Harnessing Quantum Entanglement and Fidelity in Hydrogen Atoms: Unveiling Dynamics Under Dephasing Noise
Abstract
1. Introduction
2. Hyperfine Coupling in Hydrogen and Lindblad Dynamics
2.1. Hyperfine Hamiltonian and Spin Basis
2.2. Decoherence Dynamics: Pure Dephasing Model
- Dynamics of Density Matrix Components
 
- Populations:
 
- Coherences:
 
2.3. Exact Solutions for Key Initial States
- Case I: Coherent Superposition in the Singlet-Triplet Subspace.
 
- Case II: Entangled Aligned Spins.
 
3. Quantum Correlation Quantifiers: Entanglement and Fidelity
3.1. Entanglement Quantification via Entanglement of Formation
3.2. Fidelity as a Quantifier of Quantum State Similarity
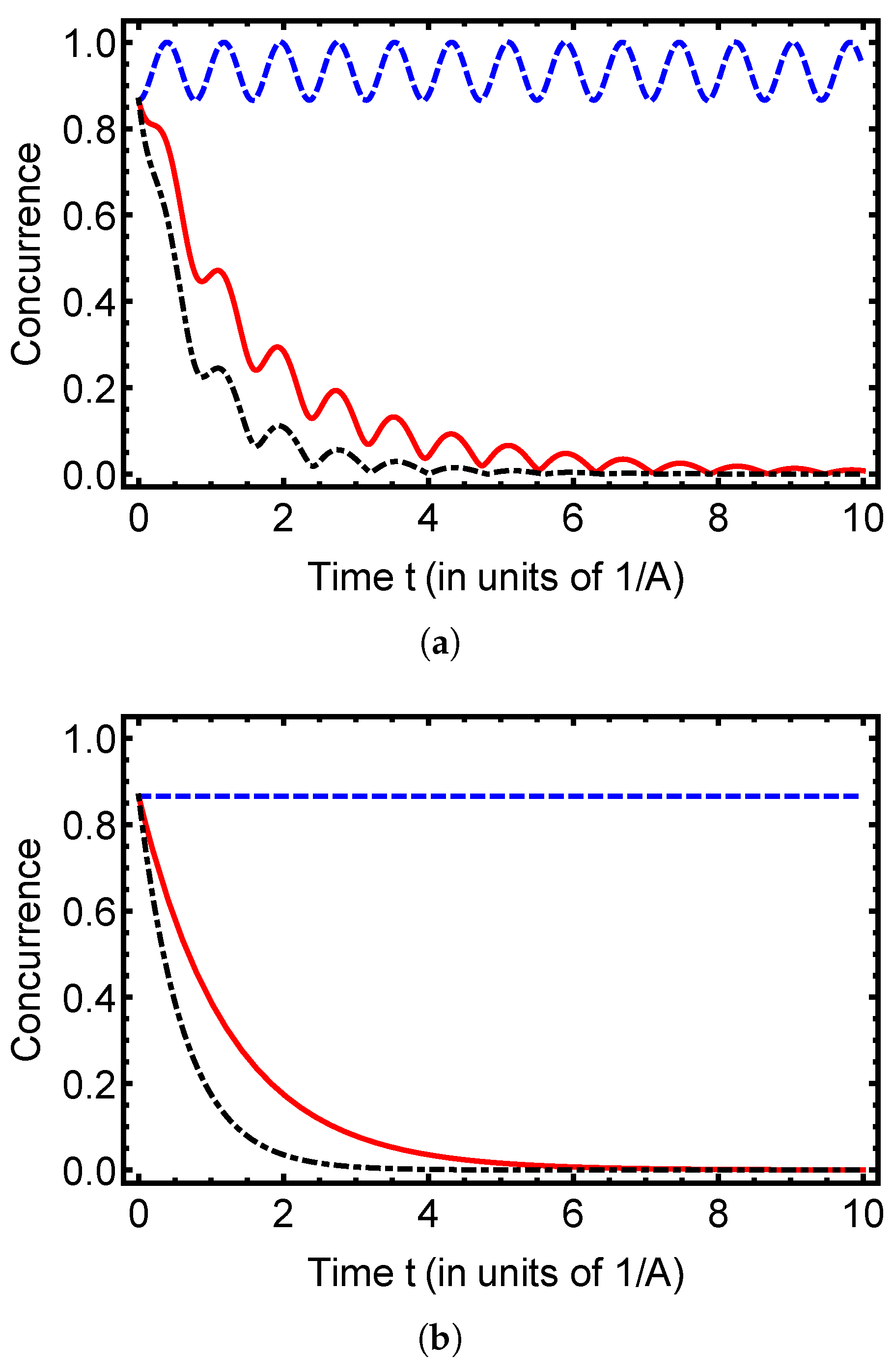
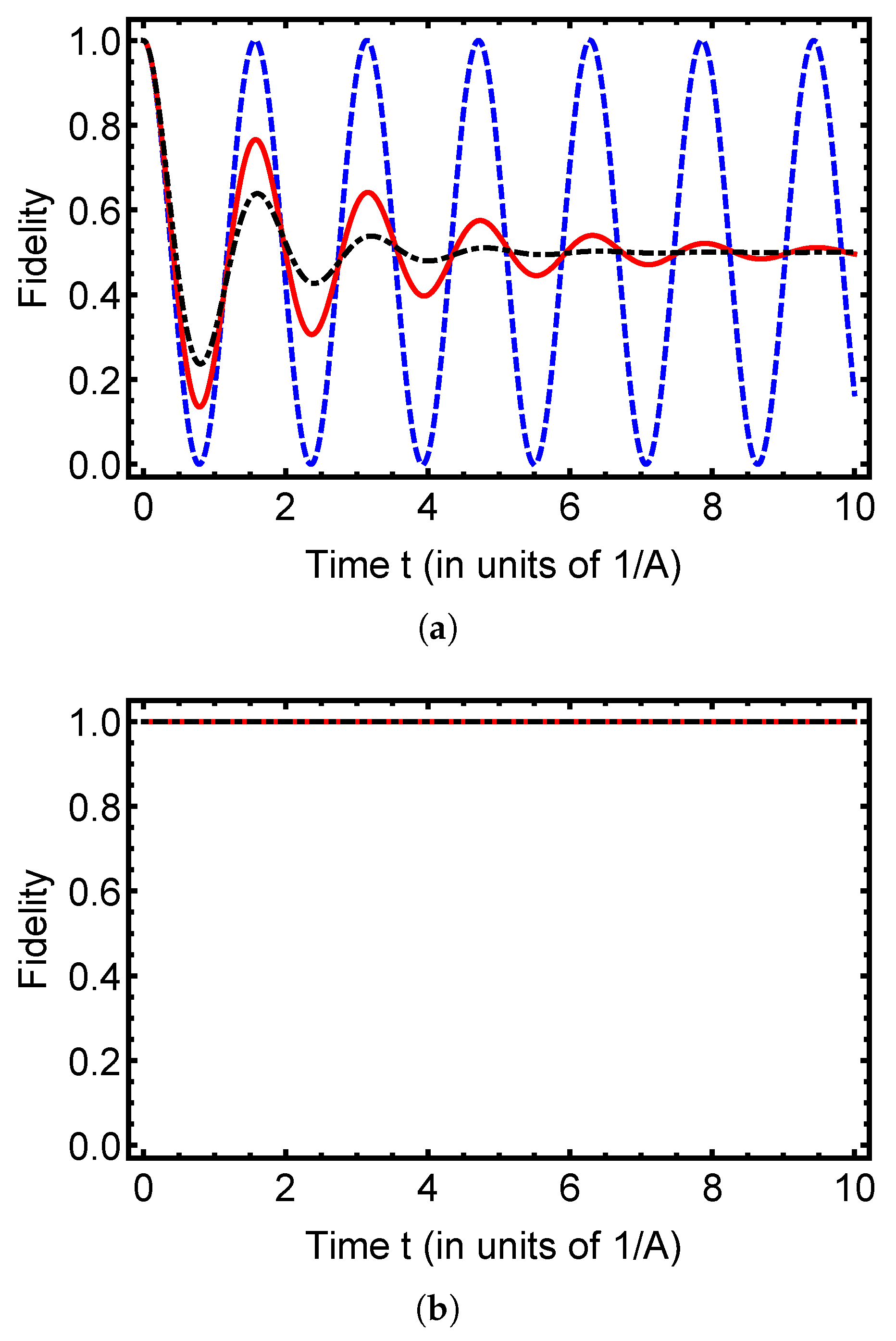
4. Probing Entanglement and Fidelity Dynamics in Open Quantum Systems
5. Conclusions
Author Contributions
Funding
Data Availability Statement
Conflicts of Interest
Appendix A. Expanded Derivation of Equations (18)–(24)
- Case I: coherent superposition in the subspace
 
