Next Article in Journal
MRI Boundary-Aware Segmentation of Multiple Sclerosis Lesions Using a Novel Mahalanobis Distance Map
Previous Article in Journal
The Gardener of the Grand Duke: History and Analysis of Ms. 462 Hortus Pisanus, Icones variarum plantarum
Previous Article in Special Issue
Mechanical Characterization and Azithromycin Coating of Melt Electrowritten Polycaprolactone Mesh Implants for Prolapse Repair
 
 
Font Type:
Arial Georgia Verdana
Font Size:
Aa Aa Aa
Line Spacing:
Column Width:
Background:
Article

Assessment of Antioxidant, Antiproliferative and Proapoptotic Potential of Aqueous Extracts of Chroococcus sp. R-10

by
Inna Sulikovska
1,*,
Tanya Toshkova-Yotova
2,
Elina Tsvetanova
3,
Vera Djeliova
4,
Vesela Lozanova
5,
Anelia Vasileva
5,
Ivaylo Ivanov
5,
Reneta Toshkova
1 and
Ani Georgieva
1,*
1
Institute of Experimental Morphology, Pathology and Anthropology with Museum, Bulgarian Academy of Sciences, Acad. G. Bonchev Str., 25, 1113 Sofia, Bulgaria
2
Institute of Plant Physiology and Genetics, Bulgarian Academy of Sciences, Acad. G. Bonchev Str., 21, 1113 Sofia, Bulgaria
3
Institute of Neurobiology, Bulgarian Academy of Sciences, Acad. G. Bonchev Str., 23, 1113 Sofia, Bulgaria
4
Institute of Molecular Biology “Acad. R. Tsanev”, Bulgarian Academy of Sciences, Acad. G. Bonchev Str., 21, 1113 Sofia, Bulgaria
5
Department of Medical Chemistry and Biochemistry, Medical University of Sofia, Zdrave Str., 2, 1431 Sofia, Bulgaria
*
Authors to whom correspondence should be addressed.
Appl. Sci. 2025, 15(19), 10628; https://doi.org/10.3390/app151910628
Submission received: 30 August 2025 / Revised: 23 September 2025 / Accepted: 30 September 2025 / Published: 1 October 2025

Abstract

The rising incidence of cancer and the limitations of current therapeutic strategies underscore the urgent need to identify novel bioactive compounds for antitumor drug development. Cyanobacteria are widespread Gram-negative, photoautotrophic prokaryotes that have been recognized as an important source of biologically active secondary metabolites with vast potential for application in the fields of pharmaceutics. The aim of the present study was to analyze the phytochemical composition, antioxidant, and antitumor activities of low-temperature (LT) and high-temperature (HT) aqueous extracts of the cyanobacterium Chroococcus sp. R-10. Extracts were prepared and analyzed for phytochemical composition using UPLC-DAD, and antioxidant activity was tested via multiple assays. Antiproliferative effects were evaluated on human tumor cell lines, and the effects on cell cycle progression studied using flow cytometry. Fluorescence microscopy was employed to examine extract-induced cytomorphological changes in the treated cancer cells. UPLC-DAD analyses showed very similar chromatographic profiles of the extracts and identified glycogen as their main constituent. Both extracts displayed concentration-dependent antioxidant activity, with notable radical scavenging and ferric-reducing capacity. LT extract demonstrated higher phenolic content and antioxidant capacity. Both extracts reduced cell viability, particularly in MCF-7 and MDA-MB-231 breast carcinoma cell lines. Flow cytometry and fluorescent microscopy analyses revealed that the suppressed proliferative activity of the cancer cells was associated with a retardation of cell cycle progression and apoptosis induction. This study identifies Chroococcus sp. R-10 as a promising source of phytochemical compounds with pharmaceutical relevance and provides a rationale for further investigations to identify the primary bioactive constituents and elucidate their mechanisms of anticancer action.

1. Introduction

Cancer remains one of the leading causes of mortality worldwide. As such, cancer research increasingly focuses on the discovery of natural therapeutic agents and the development of novel functional foods or pharmaceutical drugs. Among natural sources, microalgae—particularly cyanobacteria—have emerged as promising candidates due to their unique ability to survive and adapt to extreme environmental conditions, such as high temperatures and intense light. These adaptations are believed to be linked to the production of specialized bioactive compounds that aid in their survival and offer potential therapeutic benefits for humans [1].
Recent studies have highlighted the therapeutic potential of cyanobacteria-derived bioactive compounds [2,3,4]. Among these compounds, apratoxins, isolated from various cyanobacterial species, have demonstrated strong cytotoxic effects against multiple cancer cell lines [5,6,7]. Specifically, apratoxin A, obtained from the aquatic cyanobacterium Lyngbya majusculata, has shown significant anticancer activity by inducing G1-phase cell cycle arrest in human cervical carcinoma HeLa cells [6]. It has also exhibited potent cytotoxicity in other tumor cell lines, including LoVo and epidermal ĸB carcinoma cells [7]. Furthermore, peptides extracted from Lyngbya sp. and Nostoc sp. have been found to exert promising anticancer effects by dysregulating secretory pathways, inhibiting tubulin polymerization, and modulating various intracellular signaling mechanisms [8]. Curacin A, a unique thiazoline-containing lipid synthesized by marine cyanobacteria, has shown particularly strong activity, effectively suppressing the proliferation of non-small-cell lung cancer A549 cells by inducing apoptosis and causing G2/M-phase cell cycle arrest [9]. Another potent compound, cryptophycin, originally isolated from Nostoc sp. exhibits broad-spectrum anticancer activity against breast, lung, pancreatic, prostate, ovarian, colon, and brain cancers and is notably effective against multidrug-resistant tumor cells [10]. It triggers apoptosis in ĸB and LoVo cell lines [11] and induces G2/M-phase cell cycle arrest in MDA-MB-435 mammary adenocarcinoma and SKOV3 ovarian carcinoma cells [10]. Cryptophycin is currently undergoing phase I clinical trials, and several synthetic analogs have been developed to enhance its therapeutic potential [12]. Similarly, Largazole, isolated from Symploca sp., has demonstrated a concentration-dependent inhibitory effect on the proliferation of highly invasive human mammary epithelial MDA-MB-231 cells. It also significantly suppresses the growth of HT-29 colon carcinoma and IMR-32 neuroblastoma cells, inducing G2/M-phase arrest in HT-29 cells [3,13].
Beyond their pharmaceutical importance, cyanobacteria are also valued for their nutritional and health-promoting properties [14,15,16]. For instance, Spirulina, one of the most widely consumed cyanobacterial dietary supplements, has been associated with numerous health benefits, including antioxidant, anti-inflammatory, lipid-lowering, and anticancer effects [2,16]. These activities are largely attributed to its content of phenolic compounds, flavonoids, and phycocyanins, which help reduce oxidative stress and prevent chronic diseases, including cancer and diabetes [14,17,18]. In the present study, we investigated a newly isolated strain Chroococcus sp. R-10, obtained from a lake formed near a thermal spring (28 °C) in Rupite, Petrich district, Bulgaria. The Chroococcus, stain sp. R-10 shows the diacritical morphological characteristics of the genus, which are spherical or hemispherical cells, dividing only by double division into three irregular planes, forming single cells or colonies. The strain is currently deposited in the culture collection of the Institute of Plant Physiology and Genetics, Bulgarian Academy of Sciences. It was successfully cultured within a temperature range of 26–35 °C and exhibited tolerance to high light intensities. The strain demonstrated high biomass productivity and proved to be an efficient producer of exopolysaccharides and phycobiliproteins. Under optimal conditions (26 °C and unilateral illumination at 132 μmol photons m−2 s−1), the maximum biomass yield obtained from Chroococcus sp. R-10 reached 10.3 g L−1 after 336 h of cultivation [19]. The biomass contained 37% of the dry weight (DW) protein and a higher amount (42% of DW) of carbohydrates. Low temperature and reduced light intensity favored the biosynthesis of phycobiliproteins (10.8% of DW), whereas higher light intensity stimulated lipid accumulation in the cells (16.4% of DW) [20]. In previous studies, the optimal culture conditions for biomass accumulation and production of extracellular polysaccharides were determined. Moreover, the assessment of the antimicrobial and anticancer potential of exopolysaccharides obtained from Chroococcus sp. R-10 demonstrated significant antimicrobial and antifungal activities [20] as well as selective antiproliferative effects on cervical carcinoma cells [21]. These results revealed the biotechnological potential of Chroococcus sp. R-10 as a valuable source of metabolites with diverse bioactivities.
The present study aimed to evaluate the antioxidant and antitumor activities of low-temperature (LT) and high-temperature (HT) aqueous extracts of Chroococcus sp. R-10, with a particular focus on their antioxidant and cytotoxic effects, selectivity toward human cancer cell lines, and underlying mechanisms of their action.

