Dual-Band Shared-Aperture Antenna with Pattern and Polarization Diversity
Abstract
1. Introduction
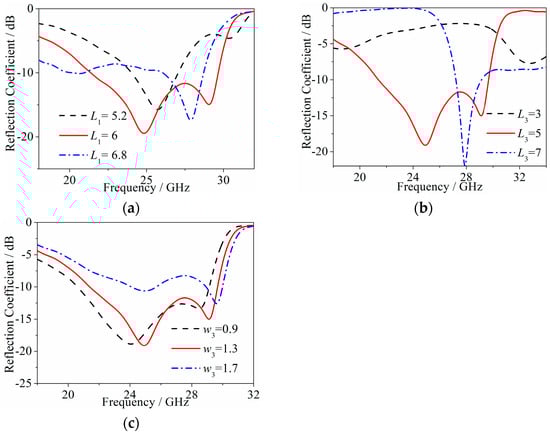
2. Antenna Design and Analysis
2.1. Bowl-Shape Monopole Antenna Design
2.2. Vivaldi Antenna Design
2.3. Medium Polarization Converter Design
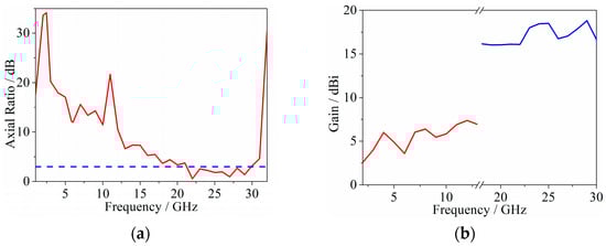
3. Results and Discussion
4. Design Guideline and Comparison
- (1)
- The omnidirectional monopole antenna is designed based on the cone structure to work in the low-frequency band. Then, the internal metal is removed without affecting the radiation performance;
- (2)
- A Vivaldi antenna made of metal is designed to be located at the bottom of the cone to work in the high-frequency band. The addition of the Vivaldi antenna has no effect on the radiation performance of the monopole antenna;
- (3)
- Design the circular polarization medium converter and adjust the proportion of medium and air to ensure that the axis ratio of the Vivaldi antenna is less than 3 dB. Then, the circular polarization medium converter is placed above the cone monopole antenna.
5. Conclusions
Author Contributions
Funding
Institutional Review Board Statement
Informed Consent Statement
Data Availability Statement
Conflicts of Interest
References
- Hao, J.N.; Feng, L.Y.; Ji, W.S.; Liu, Y. Dual-Wideband Dual-Frequency Antenna With Large Frequency Ratio for 5G Applications. IEEE Trans. Antennas Propag. 2024, 72, 1887–1892. [Google Scholar] [CrossRef]
- Yang, X.; Ge, L.; Ji, Y.; Zeng, X.R.; Li, Y.J.; Ding, C. An integrated tri-band antenna system with large frequency ratio for WLAN and WiGig applications. IEEE Trans. Ind. Electron. 2021, 68, 4529–4540. [Google Scholar] [CrossRef]
- Feng, L.Y.; Leung, K.W. Dual-fed hollow dielectric antenna for dual frequency operation with large frequency ratio. IEEE Trans. Antennas Propag. 2017, 65, 3308–3313. [Google Scholar] [CrossRef]
- Feng, L.Y.; Leung, K.W. Dual-frequency folded-parallel-plate antenna with large frequency ratio. IEEE Trans. Antennas Propag. 2016, 64, 340–345. [Google Scholar] [CrossRef]
- Xiao, F.; Lin, X.; Su, Y.H. Dual-band structure-shared antenna with large frequency ratio for 5G communication applications. IEEE Antennas Wirel. Propag. Lett. 2020, 19, 2339–2343. [Google Scholar] [CrossRef]
- Ding, Y.R.; Cheng, Y.J. A tri-band shared-aperture antenna for (2.4, 5.2) GHz Wi-Fi application with MIMO function and 60 GHz Wi-Gig application with beam-scanning function. IEEE Trans. Antennas Propag. 2020, 68, 1973–1981. [Google Scholar] [CrossRef]
- Xiang, B.J.; Zheng, S.Y.; Wong, H.; Pan, Y.M.; Wang, K.X.; Xia, M.H. A flexible dual-band antenna with large frequency ratio and different radiation properties over the two bands. IEEE Trans. Antennas Propag. 2018, 66, 657–667. [Google Scholar] [CrossRef]