- Case II: aligned Bell-like initial state
 
Appendix B. Fidelity Calculations for Asymptotic States
- Case I: Initial state
 
- Case II: Initial state
 
References
- Horodecki, R.; Horodecki, P.; Horodecki, M.; Horodecki, K. Quantum entanglement. Rev. Mod. Phys. 2009, 81, 865. [Google Scholar] [CrossRef]
 - Modi, K.; Brodutch, A.; Cable, H.; Paterek, T.; Vedral, V. The classical-quantum boundary for correlations: Discord and related measures. Rev. Mod. Phys. 2012, 84, 1655. [Google Scholar] [CrossRef]
 - Einstein, A.; Podolsky, B.; Rosen, N. Can Quantum-Mechanical Description of Physical Reality Be Considered Complete? Phys. Rev. 1935, 47, 777. [Google Scholar] [CrossRef]
 - Schrödinger, E. Discussion of Probability Relations between Separated Systems. Proc. Camb. Phil. Soc. 1935, 31, 555. [Google Scholar] [CrossRef]
 - Nielsen, M.A.; Chuang, I.L. Quantum Computation and Information; Cambridge University Press: Cambridge, UK, 2010. [Google Scholar] [CrossRef]
 - Bell, J.S. On the Einstein Podolsky Rosen paradox. Phys. Phys. Fiz. 1964, 1, 195–200. [Google Scholar] [CrossRef]
 - Clauser, J.; Horne, M.; Shimony, A.; Holt, R. Proposed Experiment to Test Local Hidden-Variable Theories. Phys. Rev. Lett. 1969, 23, 880. [Google Scholar] [CrossRef]
 - Huver, S.D.; Wildfeuer, C.F.; Dowling, J.P. Entangled Fock states for robust quantum optical metrology, imaging, and sensing. Phys. Rev. A 2008, 78, 063828. [Google Scholar] [CrossRef]
 - Wootters, W.K. Entanglement of formation and concurrence. Quantum. Inform. Comput. 2001, 1, 27. [Google Scholar] [CrossRef]
 - Bennett, C.H.; Bernstein, H.J.; Popescu, S.; Schumacher, B. Concentrating partial entanglement by local operations. Phys. Rev. A 1996, 53, 2046. [Google Scholar] [CrossRef]
 - Popescu, S.; Rohrlich, D. Thermodynamics and the measure of entanglement. Phys. Rev. A 1997, 56, R3319. [Google Scholar] [CrossRef]
 - Zyczkowski, K.; Horodecki, P.; Sanpera, A.; Lewenstein, M. Volume of the set of separable states. Phys. Rev. A 1998, 58, 883. [Google Scholar] [CrossRef]
 - Berrada, K.; Abdel-Khalek, S.; Raymond Ooi, C.H. Quantum metrology with entangled spin-coherent states of two modes. Phys. Rev. A 2012, 86, 033823. [Google Scholar] [CrossRef]
 - Amico, L.; Fazio, R.; Osterloh, A.; Vedral, V. Entanglement in many-body systems. Rev. Mod. Phys. 2008, 80, 517. [Google Scholar] [CrossRef]
 - Zhang, J.; Wang, L.; Chen, X. Scalable Entanglement Generation in Trapped-Ion Quantum Systems. Phys. Rev. A 2025, 111, 012345. [Google Scholar]
 - Li, Y.; Zhang, Q.; Liu, H. Entanglement Swapping in Photonic Quantum Networks for Enhanced Communication Protocols. Quantum Sci. Technol. 2025, 10, 015001. [Google Scholar]
 - Bohr, N. On the constitution of atoms and molecules. Philos. Mag. 1913, 26, 1. [Google Scholar] [CrossRef]
 - Bethe, H.; Salpeter, E. Quantum Mechanics of One- and Two-Electron Atoms; Springer: Berlin/Heidelberg, Germany, 1957. [Google Scholar]
 - Series, G.W. Spectrum of Atomic Hydrogen; Oxford University: New York, NY, USA, 1957. [Google Scholar]
 - Landau, L.D.; Lifshitz, E.M. Quantum Mechanics: The Basic Concepts, 3rd ed.; Elsevier: Oxford, UK, 1977. [Google Scholar] [CrossRef]
 - Berrada, K.; Bougouffa, S. Quantum Coherence and Mixedness in Hydrogen Atoms: Probing Hyperfine Structure Dynamics Under Dephasing Constraints. Symmetry 2025, 17, 1633. [Google Scholar] [CrossRef]
 - Sheludiakov, S.; McColgan, P.T.; Lee, D.M.; Khmelenko, V.V.; Järvinen, J.; Ahokas, J.; Vasiliev, S. Polarized Phases of H Atoms Embedded in Solid H2 Films. Phys. Rev. Lett. 2019, 122, 225301. [Google Scholar] [CrossRef] [PubMed]
 - Ahokas, J.; Järvinen, J.; Khmelenko, V.V.; Lee, D.M.; Vasiliev, S. Exotic Behavior of Hydrogen Atoms in Solid H2 at Temperatures below 1 K. Phys. Rev. Lett. 2006, 97, 095301. [Google Scholar] [CrossRef] [PubMed]
