Domain-Driven Teacher–Student Machine Learning Framework for Predicting Slope Stability Under Dry Conditions
Abstract
1. Introduction
- Collection of new geotechnical and field data, as well as site conditions, for analysis
- Proposal of a domain-driven approach to artificially generate data to overcome data limitations
- Training of a model using a teacher–student approach to achieve better results
- Comparison of the performance of different ML approaches using various metrics, and selection of the best model for predicting safety factors.
2. Materials and Methods
2.1. Data Preparation for Slope Stability Analysis
2.2. Input Data from Geotechnical Tests
2.3. Machine Learning Models
2.3.1. XGBoost
2.3.2. Random Forest
2.3.3. Decision Tree
2.3.4. Shallow Neural Network
2.3.5. Linear Regression
2.3.6. Support Vector Regression
2.3.7. K-Nearest Neighbor
2.4. Experimental Design and Evaluation Metrics
- SSres = Residual sum of squares (unexplained variation);
- SStot = Total sum of squares (total variation).
- n = number of data points (sample size);
- P = number of predictors (independent variables);
- R2 = coefficient of determination.
3. Results
4. Discussions
5. Conclusions
Author Contributions
Funding
Institutional Review Board Statement
Informed Consent Statement
Data Availability Statement
Acknowledgments
Conflicts of Interest
References
- Chen, Y.; Kong, J.; Lou, Y.; Zhang, X.; Li, J.; Ling, D. Slope Stability Prediction Using Multi-Stage Machine Learning with Multi-Source Data Integration Strategy. Can. Geotech. J. 2025, 62, 1–18. [Google Scholar] [CrossRef]
- Bui, X.N.; Muazu, M.A.; Nguyen, H. Optimizing Levenberg–Marquardt Backpropagation Technique in Predicting Factor of Safety of Slopes after Two-Dimensional OptumG2 Analysis. Eng. Comput. 2020, 36, 941–952. [Google Scholar] [CrossRef]
- Frydrych, M.; Kacprzak, G.; Nowak, P. Hazard Reduction in Deep Excavations Execution. Sustainability 2022, 14, 868. [Google Scholar] [CrossRef]
- Kacprzak, G.; Frydrych, M.; Nowak, P. Influence of Load–Settlement Relationship of Intermediate Foundation Pile Group on Numerical Analysis of a Skyscraper under Construction. Sustainability 2023, 15, 3902. [Google Scholar] [CrossRef]
- Kacprzak, G.; Zbiciak, A.; Józefiak, K.; Nowak, P.; Frydrych, M. One-Dimensional Computational Model of Gyttja Clay for Settlement Prediction. Sustainability 2023, 15, 1759. [Google Scholar] [CrossRef]
- Yadav, D.K.; Chattopadhyay, S.; Tripathy, D.P.; Mishra, P.; Singh, P. Enhanced Slope Stability Prediction Using Ensemble Machine Learning Techniques. Sci. Rep. 2025, 15, 7302. [Google Scholar] [CrossRef] [PubMed]
- Moayedi, H.; Bui, D.T.; Kalantar, B.; Foong, L.K. Machine-Learning-Based Classification Approaches toward Recognizing Slope Stability Failure. Appl. Sci. 2019, 9, 4638. [Google Scholar] [CrossRef]
