Exploring Adsorption Performance of Functionalized Mesoporous Silicas with a Different Pore Structure as Strong Cation-Exchange Sorbents for Solid-Phase Extraction of Atropine and Scopolamine
Abstract
1. Introduction
2. Materials and Methods
2.1. Chemicals, Reagents, and Standard Solutions
2.2. Synthesis and Functionalization of the Mesoporous Silicas
2.3. Characterization of Mesoporous Silicas
2.4. Evaluation of Mesoporous Silica as Sorbents in Solid-Phase Extraction
2.5. UHPLC-TQ-MS/MS Analysis
2.6. Statistical Analysis
3. Results
3.1. Characterization of Mesoporous Silica
3.1.1. X-Ray Diffraction
3.1.2. Transmission Electron Microscopy Measurements
3.1.3. Scanning Electron Microscopy Measurements
3.1.4. Nitrogen Adsorption–Desorption Isotherms
3.1.5. FT-IR Spectra
3.1.6. NMR Spectra
3.1.7. Elemental Analysis
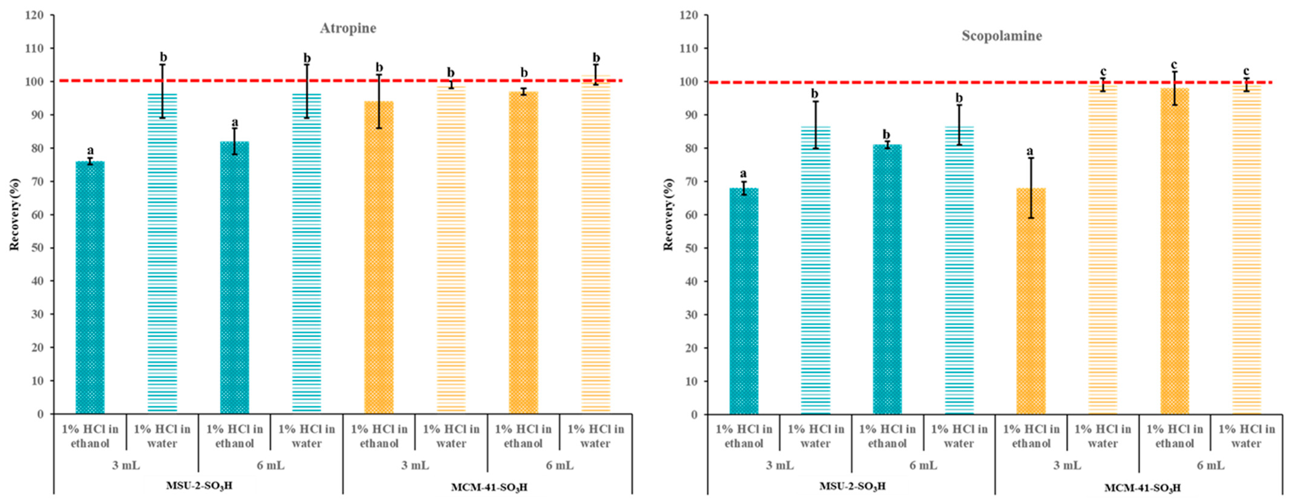
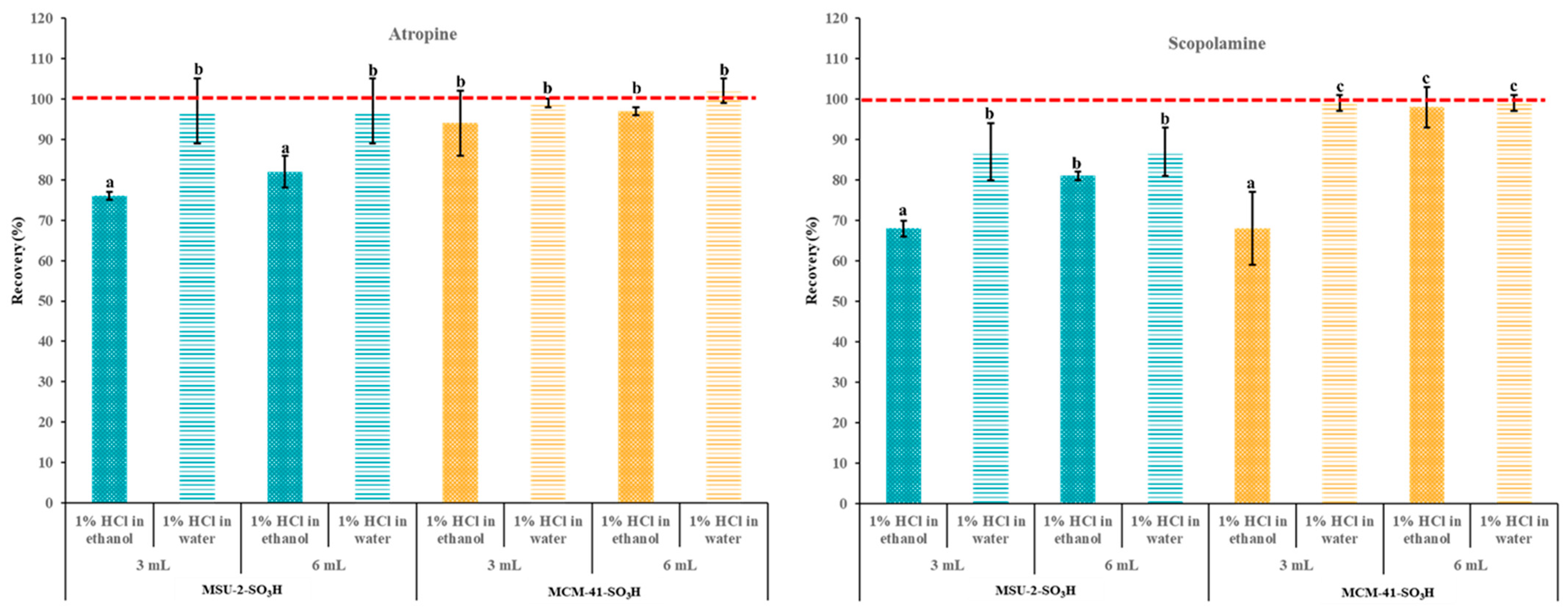
3.2. Evaluation of Mesoporous Silicas as Sorbents in SPE
4. Conclusions
Author Contributions
Funding
Institutional Review Board Statement
Informed Consent Statement
Data Availability Statement
Conflicts of Interest
References
- Wang, D.; Chen, X.; Feng, J.; Sun, M. Recent advances of ordered mesoporous silica materials for solid-phase extraction. J. Chromatogr. A 2022, 1675, 463157. [Google Scholar] [CrossRef] [PubMed]
- Sierra, I.; Morante-Zarcero, S. Chapter 5—New Advances in Food Sample Preparation With Nanomaterials for Organic Contaminants Analysis by Liquid Chromatography. In Nanomaterials in Chromatography: Current Trends in Chromatographic Research Technology and Techniques, 1st ed.; Hussain, C.M., Ed.; Elsevier: Amsterdam, The Netherlands, 2018; pp. 118–154. [Google Scholar] [CrossRef]
- Badawy, M.E.I.; El-Nouby, M.A.M.; Kimani, P.K.; Lim, L.W.; Rabea, E.I. A review of the modern principles and applications of solid-phase extraction techniques in chromatographic analysis. Anal. Sci. 2022, 38, 1457–1487. [Google Scholar] [CrossRef] [PubMed]
- Casado, N.; Morante-Zarcero, S.; Pérez-Quintanilla, D.; Sierra, I. Evaluation of Mesostructured Silicas with Wormhole-Like Framework Functionalized with Hydrophobic Groups as Alternative Sorbents for Extraction of Drug Residues from Food Samples. Mater. Lett. 2018, 220, 165–168. [Google Scholar] [CrossRef]
- Larki, A.; Saghanezhad, S.J.; Ghomi, M. Recent advances of functionalized SBA-15 in the separation/preconcentration of various analytes: A review. Microchem. J. 2021, 169, 106601. [Google Scholar] [CrossRef]
