Next Article in Journal
Traceability and Spectral Analysis of Transmission Error in Rotary Vector Planetary Gear Reducers
Next Article in Special Issue
Automation and Decision Support in Nephrology: An Expert System Based on AI and ML for the Assessment, Treatment, and Management of Focal Segmental Glomerulosclerosis
Previous Article in Journal
Resource-Efficient Acoustic Full-Waveform Inversion via Dual-Branch Physics-Informed RNN with Scale Decomposition
Previous Article in Special Issue
Fuzzy Logic Theory and Spatiotemporal Modeling of the Fungus Phakopsora pachyrhizi Based on Differential Equations
 
 
Font Type:
Arial Georgia Verdana
Font Size:
Aa Aa Aa
Line Spacing:
Column Width:
Background:
Article

Adaptive Constant False Alarm Detector Based on Composite Fuzzy Fusion Rules

School of Control Science and Engineering, Tiangong University, Tianjin 300387, China
*
Author to whom correspondence should be addressed.
These authors contributed equally to this work.
Appl. Sci. 2025, 15(2), 942; https://doi.org/10.3390/app15020942
Submission received: 21 December 2024 / Revised: 12 January 2025 / Accepted: 13 January 2025 / Published: 18 January 2025
(This article belongs to the Special Issue Fuzzy Control Systems: Latest Advances and Prospects)

Abstract

In order to improve the detection performance of the radar constant false alarm detector in a multiple-target environment, a Kaigh–Lachenbruch Quantile constant false alarm rate detector based on composite fuzzy fusion rules (CFKLQ-CFAR) is designed by combining fuzzy fusion rules and the Kaigh–Lachenbruch Quantile constant false alarm rate detector. Two sensors are used to collect environmental information, and the membership function value is calculated based on the collected information. Furthermore, the presence or absence of the target is judged compositely by four fuzzy fusion rules. CFKLQ-CFAR is applied to the variability index CFAR (VI-CFAR) detector, and an adaptive constant false alarm rate detector based on the composite fuzzy fusion rules (CFVI-CFAR) is designed to improve the performance of the radar constant false alarm detector in different environments. The simulation experiment results show that the average detection probability of CFKLQ-CFAR is 2.67% and 1.00% higher than that of KLQ-CFAR and the fuzzy logic fusion detector (FUMCA-CFAR) in a multiple-target environment. The average detection probability of CFVI-CFAR is 3.66% higher than that of the variability index heterogeneous clutter estimate modified ordered statistics CFAR (VIHCEMOS-CFAR) in a multiple-target environment, while in a clutter edge environment, the average false alarm probability of CFVI-CFAR is only 1.65% of that of VIHCEMOS-CFAR. Therefore, the performance of the radar constant false alarm detector has been effectively improved.

1. Introduction

Constant false alarm rate (CFAR) target detection technology adaptively adjusts the detection threshold based on variations in clutter levels, aiming to maximize the detection probability while maintaining a constant false alarm rate [1]. The CFAR detection technology has been widely applied in numerous fields such as autonomous driving and ship detection [2,3]. Classic CFAR detectors include cell-averaging CFAR (CA-CFAR), greatest of CFAR (GO-CFAR), smallest of CFAR (SO-CFAR), order statistics of CFAR (OS-CFAR), among others [4]. The background clutter estimation of the CA-CFAR detector is based on the mean value of reference cells in the leading and the lagging reference windows [5]. CA-CFAR has excellent detection performance in homogeneous backgrounds. However, it has poor false alarm control ability in a clutter edge environment and faces challenges in adapting to a multiple-target environment. Therefore, GO-CFAR and SO-CFAR are proposed in Ref. [6]. In GO-CFAR, the background clutter estimation is obtained by the larger sum of the reference cells of the leading and the lagging reference windows. GO-CFAR has excellent false alarm control ability in clutter edge environment, but it has poor detection performance in multiple-target environment. In the SO-CFAR detector, the background clutter estimation is based on the smaller sum of the reference cells of the leading and the lagging reference windows [7]. SO-CFAR improves the detection performance in the environment where there are interferences in a single reference window. However, SO-CFAR has poor false alarm control ability in a clutter edge environment, and its detection performance deteriorates when interferences exist on both the leading and the lagging reference windows. In order to improve the detection performance in a multiple-target environment, the OS-CFAR detector is proposed [8]. The kth reference cell in ascending order is determined as the background clutter estimation by the sample quartile estimator. OS-CFAR improves detection performance in a multiple-target environment, but its performance degrades in a homogeneous environment and a clutter edge environment. To this end, the Kaigh–Lachenbruch Quantile constant false alarm rate (KLQ-CFAR) detector is proposed as an improvement to OS-CFAR [9]. In KLQ-CFAR, the sample quartile estimator is replaced by the Kaigh–Lachenbruch Quantile estimator, resulting in improved detection performance in homogeneous environment and multiple-target environment. Overall, the detectors mentioned above are usually typically suitable for the detection requirements of a single environment and lack adaptability to the changing clutter environment. For this, the variability index CFAR (VI-CFAR) detector is proposed in Refs. [10,11]. The VI-CFAR detector combines the advantages of three detection methods: CA-CFAR, GO-CFAR, and SO-CFAR. It dynamically selects the estimation method for clutter power level based on the variability index (VI)and the mean ratio (MR) and adapts to the detection requirements of different environments. However, VI-CFAR suffers from the issue of environmental misjudgment, which leads to a degradation in detection performance. This issue can be addressed by refining or replacing the detection methods used in VI-CFAR. Modified variability index CFAR is proposed in Ref. [12]. In the modified variability index CFAR, the SO-CFAR detection method in VI-CFAR is replaced by the censored mean level detector CFAR, which enhances detection performance in a multiple-target environment, but exhibits the false alarm control ability in clutter edge environment. VIHCEMOS-CFAR detector is proposed in Ref. [13]. In VIHCEMOS-CFAR, GO-CFAR detection method in VI-CFAR is replaced by the heterogeneous clutter estimate CFAR detection method, and SO-CFAR is replaced by the modifiable ordered statistical CFAR in a multiple-target environment. VIHCEMOS-CFAR has better detection performance than VI-CFAR in a multiple-target environment, but poor false alarm control ability in a clutter edge environment. New variability index CFAR is proposed in Ref. [14]. In new variability index CFAR, SO-CFAR of VI-CFAR is replaced by ordered statistic smallest of CFAR, which improves detection performance in a multiple-target environment. However, it is susceptible to information loss due to using only half of the reference window information in a multiple-target environment. In addition, VI class CFAR detectors are prone to misclassifying homogeneous or clutter edge environment as a multiple-target environment, which places high demands on the robustness of the detection methods used by Class VI detectors. Fuzzy logic fusion detector (FUMCA-CFAR) is proposed in Ref. [15]. In FUMCA-CFAR, discrete thresholds are replaced by continuous thresholds to avoid information loss, improving the adaptability and robustness of the detection method. To further enhance the detection performance of the CFAR detector, a composite fuzzy fusion rules KLQ-CFAR detector (CFKLQ-CFAR) is proposed to improve the detection performance in multiple-target environment. Two sensors are employed to collect environmental information, and four fuzzy fusion rules (MAX, MIN, algebraic sum, algebraic product) are applied for target detection, CFKLQ-CFAR performs a composite judgment on the detection results to improve the probability of target detection. An adaptive constant false alarm rate detector based on the composite fuzzy fusion rules (CFVI-CFAR) detector is designed by combining the variability index. In homogeneous and clutter edge environments, CA-CFAR detector and GO-CFAR detector are used for target detection, respectively. The performance of CFVI-CFAR is improved while maintaining good false alarm control ability.