- Bui, D.T.; Moayedi, H.; Gör, M.; Jaafari, A.; Foong, L.K. Predicting Slope Stability Failure through Machine Learning Paradigms. ISPRS Int. J. Geo-Inf. 2019, 8, 395. [Google Scholar] [CrossRef]
- Pei, T.; Qiu, T.; Shen, C. Applying Knowledge-Guided Machine Learning to Slope Stability Prediction. J. Geotech. Geoenviron. Eng. 2023, 149, 127850. [Google Scholar] [CrossRef]
- Kacprzak, G.M.; Kassa, S.M. Assessment of the Interaction of the Combined Piled Raft Foundation Elements Based on Long-Term Measurements. Sensors 2025, 25, 3460. [Google Scholar] [CrossRef]
- Molla Kassa, S. A Systematic Review of Machine Learning Based Landslide Susceptibility Mapping. Put I Saob. 2024, 70, 23–30. [Google Scholar] [CrossRef]
- Molla Kassa, S.; Tamirat, H.; Quezon, E. Empirical Correlation of Hossaena Town Soil Index Properties with California Bearing Ratio (CBR) Values. Put I Saob. 2024, 70, 1–8. [Google Scholar] [CrossRef]
- Anuragi, S.K.; Kishan, D. Analysis Grid Search Optimization of Machine Learning Models for Slope Stability Prediction Supports the Design Construction of Geotechnical Structures and Environmental Development. Metall. Mater. Eng. 2025, 31, 260–273. [Google Scholar] [CrossRef]
- Zhang, Z.; Huang, J.; Su, Q.; Liu, S.; Mangi, N.; Zhang, Q.; Zhang, A.A.; Liu, Y.; Wang, S. High Embankment Slope Stability Prediction Using Data Augmentation and Explainable Ensemble Learning. Comput. Civ. Infrastruct. Eng. 2025, 40, 2833–2858. [Google Scholar] [CrossRef]
- Kurnaz, T.F.; Erden, C.; Dağdeviren, U.; Demir, A.S.; Kökçam, A.H. Comparison of Machine Learning Algorithms for Slope Stability Prediction Using an Automated Machine Learning Approach. Nat. Hazards 2024, 120, 6991–7014. [Google Scholar] [CrossRef]
- Gladious, J.; Paul, P.S.; Mukhopadhyay, M. Machine Learning Based Prediction of Geotechnical Parameters Affecting Slope Stability in Open-Pit Iron Ore Mines in High Precipitation Zone. Sci. Rep. 2025, 15, 21868. [Google Scholar] [CrossRef]
- Onyelowe, K.C.; Moghal, A.A.B.; Ahmad, F.; Rehman, A.U.; Hanandeh, S. Numerical Model of Debris Flow Susceptibility Using Slope Stability Failure Machine Learning Prediction with Metaheuristic Techniques Trained with Different Algorithms. Sci. Rep. 2024, 14, 19562. [Google Scholar] [CrossRef]
- Bai, G.; Hou, Y.; Wan, B.; An, N.; Yan, Y.; Tang, Z.; Yan, M.; Zhang, Y.; Sun, D. Performance Evaluation and Engineering Verification of Machine Learning Based Prediction Models for Slope Stability. Appl. Sci. 2022, 12, 7890. [Google Scholar] [CrossRef]
- Fu, X.; Zhang, B.; Wang, L.; Wei, Y.; Leng, Y.; Dang, J. Stability Prediction for Soil-Rock Mixture Slopes Based on a Novel Ensemble Learning Model. Front. Earth Sci. 2023, 10, 1102802. [Google Scholar] [CrossRef]