- Hafezian, S.M.; Azizi, S.N.; Biparva, P.; Bekhradnia, A. High-Efficiency Purification of Sulforaphane from the Broccoli Extract by Nanostructured SBA-15 Silica using Solid-Phase Extraction Method. J. Chromatogr. B 2019, 1108, 1–10. [Google Scholar] [CrossRef] [PubMed]
- Xu, J.; Peng, L.; Chu, J.; Shi, J.; Cui, Q.; Shi, Q. D-Limonene as an Alternative for the Extraction and Purification of Nuciferine from Lotus Leaf Via Multi-Stage Vortex Assisted Two-Phase Solvent Extraction Integrated with Solid Phase Extraction using Mesoporous Material SBA-15 as Adsorbent. Sustain. Chem. Pharm. 2023, 32, 100997. [Google Scholar] [CrossRef]
- Leśniewska, B.; Arciszewska, Ż.; Wawrzyńczak, A.; Jarmolińska, S.; Nowak, I.; Godlewska-Żyłkiewicz, B. Method development for determination of trace amounts of palladium in environmental water samples by ICP-MS/MS after pre-concentration on thiol-functionalized MCM-41 materials. Talanta 2020, 217, 121004. [Google Scholar] [CrossRef] [PubMed]
- Cui, H.; Li, Y.; Liu, S.; Zhang, J.; Zhou, Q.; Zhong, R.; Yang, M.; Hou, X. Novel Pb(II) ion-imprinted materials based on bis-pyrazolyl functionalized mesoporous silica for the selective removal of Pb(II) in water samples. Microporous Mesoporous Mater. 2017, 241, 165–177. [Google Scholar] [CrossRef]
- Mortada, W.I.; Nabieh, K.A.; Helmy, T.E.; Abou El-Reash, Y.G. Microwave-assisted synthesis of MCM-41 composite with rice husk and its functionalization by dithizone for preconcentration of some metal ions from water and food samples. J. Food Compos. Anal. 2022, 106, 104352. [Google Scholar] [CrossRef]
- Gil García, M.D.; Dahane, S.; Arrabal-Campos, F.M.; SocíasViciana, M.M.; García, M.A.; Fernández, I.; Martínez Galera, M. MCM-41 as novel solid phase sorbent for the pre-concentration of pesticides in environmental waters and determination by microflow liquid chromatography-quadrupole linear ion trap mass spectrometry. Microchem. J. 2017, 134, 181–190. [Google Scholar] [CrossRef]
- Santos, L.F.S.; de Jesus, R.A.; Costa, J.A.S.; Gouveia, L.G.T.; de Mesquita, M.E.; Navickiene, S. Evaluation of MCM-41 and MCM-48 mesoporous materials as sorbents in matrix solid phase dispersion method for the determination of pesticides in soursop fruit (Annona muricata). Inorg. Chem. Commun. 2019, 101, 45–51. [Google Scholar] [CrossRef]