- Feng, L.Y.; Hao, J.N.; Zhao, H.K.; Ji, W.S.; Liu, Y. Design of Singly Fed Dual-Band Antenna With a Large Frequency Ratio by Introducing a Monopole Mode to Yagi–Uda Antenna. IEEE Trans. Antennas Propag. 2023, 71, 9042–9047. [Google Scholar] [CrossRef]
- Ikram, M.; Nguyen-Trong, N.; Abbosh, A. Multi-band MIMO microwave and millimeter antenna system employing dual-function tapered slot structure. IEEE Trans. Antennas Propag. 2019, 67, 5705–5710. [Google Scholar] [CrossRef]
- Ren, J.; Zuo, M.M.; Zhang, B.; Du, X.Y.; Chen, Z.; Liu, Y. Large frequency ratio Vivaldi antenna system with low frequency gain enhancement utilizing dual-function taper slot. IEEE Trans. Antennas Propag. 2022, 70, 4854–4859. [Google Scholar] [CrossRef]
- Sadananda, K.G.; Abegaonkar, M.P.; Koul, S.K. Gain Equalized Shared-Aperture Antenna Using Dual-Polarized ZIM for mmWave 5G Base Stations. IEEE Antennas Wirel. Propag. Lett. 2019, 18, 1100–1104. [Google Scholar] [CrossRef]
- Hussain, R.; Abou-Khousa, M.; Iqbal, N.; Algarni, A.; Alhuwaimel, S.I.; Zerguine, A.; Sharawi, M.S. A Multiband Shared Aperture MIMO Antenna for Millimeter-Wave and Sub-6GHz 5G Applications. Sensors 2022, 22, 1808. [Google Scholar] [CrossRef]
- Zhang, J.F.; Cheng, Y.J.; Ding, Y.R.; Bai, C.X. A Dual-Band Shared-Aperture Antenna With Large Frequency Ratio, High Aperture Reuse Efficiency, and High Channel Isolation. IEEE Trans. Antennas Propag. 2019, 67, 853–860. [Google Scholar] [CrossRef]
- Yang, J.; Cao, Z.; Meng, H.; Li, Q.; Li, Y. A Mutually Enhanced Ka/W Dual-Band Shared-Aperture Horn Antenna. IEEE Trans. Antennas Propag. 2024, 72, 1234–1240. [Google Scholar] [CrossRef]
- Ren, J.; Wang, Z.; Sun, Y.X.; Huang, R.; Yin, Y. Ku/Ka-Band Dual-Frequency Shared-Aperture Antenna Array With High Isolation Using Frequency Selective Surface. IEEE Antennas Wirel. Propag. Lett. 2023, 22, 1736–1740. [Google Scholar] [CrossRef]
- Ali, A.; Awan, M.N.; Malik, W.A.; Chaudhry, S.Y.; Hidayatullah; Haider, J. A Compact and High Gain X/Ku Band Shared Aperture Antenna Array With Enhanced Inter-Band and Cross-Band Isolation. IEEE Access 2024, 12, 146137–146146. [Google Scholar] [CrossRef]
- Surse, K.; Gopika, R.; Saha, C. Dual-Band Shared Aperture Antenna (SAA) Array for Feedback-Enabled WPT Application. In Proceedings of the 2022 IEEE Microwaves, Antennas, and Propagation Conference (MAPCON), Bangalore, India, 12–16 December 2022; pp. 750–753. [Google Scholar]
- Li, T.; Chen, Z.N. Metasurface-based shared-aperture 5G S-/K-band antenna using characteristic mode analysis. IEEE Trans. Antennas Propag. 2018, 66, 6742–6750. [Google Scholar] [CrossRef]
- Smith, T.; Gothelf, U.; Kim, O.S.; Breinbjerg, O. An FSS-backed 20/30 GHz circularly polarized reflect array for a shared aperture L-and Ka-band satellite communication antenna. IEEE Trans. Antennas Propag. 2014, 62, 661–668. [Google Scholar] [CrossRef]