- Deris, A.M.; Solemon, B.; Omar, R.C. A Comparative Study of Supervised Machine Learning Approaches for Slope Failure Production. E3S Web Conf. 2021, 325, 01001. [Google Scholar] [CrossRef]
- Chauhan, V.S.; Sadique, M.R.; Alam, M.M.; Farooqi, M.A. Assessment of Road-Cut Slope Stability Using Empirical, Numerical, and Machine Learning Methodologies. Discov. Civ. Eng. 2025, 2, 108. [Google Scholar] [CrossRef]
- Han, Y.; Semnani, S.J. Integration of Physics-Based and Data-Driven Approaches for Landslide Susceptibility Assessment. Int. J. Numer. Anal. Methods Geomech. 2025, 49, 3060–3097. [Google Scholar] [CrossRef]
- Gao, W.; Zang, M.; Mei, G. Exploring Influence of Groundwater and Lithology on Data-Driven Stability Prediction of Soil Slopes Using Explainable Machine Learning: A Case Study. Bull. Eng. Geol. Environ. 2024, 83, 2. [Google Scholar] [CrossRef]
- Nanehkaran, Y.A.; Licai, Z.; Chengyong, J.; Chen, J.; Anwar, S.; Azarafza, M.; Derakhshani, R. Comparative Analysis for Slope Stability by Using Machine Learning Methods. Appl. Sci. 2023, 13, 1555. [Google Scholar] [CrossRef]
- Ragam, P.; Kushal Kumar, N.; Ajith, J.E.; Karthik, G.; Himanshu, V.K.; Sree Machupalli, D.; Ramesh Murlidhar, B. Estimation of Slope Stability Using Ensemble-Based Hybrid Machine Learning Approaches. Front. Mater. 2024, 11, 1330609. [Google Scholar] [CrossRef]
- Kardani, N.; Zhou, A.; Nazem, M.; Shen, S.L. Improved Prediction of Slope Stability Using a Hybrid Stacking Ensemble Method Based on Finite Element Analysis and Field Data. J. Rock Mech. Geotech. Eng. 2021, 13, 188–201. [Google Scholar] [CrossRef]
- Shakya, S.; Schmüdderich, C.; Machaček, J.; Prada-Sarmiento, L.F.; Wichtmann, T. Influence of Sampling Methods on the Accuracy of Machine Learning Predictions Used for Strain-Dependent Slope Stability. Geosciences 2024, 14, 44. [Google Scholar] [CrossRef]
- Mamat, R.C.; Ramli, A.; Samad, A.M.; Kasa, A.; Fatin, S.; Razali, M. Performance Prediction Evaluation of Machine Learning Models for Slope Stability Analysis: A Comparison Between ANN, ANN-ICA and ANFIS. J. Electr. Syst. 2024, 20, 4364–4374. [Google Scholar]
- Xi, N.; Yang, Q.; Sun, Y.; Mei, G. Machine Learning Approaches for Slope Deformation Prediction Based on Monitored Time-Series Displacement Data: A Comparative Investigation. Appl. Sci. 2023, 13, 4677. [Google Scholar] [CrossRef]
- Xu, H.; He, X.; Shan, F.; Niu, G.; Sheng, D. Machine Learning in the Stochastic Analysis of Slope Stability: A State-of-the-Art Review. Modelling 2023, 4, 426–453. [Google Scholar] [CrossRef]
- Qi, Y.; Bai, C.; Li, X.; Duan, H.; Wang, W.; Qi, Q. Method and Application of Stability Prediction Model for Rock Slope. Sci. Rep. 2025, 15, 19133. [Google Scholar] [CrossRef]
