Utilization of Thermal-Activated Coal Gangue to Enhance the Properties of Sandy Soil Composites
Abstract
1. Introduction
2. Test Materials and Methods
2.1. Sandy Soil
2.2. Coal Gangue and TACG
2.3. Test Methods
2.3.1. The Preparation of Soil Column Sample
2.3.2. Water-Holding Capacity Test
2.3.3. Water Evaporation of Modified Sandy Soil
2.3.4. X-Ray Diffraction Test
2.3.5. Isothermal Water Absorption Test
2.3.6. Adsorption/Desorption Kinetics of N, P, and K
3. Results and Discussion
3.1. The Mineral Composition of Coal Gangue After Calcination
3.2. The Modification of Calcined Coal Gangue on the Aggregation of Sandy Soil
3.3. Analysis of Water Holding/Retention Properties of Composite Soils
3.4. Water Vapor Adsorption of Modified Sandy Soils
3.5. Nano-Pore Size Distribution of Modified Sandy Soil
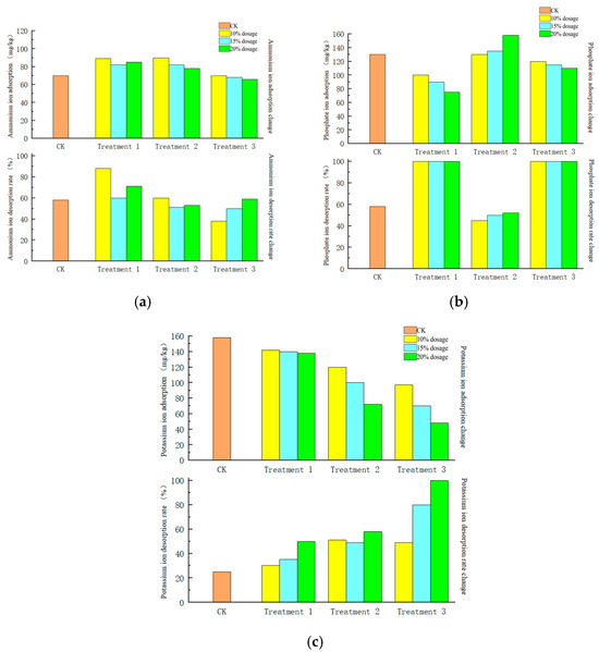
3.6. The Adsorption and the Desorption Properties of NH4+, PO43−, and K+ in Modified Sandy Soils
4. Conclusions
- Under the action of gangue material, the soil structure of composite sandy soil has been effectively improved, and with the increase in the proportion of gangue, in which the content of low-grain-size components gradually increased, R0.25 increased significantly compared with the CK treatment, which makes the soil structure more stable [25], stronger erosion resistance, and improves the defects of the sandy soil with excessively coarse mechanical composition and poor texture.
- With the gradual increase in the proportion of gangue incorporated, the content of fine-grained powdered soil and clay particles in the composite soil gradually increased, which led to a gradual increase in the total specific surface area of the soil particles [26], gradually improving the defects of sandy soil particles that are coarse in composition and small in specific surface area and improving the total holding capacity of the soil particles. Secondly, the gradual increase in the proportion of gangue improves the content of colloid and the mutual adhesion between soil particles in the composite soil, gradually improving the poor adhesion between sandy soil particles, the problem of loose structure, and making it easier to form the agglomerate structure, increasing the effective pore space [27]. Water can be retained in the pore space, enhancing the soil’s absorption of water and retention performance.
- The application of gangue can increase the adsorption of nitrogen, phosphorus, and potassium nutrients in the soil to different degrees and enhance the fixation capacity of such ions in the soil. Among them, the mixed sandy soil mixed with 10% of 600—treated gangue had the most obvious increase in the adsorption effect of ammonium ions. Taken together, the application of modified gangue increased the content of exchangeable ions in the mixed soil, and by increasing the ratio of soluble state ions/exchangeable state ions in the soil [28], on the basis of mitigating the soluble state ions in the soil that are easy to be lost with water, the soil maintained a higher ionic level for a long period of time, which confirms that the application of activated gangue ash has a better fixing effect on soil fertility.