2. KLQ-CFAR Detector

In the KLQ-CFAR detector, the sample quartile estimator in the OS-CFAR detector is replaced by the Kaigh–Lachenbruch Quantile estimator. KLQ-CFAR has better detection performance than OS-CFAR in homogeneous and multiple-target environment.
Set N independent and identically distributed samples X e = X 1 , X 2 , , X N , sort them in ascending order to obtain X i : N , i = 1, 2, , N. Randomly select k samples from the complete sample and get M = C N k subsamples. i.e., X ( i ) , i = 1, 2, , M. After sorting each subsample X ( i ) in ascending order, select the rth sample X r : k ( i ) as the estimation of X ( i ) . The Kaigh–Lachenbruch Quantile estimator can be obtained as shown in (1):
Q ^ KLQ ( p ) = 1 M i = 1 M X r : k i
where r = [ ( k + 1 ) p ] , p is the quantile.
According to Ref. [9], P FA of KLQ-CFAR detector is shown in (2):
P FA = E [ exp [ τ h ( X e ) ] ] = M ( τ )
where E[ ] is the mathematical expectation, τ is the threshold factor, h ( X e ) is the estimation of clutter background, M( ) is the moment-generating function (MGF) of the random variable h ( X e ) .

3. KLQ-CFAR Detector Based on Composite Fuzzy Fusion Rules

According to Ref. [16], the observed values are mapped between 0 and 1, and the membership function representing the degree of no target and target is obtained as shown in (3):
μ ( x ) = Pr ( X > x | H 0 ) = 1 F X ( x )
where x is the observation, and F X ( x ) is the cumulative distribution function of X.
In this way, the membership function of the KLQ-CFAR detector based on fuzzy fusion rules is shown in (4):
μ KLQ ( x ) = Pr ( X > D Q ^ KLQ ( p ) | H 0 ) = 1 F X ( x )
where the numerator D is the value of the unit to be detected, and the denominator is the estimation of the clutter background of Kaigh–Lachenbruch Quantile estimator.
Because μ ( x ) is a monotonically decreasing function, stronger observations values are assigned smaller membership function values. When μ ( x ) is less than the threshold, it indicates that the target has been detected. According to the physical meaning of (4) [17,18,19,20], the membership function of the KLQ-CFAR detector with fuzzy fusion rules is shown in (5):
μ KLQ ( x ) = M ( x )
Two sensors are used to collect environmental information, the membership function values of each KLQ-CFAR are calculated. Four fusion results are obtained by using four fuzzy fusion rules. Currently, there are four commonly used fuzzy fusion rules, and the fuzzy fusion rules and judgment thresholds are provided in Table 1.
In Table 1, four fuzzy fusion KLQ-CFAR detectors can be implemented according to the above rules. In order to improve the probability of target detection, the four fuzzy fusion KLQ-CFAR detection results are combined. Thus, a KLQ-CFAR detection algorithm based on composite fuzzy fusion rules is proposed. The specific steps are designed as follows:
Step 1: Use two sensors to collect background information X e 1 and X e 2 of D.
Step 2: Calculate the values of the membership function μ KLQ 1 ( x ) and μ KLQ 2 ( x ) .
Step 3: Calculate the results μ FC ( i ) and thresholds T FC ( i ) of four fuzzy fusion rules, i = 1, 2, 3, 4.
Step 4: Calculate y i = μ FC ( i ) T FC ( i ) , i = 1 , 2 , 3 , 4 .
Step 5: Calculate Z = i = 1 4 w i · y i .
Step 6: If Z < 0, the target exists. Otherwise, the target does not exist.
Kaigh–Lachenbruch Quantile constant false alarm rate detector based on composite fuzzy fusion rules employs two independent sensors to collect background information and calculate membership functions μ KLQ 1 ( x ) and μ KLQ 2 ( x ) to obtain four types of fuzzy fusion results. These results are compared with their respective thresholds. In addition, a composite detection result is obtained by using a weighted voting method to determine the presence or absence of the target. The weighted voting method assigns weights to the detection results of four fuzzy rules and sums them up to obtain a comprehensive detection result. It can reduce the limitations of a single method by combining multiple detection results, thus improving the overall accuracy of detection. When certain detection methods fail or are incompletely detected, other methods can still provide support and improve robustness. The algorithm comprehensively considers four different fusion results and significantly improves the probability of target detection by integrating multiple aspects of information.

4. Adaptive Constant False Alarm Detector Based on Composite Fuzzy Fusion Rules

A suitable detector can be selected in the adaptive constant false alarm detector according to the type of environmental information. Thus, it can effectively improve the adaptability of the target detector and enhance detection performance. Based on the designed Kaigh–Lachenbruch Quantile constant false alarm rate detector based on composite fuzzy fusion rules, an adaptive constant false alarm detector with composite fuzzy fusion rules (CFVI-CFAR) is further designed. The principle is shown in Figure 1.
In Figure 1, the variability index (VI) and the mean ratio (MR) of the leading and the lagging reference windows are calculated, and the CFAR detection method is selected based on environmental clutter type information. The calculation formulas for VI and MR are shown in (6) and (7):
V I = 1 + σ ^ 2 μ ^ 2 = 1 + 1 n 1 i = 1 n x i x ¯ 2 ( x ¯ ) 2
M R = x ¯ A x ¯ B = i A x i i B x i
where σ ^ 2 is estimation of variance, μ ^ 2 is the estimation of the mean, x ¯ is the average value of the total reference cell N, x ¯ A and x ¯ B are the sample mean of the leading and lagging windows, respectively.
The criteria for determining the type of environmental clutter are as follows in (8) and (9):
V I K V I H o m o g e n e o u s V I > K V I I n h o m o g e n e o u s
K M R 1 M R K M R S a m e m e a n s M R < K M R 1 o r M R > K M R D i f f e r e n t m e a n s
where K V I is the comparison threshold value of statistic VI, K M R is the comparison threshold value of statistic MR.
Equations (8) and (9) can determine whether the leading and lagging windows are homogeneous and whether the mean is the same. When the homogeneous environment is determined, CA-CFAR is selected as the target detector. When the clutter edge environment is determined, GO-CFAR is selected as the target detector. When the multiple-target environment is determined, CFKLQ-CFAR is selected as the target detector. On the one hand, it can improve the probability of target detection in multiple-target environment; on the other hand, it can improve the robustness of target detection when a homogeneous environment or clutter edge environment is misjudged as a multiple-target environment. The specific selection strategy for the CFVI-CFAR algorithm is shown in Table 2.