2. Materials and Methods

2.1. Cyanobacterial Strain Cultivation

Chroococcus sp. R-10 obtained from the Algae Culture Collection of the Institute of Plant Physiology and Genetics, Bulgarian Academy of Sciences, was intensively cultivated in Aiba and Ogawa medium [22]. The cultures were incubated at 26 °C under a 16 h:8 h light–dark cycle, with an illumination intensity of 132 μmol photons m−2 s−1, and continuously aerated with air enriched with 2% CO2. After 96 h, the cultures were harvested by centrifugation at 5000× g for 15 min to obtain the biomass. The collected biomass was freeze-dried and stored at −20 °C until further use.

2.2. Extract Preparation

Low-temperature (LT) and high-temperature (HT) aqueous extracts were prepared from lyophilized dry biomass of Chroococcus sp. R-10. For the LT extract, the dry biomass was mixed with boiling distilled water and then incubated at 4 °C for 48 h. For the HT extract, distilled water was added to the dry biomass, followed by boiling at 80–90 °C for 90 min with continuous stirring. In both cases, the resulting mixtures were centrifuged to remove the residual cell mass. The supernatants (aqueous extracts) were then dried by lyophilization and stored until further use.

2.3. UHPLC Analysis

The high-temperature and low-temperature aqueous extracts of Chroococcus sp. R-10 were dissolved in water at a concentration of 5 mg/mL. After centrifugation and filtration of the samples, the analyses were performed using a Thermo Scientific™ UltiMate™ 3000 UHPLC system (Waltham, MA, USA) with a mobile phase of 50 mM ammonium acetate in water, with isocratic elution, 1 mL per minute (high flow) with an analytical belt (Thermo Scientific, 300 × 7.8 mm, 5 µm), at different wavelengths, with the best signal obtained at 214 nm irradiation.

2.4. Determination of the Total Polyphenol Content

The total polyphenol contents (TPCs) were determined using the Folin–Ciocalteu colorimetric assay [23]. Suitable working concentrations of both tested extracts were mixed with Folin–Ciocalteu reagent and 7.5% sodium carbonate solution, and the reaction mixture was incubated for 10 min in the dark. The absorbance of the resulting blue complex was measured at 760 nm using a spectrophotometer. Gallic acid was used as the standard, and the results were expressed as micrograms of gallic acid equivalents (GAE) per milligram of sample.

2.5. Antioxidant Potential

2.5.1. ABTS Radical Scavenging Activity (ABTS•+)

ABTS radical scavenging activity was analyzed according to a modified version by Raynova et al. [24] of the method described by Re et al. [25], at maximum absorption at 734 nm. Suitable dilutions of the tested extract were prepared (from 25 to 100 μg/mL), and added to the previously formed ABTS•+.

2.5.2. DPPH Radical Scavenging Assay (DPPH)

The antioxidant activity of Chroococcus sp. R-10 extracts was evaluated using the DPPH radical scavenging method described by Brand-Williams [26]. Extracts at final concentrations of 500–2500 µg/mL were tested. A methanol–sample mixture was used as the blank, and methanol with DPPH solution served as the control. After 30 min of incubation in the dark at room temperature, absorbance was measured at 517 nm. Scavenging activity was expressed as a percentage relative to the control.

2.5.3. NBT Radical Scavenging Assay

For the generation of superoxide anion radicals (O2•−), the method of Beauchamp and Fridovich was used [27]. The reduction of nitro blue tetrazolium (NBT) by O2•− to a blue formazan product in the presence of the tested substance in different final concentrations (270, 400, 530 μg/mL) was measured. The antioxidant activity of the extracts was evaluated by measuring absorbance at 560 nm, and expressed as a percentage relative to the control.

2.5.4. Cupric-Reducing Antioxidant Capacity (CUPRAC)

The cupric ion reducing antioxidant capacity (CUPRAC) assay is based on the reduction of a copper (II)-neocuproine complex to a copper (I)-neocuproine chelate by antioxidants present in the sample [28]. This redox reaction forms a colored complex with a characteristic absorption maximum at 450 nm. The intensity of the color was measured spectrophotometrically, and the results are expressed as Trolox equivalents.

2.5.5. Ferric-Reducing Antioxidant Power (FRAP)

The ferric reducing antioxidant power (FRAP) assay was conducted using 2,4,6-Tri(2-pyridyl)-s-triazine (TPTZ) reagent. This method relies on the reduction of ferric ions (Fe3+) to ferrous ions (Fe2+) by antioxidants in the sample under acidic conditions (low pH). During the reaction, the colorless Fe3+–TPTZ complex is reduced to a blue-colored Fe2+–TPTZ complex. The mixture was incubated at 37 °C for 4 min to allow the reaction to proceed, after which absorbance was recorded at 593 nm using a spectrophotometer [29].

2.6. Cell Line and Cultivation Condition

Human cell lines MDA-MB-231 (triple-negative mammary gland adenocarcinoma), MCF-7 (estrogen receptor-positive mammary gland adenocarcinoma), A549 (lung carcinoma), HCT-8 (colorectal adenocarcinoma), HepG2 (hepatocellular carcinoma), and MCF-10A (mammary gland epithelial cells) were obtained from ATTC (Manassas, VA, USA). The cells were cultivated in DMEM supplemented with L-glutamine (2 mM), 10% fetal bovine serum, and antibiotics (penicillin and streptomycin) at 37 °C in a humidified incubator with 5% CO2.

2.7. Cell Viability Assay

Cell viability was determined using the neutral red uptake assay. Cells were seeded in 96-well plates (1 × 103 cells/well), incubated for 24 h, and treated with LT and HT aqueous extracts (15.6–2000 µg/mL) for 72 h. After staining with neutral red and treatment with desorbing solution, absorbance was measured at 540 nm. IC50 values were calculated using nonlinear regression (GraphPad Prism 4).