Author Contributions
Funding
Institutional Review Board Statement
Informed Consent Statement
Data Availability Statement
Conflicts of Interest
References
- Skidmore, E.L.; Powers, D.H. Dry soil-aggregate stability: Energy-based Index. Soil Sci. Soc. Am. 1982, 46, 1274–1279. [Google Scholar] [CrossRef]
- Leys, J.; Koen, T.; Mctainsh, G. The effect of dry aggregation and percentage clay on sediment flux as measured by a portable field wind tunnel. Soil Res. 1996, 34, 849–861. [Google Scholar] [CrossRef]
- Chen, L.; Li, F.; Li, W.; Ning, Q.; Li, J.; Zhang, J.; Ma, D.; Zhang, C. Organic amendment mitigates the negative impacts of mineral fertilization on bacterial communities in Shajiang black soil. Appl. Soil Ecol. 2019, 150, 103457. [Google Scholar] [CrossRef]
- Simranjeet, S.; Vijay, K.; Daljeet, S.D.; Datta, S.; Bhatia, D.; Dhiman, J.; Samuel, J.; Prasad, R.; Singh, J. A sustainable paradigm of sewage sludge biochar: Valorization, opportunities, challenges and future prospects. Clean. Prod. 2020, 269, 122259. [Google Scholar]
- Bai, B.; Chen, J.; Bai, F.; Nie, Q.K.; Jia, X.X. Corrosion effect of acid/alkali on cementitious red mud-fly ash materials containing heavy metal residues. Environ. Technol. Innov. 2023, 33, 103485. [Google Scholar] [CrossRef]
- Li, J.Y.; Wang, J.M. Comprehensive utilization and environmental risks of coal gangue: A review. Clean. Prod. 2019, 239, 117946. [Google Scholar] [CrossRef]
- Song, W.; Zhang, J.; Li, M.; Yan, H.; Zhou, N.; Yao, Y.; Guo, Y. Underground Disposal of Coal Gangue Backfill in China. Appl. Sci. 2022, 12, 12060. [Google Scholar] [CrossRef]
- Zhang, Y.; Nakano, J.; Liu, L.; Wang, X.; Zhang, Z. Trace element partitioning behavior of coal gangue-fired CFB plant: Experimental and equilibrium calculation. Environ. Sci. Pollut. Res. 2015, 22, 15469–15478. [Google Scholar] [CrossRef] [PubMed]
- Li, Z.; Yang, X.; Yang, P.; Feng, G.; Liu, J.; Zhu, C.; Cheng, X. Layered re-breaking behavior of gangue backfilling materials and inspirations for protecting mined ecological environments. Constr. Build. Mater. 2023, 268, 130477. [Google Scholar] [CrossRef]
- Mohanty, M.; Biswal, D.; Mohapatra, S. A systematic review exploring the utilization of coal mining and processing wastes as secondary aggregate in sub-base and base layers of pavement. Constr. Build. Mater. 2023, 368, 130408. [Google Scholar] [CrossRef]
- Vo, T.L.; Nash, W.; Galdo, M.D.; Rezania, M.; Crane, R.; Nezhad, M.M.; Ferrara, L. Coal mining wastes valorization as raw geomaterials in construction: A review with new perspectives. J. Clean. Prod. 2022, 336, 130213. [Google Scholar] [CrossRef]
- Zhang, X.; Li, M.; Su, Y.; Du, C. A novel and green strategy for efficient removing Cr(VI) by modified kaolinite-rich coal gangue. Appl. Clay Sci. 2021, 211, 106208. [Google Scholar] [CrossRef]
- Hao, R.; Li, X.; Xu, P.; Liu, Q. Thermal activation and structural transformation mechanism of kaolinitic coal gangue from Jungar coalfield, Inner Mongolia, China. Appl. Clay Sci. 2022, 223, 106508. [Google Scholar] [CrossRef]
- Adebowale, K.O.; Unuabonah, I.E.; Olu-Owolabi, B.I. The effect of some operating variables on the adsorption of lead and cadmium ions on kaolinite clay. Hazard. Mater. 2006, 134, 130–139. [Google Scholar] [CrossRef]
- Yin, H.; Han, M.; Tang, W. Phosphorus sorption and supply from eutrophic lake sediment amended with thermally-treated calcium-rich attapulgite and a safety evaluation. Chem. Eng. 2016, 285, 671–678. [Google Scholar] [CrossRef]
- Zhang, J.G.; Xu, X.W.; Zhao, Y.; Lei, J.Q.; Li, S.Y.; Wang, Y.D. Effect of shifting sand burial on soil evaporation and moisture–salt distribution in a hyper-arid deser. Environ. Earth Sci. 2016, 75, 1417. [Google Scholar] [CrossRef]
- Fang, Y. Crystal Structure of Milled and Acidified Kaolinite and Its Surface Interface Effect on Cu2+. Master’s Thesis, University of Chinese Academy of Sciences (Guangzhou Institute of Geochemistry, Chinese Academy of Sciences), Guangzhou, China, 2017. [Google Scholar]
- Shao, J.; Zhang, N.; Ma, D.; Ding, H. Evolution law of typical minerals in coal at high temperature. Clean Coal Technol. 2019, 25, 111–117. [Google Scholar]
- Yang, W.; Hui, C.; Chen, Y.; Song, S.; Yang, M.; Guo, S. Stability and fractal characteristics of soil aggregates in irrigated farmland under biomass charcoal application. J. Soil Water Conserv. 2022, 36, 323–329. [Google Scholar]
