Enhancing Helmholtz Resonance Prediction in Acoustic Barriers Based on Sonic Crystals
Abstract
1. Introduction
2. Materials and Methods
2.1. Resonance Prediction Equation Used
2.2. Numerical Model and Parameterisation
2.3. Experimental Validation in an Anechoic Chamber
3. Results and Discussion
3.1. Relationship Between , and the Experimental Result
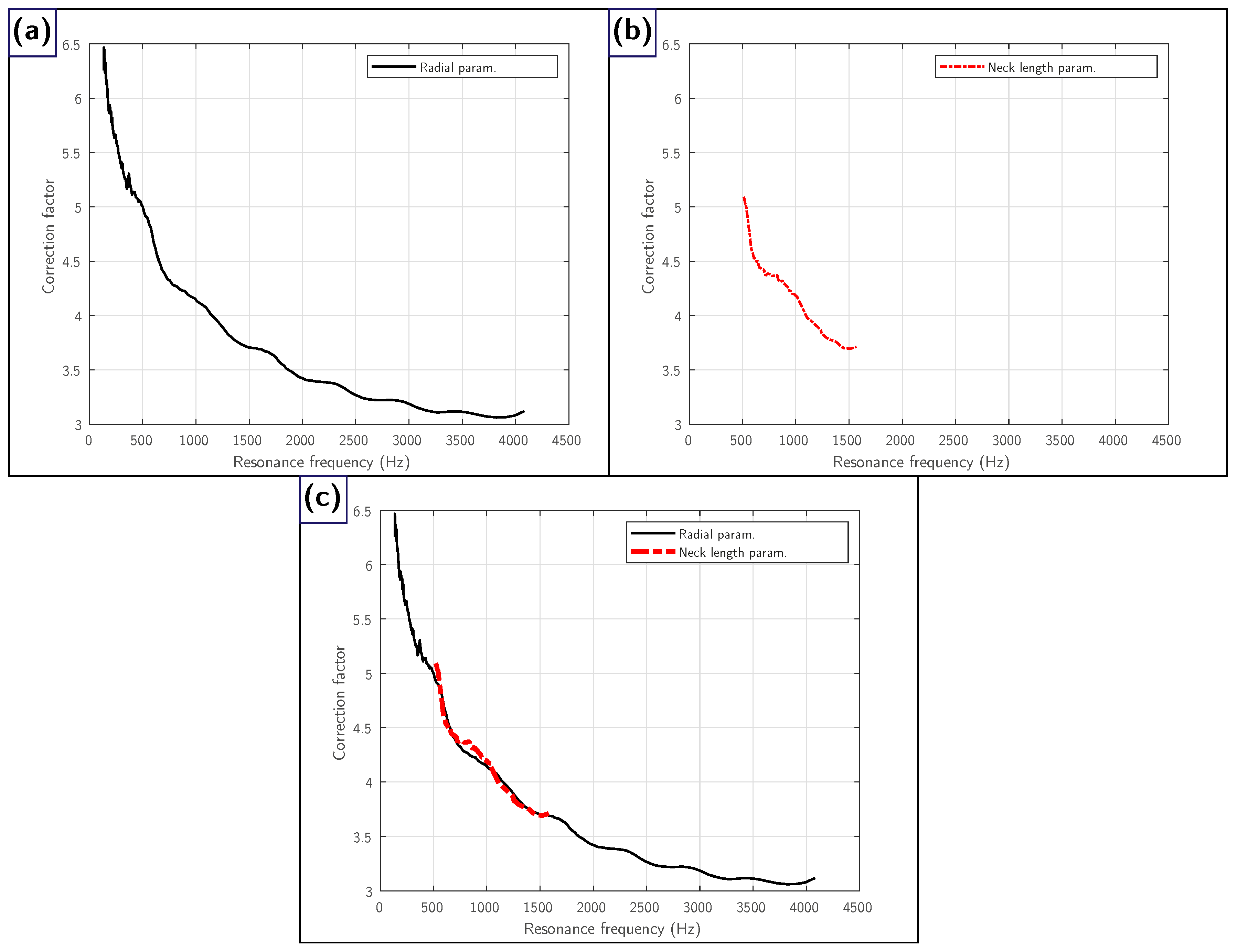
3.2. Dependency of the Correction Factor and Design Frequency
4. Conclusions
Author Contributions
Funding
Institutional Review Board Statement
Informed Consent Statement
Data Availability Statement
Conflicts of Interest
References
- Chen, J.; Ma, H. An impact study of acoustic environment on users in large interior spaces. Build. Acoust. 2019, 26, 139–153. [Google Scholar] [CrossRef]
- Leventhall, H.G. Low frequency noise and annoyance. Noise Health 2004, 6, 59–72. [Google Scholar] [PubMed]
- Song, C.; Li, H.; Ma, H.; Han, T.; Wu, J. Effects of Noise Type and Noise Sensitivity on Working Memory and Noise Annoyance. Noise Health 2022, 24, 173–181. [Google Scholar] [CrossRef] [PubMed]
- Yang, L.; Gutierrez, D.E.; Guthrie, O.W. Systemic health effects of noise exposure. J. Toxicol. Environ. Health Part B 2023, 27, 21–54. [Google Scholar] [CrossRef]
- European Environment Agency. Environmental Noise in Europe—2025; Publications Office: Luxembourg, 2025. [Google Scholar] [CrossRef]
- Zhou, H.; Molesworth, B.R.C.; Burgess, M.; Hatfield, J. The effect of moderate broadband noise on cognitive performance: A systematic review. Cogn. Technol. Work 2023, 26, 1–36. [Google Scholar] [CrossRef]
- Rojas-Sánchez, O.A.; Ochoa-Villegas, J.; Marín, D.; Piñeros-Jiménez, J.G.; Rodriguez-Villamizar, L.A. Asociación entre la exposición a ruido ambiental y la calidad del sueño de adultos residentes en Medellín, Colombia, 2022: Un estudio exploratorio. Cad. Saúde Pública 2025, 41, e00233423. [Google Scholar] [CrossRef]