- Schaller, C.; Dorren, L.; Schwarz, M.; Moos, C.; Seijmonsbergen, A.C.; Van Loon, E.E. Predicting the Thickness of Shallow Landslides in Switzerland Using Machine Learning. Nat. Hazards Earth Syst. Sci. 2025, 25, 467–491. [Google Scholar] [CrossRef]
- Wang, Y.; Du, E.; Yang, S.; Yu, L. Prediction and Analysis of Slope Stability Based on IPSO-SVM Machine Learning Model. Geofluids 2022, 2022, 8529026. [Google Scholar] [CrossRef]
- Lin, Y.; Zhou, K.; Li, J. Prediction of Slope Stability Using Four Supervised Learning Methods. IEEE Access 2018, 6, 31169–31179. [Google Scholar] [CrossRef]
- Arif, A.; Zhang, C.; Sajib, M.H.; Uddin, M.N.; Habibullah, M.; Feng, R.; Feng, M.; Rahman, M.S.; Zhang, Y. Rock Slope Stability Prediction: A Review of Machine Learning Techniques; Springer International Publishing: Cham, Switzerland, 2025; Volume 43, ISBN 0123456789. [Google Scholar]
- Yang, Y.; Zhou, W.; Jiskani, I.M.; Lu, X.; Wang, Z.; Luan, B. Slope Stability Prediction Method Based on Intelligent Optimization and Machine Learning Algorithms. Sustainability 2023, 15, 1169. [Google Scholar] [CrossRef]
- Liu, L.; Zhao, G.; Liang, W. Slope Stability Prediction Using K-NN-Based Optimum-Path Forest Approach. Mathematics 2023, 11, 3071. [Google Scholar] [CrossRef]
- Lei, D.; Zhang, Y.; Lu, Z.; Lin, H.; Fang, B.; Jiang, Z. Slope Stability Prediction Using Principal Component Analysis and Hybrid Machine Learning Approaches. Appl. Sci. 2024, 14, 6526. [Google Scholar] [CrossRef]
- Ma, J.; Jiang, S.; Liu, Z.; Ren, Z.; Lei, D.; Tan, C.; Guo, H. Machine Learning Models for Slope Stability Classification of Circular Mode Failure: An Updated Database and Automated Machine Learning (AutoML) Approach. Sensors 2022, 22, 9166. [Google Scholar] [CrossRef]
- Nguyen, D.D.; Nguyen, M.D.; Prakash, I.; van Huong, N.; Van Le, H.; Pham, B.T. Prediction of Safety Factor for Slope Stability Using Machine Learning Models.Pdf. Vietnam J. Earth Sci. 2025, 47, 182–200. [Google Scholar]
- Belew, A.Z.; Belay, S.K.; Wosenie, M.D.; Alemie, N.A. A Comparative Evaluation of Seepage and Stability of Embankment Dams Using GeoStudio and Plaxis Models: The Case of Gomit Dam in Amhara Region, Ethiopia. Water Conserv. Sci. Eng. 2022, 7, 429–441. [Google Scholar] [CrossRef]
- Zhang, M.; Wei, J. Analysis of Slope Stability Based on Four Machine Learning Models An Example of 188 Slopes. Period. Polytech. Civ. Eng. 2025, 69, 505–518. [Google Scholar] [CrossRef]
- Wang, L.; Zhang, C.; Wang, W.; Deng, T.; Ma, T.; Shuai, P. Slope Stability Assessment Using an Optuna-TPE-Optimized CatBoost Model. Eng 2025, 6, 185. [Google Scholar] [CrossRef]
- Liu, Z.; Shao, J.; Xu, W.; Chen, H.; Zhang, Y. An Extreme Learning Machine Approach for Slope Stability Evaluation and Prediction. Nat. Hazards 2014, 73, 787–804. [Google Scholar] [CrossRef]