5. Simulation Experiment Results and Analysis

5.1. CFKLQ-CFAR Detection Performance

5.1.1. Monte Carlo Simulation Experiment

In order to test the detection performance of CFKLQ-CFAR, comparative simulation experiments are carried out. The simulation experiment is carried out on MATLAB R2022b software. The Monte Carlo method is used to simulate and compare the performance of CFAR detectors in homogeneous environments and multiple-target environments. The number of simulations is 10 5 times; the environmental background consists of Gaussian white noise and clutter with an envelope that follows a Rayleigh distribution. After the envelope detector, clutter obeys the assumption of exponential clutter, and the target under H 0 has a probability density function:
f ( x | H 0 ) = 1 μ exp ( x μ )
where μ is the scale parameter.
Both the target and the interference are followed by Swerling II model fluctuation under H 1 . If the signal-to-clutter ratio (SCR) is denoted as S, the probability density function the target under H 1 is given by [9]:
f ( x | H 1 ) = 1 μ ( 1 + S ) exp x μ ( 1 + S )
In a multiple-target environment, the interference power is the same as the target power. Set P F A = 10 6 , the number of reference cells is N = 32. Choose KLQ-CFAR [9], MAX-based fuzzy fusion rules KLQ-CFAR (MAXKLQ-CFAR), MIN-based fuzzy fusion rules KLQ-CFAR (MINKLQ-CFAR), algebraic product-based fuzzy fusion rules KLQ-CFAR (APKLQ-CFAR), algebraic sum-based fuzzy fusion rules KLQ-CFAR (ASKLQ-CFAR) and CFKLQ-CFAR as comparative methods for performance analysis. The r 1 and r 2 of KLQ-CFAR are set to 6 and 3. Several experiments have shown that when the weight distribution is [0.1, 0, 0, 0.9], CFKLQ-CFAR has the best detection performance. The simulation results of the target detection probability are shown in Figure 2.
As shown in Figure 2, the performance of the KLQ-CFAR detector with fuzzy fusion rules is superior to that of the traditional KLQ-CFAR detector. After calculation, in Figure 2a, the average detection probability of CFKLQ is 57.45%, which is 1.05% higher than that of KLQ, 0.03% higher than that of MAXKLQ, 1.07% higher than that of MINKLQ, 1.05% higher than that of APKLQ and 0.02% higher than that of ASKLQ. In Figure 2b, the average detection probability of CFKLQ is 56.78%, which is 2.67% higher than that of KLQ, 1.14% higher than that of MAXKLQ, 2.63% higher than that of MINKLQ, 2.43% higher than that of APKLQ and 0.04% higher than that of ASKLQ. In Figure 2c, the average detection probability of CFKLQ is 55.04%, which is 2.71% higher than that of KLQ, 1.06% higher than that of MAXKLQ, 2.63% higher than that of MINKLQ, 2.36% higher than that of APKLQ and 0.02% higher than that of ASKLQ. In Figure 2d, the average detection probability of CFKLQ is 56.02%, which is 2.76% higher than that of KLQ, 1.21% higher than that of MAXKLQ, 2.76% higher than that of MINKLQ, 2.52% higher than that of APKLQ, and 0.06% higher than that of ASKLQ. The target detection method based on fuzzy fusion integrates the detection information of two sensors and achieves better performance than traditional binary decision-making approaches. CFKLQ-CFAR further combines the judgment results of four fuzzy fusion rules to obtain a composite judgment result with better performance. In various environments, the performance of the CFKLQ-CFAR detector is superior to the above comparison methods, demonstrating good detection robustness.The average detection probability of each detector in different environments with SNR ranging from 0 dB to 35 dB is shown in Table 3.
As shown in Table 3, compared with KLQ-CFAR, the average detection probability of CFKLQ-CFAR increased by 1.05% in a homogeneous environment, 2.67% in an environment with one interference in the leading window, 2.71% in an environment with three interferences in the leading window, and 2.76% in an environment with one interference in both windows. The time for KLQ to perform a target recognition is 0.5055 seconds, and that for CFKLQ-CFAR is 0.5098 seconds. Compared with KLQ, CFKLQ has improved performance, but the computation time has increased by 0.0043 seconds. In order to test the impact of different weights on the detection performance of CFKLQ-CFAR, the performance of CFKLQ-CFAR with different weights is tested in a multiple-target environment with one interference in both windows, as shown in Table 4.
As shown in Table 4, different weights correspond to different average detection probabilities of CFKLQ-CFAR. When the weights assigned to the four fusion methods are [0.25, 0.25, 0.25, 0.25], the average detection probability of CFKLQ-CFAR is 55.41%, which has poor detection performance. Because among the four fusion methods, MINKLQ-CFAR and APKLQ-CFAR have poorer detection performance than the other two methods, reducing the weights of MINKLQ-CFAR and APKLQ-CFAR and increasing the weights of MAXKLQ-CFAR and ASKLQ-CFAR. When the weight distribution is [0.5, 0, 0, 0.5], the average detection probability is 55.60%, which improves the average detection probability of CFKLQ-CFAR. Because ASKLQ-CFAR is better than MAXKLQ-CFAR, the weight of ASKLQ-CFAR is increased and the weight of MAXKLQ-CFAR is reduced. When the weight distribution is [0.4, 0, 0, 0.6], the average detection probability is 55.70%. When the weight distribution is [0.1, 0, 0, 0.9], the average detection probability is 56.02%. However, when the weight distribution is [0.08, 0, 0, 0.92], the average detection probability decreases to 55.93%. When the weight distribution is [0.12, 0, 0, 0.88], the average detection probability is 55.98%. Therefore, the experiment shows that when the weight distribution is [0.1, 0, 0, 0.9], it has better detection performance.