2.8. FACS Analysis of Cell Cycle

To assess the effect of Chroococcus sp. R-10 LT extract on the cell cycle, MDA-MB-231 cells were treated with IC50 concentration for 24 h. Cells were fixed with 70% ethanol, treated with RNase A and propidium iodide, and analyzed by flow cytometry Becton Dickinson (BD Biosciences, San Jose, CA, USA). A total of 10,000 events per sample were recorded and analyzed with FlowJo v10.8.

2.9. Fluorescent Microscopy

MDA-MB-231 cells were grown on coverslips and treated with LT extract (IC50) for 48 h. Morphological changes were visualized using AO/EtBr staining, while nuclear morphology was assessed by DAPI staining. Images were captured using a Leica DM 5000B (Leica Microsystems GmbH, Wetzlar, Germany) fluorescence microscope.

2.10. Statistical Analysis

Results are presented as mean ± SD from three biological replicates. Data were analyzed using one-way ANOVA followed by Bonferroni’s post hoc test. Statistical significance was set at p < 0.05, p < 0.01, and p < 0.001 (GraphPad Prism 8.0).

3. Results

3.1. Chemical Composition Analysis

UPLC-DAD analysis revealed that the chromatographic profiles of the LT and HT aqueous extracts of Chroococcus sp. R-10 were nearly identical (Figure 1A,B). Cyanobacteria accumulate polysaccharides, including glycogen, during photosynthesis, and their contents can reach 50% of the biomass dry weight [30].
UPLC analysis of the two extracts showed that glycogen is one of the main components (Figure S1). The UV-spectrum of the compound with a retention time 8.64 min is very similar to the spectrum of glycogen (Figure S2). For this reason, we believe that this compound is an unknown polysaccharide. Potential bioactive compounds in the extract may be various types of phenolic compounds. The total polyphenol content (TPC) of the two extracts differed slightly, with the HT extract showing a 9% lower value compared to the LT extract (Table 1). The TPC of 1 mg of the LT Chroococcus extract corresponded to 6.91 ± 0.36 µg gallic acid equivalents (GAE), whereas 1 mg of the HT extract corresponded to 6.35 ± 0.06 µg GAE. Analyses of the UPLC-DAD chromatograms showed that compounds with retention times in the range of 5.5 to 8.5 min have similar UV spectra, with a maximum around 260 nm. As an example, Figure S3 shows the UV spectrum of the compound with a retention time of 7.15 min. Such spectra are characteristic of gallic acid and its derivatives. Compounds with retention times above 10 min have UV spectra very similar to those of flavones (Figure S4). Confirmation of the presence of these types of compounds is provided by the chromatograms of the extract at 280 and 340 nm (Figure S5).

3.2. Evaluation of Antioxidant Activity

The extracts’ radical scavenging activity of LT and HT Chroococcus sp. R-10 aqueous extracts was examined using the ABTS, DPPH, and NBT assays, and the results are presented in Figure 2, Figure 3 and Figure 4.
The activities of LT and HT extracts against ABTS radicals in the concentration range from 25 to 100 μg/mL are depicted in Figure 2. A clear concentration-dependent inhibition of ABTS radicals was observed for both extracts, with the LT extract consistently demonstrating higher antiradical activity than the HT extract at all tested concentrations.
The DPPH radical scavenging activity of the LT and HT Chroococcus sp. R-10 extracts was evaluated in the concentration range of 500–2500 μg/mL. Both extracts showed a clear concentration-dependent increase in activity, rising from 24 to 26% inhibition at 500 μg/mL to plateau values of 66% for the LT extract and 62% for the HT extract at 2000 μg/mL. Across all tested concentrations, the LT extract consistently exhibited stronger antioxidant activity than the HT extract.
The superoxide anion radical O2 scavenging activity of LT and HT Chroococcus sp. R-10 extracts were tested at concentrations from 270 μg/mL to 530 μg/mL. Both extracts showed a strong antioxidant effect, with 71% inhibition for the LT extract and 67% for the HT extract. Consistently, the LT extract showed superior antioxidant activity compared to the HT extract.
The mean IC50 values and the total phenolic content of the Chroococcus sp. R-10 extracts summarized in Table 1 clearly demonstrated the higher antioxidant activity of the LT extract.
The metal reducing capacities of the LT and HT Chroococcus sp. R-10 extracts evaluated by CUPRAC, and FRAP assays and expressed as Trolox equivalents are presented in Figure 5 and Figure 6.
At all tested concentrations, the LT extract exhibited higher CUPRAC activity than the HT extract. At the highest concentration (2000 μg/mL), the LT extract corresponded to 123.44 µM Trolox, compared to 112.69 µM for the HT extract. At the lowest concentration (125 μg/mL), the LT and HT extracts were equivalent to 13.21 µM and 10.03 µM Trolox, respectively.
At all tested concentrations, the LT Chroococcus sp. R-10 extract exhibited higher ferric-reducing antioxidant power (FRAP) than the HT extract. At the lowest concentration (130 μg/mL), the LT extract corresponded to 4.86 µM Trolox, compared to 2.52 µM for the HT extract. At the highest concentration tested (270 μg/mL), the LT extract corresponded to 8.35 µM Trolox, while the HT extract corresponded to 7.7 µM.