- Kang, D.; Dan, S.; Hua, Z.; Jingyi, L.; Chenlu, W.; Zhenguo, W.; Shaohua, W. Study on Landslide Hazard Risk in Wenzhou Based on Slope Units and Machine Learning Approaches. Sci. Rep. 2025, 15, 7511. [Google Scholar] [CrossRef] [PubMed]
- Huang, P.-W. Domain Specific Augmentations as Low Cost Teachers for Large Students. In Proceedings of the First Workshop on Information Extraction from Scientific Publications, Online, 20 November 2022; Association for Computational Linguistics: Stroudsburg, PA, USA, 2022; pp. 84–90. [Google Scholar] [CrossRef]
- Niazkar, M.; Menapace, A.; Brentan, B.; Piraei, R.; Jimenez, D.; Dhawan, P.; Righetti, M. Applications of XGBoost in Water Resources Engineering: A Systematic Literature Review (Dec. 2018–May 2023). Environ. Model. Softw. 2024, 174, 105971. [Google Scholar] [CrossRef]
- Li, X.; Shi, L.; Shi, Y.; Tang, J.; Zhao, P.; Wang, Y.; Chen, J. Exploring Interactive and Nonlinear Effects of Key Factors on Intercity Travel Mode Choice Using XGBoost. Appl. Geogr. 2024, 166, 103264. [Google Scholar] [CrossRef]
- Wubineh, B.Z.; Metekiya, B.Y. A Knowledge-Based System to Predict Crime from Criminal Records in the Case of Hossana Police Commission. In Proceedings of the 2023 International Conference on Information and Communication Technology for Development for Africa (ICT4DA), Bahir Dar, Ethiopia, 26–28 October 2023; pp. 90–95. [Google Scholar] [CrossRef]
- Kassa, S.M.; Wubineh, B.Z. Use of Machine Learning to Predict California Bearing Ratio of Soils. Adv. Civ. Eng. 2023, 2023, 8198648. [Google Scholar] [CrossRef]
- Wubineh, B.Z.; Sewunet, S.D. Classifying Dairy Farmers’ Knowledge, Attitudes, and Practices towards Aflatoxin Using Bootstrap Oversampling and Machine Learning. In Proceedings of the 2024 International Conference on Information and Communication Technology for Development for Africa (ICT4DA), Bahir Dar, Ethiopia, 18–20 November 2024; pp. 43–48. [Google Scholar] [CrossRef]
- Wubineh, B.Z. Crime Analysis and Prediction Using Machine-Learning Approach in the Case of Hossana Police Commission. Secur. J. 2024, 37, 1269–1284. [Google Scholar] [CrossRef]
- Kassa, S.M.; Wubineh, B.Z.; Geremew, A.M.; Kumar, T.F.A.N.D. Prediction of Compaction Parameters Based on Atterberg Limit by Using a Machine Learning Approach. In Proceedings of the International Conference on Advances of Science and Technology, Bahir Dar, Ethiopia, 1–3 November 2024; pp. 133–146. [Google Scholar]
- Amro, A.; Al-Akhras, M.; Hindi, K.E.; Habib, M.; Shawar, B.A. Instance Reduction for Avoiding Overfitting in Decision Trees. J. Intell. Syst. 2021, 30, 438–459. [Google Scholar] [CrossRef]
- Wubineh, B.Z.; Asamenew, Y.A.; Kassa, S.M. Prediction of Road Traffic Accident Severity Using Machine Learning Techniques in the Case of Addis Ababa. In Proceedings of the International Conference on Robotics and Networks, Istanbul, Türkiye, 15–16 December 2023; Springer Nature: Cham, Switzerland, 2023; pp. 129–144. [Google Scholar]