- Ameen, M.H.; Jumaah, H.J.; Kalantar, B.; Ueda, N.; Halin, A.A.; Tais, A.S.; Jumaah, S.J. Evaluation of PM2.5 Particulate Matter and Noise Pollution in Tikrit University Based on GIS and Statistical Modeling. Sustainability 2021, 13, 9571. [Google Scholar] [CrossRef]
- Chijioke, A.M.; Mathias, U.U.; Ifeanyi, N.V.; George, I.C. Noise in a Nigerian University. J. Environ. Pollut. Hum. Health 2019, 7, 56–61. [Google Scholar]
- Quader, M.A.; Rahman, M.M.; Chisty, M.A.; Saeed Al Hattawi, K.; Alam, E.; Islam, M.K. Evaluation of noise pollution impact on health in Dhaka city, Bangladesh. Front. Public Health 2024, 12, 1477684. [Google Scholar] [CrossRef]
- Ekici, I.; Bougdah, H. A Review of Research on Environmental Noise Barriers. Build. Acoust. 2003, 10, 289–323. [Google Scholar] [CrossRef]
- Laxmi, V.; Thakre, C.; Vijay, R. Evaluation of noise barriers based on geometries and materials: A review. Environ. Sci. Pollut. Res. 2021, 29, 1729–1745. [Google Scholar] [CrossRef] [PubMed]
- Lokhande, S.; Sakhare, D.S.; Dange, S.S.; Jain, M.C. A Short Review of Road Noise Barriers Focusing on Ecological Approaches. Int. J. Eng. Technol. Sci. 2021, 2021, 1–17. [Google Scholar]
- Tourin, A.; Fink, M.; Derode, A. Multiple scattering of sound. Waves Random Media 2000, 10, R31–R60. [Google Scholar] [CrossRef]
- Martínez-Sala, R.; Sancho, J.; Sánchez-Pérez, J.V.; Gómez, V.; Llinares, J.; Meseguer, F. Sound attenuation by sculpture. Nature 1995, 378, 241. [Google Scholar] [CrossRef]
- Sanchez-Perez, J.V.; Rubio, C.; Martinez-Sala, R.; Sanchez-Grandia, R.; Gomez, V. Acoustic barriers based on periodic arrays of scatterers. Appl. Phys. Lett. 2002, 81, 5240–5242. [Google Scholar] [CrossRef]
- Ferdyan, E.; Handayani, D.; As’ad, S.; Ubaidillah, U.; Yahya, I. Use of sound attenuation with sonic crystal structures in residential areas due to highways. J. Appl. Eng. Sci. 2023, 21, 785–794. [Google Scholar] [CrossRef]
- Hu, X.; Chan, C.T.; Zi, J. Two-dimensional sonic crystals with Helmholtz resonators. Phys. Rev. E 2005, 71, 055601. [Google Scholar] [CrossRef]