3.3. Anticancer Activity

3.3.1. Antiproliferative Activity

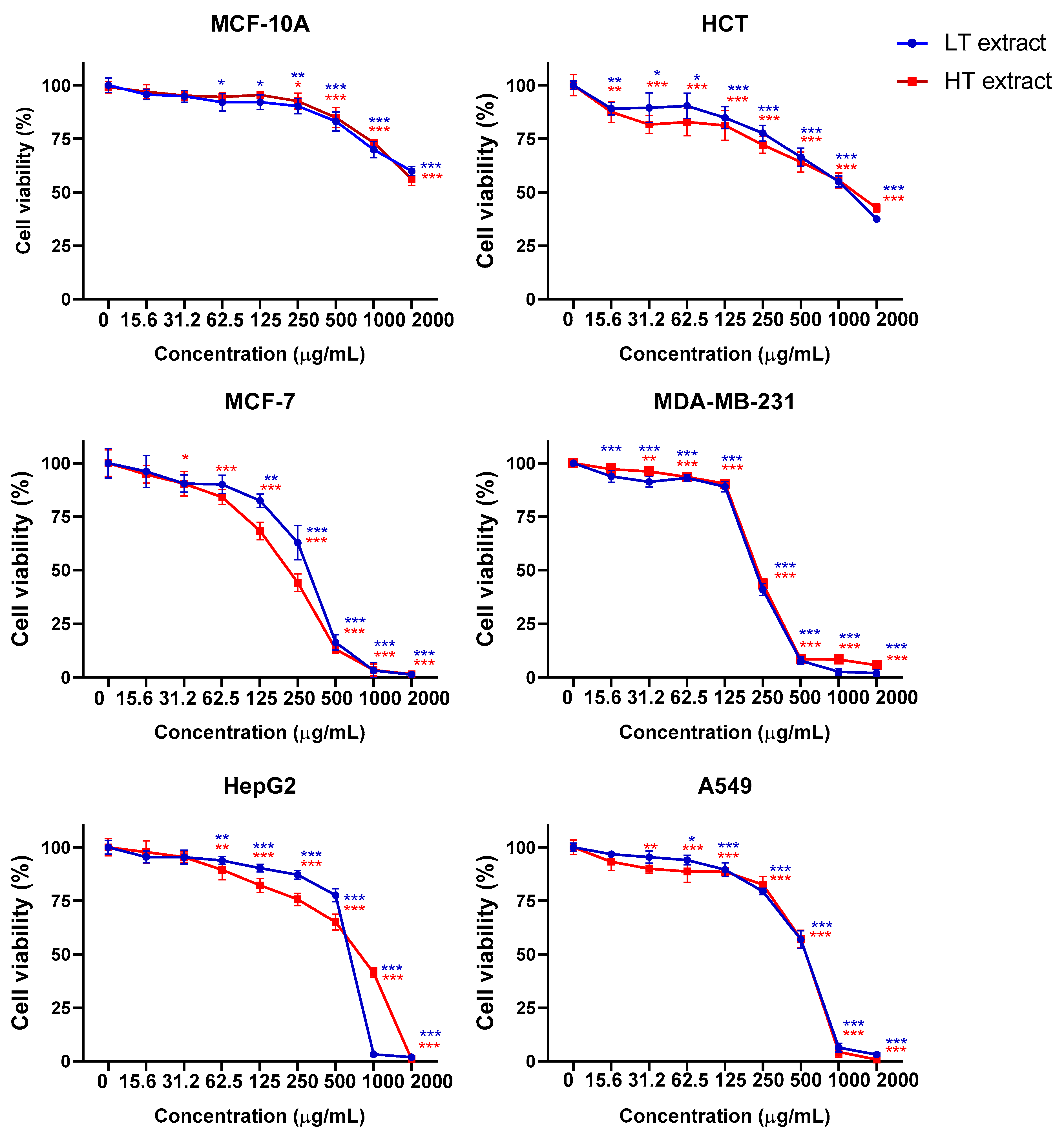
We evaluated the effects of Chroococcus sp. R-10 aqueous extracts on the viability of five human tumor cell lines using the NRU (Neutral Red Uptake) assay. The results are presented as sigmoidal concentration–response curves, reflecting the cytotoxic potential of both LT and HT extracts (Figure 7).
Both extracts showed low toxicity against MCF-10A (non-tumorigenic epithelial cells) and the cell viability was higher than 50% even at high concentrations (≥500 µg/mL). It is evident that MCF-10A cells are relatively resistant, indicating potential selectivity of extracts for tumor cells. The LT extract demonstrated slightly higher cytotoxicity compared to the HT extract in most of the tumor cell lines (MDA-MB-23, HepG2, and HCT). The cytotoxic effect was concentration-dependent—a gradual increase in cytotoxicity was observed with an increase in concentration of extract, as shown in Figure 1. Notably, the breast cancer cell lines MCF-7 and MDA-MB-231 exhibited the highest sensitivity to both extracts.
The IC50 values (concentration causing death of 50% of cells) of both extracts were calculated for all cell lines tested. Data are shown in Table 2.
The lowest IC50 values were determined for MDA-MB-231 and MCF-7, and the highest values were observed in human non-tumorigenic breast epithelial cell line MCF-10A cells. LT extract was slightly more effective against MDA-MB-231, while HT extract was more effective against MCF-7.

3.3.2. Cell Cycle Analysis

The effects of the LT aqueous extract of Chroococcus sp. R-10 on the cell cycle progression of MDA-MB-231 cells were studied using flow cytometry analysis (Figure 8A,B).
Flow cytometry histograms show that after treatment with LT aqueous extract of Chroococcus sp. R-10 extract (250 µg/mL), more cells accumulate in the G1 and S phases, while fewer progress to G2/M. The result could be interpreted as a cell cycle arrest at the G1/S border, evidenced by the increased proportion of cells in G1 and a concomitant reduction in the G2/M cell population. This effect implies the LT aqueous extract disrupts cell cycle progression, which contributes to inhibition of proliferation in MDA-MB-231 breast cancer cells.

3.3.3. Fluorescence Microscopy Analyses

Cytomorphological alterations in MDA-MB-231 cells induced after 48 h treatment with LT aqueous extract of Chroococcus sp. R-10 were studied by fluorescent microscopy analysis after staining with acridine orange/ethidium and DAPI (Figure 9).
Fluorescence micrographs of untreated control MDA-MB-231 cells show predominantly uniform green fluorescence, indicating viable cells with intact membranes (Figure 9A). Nuclei appear evenly stained, round, and intact with no signs of condensation or fragmentation (Figure 9C).
The fluorescence microscopy analysis revealed that treatment of MDA-MB-231 cells with the LT aqueous extract of Chroococcus sp. R-10 induced pronounced cytomorphological changes characteristic of apoptosis.
AO/EB staining demonstrated increased membrane permeability in treated cells, evidenced by the shift from green to yellow/orange fluorescence, indicating compromised cell membrane integrity typical of early and late apoptotic stages. There were also visible cellular shrinkage and fragmentation (Figure 9B). Complementary DAPI staining showed condensed and fragmented nuclei (classic hallmarks of apoptosis), further confirming the activation of apoptotic pathways (Figure 9D). These morphological alterations corroborate the observed decrease in cell viability and support the hypothesis that the extract not only suppresses proliferation but also actively triggers programmed cell death. Such dual action enhances the potential therapeutic value of Chroococcus sp. R-10 bioactive compounds in targeting aggressive breast cancer cells.