- Hu, W.F.; Lin, T.S.; Lai, M.C. A Discontinuity Capturing Shallow Neural Network for Elliptic Interface Problems. J. Comput. Phys. 2022, 469, 111576. [Google Scholar] [CrossRef]
- Roustaei, N. Application and Interpretation of Linear-Regression Analysis. Med. Hypothesis Discov. Innov. Ophthalmol. 2024, 13, 151–159. [Google Scholar] [CrossRef]
- Zhou, Z.; Qiu, C.; Zhang, Y. A Comparative Analysis of Linear Regression, Neural Networks and Random Forest Regression for Predicting Air Ozone Employing Soft Sensor Models. Sci. Rep. 2023, 13, 22420. [Google Scholar] [CrossRef]
- López, M.; Antonio, O.; López, A.M.; Crossa, J. Support Vector Machines and Support Vector Regression. In Multivariate Statistical Machine Learning Methods for Genomic Prediction; Springer International Publishing: Cham, Switzerland, 2022; pp. 337–378. [Google Scholar]
- Alnmr, A.; Ray, R.; Alzawi, M.O. A Novel Approach to Swell Mitigation: Machine-Learning-Powered Optimal Unit Weight and Stress Prediction in Expansive Soils. Appl. Sci. 2024, 14, 1411. [Google Scholar] [CrossRef]
- Halder, R.K.; Uddin, M.N.; Uddin, M.A.; Aryal, S.; Khraisat, A. Enhancing K-Nearest Neighbor Algorithm: A Comprehensive Review and Performance Analysis of Modifications. J. Big Data 2024, 11, 113. [Google Scholar] [CrossRef]
- Lin, S.; Zheng, H.; Han, C.; Han, B.; Li, W. Evaluation and Prediction of Slope Stability Using Machine Learning Approaches. Front. Struct. Civ. Eng. 2021, 15, 821–833. [Google Scholar] [CrossRef]
- Mahmoodzadeh, A.; Mohammadi, M.; Farid Hama Ali, H.; Hashim Ibrahim, H.; Nariman Abdulhamid, S.; Nejati, H.R. Prediction of Safety Factors for Slope Stability: Comparison of Machine Learning Techniques. Nat. Hazards 2022, 111, 1771–1799. [Google Scholar] [CrossRef]
- Mustafa, R.; Kumar, A.; Kumar, S.; Sah, N.K.; Kumar, A. Application of Soft Computing Techniques for Slope Stability Analysis; Springer: Berlin/Heidelberg, Germany, 2024; Volume 11, ISBN 0123456789. [Google Scholar]
- Chaulagain, S.; Choi, J.; Kim, Y.; Yeon, J.; Kim, Y.; Ji, B. A Comparative Analysis of Slope Failure Prediction Using a Statistical and Machine Learning Approach on Displacement Data: Introducing a Tailored Performance Metric. Buildings 2023, 13, 2691. [Google Scholar] [CrossRef]










| Labelling of Site Attribute | Name of the Site | Station, km | Coordinates (UTM) | |
|---|---|---|---|---|
| Easting | Northing | |||
| 1 | Bonga-1 | 2+500-2+650 | 195,599.5 | 804,260.3 |
| 2 | Bonga-2 | 4+300-4+420 | 194,786.0 | 803,588.0 |
| 3 | Mizan-1 | 0+960-1+220 | 798,347.0 | 781,820.0 |
| 4 | Mizan-2 | 2+420-2+620 | 797,520.0 | 780,693.0 |
| 5 | Mizan-3 | 2+800-2+860 | 797,391.9 | 780,450.8 |