- Du, L.; Yi, L.; Ye, L.; Chen, Y.; Cao, J.; Peng, L.; Shi, Y.; Wang, Q.; Hu, Y. Miniaturized solid-phase extraction of macrolide antibiotics in honey and bovine milk using mesoporous MCM-41 silica as sorbent. J. Chromatogr. A 2018, 1537, 10–20. [Google Scholar] [CrossRef] [PubMed]
- Dahane, S.; Martínez Galera, M.; Marchionni, M.E.; Socías Viciana, M.M.; Derdour, A.; Gil García, M.D. Mesoporous silica based MCM-41 as solid-phase extraction sorbent combined with micro-liquid chromatography–quadrupole-mass spectrometry for the analysis of pharmaceuticals in waters. Talanta 2016, 152, 378–391. [Google Scholar] [CrossRef] [PubMed]
- Trzeciak, K.; Kaźmierski, S.; Wielgus, E.; Potrzebowski, M.J. DiSupLo—New extremely easy and efficient method for loading of active pharmaceutical ingredients into the pores of MCM-41 mesoporous silica particles. Microporous Mesoporous. Mater. 2020, 308, 110506. [Google Scholar] [CrossRef]
- Kharbouche, L.; Gil García, M.D.; Lozano, A.; Hamaizi, H.; Galera, M.M. Solid phase extraction of pesticides from environmental waters using an MSU-1 mesoporous material and determination by UPLC-MS/MS. Talanta 2019, 199, 612–619. [Google Scholar] [CrossRef] [PubMed]
- Kharbouche, L.; Martínez Galera, M.; Díaz Galiano, F.J.; Gil García, M.D. Pre-concentration of 218 multiclass pesticide in groundwater samples using MSU-1 mesoporous sorbent. Microchem. J. 2023, 184, 108168. [Google Scholar] [CrossRef]
- Pérez-Quintanilla, D.; Sánchez, A.; del Hierro, I.; Fajardo, M.; Sierra, I. Solid phase extraction of Pb(II) in water samples using a new hybrid inorganic-organic mesoporous silica prior to its determination by FAAS. Microchim. Acta 2009, 165, 291–298. [Google Scholar] [CrossRef]
- Castañeda, F.N.; Prince, D.L.; Peirano, S.R.; Giovannoni, S.; Echevarría, R.N.; Keunchkarian, S.; Reta, M. New sorbents for sample pretreatment: Development and applications. TrAC Trends Anal. Chem. 2024, 180, 117924. [Google Scholar] [CrossRef]
- Vargas Medina, D.A.; Cardoso, A.T.; Maciel, E.V.S.; Lanças, F.M. Current materials for miniaturized sample preparation: Recent advances and future trends. TrAC Trends Anal. Chem. 2023, 165, 117120. [Google Scholar] [CrossRef]
- Jin, H.; Shi, Y.; Cao, J. Recent advances and applications of novel advanced materials in solid-phase microextraction for natural products. TrAC Trends Anal. Chem. 2024, 178, 117858. [Google Scholar] [CrossRef]