- Li, T.; Chen, Z.N. Shared-surface dual-band antenna for 5G applications. IEEE Trans. Antennas Propag. 2020, 68, 1128–1133. [Google Scholar] [CrossRef]
- Li, D.; Shen, Z.; Li, E.P. Spurious-free dual-band band-pass frequency selective surfaces with large band ratio. IEEE Trans. Antennas Propag. 2019, 67, 1065–1072. [Google Scholar] [CrossRef]
- Zhou, C.F.; Yuan, S.S.; Li, H.; Wang, B.; Wong, H. Dual-band shared-aperture antenna with bi-functional metasurface. IEEE Antennas Wirel. Propag. Lett. 2021, 20, 2013–2017. [Google Scholar] [CrossRef]
- Zhu, Y.; Chen, Y.; Yang, S. Decoupling and low-profile design of dual-band dual-polarized base station antennas using frequency-selective surface. IEEE Trans. Antennas Propag. 2019, 67, 5272–5281. [Google Scholar] [CrossRef]
- Zhu, J.; Yang, Y.; Liao, S.; Li, S.; Xue, Q. Dual-band aperture-shared fabry-perot cavity-integrated patch antenna for millimeter-wave/Sub-6 GHz communication. IEEE Antennas Wirel. Propag. Lett. 2022, 21, 868–872. [Google Scholar] [CrossRef]
- Zou, J.; Zhao, Y.; Yang, X.; Ge, L.; Sun, Y.X. Dual-Band Dual-Polarized Shared-Aperture Grid Antenna With Large Frequency Ratio. IEEE Antennas Wirel. Propag. Lett. 2023, 22, 1513–1517. [Google Scholar] [CrossRef]
- Guo, Q.-Y.; Lin, Q.W.; Wong, H. A high gain millimeter-wave circularly polarized fabry–pérot antenna using prs-integrated polarizer. IEEE Trans. Antennas Propag. 2021, 69, 1179–1183. [Google Scholar] [CrossRef]
- Wang, K.X.; Wong, H. A wideband millimeter-wave circularly polarized antenna with 3-D printed polarizer. IEEE Trans. Antennas Propag. 2017, 65, 1038–1046. [Google Scholar] [CrossRef]
- Ding, C.; Luk, K.-M. Wideband high-gain circularly polarized antenna using artificial anisotropic polarizer. IEEE Trans. Antennas Propag. 2019, 67, 6645–6649. [Google Scholar] [CrossRef]
- He, Y.Q.; Zhao, X.Y.; Zhao, L.Y.; Fan, Z.X.; Wang, J.K.; Zhang, L. Design of broadband double-ridge horn antenna for millimeter-wave applications. IEEE Access 2021, 9, 118919–118926. [Google Scholar] [CrossRef]
- Wang, K.X.; Wong, H. Design of a wideband circularly polarized millimeter-wave antenna with an extended hemispherical lens. IEEE Trans. Antennas Propag. 2018, 66, 4303–4308. [Google Scholar] [CrossRef]
- Zhou, Q.H.; Zhang, J.H.; Zheng, X.; Zhang, J.F.; Zhang, Z.H.; Huang, L. A High-Gain Antipodal Vivaldi Antenna Operating at 1 GHz to 40 GHz for Photonic-Assisted Receiver. IEEE Antennas Wirel. Propag. Lett. 2024, 23, 3068–3072. [Google Scholar] [CrossRef]















| Parameters | Value |
|---|---|
| L1 | 6 mm |
| L2 | 12 mm |
| L3 | 5 mm |
| W | 110 mm |
| W1 | 42 mm |
| W2 | 3.2 mm |
| W3 | 2.2 mm |
| w1 | 54 mm |
| w2 | 2 mm |
| w3 | 1.3 mm |
| S | 7.31 mm |
| H1 | 27.5 mm |
| H2 | 26.5 mm |
| α | 45° |
| Ref. | IMBW | Radiation Pattern | Peak Gain/dBi | Isolation /dB | Polarization | Size λ03 |