4. Discussion

The current study analyzed the chemical profile, antioxidant properties, and anticancer potential of aqueous extracts from Chroococcus sp. R-10 obtained through low-temperature (LT) and high-temperature (HT) extraction. Through a series of in vitro assays, we demonstrated that both extracts exhibit marked bioactivity, with LT generally outperforming HT in antioxidant and selective antiproliferative effects. The findings demonstrate that extraction temperature significantly affects the phenolic content and biological activity of the extracts.
UPLC-DAD analysis revealed that both LT and HT extracts shared similar chromatographic profiles, with glycogen identified as a dominant component. This observation is in agreement with previous findings indicating that cyanobacteria can accumulate polysaccharides, including glycogen, up to 50% of their dry biomass [31]. In addition to glycogen, the presence of an unknown polysaccharide was also detected in the extracts. Although glycogen was identified as the major extract component, it could be reasonably assumed that other minor co-extracted bioactive constituents, such as phenolics, polysaccharides, and secondary metabolites, could be responsible for the detected antioxidant and antiproliferative effects. The chromatographic profile of the extracts provided evidence for the presence of phenolic compounds such as gallic acid derivatives and flavones, which are known for their antioxidant and anticancer properties. Further fractionation and detailed structural characterization of these minor constituents will be necessary to establish a direct link between composition and bioactivity.
A broad antioxidant profile of both LT and HT extracts was demonstrated by ABTS, DPPH, NBT, CUPRAC, and FRAP assays. Across all methods, the LT extract exhibited higher radical scavenging and reducing capacity than HT. The ABTS, DPPH, and NBT assays revealed a clear concentration-dependent increase in antioxidant activity, with LT extract consistently showing greater inhibition. In the FRAP and CUPRAC assays, the LT extract also displayed higher Trolox equivalent values, indicating superior reducing power. The enhanced activity of the LT extract underscores the influence of extraction conditions on bioactivity. The difference in antioxidant activity may be partially attributed to the higher total phenolic content (TPC) observed in the LT extract (6.91 ± 0.36 µg GAE/mg) compared to HT (6.35 ± 0.06 µg GAE/mg), as phenolics are well-established contributors to antioxidant mechanisms, acting via radical scavenging, metal chelation, and redox modulation. The obtained results suggest that lower-temperature extraction better preserves phenolic compounds and antioxidant functionality, likely due to reduced thermal degradation of bioactive components. The detected antioxidant activity of the Chroococcus sp. R-10 is consistent with previous reports of cyanobacterial extracts rich in phenolic and flavonoid content contributing to radical scavenging and metal ion reducing capacities [31,32]. These findings emphasize the potential of Chroococcus sp. R-10 extracts, particularly LT, as promising natural antioxidant agents for therapeutic and nutraceutical applications.
The cytotoxic potential of LT and HT Chroococcus sp. R-10 extracts was assessed against five human cancer cell lines and one non-tumorigenic cell line. Both LT and HT extracts exerted cytotoxic effects against multiple human cancer cell lines, including MCF-7, MDA-MB-231, HepG2, HCT, and A549, with minimal toxicity toward non-tumorigenic MCF-10A breast epithelial cells. Among tumor lines, MCF-7 and MDA-MB-231 breast cancer cells were the most sensitive, with IC50 values lower than 350 µg/mL for both extracts. Notably, the HT extract was more cytotoxic toward MCF-7 (IC50 = 222.5 µg/mL), while the LT extract was more effective against MDA-MB-231 (IC50 = 226.7 µg/mL). These findings support the growing body of evidence indicating that unicellular cyanobacteria produce bioactive compounds with selective cytotoxic properties. In a previous study, apoptotic and DNA-damaging effects of Chroococcus-derived beta-glucans in MCF-7 cells have been reported [33]. These findings taken together with the present results confirm the antiproliferative potential of Chroococcus bioactive metabolites against breast carcinoma cells. The anticancer efficacy of unicellular cyanobacteria strains has also been demonstrated in a study of Cyanothece sp. extracts that demonstrated significantly inhibited proliferation of MCF-7 breast cancer cells, further validating the cytotoxic potential of cyanobacterial bioactive compounds [34]. Similarly, methanolic extracts derived from freshwater cyanobacteria, including Synechococcus and Cyanothece, demonstrated cytotoxicity with IC50 values comparable to those reported here, supporting their bioactive potential against malignant cells [32]. Additional support comes from research on species such as Geitlerinema, Anabaena, and Nostoc, which showed substantial antiproliferative effects across various cancer cell lines, including lung (A549), liver (Hep3B), and breast (MCF-7) carcinomas, highlighting the broad-spectrum antitumor capacity of cyanobacterial metabolites [35]. Furthermore, studies on Oscillatoria sp. have confirmed its antimicrobial and anticancer activities, indicating that intracellular secondary metabolites from freshwater cyanobacteria represent a valuable reservoir of bioactive compounds with pharmaceutical relevance [36].
Mechanistically, cell cycle analysis revealed that the LT Chroococcus sp. R-10 extract induced G1/S arrest in MDA-MB-231 cells, thereby blocking cell cycle progression into the DNA synthesis (S) phase and G2-M phase. This suppression of cell cycle progression aligns with antiproliferative effects and is supported by fluorescence microscopy evidence showing membrane permeabilization, nuclear condensation, and apoptotic body formation—all hallmarks of programmed cell death. The combined effects on proliferation arrest and apoptosis highlight the dual cytostatic and cytotoxic action of the extract. Our results align with the data of a previous study indicating that Chroococcus turgidus extracts induce apoptosis in colorectal cancer cells by modulating the Bax/Bcl2 pathway, with pronounced effects such as nuclear fragmentation and chromatin remodeling [31]. These converging lines of evidence support the conclusion that cyanobacteria, particularly unicellular forms like Chroococcus sp., possess significant potential for anticancer drug development.
Taken together, the results of the antioxidant and anticancer assessment indicate that Chroococcus sp. R-10 aqueous extracts—especially when prepared under low-temperature conditions—demonstrate promising bioactivity with potential therapeutic applications. The strong antioxidant potential of Chroococcus sp. R-10 extracts likely contributes to their enhanced anticancer effects. Oxidative stress is known to play a dual role in cancer progression, while moderate ROS levels drive tumorigenesis, the excessive ROS accumulation triggers apoptosis [35,36,37]. By reducing oxidative stress and scavenging free radicals, Chroococcus phenolic compounds may sensitize cancer cells to apoptosis while protecting normal cells from damage. Similar correlations between high antioxidant capacity and antiproliferative efficacy have been observed in other cyanobacterial extracts [32,36,38], supporting the therapeutic relevance of our findings. The observed selectivity toward cancerous over non-tumorigenic cells also raises the possibility for safe, targeted application, especially in breast cancer subtypes. This study reinforces the growing recognition of cyanobacteria, particularly Chroococcus sp. R-10, as a rich reservoir of bioactive compounds with significant antioxidant and anticancer activities.
Future research should aim to isolate and characterize the specific bioactive constituents responsible for the observed effects, investigate the underlying molecular mechanisms in more detail, and assess in vivo efficacy and safety profiles.

5. Conclusions

The present study demonstrates that aqueous extracts of Chroococcus sp. R-10 exhibit significant antioxidant and antitumor activities. UPLC-DAD profiling revealed similar phytochemical compositions for both low-temperature (LT) and high-temperature (HT) extracts, with glycogen as the major constituent. LT extract showed slightly higher phenolic content and antioxidant capacity, while both extracts effectively inhibited cancer cell proliferation, particularly in MCF-7 and MDA-MB-231 breast carcinoma cells. The observed effects were associated with inhibition of cell cycle progression and apoptosis induction. These findings highlight Chroococcus sp. R-10 as a promising source of bioactive compounds, warranting future pharmacological and toxicological studies to identify the specific bioactive molecules and further elucidate and validate its therapeutic potential.

Supplementary Materials

The following supporting information can be downloaded at: https://www.mdpi.com/article/10.3390/app151910628/s1, Figure S1: UPLC-DAD chromatograms at 214 nm of the aqueous extract (low-temperature extraction) from Chroococcus sp. R-10 (green) and glycogen standard (red); Figure S2: UV-spectra of glycogen and the compound with RT = 8.64 min; Figure S3: UV-spectrum of the compound with RT = 7.15 min; Figure S4: UV-spectrum of the compound with RT = 10.75 min; Figure S5: UPLC-DAD chromatograms at 280 nm (purple) and at 340 nm (light brown) of the aqueous extract (low-temperature extraction) from Chroococcus sp. R-10.

Author Contributions

Conceptualization, R.T., A.G., I.S.; methodology, I.S., T.T.-Y., A.G., E.T., V.D., A.V., V.L.; software, I.S., A.G., I.I.; validation, R.T., A.G. and I.I.; formal analysis, I.S., E.T., A.V., V.L.; investigation, I.S., A.G., R.T., V.D., I.I.; resources, T.T.-Y., A.V.; data curation, R.T., A.G.; writing—original draft preparation, I.S., R.T., A.G., I.I.; writing—review and editing, A.G., R.T., I.I.; visualization, A.G., I.S., I.I.; supervision R.T., A.G.; project administration, I.S.; funding acquisition, I.S. All authors have read and agreed to the published version of the manuscript.

Funding

This research was supported by the Bulgarian Ministry of Education and Science under the National Research Program “Young scientists and postdoctoral students-2” approved by DCM 206/07.04.2022.