- Castiñeira-Ibáñez, S.; Rubio, C.; Romero-García, V.; Sánchez-Pérez, J.V.; García-Raffi, L.M. Design, Manufacture and Characterization of an Acoustic Barrier Made of Multi-Phenomena Cylindrical Scatterers Arranged in a Fractal-Based Geometry. Arch. Acoust. 2012, 37, 455–462. [Google Scholar] [CrossRef]
- Romero-García, V.; Krynkin, A.; Garcia-Raffi, L.M.; Umnova, O.; Sánchez-Pérez, J.V. Multi-resonant scatterers in sonic crystals: Locally multi-resonant acoustic metamaterial. J. Sound Vib. 2013, 332, 184–198. [Google Scholar] [CrossRef]
- Panda, D.; Mohanty, A.R. The Influence of Cladded Resonators on Gradient-Based Sonic Crystals over the Traditional Sonic Crystals. J. Vib. Eng. Technol. 2022, 11, 1077–1090. [Google Scholar] [CrossRef]
- Ahmed, R.; Ahmed, H. Understanding the Influence of Resonators on Frequency Band Gaps in Sonic Crystal Metamaterials. In Proceedings of the ASME 2021 Conference on Smart Materials, Adaptive Structures and Intelligent Systems, Virtual, 14–15 September 2021; SMASIS2021. American Society of Mechanical Engineers: New York, NY, USA, 2021. [Google Scholar] [CrossRef]
- Dosch, H.G.; Hauck, M. The Helmholtz resonator revisited. Eur. J. Phys. 2018, 39, 055801. [Google Scholar] [CrossRef]
- Elford, D.P.; Chalmers, L.; Kusmartsev, F.V.; Swallowe, G.M. Matryoshka locally resonant sonic crystal. J. Acoust. Soc. Am. 2011, 130, 2746–2755. [Google Scholar] [CrossRef]
- Radosz, J. Acoustic performance of noise barrier based on sonic crystals with resonant elements. Appl. Acoust. 2019, 155, 492–499. [Google Scholar] [CrossRef]
- Everest, F.A. Master Handbook of Acoustics, 7th ed.; McGraw-Hill Education: New York, NY, USA, 2022. [Google Scholar]
- Strutt, J.W. On the theory of resonance. Philos. Trans. R. Soc. Lond. 1871, 161, 77–118. [Google Scholar] [CrossRef]
- Vigran, T.E. Building Acoustics; CRC Press: Boca Raton, FL, USA, 2014. [Google Scholar] [CrossRef]
- COMSOL Multiphysics®; Version 6.3; COMSOL AB: Stockholm, Sweden, 2024.