|---|---|---|---|---|---|---|
| [1] | 1.61–2.44 GHz (40.9%) 20–36.4 GHz (58.2%) | directional/ directional | 10.2/17.4 | 95/30 | LP/LP | 0.805 × 0.805 × 0.195 |
| [3] | 2.30–3.20 GHz (32.73%) 23.64–25.06 GHz (5.83%) | directional/ directional | 8.23/18.2 | / | LP/LP | 0.767 × 0.767 × 0.18 |
| [4] | 2.37–2.55 GHz (7.3%) 23.92–24.46 GHz (2.23%) | directional/ directional | 7.23/11.26 | 70/33 | LP/LP | 0.79 × 0.79 × 0.194 |
| [5] | 3.02−5.03 GHz (49.94%) 27.3−28.8 GHz (5.35%) | omnidirectional/directional | 2.55/9.6 | 30/30 | LP/LP | 0.443 × 0.302 × 0.005 |
| [14] | 3.2–4.05 GHz (23.45%) 25.22–26.46 GHz (4.8%) | directional/ directional | 10.88/22.4 | 75/24 | LP/LP | 1.067 × 1.067 × 0.051 |
| [16] | 3.2–4.05 GHz (23.45%) 26.8–29.55 GHz (9.76%) | directional/ directional | 10.44/14.6 | 74/19 | LP/LP | 0.461 × 0.461 × 0.063 |
| [18] | 2.12–2.75 GHz (25.8%) 5.69–5.91 GHz (3.8%) | directional/ directional | 7.9/11.7 | 27/20 | LP/LP | 0.495 × 0.495 × 0.161 |
| [20] | 2.40–2.48 GHz (3.28%) 27.7–28.1 GHz (1.43%) | directional/ directional | 8/15 | 38/25 | LP/LP | 0.6 × 0.6 × 0.033 |
| [21] | 3.41–3.59 GHz (5.14%) 26.62–30.26 GHz (12.8%) | directional/ directional | 8.75/12.79 | 24.2/18.4 | LP/LP | π × 0.3982 × 0.321 |
| This work | 2.09–11.61 GHz (138.9%) 21.6–29.6 GHz (31%) | Omnidirectional/directional | 7.1/18.8 | 46.5/58 | LP/CP | 0.76 × 0.76 × 0.37 |
Disclaimer/Publisher’s Note: The statements, opinions and data contained in all publications are solely those of the individual author(s) and contributor(s) and not of MDPI and/or the editor(s). MDPI and/or the editor(s) disclaim responsibility for any injury to people or property resulting from any ideas, methods, instructions or products referred to in the content. |
© 2025 by the authors. Licensee MDPI, Basel, Switzerland. This article is an open access article distributed under the terms and conditions of the Creative Commons Attribution (CC BY) license (https://creativecommons.org/licenses/by/4.0/).
Share and Cite
Cheng, J.; Gao, T.; Han, D.; Zhou, C. Dual-Band Shared-Aperture Antenna with Pattern and Polarization Diversity. Appl. Sci. 2025, 15, 878. https://doi.org/10.3390/app15020878
Cheng J, Gao T, Han D, Zhou C. Dual-Band Shared-Aperture Antenna with Pattern and Polarization Diversity. Applied Sciences. 2025; 15(2):878. https://doi.org/10.3390/app15020878
Chicago/Turabian StyleCheng, Jia, Tianyu Gao, Dongpeng Han, and Changfei Zhou. 2025. "Dual-Band Shared-Aperture Antenna with Pattern and Polarization Diversity" Applied Sciences 15, no. 2: 878. https://doi.org/10.3390/app15020878
APA StyleCheng, J., Gao, T., Han, D., & Zhou, C. (2025). Dual-Band Shared-Aperture Antenna with Pattern and Polarization Diversity. Applied Sciences, 15(2), 878. https://doi.org/10.3390/app15020878