 - Ahokas, J.; Vainio, O.; Novotny, S.; Järvinen, J.; Khmelenko, V.V.; Lee, D.M.; Vasiliev, S. Magnetic resonance study of H atoms in thin films of H2 at temperatures below 1 K. Phys. Rev. B 2010, 81, 104516. [Google Scholar] [CrossRef]
 - Bigelow, N.P.; Freed, J.H.; Lee, D.M. Nuclear-spin waves in polarized atomic hydrogen gas: Temperature and density dependence in the hydrodynamic and Knudsen regimes. Phys. Rev. Lett. 1989, 63, 1609. [Google Scholar] [CrossRef]
 - Maleki, Y.; Maleki, A.; Zubairy, M.S. Cosmic entanglement sudden birth: Expansion-induced entanglement in hydrogen atoms. Commun. Phys. 2024, 7, 401. [Google Scholar] [CrossRef]
 - Berrada, K.; Bougouffa, S. Quantum Coherence and Purity in Dissipative Hydrogen Atoms: Insights from the Lindblad Master Equation. Entropy 2025, 27, 848. [Google Scholar] [CrossRef]
 - Demtröder, W. Atoms, Molecules and Photons; Springer: Berlin/Heidelberg, Germany, 2010; Volume 3. [Google Scholar] [CrossRef]
 - Pethick, C.J.; Smith, H. Bose–Einstein Condensation in Dilute Gases; Cambridge University Press: Cambridge, UK, 2008. [Google Scholar] [CrossRef]
 - Maleki, Y.; Sheludiakov, S.; Khmelenko, V.V.; Scully, M.O.; Lee, D.M.; Zheltikov, A.M. Natural and magnetically induced entanglement of hyperfine-structure states in atomic hydrogen. Phys. Rev. A 2021, 103, 052804. [Google Scholar] [CrossRef]
 - Wootters, W.K. Entanglement of Formation of an Arbitrary State of Two Qubits. Phys. Rev. Lett. 1998, 80, 2245. [Google Scholar] [CrossRef]
 - Hill, S.A.; Wootters, W.K. Entanglement of a Pair of Quantum Bits. Phys. Rev. Lett. 1997, 78, 5022. [Google Scholar] [CrossRef]
 - Coffman, V.; Kundu, J.; Wootters, W.K. Distributed Entanglement. Phys. Rev. A 2000, 61, 052306. [Google Scholar] [CrossRef]
 - Petz, D. Quantum Information Theory and Quantum Statistics; Springer Science & Business Media: Cham, Switzerland, 2007. [Google Scholar]
 - Walborn, S.P.; Ribeiro, P.H.S.; Davidovich, L.; Mintert, F.; Buchleitner, A. Experimental determination of entanglement with a single measurement. Nature 2006, 440, 1022–1024. [Google Scholar] [CrossRef] [PubMed]
 - Bougouffa, S.; Ficek, Z. Evidence of indistinguishability and entanglement determined by the energy-time uncertainty principle in a system of two strongly coupled bosonic modes. Phys. Rev. A 2016, 93, 063848. [Google Scholar] [CrossRef]
 - Aldaghfag, S.A.; Berrada, K.; Abdel-Khalek, S. Entanglement and photon statistics of two dipole–dipole coupled superconducting qubits with Kerr-like nonlinearities. Results Phys. 2020, 16, 102978. [Google Scholar] [CrossRef]
 - Uhlmann, A. The transition probability in the state space of a *-algebra. Rep. Math. Phys. 1976, 9, 273–279. [Google Scholar] [CrossRef]
 - Jozsa, R. Fidelity for mixed quantum states. J. Mod. Opt. 1994, 41, 2315–2323. [Google Scholar] [CrossRef]
 - Miszczak, J.A.; Puchała, Z.; Horodecki, P.; Uhlmann, A.; Życzkowski, K. Sub- and super-fidelity as bounds for quantum fidelity. Quantum Inf. Comput. 2009, 9, 0103–0130. [Google Scholar] [CrossRef]
 - Barnett, S.M. Quantum Information; Oxford University Press: Oxford, UK, 2009; ISBN 9780198527620. [Google Scholar]
 - Bougouffa, S.; Al-Hmoud, M.; Hakami, J.W. Probing quantum correlations in a hybrid optomechanical system. Int. J. Theor. Phys. 2022, 61, 190. [Google Scholar] [CrossRef]
 - Wu, S.-M.; Fan, X.-W.; Wang, R.-D.; Wu, H.-Y.; Huang, X.-L.; Zeng, H.-S. Does Hawking effect always degrade fidelity of quantum teleportation in Schwarzschild spacetime? J. High Energy Phys. 2023, 2023, 232. [Google Scholar] [CrossRef]
 - Li, S.-H.; Shang, S.-H.; Wu, S.-M. Does acceleration always degrade quantum entanglement for tetrapartite Unruh-DeWitt detectors? J. High Energy Phys. 2025, 2025, 214. [Google Scholar] [CrossRef]
 