- Werner, J.; Frankowski, R.; Grześkowiak, T.; Zgoła-Grześkowiak, A. Green Sorbents in Sample Preparation Techniques—Naturally Occurring Materials and Biowastes. TrAC Trends Anal. Chem. 2024, 176, 117772. [Google Scholar] [CrossRef]
- Frugier, C.; Bégin, P. Food Toxins. In Encyclopedia of Food Allergy, 1st ed.; Sicherer, S.H., Ed.; Elsevier: Oxford, UK, 2024; pp. 814–827. [Google Scholar] [CrossRef]
- Commission Regulation (EU) 2023/915 of 25 April 2023 on Maximum Levels for Certain Contaminants in Food and Repealing Regulation (EC) No. 1881/2006 (Text with EEA Relevance). Available online: https://eur-lex.europa.eu/legal-content/EN/TXT/PDF/?uri=CELEX:32023R0915 (accessed on 4 October 2024).
- González-Gómez, L.; Morante-Zarcero, S.; Pérez-Quintanilla, D.; Sierra, I. Occurrence and Chemistry of Tropane Alkaloids in Foods, with a Focus on Sample Analysis Methods: A Review on Recent Trends and Technological Advances. Foods 2022, 11, 407. [Google Scholar] [CrossRef]
- de Nijs, M.; Crews, C.; Dorgelo, F.; MacDonald, S.; Mulder, P.P.J. Emerging Issues on Tropane Alkaloid Contamination of Food in Europe. Toxins 2023, 15, 98. [Google Scholar] [CrossRef]
- Morante-Zarcero, S.; Gañán, J.; Casado, N.; Sierra, I. Analytical Strategies for the Control of Plant Alkaloids in Food: New Advances in Sample Preparation and Analysis. In Encyclopedia of Food Safety, 2nd ed.; Smithers, G.W., Ed.; Academic Press: New York, NY, USA, 2024; pp. 529–543. [Google Scholar] [CrossRef]
- Marín-Sáez, J.; Romero-González, R.; Garrido Frenich, A. Reliable determination of tropane alkaloids in cereal based baby foods coupling online spe to mass spectrometry avoiding chromatographic step. Food Chem. 2019, 275, 746–753. [Google Scholar] [CrossRef]
- Vera-Baquero, F.L.; Casado, N.; Morante-Zarcero, S.; Sierra, I. Improving the food safety of bakery products by simultaneously monitoring the occurrence of pyrrolizidine, tropane and opium alkaloids. Food Chem. 2024, 460, 140769. [Google Scholar] [CrossRef] [PubMed]
- González-Gómez, L.; Gañán, J.; Morante-Zarcero, S.; Pérez-Quintanilla, D.; Sierra, I. Sulfonic Acid-Functionalized SBA-15 as Strong Cation-Exchange Sorbent for Solid-Phase Extraction of Atropine and Scopolamine in Gluten-Free Grains and Flours. Foods 2020, 9, 1854. [Google Scholar] [CrossRef] [PubMed]
- González-Gómez, L.; Gañán, J.; Morante-Zarcero, S.; Pérez-Quintanilla, D.; Sierra, I. Mesostructured Silicas as Cation-Exchange Sorbents in Packed or Dispersive Solid Phase Extraction for the Determination of Tropane Alkaloids in Culinary Aromatics Herbs by HPLC-MS/MS. Toxins 2022, 14, 218. [Google Scholar] [CrossRef] [PubMed]