Institutional Review Board Statement

Not applicable.

Informed Consent Statement

Not applicable.

Data Availability Statement

The original contributions presented in this study are included in the article/Supplementary Material. Further inquiries can be directed to the corresponding authors.

Conflicts of Interest

The authors declare no conflicts of interest.

References

  1. Chu, W.L.; Phang, S.M. Microalgae and cyanobacteria as a potential source of anticancer compounds. In Handbook of Algal Technologies and Phytochemicals, 1st ed.; Ravishankar, G., Ambati, R.R., Eds.; CRC Press: Boca Raton, FL, USA, 2019; pp. 185–205. [Google Scholar]
  2. Fayyad, R.J.; Ali, A.N.M.; Dwaish, A.S.; Al-Abboodi, A.K.A. Anticancer activity of Spirulina platensis methanolic extracts against L20B and MCF7 human cancer cell lines. Plant Arch. 2019, 19, 1419–1426. [Google Scholar]
  3. Mondal, A.; Bose, S.; Banerjee, S.; Patra, J.K.; Malik, J.; Mandal, S.K.; Bishayee, A. Marine cyanobacteria and microalgae metabolites—A rich source of potential anticancer drugs. Mar. Drugs 2020, 18, 476. [Google Scholar] [CrossRef] [PubMed]
  4. Shahid, A.; Siddiqui, A.J.; Musharraf, S.G.; Liu, C.h.; Malik, S.; Syafiuddin, A.; Boopathy, R.; Tarbiah, N.I.; Gull, M.; Mehmood, M.A. Untargeted metabolomics of the alkaliphilic cyanobacterium Plectonema terebrans elucidated novel stress-responsive metabolic modulations. J. Proteom. 2022, 252, 104447. [Google Scholar] [CrossRef] [PubMed]
  5. Schwartz, R.E.; Hirsch, C.F.; Sesin, D.F.; Flor, J.E.; Chartrain, M. Pharmaceuticals from cultured algae. J. Ind. Microbiol. Biotechnol. 1990, 5, 113–123. [Google Scholar] [CrossRef]
  6. Ma, D.; Zou, B.; Cai, G.; Hu, X.; Liu, J.O. Total synthesis of the cyclodepsipeptideapratoxin A and its analogues and assessment of their biological activities. Chem. Eur. J. 2006, 12, 7615–7626. [Google Scholar] [CrossRef]
  7. Luesch, H.; Yoshida, W.Y.; Moore, R.E.; Paul, V.J. New apratoxins of marine cyanobacterial origin from Guam and Palau. Bioorg. Med. Chem. 2002, 10, 1973–1978. [Google Scholar] [CrossRef]
  8. Malve, H. Exploring the ocean for new drug developments: Marine pharmacology. J. Pharm. Bioallied Sci. 2016, 8, 83–91. [Google Scholar] [CrossRef]
  9. Catassi, A.; Cesario, A.; Arzani, D.; Menichini, P.; Alama, A.; Bruzzo, C.; Imperatori, A.; Rotolo, N.; Granone, P.; Russo, P. Characterization of apoptosis induced by marine natural products in non-small cell lung cancer A549 cells. Cell. Mol. Life Sci. 2006, 63, 2377–2386. [Google Scholar] [CrossRef]
  10. Mooberry, S.L.; Busquets, L.; Tien, G. Induction of apoptosis by cryptophycin 1, a new antimicrotubule agent. Int. J. Cancer 1997, 73, 440–448. [Google Scholar] [CrossRef]
  11. Weiss, C.; Figueras, E.; Borbely, A.N.; Sewald, N. Cryptophycins: Cytotoxic cyclodepsipeptides with potential for tumor targeting. J. Pept. Sci. 2017, 23, 514–531. [Google Scholar] [CrossRef]
  12. Drew, L.; Fine, R.L.; Do, T.N.; Douglas, G.P.; Petrylak, D.P. The novel antimicrotubule agent cryptophycin 52 (LY355703) induces apoptosis via multiple pathways in human prostate cancer cells. Clin. Cancer Res. 2002, 8, 3871–3879. [Google Scholar]
  13. Kang, H.K.; Choi, M.C.; Seo, C.H.; Park, Y. Therapeutic properties and biological benefits of marine-derived anticancer peptides. Int. J. Mol. Sci. 2018, 19, 919. [Google Scholar] [CrossRef]
  14. Panjiar, N.; Mishra, S.; Yadav, A.N.; Verma, P. Functional foods from cyanobacteria: An emerging source for functional food products of pharmaceutical importance. In Microbial Functional Foods and Nutraceuticals, 1st ed.; Gupta, V.K., Ed.; Wiley-Blackwell: Hoboken, NJ, USA, 2017; pp. 21–37. [Google Scholar]
  15. Singh, R.; Parihar, P.; Singh, M.; Bajguz, A.; Kumar, J.; Singh, S.; Prasad, S.M. Uncovering potential applications of cyanobacteria and algal metabolites in biology, agriculture and medicine: Current status and future prospects. Front. Microbiol. 2017, 8, 515. [Google Scholar] [CrossRef]
  16. Spínola, M.P.; Mendes, A.R.; Prates, J.A. Chemical composition, bioactivities, and applications of Spirulina (Limnospira platensis) in food, feed, and medicine. Foods 2024, 13, 3656. [Google Scholar] [CrossRef] [PubMed]
  17. Nicoletti, M. Microalgae nutraceuticals. Foods 2016, 5, 54. [Google Scholar] [CrossRef] [PubMed]
  18. Hassan, S.; Meenatchi, R.; Pachillu, K.; Bansal, S.; Brindangnanam, P.; Arockiaraj, J.; Selvin, J. Identification and characterization of the novel bioactive compounds from microalgae and cyanobacteria for pharmaceutical and nutraceutical applications. J. Basic Microbiol. 2022, 62, 999–1029. [Google Scholar] [CrossRef] [PubMed]
  19. Vasileva, I.; Alexandrov, S.; Peeva, V.; Ivanova, A.; Ivanova, J. Optimizing the production of value-added substances derived from Chroococcus sp. R-10 (Cyanoprokaryota). Comptes Rendus L’académie Bulg. Sci. 2021, 74, 1626–1634. [Google Scholar]
  20. Vasileva, I.; Toshkova-Yotova, T.; Georgieva, Z.; Karcheva, Z.; Petrova, D.; Chaneva, G.; Yocheva, L. Effect of temperature and light on the biochemical profile and antimicrobial activity of Chroococcus sp. R-10 (Cyanoprocaryota). Oxid. Commun. 2021, 44, 723–736. [Google Scholar]
  21. Vasileva, I.; Toshkova-Yotova, T.; Georgieva, A.; Toshkova, R.; Ivanova, J. A newly isolated stain of Chroococcus sp.: Biotechnological potential & antitumor properties. Acta Microbiol. Bulg. 2025, 41, 13–18. [Google Scholar]
  22. Aiba, S.; Ogawa, T. Assessment of growth yield of a blue-green alga, Spirulina platensis, in axenic and continuous culture. Microbiology 1977, 102, 179–182. [Google Scholar] [CrossRef]
  23. The European Pharmacopoeia Commission; European Directorate for the Quality of Medicines & HealthCare. European Pharmacopoeia; Council of Europe: Strasbourg, France, 2010; Volume 1. [Google Scholar]
  24. Raynova, Y.; Marchev, A.; Doumanova, L.; Pavlov, A.; Idakieva, K. Antioxidant Activity of Helix aspersa maxima (Gastropod) Hemocyanin. Acta Microbiol. Bulg. 2015, 31, 127–131. [Google Scholar]
  25. Re, R.; Pellegrini, N.; Proteggente, A.; Pannala, A.; Yang, M.; Rice-Evans, C. Antioxidant activity applying an improved ABTS radical cation decolorization assay. Free Radic. Biol. Med. 1999, 26, 1231. [Google Scholar] [CrossRef]
  26. Brand-Williams, W.; Cuvelier, M.; Berset, C. Use of a free radical method to evaluate antioxidant activity. LWT Food Sci. Technol. 1995, 28, 25–30. [Google Scholar] [CrossRef]
  27. Beauchamp, C.; Fridovich, I. Superoxide dismutase: Improved assays and an assay applicable to acrylamide gels. Anal. Biochem. 1971, 44, 276–287. [Google Scholar] [CrossRef] [PubMed]
  28. Apak, R.; Güçlü, K.; Özyürek, M.; Karademir, S.E. Novel total antioxidant capacity index for dietary polyphenols and vitamins C and E, using their cupric ion reducing capability in the presence of neocuproine: CUPRAC method. J. Agric. Food Chem. 2004, 52, 7970–7981. [Google Scholar] [CrossRef] [PubMed]
  29. Benzie, I.F.; Strain, J.J. The ferric reducing ability of plasma (FRAP) as a measure of “antioxidant power”: The FRAP assay. Anal. Biochem. 1996, 239, 70–76. [Google Scholar] [CrossRef] [PubMed]
  30. Hachicha, R.; Elleuch, F.; Ben Hlima, H.; Dubessay, P.; de Baynast, H.; Delattre, C.; Pierre, G.; Hachicha, R.; Abdelkafi, S.; Michaud, P.; et al. Biomolecules from microalgae and cyanobacteria: Applications and market survey. Appl. Sci. 2022, 12, 1924. [Google Scholar] [CrossRef]
  31. Goshtasbi, H.; Safary, A.; Movafeghi, A.; Barar, J.; Akbarzadeh-Khiavi, M.; Omidi, Y. Anticancer impacts of the unicellular cyanobacterium Chroococcus turgidus bioactive compounds in colorectal adenocarcinoma. BioImpacts BI 2025, 15, 30867. [Google Scholar] [CrossRef]
  32. Murad, W.; Amin, A.; Khan, M.H.; Mahmood, N.; Ahmad, M. Assessment of antimicrobial, antialgal and cytotoxic activities of crude extracts from rhizospheric and freshwater cyanobacterial strains. Adv. Life Sci. 2022, 9, 169–176. [Google Scholar] [CrossRef]
  33. Chinnu, K.; Mukund, S.; Muthukumaran, M.; Sivasubramanian, V. Anticancer activity of isolated beta-glucan from Chrocccoccus turgidus (Kützing) Nägeli. J. Algal Biomass Util. 2015, 6, 43–55. [Google Scholar]
  34. El Semary, N.A.; Fouda, M. Anticancer activity of Cyanothece sp. strain extracts from Egypt: First record. Asian Pac. J. Trop. Biomed. 2015, 5, 992–995. [Google Scholar] [CrossRef]
  35. Karan, T.; Aydin, A. Anticancer potential and cytotoxic effect of some freshwater cyanobacteria. Trop. J. Pharm. Res. 2018, 17, 2183–2188. [Google Scholar] [CrossRef]