| 6 | Mizan-4 | 3+040-3+140 | 797,251.2 | 780,265.3 |
| 7 | Mizan-5 | 3+400-3+550 | 796,950.0 | 780,590.0 |
| 8 | Mizan-6 | 4+230-4+320 | 796,355.0 | 780,752.0 |
| 9 | Mizan-7 | 4+720-4+780 | 795,923.0 | 780,821.0 |
| 10 | Mizan-8 | 8+740-8+810 | 793,155.0 | 781,716.0 |
| 11 | Mizan-9 | 13+400-13+520 | 790,144.0 | 781,233.0 |
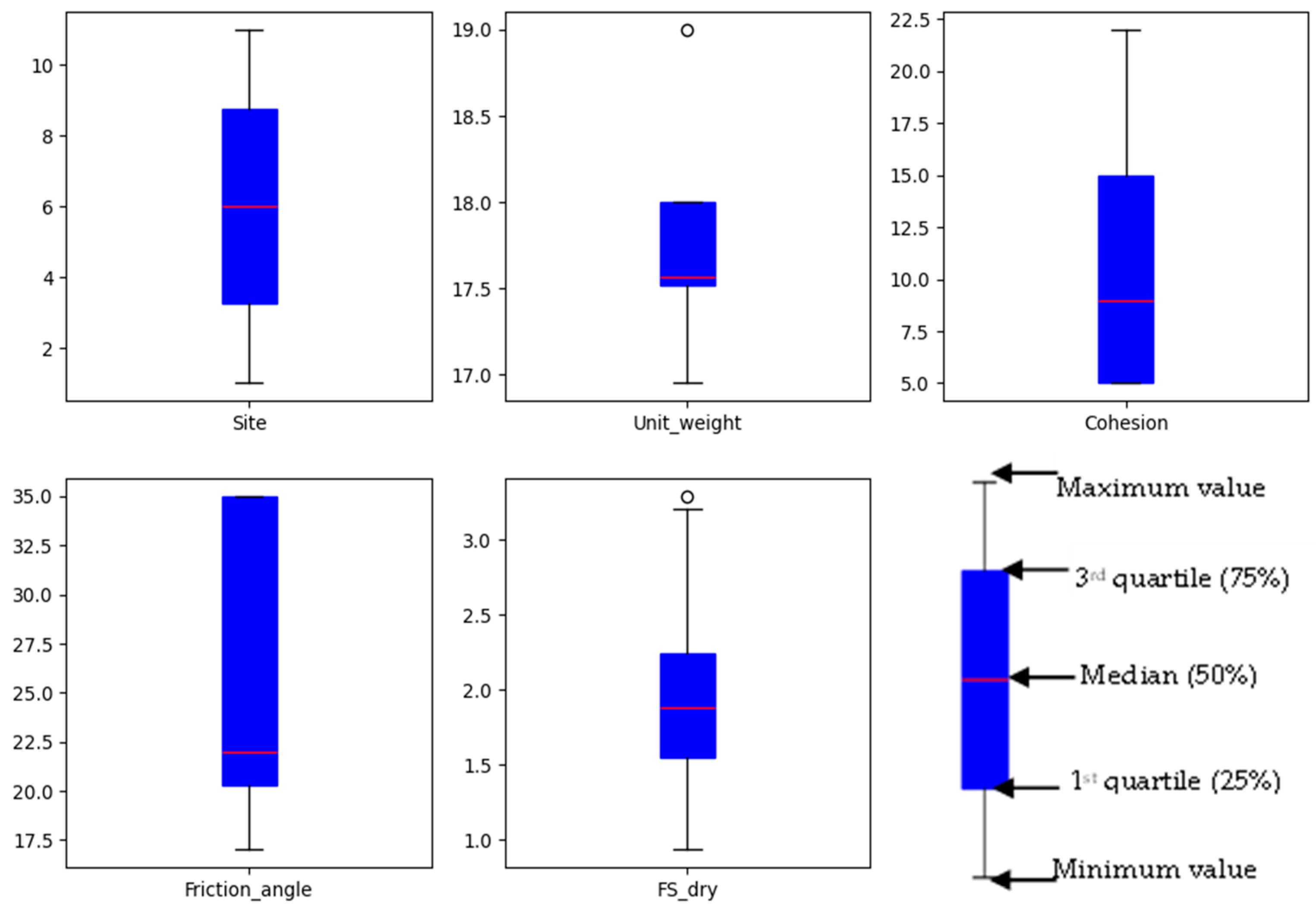
| Site | Unit Weight | Cohesion | Friction Angle | FS Dry | |
|---|---|---|---|---|---|
| Count | 22.000000 | 22.000000 | 22.000000 | 22.000000 | 22.000000 |
| Mean | 6.000000 | 17.664545 | 10.727273 | 25.772727 | 1.974273 |
| Std | 3.236694 | 0.448720 | 5.716991 | 7.282934 | 0.584442 |
| Min | 1.000000 | 16.950000 | 5.000000 | 17.000000 | 0.931000 |
| 25% | 3.250000 | 17.520000 | 5.000000 | 20.250000 | 1.545500 |
| 50% | 6.000000 | 17.565000 | 9.000000 | 22.000000 | 1.880500 |
| 75% | 8.750000 | 18.000000 | 15.000000 | 35.000000 | 2.241250 |
| Max | 11.000000 | 19.000000 | 22.000000 | 35.000000 | 3.288000 |
| Model Type | Algorithm | Role | Key Hyperparameters | Notes |
|---|---|---|---|---|
| Tree-based | XGBoost | Teacher | n_estimators = 400, max_depth = 5, learning_rate = 0.05, subsample = 0.9, colsample_bytree = 0.9, reg_lambda = 1.0 | Used to pseudo-label simulated data |
| Tree-based | Random Forest | Student | n_estimators = 300, max_depth = None, min_samples_split = 2, min_samples_leaf = 1, random_state = 42 | Domain-driven simulated + original |
| Tree-based | Decision Tree | Student | max_depth = None, min_samples_split = 2, min_samples_leaf = 1, random_state = 42 | Domain-driven simulated + original |
| Neural Network | Shallow ANN | Student | 1 hidden layer, activation = ReLU, dropout = 0.2, optimizer = Adam, epochs = 200, batch_size = 8 | Domain-driven simulated + original |
| Linear Model | Linear Regression | Student | fit_intercept = True, normalize = False | Domain-driven simulated + original |
| Kernel-based | SVR | Student | Kernel = RBF, C = 1.0, epsilon = 0.1 | Domain-driven simulated + original |
| Instance-based | KNN | Student | n_neighbors = 5, weights = ‘uniform’ | Domain-driven simulated + original |
| Methods | R2 | Adjusted R2 | MAE | MSE | RMSE | MAPE | Max Err |
|---|---|---|---|---|---|---|---|
| RF | 0.9663 | 0.9600 | 0.0233 | 0.0028 | 0.0531 | 0.0116 | 0.3210 |
| DT | 0.9367 | 0.9248 | 0.0204 | 0.0053 | 0.0728 | 0.0093 | 0.5664 |
| SNN | 0.8766 | 0.8534 | 0.0714 | 0.0103 | 0.1016 | 0.0383 | 0.4773 |
| LR | 0.6752 | 0.6140 | 0.1271 | 0.0272 | 0.1648 | 0.0687 | 0.6248 |
| SVR | 0.7584 | 0.7129 | 0.0916 | 0.0202 | 0.1421 | 0.0501 | 0.6513 |
| KNN | 0.7459 | 0.6980 | 0.0802 | 0.0213 | 0.1458 | 0.0424 | 0.7301 |
| Method | R2 | Adjusted R2 | MAE | MSE | RMSE | MAPE | Max Err |
|---|---|---|---|---|---|---|---|
| RF | 0.9281 | 0.9269 | 0.0298 | 0.0077 | 0.0880 | 0.0157 | 1.2752 |