5.1.2. Statistical Test

To test the difference in the average detection probability between CFKLQ-CFAR and ASKLQ-CFAR, paired t-tests, and ANOVA are performed using SPSS26.0 software. First, a paired t-test is performed. The selected data, CFKLQ-CFAR and ASKLQ-CFAR, are tested 10 times in two environments: a homogeneous environment and three interferences in the leading window. Two groups of paired t-tests are performed.
In a homogeneous environment, the results of the paired t-test on CFKLQ-CFAR and ASKLQ-CFAR are as follows:
As shown in Table 5, the average detection probability of ASKLQ-CFAR is 57.4241%, and that of CFKLQ-CFAR is 57.4509%. The average of CFKLQ-CFAR is 0.0268% higher than that of ASKLQ-CFAR. This shows that the detection performance of CFKLQ-CFAR with the composite fusion rule has been improved in a homogeneous environment. In order to further compare whether the detection performance of the two detectors has reached the statistical difference level, paired t-tests are performed for ASKLQ-CFAR and CFKLQ-CFAR. The average value is −0.02685, the standard deviation is 0.0052781, the standard error mean is 0.0016691, the 95% confidence interval for the difference is [−0.0306257, −0.02300743], the t-value is −16.087, the degree of freedom is 9, and the p-value is 6.1364 × 10−8. As can be seen from the above data, the T value of the paired t-test of the average detection probability of ASKLQ-CFAR and CFKLQ-CFAR is −16.087. The p value is 6.1364 × 10−8, which is less than 0.05 at the significance level of 0.05. Therefore, it is believed that there is a significant difference between the detection performance of ASKLQ-CFAR and CFKLQ-CFAR in a homogeneous environment.
The same data were used for the following ANOVA. In the ten sets of ASKLQ-CFAR data, the mean is 57.42405, the standard deviation is 0.0039803, and the 95% confidence interval of the mean is [57.421203, 57.426897]. In the ten sets of CFKLQ-CFAR data, the mean is 57.45008, the standard deviation is 0.0054558, and the 95% confidence interval of the mean is [57.446177, 57.453983]. From these data, it can be seen that the average detection probability of CFKLQ-CFAR is 0.02603 higher than that of ASKLQ-CFAR. According to the confidence intervals of the two sets of data, it can be seen that the two sets of data are quite different. It can be considered that CFKLQ-CFAR improves detection performance.The ANOVA is shown in Table 6.
As shown in Table 6, the sum of squares between groups is 0.003, and the sum of squares within groups is 0.00041. The F value of the sum of squares between groups is 148.5259, and the significant p value is 3.9252 × 10−10, which is less than the significant level of 0.05. Therefore, it is believed that there is a significanct difference in the detection performance of ASKLQ-CFAR and CFKLQ-CFAR in a homogeneous environment.
In a multiple-target environment, when three interferences exist in the leading window. The results of the paired t-test on CFKLQ-CFAR and ASKLQ-CFAR are as follows:
As shown in Table 7, the average detection probability of ASKLQ-CFAR is 55.0254%, and that of CFKLQ-CFAR is 55.0429%. The average of CFKLQ-CFAR is 0.0175% higher than that of ASKLQ-CFAR. This shows that the detection performance of CFKLQ-CFAR with the composite fusion rule has been improved in a multiple-target environment. In order to further compare whether the detection performance of the two detectors has reached the level of statistical difference, paired t-tests are performed for ASKLQ-CFAR and CFKLQ-CFAR. The average value is −0.01749, the standard deviation is 0.0036413, the standard error mean is 0.0011515, the 95% confidence interval for the difference is [−0.0200948, −0.0148852], t-value is −15.189, degree of freedom is 9 and p-value is 1.0116 × 10−7. As can be seen from the above data, the T value of the paired t-test of the average detection probability of ASKLQ-CFAR and CFKLQ-CFAR is −15.189. p value is 1.0116 × 10−7, which is less than 0.05 at the significance level of 0.05. Therefore, it is believed that there is a significant difference between the detection performance of ASKLQ-CFAR and CFKLQ-CFAR in a multiple-target environment.
The same data are used for the following ANOVA. In the ten sets of ASKLQ-CFAR data, the mean is 55.02544, the standard deviation is 0.0039390, and the 95% confidence interval of the mean is [55.022622, 55.028258]. In the ten sets of CFKLQ-CFAR data, the mean is 55.02493, the standard deviation is 0.0036878, and the 95% confidence interval of the mean is [55.040292, 55.045568]. From these data, it can be seen that the average detection probability of CFKLQ-CFAR is 0.01749 higher than that of ASKLQ-CFAR. According to the confidence intervals of the two sets of data, it can be seen that the two sets of data are quite different. It can be considered that CFKLQ-CFAR improves detection performance.The ANOVA is shown in Table 8.
As shown in Table 8, the sum of squares between groups is 0.002, and the sum of squares within groups is 0.000262. The F value of the sum of squares between groups is 105.062. The p value is 6.0995 × 10−9, which is less than the significance level of 0.05. Therefore, it is believed that there is a significant difference in the detection performance of ASKLQ-CFAR and CFKLQ-CFAR in a multiple-target environment.

5.1.3. Performance Comparison Between CFKLQ-CFAR and FUMCA-CFAR

In Ref. [15], a sub-reference window minimum selection unit constant false alarm rate detector (MCA-CFAR) is proposed, and based on this, four constant false alarm rate detectors with fuzzy fusion rules (FUMCA-CFAR) are designed. That is, the MCA-CFAR based on the “MAX” fuzzy fusion rules (MAX-MCA-CFAR), the MCA-CFAR based on the “MIN” fuzzy fusion rules (MIN-MCA-CFAR), the MCA-CFAR based on the algebraic product fuzzy fusion rules (PRODUCTS-MCA-CFAR), and the MCA-CFAR based on the algebraic sum fuzzy fusion rules (SUM-MCA-CFAR). The performance comparison results of the proposed CFKLQ-CFAR and the five detectors are presented in Figure 3.
As shown in Figure 3, in a multiple-target environment, the detection performance of CFKLQ-CFAR is superior to that of five CFAR detectors. After calculation, in Figure 3a, the average detection probability of CFKLQ is 56.78%, which is 3.34% higher than that of MCA, 2.28% higher than that of MAX-MCA, 2.35% higher than that of MIN-MCA, 2.11% higher than that of PRODUCTS-MCA, and 1.35% higher than that of SUM-MCA. In Figure 3b, the average detection probability of the CFKLQ is 55.04%, which is 5.34% higher than that of MCA, 1.40% higher than that of MAX-MCA, 1.49% higher than that of MIN-MCA, 1.23% higher than that of PRODUCTS-MCA, and 1.00% higher than that of SUM-MCA. In Figure 3c, the average detection probability of the CFKLQ is 56.02%, which is 5.73% higher than that of MCA, 2.17% higher than that of MAX-MCA, 1.28% higher than that of MIN-MCA, 1.94% higher than that of PRODUCTS-MCA, and 1.28% higher than that of SUM-MCA. Because CFKLQ-CFAR not only uses a fuzzy fusion strategy but also makes composite decisions based on the four fusion results. CFKLQ-CFAR improves the utilization of target detection information and improves the detection performance. The average detection probability of each detector in different environments with SNR ranging from 0 dB to 35 dB is provided in Table 9.