  36. Liu, M.; Guo, J.; Zhao, J.; Li, H.; Feng, X.; Liu, H.; Zhang, H.; Jia, X.; Wei, R.; Li, F.; et al. Activation of NRF2 by celastrol increases antioxidant functions and prevents the progression of osteoarthritis in mice. Chin. J. Nat. Med. 2024, 22, 137–145. [Google Scholar] [CrossRef]
  37. Jin, P.; Feng, X.D.; Huang, C.S.; Li, J.; Wang, H.; Wang, X.M.; Li, L.; Ma, L.Q. Oxidative stress and cellular senescence: Roles in tumor progression and therapeutic opportunities. MedComm–Oncology 2024, 3, e70007. [Google Scholar] [CrossRef]
  38. Wijesekara, W.A.M.A.; Manage, P.M. In vitro screening of, antibacterial antifungal and cytotoxicity activities in crude extract of freshwater cyanobacterium Oscillatoria sp. J. Trop. For. Environ. 2017, 7, 24–31. [Google Scholar] [CrossRef]
Figure 1. UPLC-DAD chromatograms at 214 nm of the aqueous extracts from Chroococcus sp. R-10. High-temperature extraction (A); Low-temperature extraction (B).
Figure 1. UPLC-DAD chromatograms at 214 nm of the aqueous extracts from Chroococcus sp. R-10. High-temperature extraction (A); Low-temperature extraction (B).
Applsci 15 10628 g001
Figure 2. Activity of low-temperature and high-temperature Chroococcus sp. R-10 extracts against ABTS radicals. Results are expressed as percentage inhibition ± SD, performed in triplicate at each concentration. Statistical significance LT extract vs. HT extract is shown with asterisks (** p < 0.01, *** p < 0.001).
Figure 2. Activity of low-temperature and high-temperature Chroococcus sp. R-10 extracts against ABTS radicals. Results are expressed as percentage inhibition ± SD, performed in triplicate at each concentration. Statistical significance LT extract vs. HT extract is shown with asterisks (** p < 0.01, *** p < 0.001).
Applsci 15 10628 g002
Figure 3. Antioxidant activity of LT and HT Chroococcus sp. R-10 extract against DPPH radicals, expressed as percentage inhibition ± SD, performed in triplicate at each concentration. Statistical significance between the LT extract and the HT extract is shown with asterisks (* p < 0.05, *** p < 0.001).
Figure 3. Antioxidant activity of LT and HT Chroococcus sp. R-10 extract against DPPH radicals, expressed as percentage inhibition ± SD, performed in triplicate at each concentration. Statistical significance between the LT extract and the HT extract is shown with asterisks (* p < 0.05, *** p < 0.001).
Applsci 15 10628 g003
Figure 4. Antioxidant activity of LT and HT Chroococcus sp. R-10 extracts against superoxide anion radicals, expressed as percentage inhibition as the mean of ± SD, performed in triplicate at each concentration. Statistical significance between the LT extract and the HT extract is shown with asterisks ** p < 0.01).
Figure 4. Antioxidant activity of LT and HT Chroococcus sp. R-10 extracts against superoxide anion radicals, expressed as percentage inhibition as the mean of ± SD, performed in triplicate at each concentration. Statistical significance between the LT extract and the HT extract is shown with asterisks ** p < 0.01).
Applsci 15 10628 g004
Figure 5. Cupric Reducing Antioxidant Capacity (CUPRAC) of LT and HT Chroococcus sp. R-10 extract expressed as Trolox equivalent. Statistical significance between the LT extract and the HT extract is shown with asterisks (*** p < 0.001).
Figure 5. Cupric Reducing Antioxidant Capacity (CUPRAC) of LT and HT Chroococcus sp. R-10 extract expressed as Trolox equivalent. Statistical significance between the LT extract and the HT extract is shown with asterisks (*** p < 0.001).
Applsci 15 10628 g005
Figure 6. Fe (III)-reducing activity (FRAP) of LT and HT Chroococcus sp. R-10 extract, expressed as Trolox equivalent. Statistical significance between the LT extract and the HT extract is shown with asterisks (** p < 0.01, *** p < 0.001).
Figure 6. Fe (III)-reducing activity (FRAP) of LT and HT Chroococcus sp. R-10 extract, expressed as Trolox equivalent. Statistical significance between the LT extract and the HT extract is shown with asterisks (** p < 0.01, *** p < 0.001).
Applsci 15 10628 g006
Figure 7. Concentration–response curves representing the effects of low-temperature and high-temperature aqueous extracts of Chroococcus sp. R-10 on the viability of human non-tumorigenic MCF-10A cells and five human tumor cell lines MDA-MB-231, MCF-7, HepG2, HCT, and A549, after 72 h of treatment, assessed by the NRU assay. Values are presented as mean ± SD (n = 3). Statistical significance vs. control is shown with asterisks (* p < 0.05, ** p < 0.01, *** p < 0.001).
Figure 7. Concentration–response curves representing the effects of low-temperature and high-temperature aqueous extracts of Chroococcus sp. R-10 on the viability of human non-tumorigenic MCF-10A cells and five human tumor cell lines MDA-MB-231, MCF-7, HepG2, HCT, and A549, after 72 h of treatment, assessed by the NRU assay. Values are presented as mean ± SD (n = 3). Statistical significance vs. control is shown with asterisks (* p < 0.05, ** p < 0.01, *** p < 0.001).
Applsci 15 10628 g007
Figure 8. Effects of a LT aqueous extract of Chroococcus sp. R-10 on the cell cycle progression of MDA-MB-231 cells. (A) Flow cytometry histograms of control and extract-treated (250 µg/mL) cells; G1-phase cells–blue; S-phase cells–dark green; G2/M-phase cells–light green; (B) Quantitative assessment of the cell’s distribution in the G1, S, and G2/M phases; The experiment was performed in triplicate, and the data are expressed as mean ± SD. *** p < 0.001 indicates a statistically significant difference compared to the untreated control cells.
Figure 8. Effects of a LT aqueous extract of Chroococcus sp. R-10 on the cell cycle progression of MDA-MB-231 cells. (A) Flow cytometry histograms of control and extract-treated (250 µg/mL) cells; G1-phase cells–blue; S-phase cells–dark green; G2/M-phase cells–light green; (B) Quantitative assessment of the cell’s distribution in the G1, S, and G2/M phases; The experiment was performed in triplicate, and the data are expressed as mean ± SD. *** p < 0.001 indicates a statistically significant difference compared to the untreated control cells.
Applsci 15 10628 g008
Figure 9. Cytomorphological alterations induced by the LT aqueous extract of Chroococcus sp. R-10 in MDA-MB-231 cells. (A,C)—untreated control cells showing intact membranes and normal nuclear morphology (AO/EB and DAPI staining, respectively); (B,D)—cells treated with extract (250 µg/mL) showing apoptotic features including membrane permeability changes (yellow/orange fluorescence) and nuclear condensation/fragmentation; (A,B)—AO/EB staining; (C,D)—DAPI staining; fluorescence microscopy; objective 40×.
Figure 9. Cytomorphological alterations induced by the LT aqueous extract of Chroococcus sp. R-10 in MDA-MB-231 cells. (A,C)—untreated control cells showing intact membranes and normal nuclear morphology (AO/EB and DAPI staining, respectively); (B,D)—cells treated with extract (250 µg/mL) showing apoptotic features including membrane permeability changes (yellow/orange fluorescence) and nuclear condensation/fragmentation; (A,B)—AO/EB staining; (C,D)—DAPI staining; fluorescence microscopy; objective 40×.
Applsci 15 10628 g009
Table 1. Total phenolic content and antioxidant activity of LT and HT Chroococcus sp. R-10 extracts.
Table 1. Total phenolic content and antioxidant activity of LT and HT Chroococcus sp. R-10 extracts.
Chroococcus sp. R-10 ExtractTPC
(µg GAE/mg)
ABTS
(IC50 µg/mL)
DPPH
(IC50 µg/mL)
NBT
(IC50 µg/mL)
LT6.91 ± 0.3641.17 ± 1.851273 ± 11.14428.8 ± 4.18
HT6.35 ± 0.0647.49 ± 1.601584 ± 26.73441.2 ± 6.61
Ascorbic acid-40.54 ± 1.2641.42 ± 1.875.42 ± 0.34
Table 2. Inhibitory concentrations (IC50) (µg/mL) of LT and HT extracts of Chroococcus sp. R-10.
Table 2. Inhibitory concentrations (IC50) (µg/mL) of LT and HT extracts of Chroococcus sp. R-10.
Cell LineIC50 ± SD (μg/mL)
LT ExtractHT Extract
MCF-10A>2000>2000
HCT1278 ± 1321403 ± 150
MCF-7317.5 ± 28222.5 ± 19
MDA-MB-231226.7 ± 8232.0 ± 4
HepG2685 ± 19817.5 ± 43
A549567.5 ± 34567.5 ± 33
Disclaimer/Publisher’s Note: The statements, opinions and data contained in all publications are solely those of the individual author(s) and contributor(s) and not of MDPI and/or the editor(s). MDPI and/or the editor(s) disclaim responsibility for any injury to people or property resulting from any ideas, methods, instructions or products referred to in the content.