- Berenger, J.P. A perfectly matched layer for the absorption of electromagnetic waves. J. Comput. Phys. 1994, 114, 185–200. [Google Scholar] [CrossRef]
- Antoniou, A.; Evripidou, N.; Giannakou, M.; Constantinides, G.; Damianou, C. Acoustical properties of 3D printed thermoplastics. J. Acoust. Soc. Am. 2021, 149, 2854–2864. [Google Scholar] [CrossRef]
- Kinsler, L.E.; Frey, A.R.; Coppens, A.B.; Sanders, J.V. Fundamentals of Acoustics, 4th ed.; Wiley: New York, NY, USA, 2000. [Google Scholar]











| Range (cm) | Step Size (mm) | Number of Simulations |
|---|---|---|
| 0.4–0.99 | 0.1 | 60 |
| 1.0–4.95 | 0.5 | 80 |
| 5.0–10.0 | 1.0 | 51 |
| Total | — | 191 |
| Resonator Design Details | ||
|---|---|---|
| Resonator Number | Internal Radius (cm) | Neck Length (cm) |
| 1 | 4 | 0.6 |
| 2 | 2 | 1 |
| 3 | 1 | 2 |
| 4 | 1 | 0.7 |
| Setting | Value |
|---|---|
| Layer height | 0.2 mm |
| Bottom layers | 3 |
| Top layers | 3 |
| Infill | 20% |
| Print speed | 80 mm/s |
| Print temperature | 210 °C |
| Hot bed temperature | 60 °C |
| Resonator 1 = 470 Hz | Resonator 2 = 922 Hz | Resonator 3 = 1592 Hz | Resonator 4 = 2160 Hz | |
|---|---|---|---|---|
| (%) | 35.7 | 21.6 | 13.6 | 13.5 |
| (%) | 1.5 | 1.0 | 1.8 | 1.4 |
| Resonator 1 | Frequency (Hz) | Resonator 2 | Frequency (Hz) | ||
![]() | 463 | ![]() | 913 | ||
| 470 | 922 | ||||
| 638 | 1121 | ||||
| 447 | 890 | ||||
| Resonator 3 | Frequency (Hz) | Resonator 4 | Frequency (Hz) | ||
![]() | 1563 | ![]() | 2129 | ||
| 1592 | 2160 | ||||
| 1808 | 2452 | ||||
| 1560 | 1966 | ||||
| (%) deviation from reference | |||||
| Resonator 1 | Resonator 2 | ||||
| 37.8 | 3.5 | 22.8 | 2.5 | ||
| 35.7 | 4.9 | 21.6 | 3.5 | ||
| Resonator 3 | Resonator 4 | ||||
| 15.7 | 0.2 | 15.2 | 7.7 | ||
| 13.6 | 2.0 | 13.5 | 9.0 | ||
Disclaimer/Publisher’s Note: The statements, opinions and data contained in all publications are solely those of the individual author(s) and contributor(s) and not of MDPI and/or the editor(s). MDPI and/or the editor(s) disclaim responsibility for any injury to people or property resulting from any ideas, methods, instructions or products referred to in the content. |
© 2025 by the authors. Licensee MDPI, Basel, Switzerland. This article is an open access article distributed under the terms and conditions of the Creative Commons Attribution (CC BY) license (https://creativecommons.org/licenses/by/4.0/).
Share and Cite
Onrubia-Fontangordo, L.; Bravo Plana-Sala, J.M.; Sánchez-Pérez, J.V.; Castiñeira-Ibáñez, S. Enhancing Helmholtz Resonance Prediction in Acoustic Barriers Based on Sonic Crystals. Appl. Sci. 2025, 15, 10675. https://doi.org/10.3390/app151910675
Onrubia-Fontangordo L, Bravo Plana-Sala JM, Sánchez-Pérez JV, Castiñeira-Ibáñez S. Enhancing Helmholtz Resonance Prediction in Acoustic Barriers Based on Sonic Crystals. Applied Sciences. 2025; 15(19):10675. https://doi.org/10.3390/app151910675
Chicago/Turabian StyleOnrubia-Fontangordo, Lucas, José María Bravo Plana-Sala, Juan Vicente Sánchez-Pérez, and Sergio Castiñeira-Ibáñez. 2025. "Enhancing Helmholtz Resonance Prediction in Acoustic Barriers Based on Sonic Crystals" Applied Sciences 15, no. 19: 10675. https://doi.org/10.3390/app151910675
APA StyleOnrubia-Fontangordo, L., Bravo Plana-Sala, J. M., Sánchez-Pérez, J. V., & Castiñeira-Ibáñez, S. (2025). Enhancing Helmholtz Resonance Prediction in Acoustic Barriers Based on Sonic Crystals. Applied Sciences, 15(19), 10675. https://doi.org/10.3390/app151910675