5.2. CFVI-CFAR Detection Performance

VI-type detectors can effectively improve the adaptability of detectors by selecting the appropriate detector based on the environment type, thereby improving detection performance. For example, In VIHCEMOS-CFAR [13], the CA-CFAR detector is selected in a homogeneous environment, the modified order statistics CFAR detector is selected in a multiple-target environment, and the heterogeneous clutter estimate CFAR detector is selected in a clutter edge environment, thus demonstrating excellent overall detection performance. To verify the detection performance of the CFVI-CFAR, Monte Carlo simulation is used for comparative analysis with CA-CFAR [5], OS-CFAR [8], KLQ-CFAR [9] and VIHCEMOS-CFAR [13] in a homogeneous environment, a multiple-target environment, and a clutter edge environment. The r 1 and r 2 of KLQ-CFAR are set to 6 and 3, the k of OS-CFAR is set to 24, K V I = 4.76, K M R = 1.806.

5.2.1. Homogeneous Environment

The performance comparison of each detector in a homogeneous environment, as well as the probability of determination of the type of environment of the VI-type detectors are shown in Figure 4.
As shown in Figure 4a, the curves, from top to bottom, represent CA-CFAR, CFVI-CFAR, VIHCEMOS-CFAR, KLQ-CFAR, and OS-CFAR, respectively. Since both CFVI-CFAR and VIHCEMOS-CFAR use CA-CFAR as the detector in a homogeneous environment, their detection performances are nearly identical. Meanwhile, as shown in Figure 4b, due to the probability of approximately 0.1 of the VI-type detectors misjudging the homogeneous environment as another type, a slight difference in detection probability is observed between CFVI-CFAR and VIHCEMOS-CFAR.
To further analyze the detection performance of each detector in a homogeneous environment, the SNR of each detector is selected when the detection probability P d = 0.5, the specific data are shown in Table 10.
As shown in Table 10, when the detection probability P d is 0.5, the SNR required for CFVI-CFAR is 0.02 dB lower than that for VIHCEMOS-CFAR, the SNR loss of CFVI-CFAR relative to CA-CFAR is 0.18 dB. In comparison, the SNR loss of VIHCEMOS-CFAR compared with CA-CFAR is 0.20 dB. CFVI-CFAR exhibits a smaller SNR loss in a homogeneous environment, maintaining detection performance close to that of CA-CFAR.

5.2.2. Multiple-Target Environment

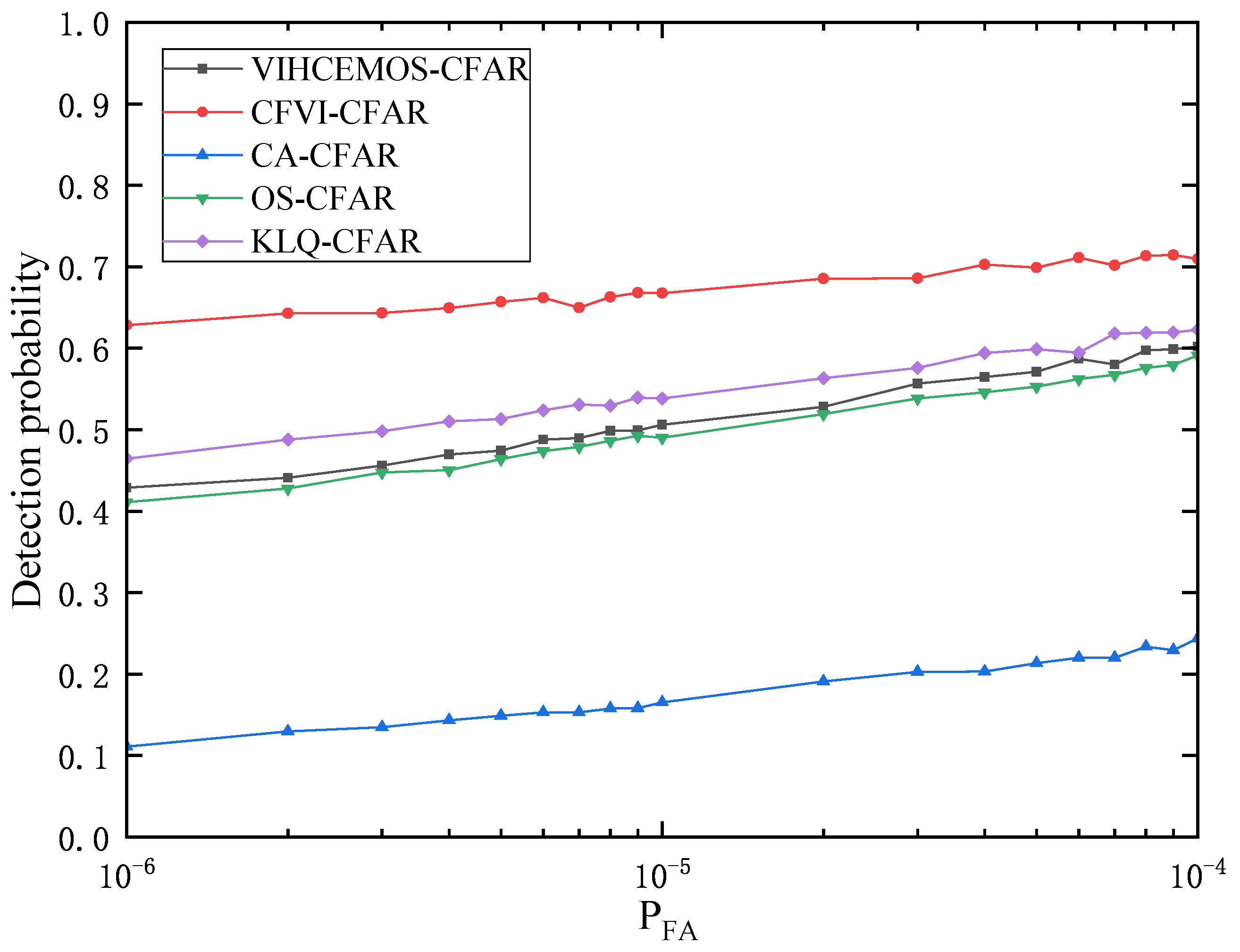
In a multiple-target environment, the probability of determination of the type of environment of VI-type detectors is shown in Figure 5. Figure 5a–c show the probability of determining the type of environment of the VI-type detectors under different environments: one interference in the leading window, three interferences in the leading window, and one interference target in both windows. Performance comparisons for each detector are shown in Figure 6. Figure 6a–c show the performance comparison of each detector in different environments: one interference in the leading window, three interferences in the leading window, and one interference in both windows.
As shown in Figure 5a–c, under low SNR conditions, VI-type detectors are prone to misjudging the type of environment, whereas under high SNR conditions, it can correctly determine the type of environment with a higher probability. As shown in Figure 6a–c, the curves, from top to bottom, represent CFVI-CFAR, KLQ-CFAR, OS-CFAR, VIHCEMOS-CFAR, and CA-CFAR. The detection probability of CFVI-CFAR is significantly higher than that of VIHCEMOS-CFAR. The average detection probability of detectors in different environments with SNR ranging from 0 to 35 dB is provided in Table 11.
As shown in Table 11, compared with VIHCEMOS-CFAR, the average detection probability of CFVI-CFAR increases by 3.66% in an environment with one interference in the leading window, by 4.79% in an environment with three interferences in the leading window, and by 5.94% in an environment with one interference in both windows. CFVI-CFAR utilizes two channels of collected information for fuzzy fusion and further enhances the use of decision information through composite decision-making techniques, thereby significantly improving the probability of target detection in a multiple-target environment.
To further evaluate the detection performance of CFVI-CFAR in multiple-target environment, receiver operating characteristic (ROC) curves are used for comparison, with the number of interferences set to 4 and SNR = 15 dB. The comparison results are shown in Figure 7.
As shown in Figure 7, the ROC curves from top to bottom are CFVI-CFAR, KLQ-CFAR, VIHCEMOS-CFAR, OS-CFAR and CA-CFAR, respectively. Even when the constant false alarm rate changes, the CFVI-CFAR detector consistently maintains better detection performance than the other detectors.