Disclaimer/Publisher’s Note: The statements, opinions and data contained in all publications are solely those of the individual author(s) and contributor(s) and not of MDPI and/or the editor(s). MDPI and/or the editor(s) disclaim responsibility for any injury to people or property resulting from any ideas, methods, instructions or products referred to in the content.  | 
© 2025 by the authors. Licensee MDPI, Basel, Switzerland. This article is an open access article distributed under the terms and conditions of the Creative Commons Attribution (CC BY) license (https://creativecommons.org/licenses/by/4.0/).
Share and Cite
Berrada, K.; Bougouffa, S. Harnessing Quantum Entanglement and Fidelity in Hydrogen Atoms: Unveiling Dynamics Under Dephasing Noise. Appl. Sci. 2025, 15, 10938. https://doi.org/10.3390/app152010938
Berrada K, Bougouffa S. Harnessing Quantum Entanglement and Fidelity in Hydrogen Atoms: Unveiling Dynamics Under Dephasing Noise. Applied Sciences. 2025; 15(20):10938. https://doi.org/10.3390/app152010938
Chicago/Turabian StyleBerrada, Kamal, and Smail Bougouffa. 2025. "Harnessing Quantum Entanglement and Fidelity in Hydrogen Atoms: Unveiling Dynamics Under Dephasing Noise" Applied Sciences 15, no. 20: 10938. https://doi.org/10.3390/app152010938
APA StyleBerrada, K., & Bougouffa, S. (2025). Harnessing Quantum Entanglement and Fidelity in Hydrogen Atoms: Unveiling Dynamics Under Dephasing Noise. Applied Sciences, 15(20), 10938. https://doi.org/10.3390/app152010938
        
                                                