- Pérez-Quintanilla, D.; Sánchez, A.; del Hierro, I.; Fajardo, M.; Sierra, I. Synthesis and characterization of novel mesoporous silicas of the MSU-X family for environmental applications. J. Nanosci. Nanotechnol. 2009, 9, 4901–4909. [Google Scholar] [CrossRef] [PubMed]
- Pérez-Quintanilla, D.; Hierro, I.; Fajardo, M.; Sierra, I. Preparation of 2-mercaptobenzothiazole-derivatized mesoporous silica and removal of Hg (II) from aqueous solution. J. Environ. Monit. 2006, 8, 214–222. [Google Scholar] [CrossRef]
- Landau, M.V.; Dafa, E.; Kaliya, M.L.; Sen, T.; Herskowitz, M. Mesoporous alumina catalytic material prepared by grafting wide-pore MCM-41 with an alumina multilayer. Microporous Mesoporous Mater. 2001, 49, 65–81. [Google Scholar] [CrossRef]
- Prouzet, E.; Cot, F.; Boissière, C.; Kooyman, P.J.; Larbot, A. Nanometric hollow spheres made of MSU-X-type mesoporous silica. J. Mater. Chem. 2002, 12, 1553–1556. [Google Scholar] [CrossRef]
- Grün, M.; Unger, K.K.; Matsumoto, A.; Tsutsumi, K. Novel pathways for the preparation of mesoporous MCM-41 materials: Control of porosity and morphology. Microporous Mesoporous Mater. 1999, 27, 207–216. [Google Scholar] [CrossRef]
- Schulz-Ekloff, G.; Rathouský, J.; Zukal, A. Controlling of morphology and characterization of pore structure of ordered mesoporous silicas. Microporous Mesoporous Mater. 1999, 27, 273–285. [Google Scholar] [CrossRef]
- Peña, L.; Hohn, K.; Li, J.; Sun, X.; Wang, D. Synthesis of Propyl-Sulfonic Acid-Functionalized Nanoparticles as Catalysts for Cellobiose Hydrolysis. J. Biomater. Nanobiotechnol. 2014, 5, 241–253. [Google Scholar] [CrossRef]
- Landau, M.V.; Varkey, S.P.; Herskowitz, M.; Regev, O.; Pevzner, S.; Sen, T.; Luz, Z. Wetting stability of Si-MCM-41 mesoporous material in neutral, acidic and basic aqueous solutions. Microporous Mesoporous Mater. 1999, 33, 149–163. [Google Scholar] [CrossRef]
- National Library of Medicine. PubChem Reference Collection SID 481107725, Atropine. 2024. Available online: https://pubchem.ncbi.nlm.nih.gov/compound/Atropine (accessed on 11 December 2024).
- National Library of Medicine. PubChem Reference Collection CID 11968014, Scopolamine. 2024. Available online: https://pubchem.ncbi.nlm.nih.gov/compound/11968014 (accessed on 11 December 2024).