5.2.3. Clutter Edge Environment

In a clutter edge environment, the clutter power within the reference cells fluctuates between different levels. The clutter power levels at different positions are also different, meaning that the reference cells are not identically distributed. With P F A set to 10 4 , the false alarm probabilities of the VIHCEMOS-CFAR and CFVI-CFAR detectors are shown in Figure 8.
As shown in Figure 8, in a clutter edge environment, VIHCEMOS-CFAR uses the heterogeneous clutter estimate CFAR detection algorithm and exhibits significant false alarm spikes. In contrast, CFVI-CFAR prevents the occurrence of noticeable false alarm spikes by selecting GO-CFAR, thereby demonstrating better false alarm control ability compared with VIHCEMOS-CFAR. The average false alarm probability of both detectors in a clutter edge environment with an SNR of 10 dB is shown in Table 12.
As shown in Table 12, in a clutter edge environment, the average false alarm probability of the CFVI-CFAR detector is 1.80 × 10−4, while the average false alarm probability of VIHCEMOS-CFAR is 1.09 × 10−2. CFVI-CFAR demonstrates superior performance in false alarm control ability.

6. Conclusions

CFKLQ-CFAR improves target detection performance by improving information utilization during the detection process. The environmental information collected by two sensors is fused using fuzzy logic, and composite decision-making is applied to the multiple fuzzy fusion results. CFVI-CFAR, designed with a variability index, effectively improves the detection performance of VI-type constant false alarm rate detectors. The simulation results show that CFKLQ-CFAR improves the detection probability in a multiple-target environment. CFVI-CFAR demonstrates better detection performance than VIHCEMOS-CFAR in a multiple-target environment and exhibits superior false alarm control ability in acclutter edge environment compared with VIHCEMOS-CFAR. In complex noise environments, such as wireless communications, satellite communications, or audio signal processing, the CFVI-CFAR detector can effectively separate signals from noise and detect the presence of target signals. It can also be used in environmental monitoring, sensor data fusion, and other applications to detect abnormal patterns or targets from multi-source sensor data. However, if there are many targets in the application scenario or if the amount of data is extremely large, it may not meet the real-time requirements due to the increased computational complexity. Compared with AI-based detection systems, the CFVI-CFAR detector has lower computational complexity, does not rely on large amounts of data, and has good interpretability. However, CFVI-CFAR also faces some limitations and potential challenges in practical implementation. It may be less adaptable to extremely complex and highly dynamic environments and relies on manually designed rules, and the computational complexity may increase in complex scenarios. In the future, the determination method of CFVI-CFAR will be optimized and improved, and parallel computing and hardware acceleration will be used to optimize the computational complexity to further improve the detection performance of CFVI-CFAR.

Author Contributions

Conceptualization, C.X. and Y.Y.; methodology, C.X.; software, Y.Y.; validation, C.X. and Y.Y.; formal analysis, Y.Y.; investigation, C.X.; resources, C.X.; data curation, Y.Y.; writing—original draft preparation, Y.Y.; writing—review and editing, C.X.; visualization, Y.Y.; supervision, C.X.; project administration, C.X. All authors have read and agreed to the published version of the manuscript.

Funding

This research received no external funding.

Data Availability Statement

The raw data supporting the conclusions of this article will be made available by the authors on request.

Conflicts of Interest

The authors declare no conflicts of interest.