- Zhang, Y.; Li, P.; Liu, X.; Xiao, L. Changes in Soil Aggregate Fractions, Stability, and Associated Organic Carbon and Nitrogen in Different Land Use Types in the Loess Plateau, China. Sustainability 2022, 14, 3963. [Google Scholar] [CrossRef]
- Chen, S. Soil and Water Conservation Efficacy of Corn Stover on Sloping Cropland in Black Soil Area. Ph.D. Thesis, University of Chinese Academy of Sciences (Northeast Institute of Geography and Agroecology, Chinese Academy of Sciences), Guangzhou, China, 2020. [Google Scholar]
- Tien, C. Adsorption Calculations and Modeling; Butterworth-Heinemann: Boston, MA, USA, 1994. [Google Scholar]
- Liu, D.-X.; Yue, X.-A.; Hou, J.; Cao, J.-B.; Wang, L.-M. Experimental study on the thickness of adsorbed water layer on the surface of solid particles. J. Mineral. 2005, 1, 15–19. [Google Scholar]
- Barrett, E.P.; Joyner, L.G.; Halenda, P. The determination of pore volume and area distributions in porous substances I computations from nitrogen isotherms. J. Manag. Eng. 2014, 24, 207–216. [Google Scholar] [CrossRef]
- Hai, L.; Yao, T.; Zhang, C.; Zhang, W.; Li, L.; Lu, Y. Distribution characteristics and stability of soil water-stable clusters in alfalfa fields of different ages in loess hills and gullies. Res. Agric. Arid. Reg. 2020, 38, 51–56. [Google Scholar]
- Wong, J.T.F.; Chen, Z.; Chen, X.; Ng, C.W.W.; Wong, M.H. Soil-water retention behavior of compacted biochar-amended clay: A novel landfill final cover material. Soils Sediments 2017, 17, 590–598. [Google Scholar] [CrossRef]
- Karhu, K.; Mattila, T.; Bergström, I.; Regina, K. Biochar addition to agricultural soil increased CH4 uptake and water holding capacity–results from a short-term pilot field study. Agric. Ecosyst. Environ. 2011, 140, 309–313. [Google Scholar] [CrossRef]
- Chen, J. Adsorption Mechanism and Transformation and Removal of Ammonium Nitrogen in Air Inclusion Zone Media. Ph.D. Thesis, China University of Geosciences, Beijing, China, 2011. [Google Scholar]










| Soil Type | Soil particle Composition | Soil chemical Indicators | ||||
|---|---|---|---|---|---|---|
| Sandy soil | Sand | Silt | Clay | Effective N content | Effective P content | Effective K content |
| 71% | 22% | 7% | 158 mg/kg | 170 mg/kg | 114 mg/kg | |
| Sample Processing Temperature (°C) | Micas (%) | Kaolin (%) | Chlorite (%) | Sapphire (%) | Potassium Feldspar (%) | Pyrite (%) | Ferric Oxide Fe2O3 (%) | Magnetite Fe3O4 (%) |
|---|---|---|---|---|---|---|---|---|
| 27 °C | 23.7 | 23.2 | 23.7 | 27.1 | 1.1 | 1.2 | / | / |
| 600 °C | 42.1 | / | 4.6 | 46.5 | 3.3 | / | 3.1 | 0.4 |
| 850 °C | 12.2 | / | / | 78.1 | 6.0 | / | 3.7 | / |
Disclaimer/Publisher’s Note: The statements, opinions and data contained in all publications are solely those of the individual author(s) and contributor(s) and not of MDPI and/or the editor(s). MDPI and/or the editor(s) disclaim responsibility for any injury to people or property resulting from any ideas, methods, instructions or products referred to in the content. |
© 2025 by the authors. Licensee MDPI, Basel, Switzerland. This article is an open access article distributed under the terms and conditions of the Creative Commons Attribution (CC BY) license (https://creativecommons.org/licenses/by/4.0/).
Share and Cite
Fan, W.; Liu, R.; Zhang, R.; Chen, X.; Li, J.; Zhang, A.; Qian, J.; Gu, Z.; Wang, J. Utilization of Thermal-Activated Coal Gangue to Enhance the Properties of Sandy Soil Composites. Appl. Sci. 2025, 15, 817. https://doi.org/10.3390/app15020817
Fan W, Liu R, Zhang R, Chen X, Li J, Zhang A, Qian J, Gu Z, Wang J. Utilization of Thermal-Activated Coal Gangue to Enhance the Properties of Sandy Soil Composites. Applied Sciences. 2025; 15(2):817. https://doi.org/10.3390/app15020817
Chicago/Turabian StyleFan, Wangtao, Ruofan Liu, Runxia Zhang, Xiaoguang Chen, Jin Li, Aochen Zhang, Jing Qian, Zhaolin Gu, and Jianyun Wang. 2025. "Utilization of Thermal-Activated Coal Gangue to Enhance the Properties of Sandy Soil Composites" Applied Sciences 15, no. 2: 817. https://doi.org/10.3390/app15020817
APA StyleFan, W., Liu, R., Zhang, R., Chen, X., Li, J., Zhang, A., Qian, J., Gu, Z., & Wang, J. (2025). Utilization of Thermal-Activated Coal Gangue to Enhance the Properties of Sandy Soil Composites. Applied Sciences, 15(2), 817. https://doi.org/10.3390/app15020817

