari et al. using the KVASAT program and experimental parameters from previous alanine studies [66]. Copyright 2002 American Physical Society. Accessed on 13 March 2025.
Applsci 15 10939 g005
Figure 6. An illustration of unpaired electron detection of alanine radicals in EPR using Zeeman’s effect.
Figure 6. An illustration of unpaired electron detection of alanine radicals in EPR using Zeeman’s effect.
Applsci 15 10939 g006
Figure 7. EPR microwave absorption signal in comparison to its first derivative signal.
Figure 7. EPR microwave absorption signal in comparison to its first derivative signal.
Applsci 15 10939 g007
Figure 8. Splitting patterns of radical spectral line intensity ratio illustrated by Pascal’s triangle. Alanine spectrum is described by quintet ratio.
Figure 8. Splitting patterns of radical spectral line intensity ratio illustrated by Pascal’s triangle. Alanine spectrum is described by quintet ratio.
Applsci 15 10939 g008
Figure 9. Peak intensity ratio of irradiated alanine spectrum.
Figure 9. Peak intensity ratio of irradiated alanine spectrum.
Applsci 15 10939 g009
Table 1. IAEA treatment requirements for e-beam conventional RT [27].
Table 1. IAEA treatment requirements for e-beam conventional RT [27].
ParameterRequirement
Beam Energy Range3–25 MeV
Ionization ChambersPlane-parallel chambers for R50 < 3 g/cm2 (E0 ≤ 8 MeV)
Cylindrical chambers for R50 > 3 g/cm2 (E0 > 8 MeV)
Phantom MaterialWater or plastic scaled to depth in water
(For reference dosimetry, only water phantoms are recommended)
Phantom Dimensions≥5 cm margin beyond field size and ≥5 g/cm2 beyond Dmax
Beam Quality SpecificationUse R50 (depth at 50% of Dmax) to determine beam quality; E0 ≈ 2.33 × R50
Reference Conditions10 × 10 cm2 field size at 100 cm Source to Surface Distance (SSD)
Calibration ProceduresCalibration must match user beam quality or cross-calibration is allowed
where E0 is the mean energy at the phantom surface.
Table 2. Key comparisons between conventional RT and Flash RT.
Table 2. Key comparisons between conventional RT and Flash RT.
ParameterConventional RTFlash RT
Dose-rate0.01–0.40 Gy/s [5]≥40 Gy/s [7]
Total Treatment timeLonger treatment time with sessions lasting from seconds to minutes [6]Milliseconds [7]
Dose per fraction≤2 Gy [37]Recommended dose is delivered on a single or few fractions [6]
Effect on normal tissueToxicity to normal tissues limit treatment of radio-resistant tumors [4]Has shown ability to protect normal tissue from radiation toxicity, increasing therapeutic window [7]
Tumor controlReliable tumor control [2]Tumor control comparable to conventional RT for the same recommended dose [7]
Preparedness for clinical practiceClinically verified and adopted [6]Currently under pre-clinical investigation [6]
Table 3. Response of conventional RT passive dosimeters under requirements of e-beam Flash RT.
Table 3. Response of conventional RT passive dosimeters under requirements of e-beam Flash RT.
RequirementTLDsSilicon DiodesGafchromic Film
Dose-RateLinear for dose-rate range
1 × 10−2 Gy/s to 1 × 1010 Gy/s [49]
Response dependent on dose-rate [50,51]Dose-rate independent for ranges up to 1013 Gy/s [52]
Energy independenceEnergy dependence vary with maximum readout temperature [53]Response sensitive to electron energy fluctuations [50,54]Minimal energy dependence [54,55]
Dose linearityLinear for dose range 1 Gy to
1 × 104 Gy [49]
Nonlinear at UHDR [50]Linear over dose range 1 Gy to 40 Gy [55]
Accuracy at UHDRModerate due to uncertainty levels that are unlikely to be further optimized [20]Poor due to dose-rate sensitivity [56]Accurate due to dose-rate independence [57]
Table 4. Characteristics of commercially available alanine pellets used for alanine EPR dosimetry studies.
Table 4. Characteristics of commercially available alanine pellets used for alanine EPR dosimetry studies.
CharacteristicAerial Dosimeter [73,74]STERIS AST (Harwell Dosimeter) [75]
Mass(35.300 ± 0.210) mg(56.400–63.600 ± 0.600) mg
% Mass ratio: alanine/paraffin binder91.630/8.37090.900/9.100
Diameter(4.030 ± 0.004) mm(4.800 ± 0.100) mm
Thickness(2.389 ± 0.049) mm(2.800 ± 0.100) mm
Density(1.247 ± 0.005) g/cm3(1.247 ± 0.005) g/cm3
Table 5. Limitations of alanine EPR dosimetry method in low-dose e-beam Flash RT.
Table 5. Limitations of alanine EPR dosimetry method in low-dose e-beam Flash RT.
LimitationDescriptionImpact on Alanine EPR Measurements
No real-time measurement [1]
  • EPR requires post-irradiation readout and analysis
  • No immediate feedback during Flash delivery
Humidity sensitivity [87]
  • Moisture absorbed by alanine enables radical recombination and inaccurate dose determination
  • Humidity also alters EPR resonance cavity factor (Q-factor) during measurement
  • Relative humidity greater than 60% during storage can lead to significant signal fading particularly at low-doses
  • Inaccurate dose readout due to cavity de-tuning from moisture
Temperature variation [82]
  • Cavity temperature affects EPR signal intensity
  • Increased uncertainty of readout if cavity temperature significantly varies
Post-irradiation fading [87]
  • Affected by storage humidity and temperature
  • Alanine radicals decay at high temperature and humidity
  • Significant signal loss under uncontrolled conditions
  • Critical at low-doses where a small signal change is a large percentage
Reduced sensitivity at low-doses (<10 Gy) [86]
  • Few radiation-induced radicals resulting in weak EPR signal
  • Low signal-to-noise ratio at low-doses
  • Variability in pellet mass or pellet inhomogeneity affects signal at low-dose
  • Uncertainty increases for doses below 10 Gy, resulting in poor reproducibility of dose measurements
Disclaimer/Publisher’s Note: The statements, opinions and data contained in all publications are solely those of the individual author(s) and contributor(s) and not of MDPI and/or the editor(s). MDPI and/or the editor(s) disclaim responsibility for any injury to people or property resulting from any ideas, methods, instructions or products referred to in the content.