References

  1. Yang, Y.; Yang, B. Overview of Radar Detection Methods for Low Altitude Targets in Marine Environment. J. Syst. Eng. Electron. 2024, 35, 1–13. [Google Scholar] [CrossRef]
  2. Wen, X.; Zhang, S.; Wang, J.; Yao, T.; Tang, Y. A CFAR-Enhanced Ship Detector for SAR Images Based on YOLOv5s. Remote Sens. 2024, 16, 733. [Google Scholar] [CrossRef]
  3. Huang, K.; Ding, J.; Deng, W. An Overview of Millimeter-Wave Radar Modeling Methods for Autonomous Driving Simulation Applications. Sensors 2024, 24, 3310. [Google Scholar] [CrossRef] [PubMed]
  4. Kenane, E.; Khalfa, A.; Sahed, M.; Djahli, F. Performance analysis of mean level CFAR detectors in homogeneous gamma-distributed radar clutter. Int. J. Remote Sens. 2024, 45, 9338–9358. [Google Scholar] [CrossRef]
  5. Medeiros, D.S.; García, F.D.A.; Machado, R.; Santos Filho, J.C.S.; Saotome, O. Ca-cfar performance in k-distributed sea clutter with fully correlated texture. IEEE Geosci. Remote Sens. Lett. 2023, 20, 1500505. [Google Scholar] [CrossRef]
  6. Sahed, M.; Kenane, E.; Khalfa, A.; Djahli, F. Exact closed-form P fa expressions for CA-and GO-CFAR detectors in Gamma-distributed radar clutter. IEEE Trans. Aerosp. Electron. Syst. 2022, 59, 4674–4679. [Google Scholar] [CrossRef]
  7. Cui, Y.; Liao, S.; Gao, J.; Zhu, H.; Zhao, N.; Luo, A. Cascaded-Filter-Based Reverberation Suppression Method of Short-Pulse Continuous Wave for Active Sonar. Remote Sens. 2024, 16, 2949. [Google Scholar] [CrossRef]
  8. Rihan, M.Y.; Nossair, Z.B.; Mubarak, R.I. An improved CFAR algorithm for multiple environmental conditions. Signal Image Video Process. 2024, 18, 3383–3393. [Google Scholar] [CrossRef]
  9. Zhou, J.; Xie, J. Robust CFAR detector based on KLQ estimator for multiple-target scenario. IEEE Trans. Geosci. Remote Sens. 2023, 61, 5104716. [Google Scholar] [CrossRef]
  10. Zhao, Z.; Wang, H.; Cao, L.; Wang, D.; Fu, C. Doppler-spread Target Summation Variability Index CFAR Detector for FMCW Radar. IEEE Sens. J. 2024, 24, 32519–325322. [Google Scholar]
  11. Wang, X.; Li, Y.; Zhang, N. A robust variability index CFAR detector for Weibull background. IEEE Trans. Aerosp. Electron. Syst. 2022, 59, 2053–2064. [Google Scholar] [CrossRef]
  12. Ma, B.J.; Li, Y.H. CFAR Algorithm of Millimeter Wave LFMCW Based on VI-CFAR Research. J. Microwaves 2021, 37, 134–137. [Google Scholar]
  13. Qin, T.C.; Wang, Z.X.; Huang, Y.; Wei, H.X.; Liu, Y. VIHCEMOS-CFAR Detector Based on Improved VI-CFAR. In Proceedings of the Journal of Physics: Conference Series, Suzhou, China, 19–21 May 2023; IOP Publishing: Bristol, UK, 2023; Volume 2613, p. 012007. [Google Scholar]
  14. Wen, X.; Wan, J.Z.; Zhang, H.Y. Improved constant false alarm detector based on OSVI-CFAR. J. Electron. Meas. Instrum. 2018, 32, 181–187. [Google Scholar]
  15. Zhang, Z.W.; Xiong, X.Z.; Liao, G.; Gong, P.C.; Zhu, X.C. A fuzzy fusion rule-based CFAR detector. Mod. Radar 2024, 46, 78–85. [Google Scholar]
  16. Hammoudi, Z.; Soltani, F. Distributed CA-CFAR and OS-CFAR detection using fuzzy spaces and fuzzy fusion rules. IEE Proc. Radar Sonar Navig. 2004, 151, 135–142. [Google Scholar] [CrossRef]
  17. Hao, C.P.; Liu, M.G. A Fuzzy CFAR Detection Method for Range-extended Targets with Enhanced Anti-jamming Capability. J. Signal Process. 2019, 35, 1580–1589. [Google Scholar]
  18. Leung, S.W.; Minett, J.W. The use of fuzzy spaces in signal detection. Fuzzy Sets Syst. 2000, 114, 175–184. [Google Scholar] [CrossRef]
  19. Xu, Y.; Hou, C.; Yan, S.; Li, J.; Hao, C. Fuzzy statistical normalization CFAR detector for non-Rayleigh data. IEEE Trans. Aerosp. Electron. Syst. 2015, 51, 383–396. [Google Scholar] [CrossRef]
  20. Cai, L.; Ma, X.; Hao, C.; Yang, X. Performance analysis of distributed fuzzy CA-CFAR detector in Pearson distributed clutter. IEEE Trans. Aerosp. Electron. Syst. 2015, 51, 383–396. [Google Scholar]
Figure 1. The algorithm diagram of CFVI-CFAR.
Figure 1. The algorithm diagram of CFVI-CFAR.
Applsci 15 00942 g001
Figure 2. The detection probability of each detector:when (a) in homogeneous environment, (b) there is one interference in the leading reference window, (c) there are three interferences in the leading reference window, (d) there is one interference in both the leading and lagging reference windows.
Figure 2. The detection probability of each detector:when (a) in homogeneous environment, (b) there is one interference in the leading reference window, (c) there are three interferences in the leading reference window, (d) there is one interference in both the leading and lagging reference windows.
Applsci 15 00942 g002
Figure 3. The detection probability of each detector:when (a) there is one interference in the leading reference window, (b) there are three interferences in the leading reference window, (c) there is one interference in both the leading and lagging reference windows.
Figure 3. The detection probability of each detector:when (a) there is one interference in the leading reference window, (b) there are three interferences in the leading reference window, (c) there is one interference in both the leading and lagging reference windows.
Applsci 15 00942 g003
Figure 4. In a homogeneous environment: (a) target detection probability of each detector, (b) probability of environment type determination for VI-type detectors.
Figure 4. In a homogeneous environment: (a) target detection probability of each detector, (b) probability of environment type determination for VI-type detectors.
Applsci 15 00942 g004
Figure 5. The probability of environment type determination for VI-type detectors: (a) there is one interference in the leading reference window, (b) there are three interferences in the leading reference window, (c) there is one interference in both the leading and lagging reference window.
Figure 5. The probability of environment type determination for VI-type detectors: (a) there is one interference in the leading reference window, (b) there are three interferences in the leading reference window, (c) there is one interference in both the leading and lagging reference window.
Applsci 15 00942 g005