| DT | 0.8916 | 0.8898 | 0.0309 | 0.0117 | 0.1081 | 0.0159 | 1.3280 |
| SNN | 0.7869 | 0.7835 | 0.0972 | 0.0230 | 0.1515 | 0.0520 | 1.3354 |
| LR | 0.6820 | 0.6769 | 0.1320 | 0.0343 | 0.1851 | 0.0721 | 1.4087 |
| SVR | 0.7562 | 0.7523 | 0.1009 | 0.0263 | 0.1621 | 0.0555 | 1.4013 |
| KNN | 0.7462 | 0.7421 | 0.0963 | 0.0273 | 0.1654 | 0.0521 | 1.4073 |
| Ref | Location | Dataset Size | Algorithms Used | Metrics Reported | ||||
|---|---|---|---|---|---|---|---|---|
| R2 | MAE | MSE | RMSE | MAPE | ||||
| [62] | China | - | SVM | 0.8640 | 0.4208 | - | - | - |
| DT | 0.2886 | 0.6374 | - | - | - | |||
| RF | 0.7934 | - | - | - | - | |||
| [63] | Iran | 327 cases | GPR | 0.8139 | - | - | 0.1609 | 7.21 |
| DT | 0.6830 | 0.1430 | - | 0.2105 | 12.2 | |||
| [8] | Multi-country (Vietnam, Malaysia, Iran, Turkey) | 630 cases | LR | 0.9265 | 1.5387 | - | 2.2618 | - |
| [64] | - | 200 cases | ANN, | 0.698 | 0.0650 | - | 0.0980 | |
| [65] | - | 4586 | LSTM | 0.810 | - | - | - | - |
| Our | Ethiopia | 822 | RF | 0.9663 | 0.0233 | 0.0028 | 0.0531 | 0.0116 |
Disclaimer/Publisher’s Note: The statements, opinions and data contained in all publications are solely those of the individual author(s) and contributor(s) and not of MDPI and/or the editor(s). MDPI and/or the editor(s) disclaim responsibility for any injury to people or property resulting from any ideas, methods, instructions or products referred to in the content. |
© 2025 by the authors. Licensee MDPI, Basel, Switzerland. This article is an open access article distributed under the terms and conditions of the Creative Commons Attribution (CC BY) license (https://creativecommons.org/licenses/by/4.0/).
Share and Cite
Kassa, S.M.; Wubineh, B.Z.; Geremew, A.M.; Kumar, N.D.; Kacprzak, G. Domain-Driven Teacher–Student Machine Learning Framework for Predicting Slope Stability Under Dry Conditions. Appl. Sci. 2025, 15, 10613. https://doi.org/10.3390/app151910613
Kassa SM, Wubineh BZ, Geremew AM, Kumar ND, Kacprzak G. Domain-Driven Teacher–Student Machine Learning Framework for Predicting Slope Stability Under Dry Conditions. Applied Sciences. 2025; 15(19):10613. https://doi.org/10.3390/app151910613
Chicago/Turabian StyleKassa, Semachew Molla, Betelhem Zewdu Wubineh, Africa Mulumar Geremew, Nandyala Darga Kumar, and Grzegorz Kacprzak. 2025. "Domain-Driven Teacher–Student Machine Learning Framework for Predicting Slope Stability Under Dry Conditions" Applied Sciences 15, no. 19: 10613. https://doi.org/10.3390/app151910613
APA StyleKassa, S. M., Wubineh, B. Z., Geremew, A. M., Kumar, N. D., & Kacprzak, G. (2025). Domain-Driven Teacher–Student Machine Learning Framework for Predicting Slope Stability Under Dry Conditions. Applied Sciences, 15(19), 10613. https://doi.org/10.3390/app151910613