Share and Cite

MDPI and ACS Style

Sulikovska, I.; Toshkova-Yotova, T.; Tsvetanova, E.; Djeliova, V.; Lozanova, V.; Vasileva, A.; Ivanov, I.; Toshkova, R.; Georgieva, A. Assessment of Antioxidant, Antiproliferative and Proapoptotic Potential of Aqueous Extracts of Chroococcus sp. R-10. Appl. Sci. 2025, 15, 10628. https://doi.org/10.3390/app151910628

AMA Style

Sulikovska I, Toshkova-Yotova T, Tsvetanova E, Djeliova V, Lozanova V, Vasileva A, Ivanov I, Toshkova R, Georgieva A. Assessment of Antioxidant, Antiproliferative and Proapoptotic Potential of Aqueous Extracts of Chroococcus sp. R-10. Applied Sciences. 2025; 15(19):10628. https://doi.org/10.3390/app151910628

Chicago/Turabian Style

Sulikovska, Inna, Tanya Toshkova-Yotova, Elina Tsvetanova, Vera Djeliova, Vesela Lozanova, Anelia Vasileva, Ivaylo Ivanov, Reneta Toshkova, and Ani Georgieva. 2025. "Assessment of Antioxidant, Antiproliferative and Proapoptotic Potential of Aqueous Extracts of Chroococcus sp. R-10" Applied Sciences 15, no. 19: 10628. https://doi.org/10.3390/app151910628

APA Style

Sulikovska, I., Toshkova-Yotova, T., Tsvetanova, E., Djeliova, V., Lozanova, V., Vasileva, A., Ivanov, I., Toshkova, R., & Georgieva, A. (2025). Assessment of Antioxidant, Antiproliferative and Proapoptotic Potential of Aqueous Extracts of Chroococcus sp. R-10. Applied Sciences, 15(19), 10628. https://doi.org/10.3390/app151910628

Note that from the first issue of 2016, this journal uses article numbers instead of page numbers. See further details here.

Article Metrics

Back to TopTop