- Thuéry, P.; Atoini, Y.; Harrowfield, J. The Sulfonate Group as a Ligand: A Fine Balance between Hydrogen Bonding and Metal Ion Coordination in Uranyl Ion Complexes. Dalton Trans. 2019, 48, 8756–8772. [Google Scholar] [CrossRef]
- Bertolini, D.; Cassettari, M.; Salvetti, G. The Dielectric Properties of Alcohols–water Solutions. I. the Alcohol Rich Re-gion. J. Chem. Phys. 1983, 78, 365–372. [Google Scholar] [CrossRef]
- Gunner, M.R.; Alexov, E.; Torres, E.; Lipovaca, S. The importance of the protein in controlling the electrochemistry of heme metalloproteins: Methods of calculation and analysis. J. Biol. Inorg. Chem. 1997, 2, 126–134. [Google Scholar] [CrossRef]
- Physical Properties of Alcohols; Hydrogen Bonding. 2022. Available online: https://chem.libretexts.org/Courses/Winona_State_University/Klein_and_Straumanis_Guided/13%3A_Alcohols_and_Phenols/13.09%3A_Physical_Properties_of_Alcohols_Hydrogen_Bonding (accessed on 27 December 2024).













| Compound | Rt (min) | Precursor Ion (Q1, m/z) | Product Ions (Q3, m/z) | Collision Energy (eV) | Scan Time (ms) |
|---|---|---|---|---|---|
| Atropine | 2.950 | 290.5 | 123.90 * | 20.5 | 31.26 |
| 93.60 | 29.0 | ||||
| 91.10 | 34.0 | ||||
| Scopolamine | 2.465 | 303.5 | 137.90 * | 12.0 | 23.45 |
| 155.80 | 9.5 | ||||
| 120.60 | 16.0 |
| Sample | BET Specific Surface Area a (m2/g) | Pore Diameter BJH b (Å) | Pore Volume c (cm3/g) | Wall Thickness d (Å) | L0 e (mmol SO3H/g) |
|---|---|---|---|---|---|
| MCM-41 | 1101 | 26.6 | 1.03 | 26.32 | - |
| MCM-41-SO3H | 870 | 25.3 | 0.69 | - | 1.12 |
| MSU-2 | 852 | 33.6 | 0.78 | 18.58 | - |
| MSU-2-SO3H | 648 | 25.6 | 0.52 | - | 1.08 |
Disclaimer/Publisher’s Note: The statements, opinions and data contained in all publications are solely those of the individual author(s) and contributor(s) and not of MDPI and/or the editor(s). MDPI and/or the editor(s) disclaim responsibility for any injury to people or property resulting from any ideas, methods, instructions or products referred to in the content. |
© 2025 by the authors. Licensee MDPI, Basel, Switzerland. This article is an open access article distributed under the terms and conditions of the Creative Commons Attribution (CC BY) license (https://creativecommons.org/licenses/by/4.0/).
Share and Cite
Vera-Baquero, F.L.; Morante-Zarcero, S.; Pérez-Quintanilla, D.; Sierra, I. Exploring Adsorption Performance of Functionalized Mesoporous Silicas with a Different Pore Structure as Strong Cation-Exchange Sorbents for Solid-Phase Extraction of Atropine and Scopolamine. Appl. Sci. 2025, 15, 646. https://doi.org/10.3390/app15020646
Vera-Baquero FL, Morante-Zarcero S, Pérez-Quintanilla D, Sierra I. Exploring Adsorption Performance of Functionalized Mesoporous Silicas with a Different Pore Structure as Strong Cation-Exchange Sorbents for Solid-Phase Extraction of Atropine and Scopolamine. Applied Sciences. 2025; 15(2):646. https://doi.org/10.3390/app15020646
Chicago/Turabian StyleVera-Baquero, Fernando L., Sonia Morante-Zarcero, Damián Pérez-Quintanilla, and Isabel Sierra. 2025. "Exploring Adsorption Performance of Functionalized Mesoporous Silicas with a Different Pore Structure as Strong Cation-Exchange Sorbents for Solid-Phase Extraction of Atropine and Scopolamine" Applied Sciences 15, no. 2: 646. https://doi.org/10.3390/app15020646
APA StyleVera-Baquero, F. L., Morante-Zarcero, S., Pérez-Quintanilla, D., & Sierra, I. (2025). Exploring Adsorption Performance of Functionalized Mesoporous Silicas with a Different Pore Structure as Strong Cation-Exchange Sorbents for Solid-Phase Extraction of Atropine and Scopolamine. Applied Sciences, 15(2), 646. https://doi.org/10.3390/app15020646