Share and Cite

MDPI and ACS Style

Sebinanyane, B.; Walo, M.; Hillhouse, G.C.; Kureba, C.O.; Gryczka, U. A Review of the Alanine Electron Paramagnetic Resonance Dosimetry Method as a Dose Verification Tool for Low-Dose Electron Beam Applications: Implications on Flash Radiotherapy. Appl. Sci. 2025, 15, 10939. https://doi.org/10.3390/app152010939

AMA Style

Sebinanyane B, Walo M, Hillhouse GC, Kureba CO, Gryczka U. A Review of the Alanine Electron Paramagnetic Resonance Dosimetry Method as a Dose Verification Tool for Low-Dose Electron Beam Applications: Implications on Flash Radiotherapy. Applied Sciences. 2025; 15(20):10939. https://doi.org/10.3390/app152010939

Chicago/Turabian Style

Sebinanyane, Babedi, Marta Walo, Gregory Campbell Hillhouse, Chamunorwa Oscar Kureba, and Urszula Gryczka. 2025. "A Review of the Alanine Electron Paramagnetic Resonance Dosimetry Method as a Dose Verification Tool for Low-Dose Electron Beam Applications: Implications on Flash Radiotherapy" Applied Sciences 15, no. 20: 10939. https://doi.org/10.3390/app152010939

APA Style

Sebinanyane, B., Walo, M., Hillhouse, G. C., Kureba, C. O., & Gryczka, U. (2025). A Review of the Alanine Electron Paramagnetic Resonance Dosimetry Method as a Dose Verification Tool for Low-Dose Electron Beam Applications: Implications on Flash Radiotherapy. Applied Sciences, 15(20), 10939. https://doi.org/10.3390/app152010939

Note that from the first issue of 2016, this journal uses article numbers instead of page numbers. See further details here.

Article Metrics

Back to TopTop