Figure 6. The detection probability of various detectors: (a) there is one interference in the leading reference window, (b) there are three interferences in the leading reference window, (c) there is one interference in both reference windows.
Figure 6. The detection probability of various detectors: (a) there is one interference in the leading reference window, (b) there are three interferences in the leading reference window, (c) there is one interference in both reference windows.
Applsci 15 00942 g006
Figure 7. ROC in a multiple-target environment.
Figure 7. ROC in a multiple-target environment.
Applsci 15 00942 g007
Figure 8. False alarm probability of clutter edge environment.
Figure 8. False alarm probability of clutter edge environment.
Applsci 15 00942 g008
Table 1. Fusion rules and judgment thresholds.
Table 1. Fusion rules and judgment thresholds.
Fuzzy Fusion RulesCalculation FormulaThreshold
“MAX” fusion rules μ FC 1 = max ( μ 1 ( x ) , μ 2 ( x ) ) T FC 1 = P FA
“MIN” fusion rules μ FC 2 = min ( μ 1 ( x ) , μ 2 ( x ) ) T FC 2 = 1 ( 1 P FA )
“Algebraic product” fusion rules μ FC 3 = μ 1 ( x ) · μ 2 ( x ) P FA = T FC 3 + 1 T FC 3 · ln ( 1 T FC 3 )
“Algebraic sum” fusion rules μ FC 4 = 1 ( 1 μ 1 ( x ) ) · ( 1 μ 2 ( x ) ) P FA = T FC 4 · ln ( 1 T FC 4 )
Table 2. CFVI-CFAR algorithm.
Table 2. CFVI-CFAR algorithm.
Leading Window Variable?Lagging Window Variable?Different Means?Background EnvironmentStrategy Selection
NoNoNoHomogeneous environmentCA-CFAR
NoNoYesClutter edge environmentGO-CFAR
YesNo/Multiple-target environment.CFKLQ-CFAR
NoNo/Multiple-target environment.CFKLQ-CFAR
YesYes/Multiple-target environment.CFKLQ-CFAR
Table 3. The average detection probability of each detector in different environments.
Table 3. The average detection probability of each detector in different environments.
EnvironmentKLQ (6, 3)MAXKLQMINKLQAPKLQASKLQCFKLQ
Homogeneous environment56.40%57.42%56.38%56.40%57.43%57.45%
One interference in the leading window54.11%55.64%54.15%54.35%56.74%56.78%
Three interferences in the leading window52.33%53.98%52.41%52.68%55.02%55.04%
One interference in both windows53.26%54.81%53.26%53.50%55.96%56.02%
Table 4. The average detection probability of CFKLQ-CFAR with different weights.
Table 4. The average detection probability of CFKLQ-CFAR with different weights.
Weight DistributionAverage Detection Probability
0.25 , 0.25 , 0.25 , 0.25 55.41%
0.4 , 0.1 , 0.1 , 0.4 55.60%
0.5 , 0.1 , 0.1 , 0.3 55.42%
0.3 , 0.1 , 0.1 , 0.5 55.70%
0.1 , 0.1 , 0.1 , 0.7 55.90%
0.1 , 0 , 0 , 0.9 56.02%
0.08 , 0 , 0 , 0.92 55.93%
0 , 0 , 0 , 1 55.96%
0.12 , 0 , 0 , 0.88 55.98%
0.15 , 0 , 0 , 0.85 55.97%
Table 5. Paired sample statistics in a homogeneous environment.
Table 5. Paired sample statistics in a homogeneous environment.
PairAverage ValueNumber of CasesStandard DeviationStandard Error Mean
ASKLQ57.424050100.00398030.0012587
CFKLQ57.450900100.00449320.0014209
Table 6. ANOVA in a homogeneous environment.
Table 6. ANOVA in a homogeneous environment.
Sum of SquaresDegree of FreedomMean SquareFP
Between groups0.00310.003148.52593.9252 × 10−10
Within group0.00041180.000023
Total0.00419
Table 7. Paired sample statistics in a multiple-target environment.
Table 7. Paired sample statistics in a multiple-target environment.
PairAverage ValueNumber of CasesStandard DeviationStandard Error Mean
ASKLQ55.025440100.00393900.0012456
CFKLQ55.042930100.00368780.0011662
Table 8. ANOVA in a multiple-target environment.
Table 8. ANOVA in a multiple-target environment.
Sum of SquaresDegree of FreedomMean SquareFP
Between groups0.00210.003105.0626.0995 × 10−9
Within group0.000262180.000015
Total0.00219
Table 9. The average detection probability of each detector in a multiple-target environment.
Table 9. The average detection probability of each detector in a multiple-target environment.
EnvironmentMCAMAX-MCAMIN-MCAPRODUCTS-MCASUM-MCACFKLQ
One interference in the leading window53.44%54.50%54.43%54.67%55.43%56.78%
Three interferences in the leading window49.70%53.64%53.55%53.81%54.04%55.04%
One interference in both windows50.29%53.85%54.74%54.08%54.74%56.02%
Table 10. The SNR of each detector under the same detection probability.
Table 10. The SNR of each detector under the same detection probability.
P d = 0.5VIHCEMOSCFVICAOSKLQIdeal
SNR/dB13.8913.8713.6914.2913.9112.77
Table 11. The average detection probability of each detector in multiple-target environment.
Table 11. The average detection probability of each detector in multiple-target environment.
EnvironmentVIHCEMOSCFVICAOSKLQIdeal
One interference in the leading reference window52.29%55.95%36.37%53.44%54.08%59.26%
Three interferences in the leading reference window48.38%53.17%15.58%50.25%50.28%59.26%
One interference in both reference windows50.07%56.01%23.76%52.63%53.33%59.26%
Table 12. The average false alarm probability of clutter edge environment.
Table 12. The average false alarm probability of clutter edge environment.
DetectonsVIHCEMOSCFVI
False alarm probability1.09 × 10−21.80 × 10−4
Disclaimer/Publisher’s Note: The statements, opinions and data contained in all publications are solely those of the individual author(s) and contributor(s) and not of MDPI and/or the editor(s). MDPI and/or the editor(s) disclaim responsibility for any injury to people or property resulting from any ideas, methods, instructions or products referred to in the content.

Share and Cite

MDPI and ACS Style

Yang, Y.; Xiu, C. Adaptive Constant False Alarm Detector Based on Composite Fuzzy Fusion Rules. Appl. Sci. 2025, 15, 942. https://doi.org/10.3390/app15020942

AMA Style

Yang Y, Xiu C. Adaptive Constant False Alarm Detector Based on Composite Fuzzy Fusion Rules. Applied Sciences. 2025; 15(2):942. https://doi.org/10.3390/app15020942

Chicago/Turabian Style

Yang, Yuyao, and Chunbo Xiu. 2025. "Adaptive Constant False Alarm Detector Based on Composite Fuzzy Fusion Rules" Applied Sciences 15, no. 2: 942. https://doi.org/10.3390/app15020942

APA Style

Yang, Y., & Xiu, C. (2025). Adaptive Constant False Alarm Detector Based on Composite Fuzzy Fusion Rules. Applied Sciences, 15(2), 942. https://doi.org/10.3390/app15020942

Note that from the first issue of 2016, this journal uses article numbers instead of page numbers. See further details here.

Article Metrics

Back to TopTop