Mercator Projection Superposition: A Computationally Efficient Alternative to Grid-Based Coverage Analysis for LEO Mega-Constellations
Abstract
1. Introduction
2. Preliminaries
2.1. Orbital Model
- Earth-centered inertial (ECI) coordinate system OXYZ. The origin O is located at the Earth’s center of mass. The X-axis is oriented toward the vernal equinox, while the Z-axis aligns with Earth’s rotational axis, pointing toward the North Celestial Pole. The Y-axis completes the right-handed orthogonal system.
- Orbital coordinates OPQW. The P-axis is directed towards the orbital perigee, and the W-axis is aligned with the momentum axis of the orbit. The Q-axis completes the right-handed orthogonal system.
2.2. Sub-Satellite Point
2.3. Map Projection
- Web Mercator projection (WMP) coordinate system . The system defines its origin at the intersection of the equator and the prime meridian. The x-axis extends along the Equator, with positive values directed eastward, while the y-axis extends along the meridian lines, with positive values increasing northward.
- Projected pixel coordinate system . The axis and axis are located on the central axis of the image, respectively. The value range of the axis and axis is for the Mercator image with resolution of .
- Image pixel coordinate system . The upper left corner of the image is taken as the origin . The range of values on the and axes is for the Mercator image with resolution of .
2.4. Modeling of Single Satellite-to-Earth Coverage
2.5. Modeling of Inter-Satellite Coverage at the Same Altitude
3. Mercator Projection Superposition (MPS) Approach
3.1. Mercator Coverage Map
3.2. Constellation Coverage Calculation
3.3. Indicator of Constellation Coverage Performance
3.3.1. Instantaneous (i-fold) Coverage Rate Ct (Ct_i)
3.3.2. Periodic Mean (i-fold) Coverage Rate Ca (Ca_i)
3.3.3. Periodic Maximum (i-fold) Coverage Rate Camax (Camax_i)
3.3.4. Periodic Minimum (i-fold) Coverage Rate Camin (Camin_i)
3.4. Algorithm Implementation
| Algorithm 1: MPS for coverage analysis of mega-constellation | |||
| Input: Ns, Hs, i H, h, η emin, ts T, Tstep Output: Ci, Ca | //Total numbers, orbital altitude, and inclination //Celestial sphere height, thickness of atmosphere and transparency //Minimum elevation and orbit epoch //Calculation duration and time step //i-fold and total coverage rate | ||
|
1
2 3 4 5 6 7 8 9 10 11 12 13 14 15 16 17 18 19 20 21 22 23 24 25 26 27 28 | Calculate θ as per Equation (19); N = int(1); //Generation of all single satellite-to-Earth coverage map while N < Ns P = 1; while P < N if N % P == 0 Num == int(N/P); Ts = int(T/Tstep); for k = 1, 2, …, Ts //Generation of sub-satellite point Calculate Rs as per Equation (18); Calculate (λ, φ) as per Equations (8)–(10); //Generation of single satellite coverage map Generate Gi as per Equations (12), (15) and (21); end end P = P + 1; end N = N + 1; end //Generation of coverage map and coverage rate of constellation Calculate Gc as per Equation (22); Generate Fi as per Equation (23); Generate A as per Equations (24) and (25); Generate W as per Equation (26); Generate Ci and Ca as per Equations (27) and (28); return Ci, Ca; | //Semi-cone angle //Cyclic variable of satellite count //Cyclic variable of orbital planes //Number of satellites per plane //Number of calculations //Semi-geocentric angle //Sub-satellite point //Coverage map of constellation //i-fold coverage matrix //Area matrix //Weight matrix //Coverage rate | |
4. Efficiency Analysis and Performance Evaluation
4.1. Time Complexity of GPA
4.2. Time Complexity of MPS Algorithm
4.3. Comparative Simulations
4.3.1. Simulation Setup
4.3.2. Simulations and Discussion
5. Simulation Results and Discussion
5.1. Fluctuations in Constellation Coverage over One Orbital Period
5.1.1. Altitude-Dependent Coverage Fluctuation
5.1.2. Inclination-Dependent Coverage Fluctuation
5.2. Influence of Orbital Element on Constellation Coverage to Earth
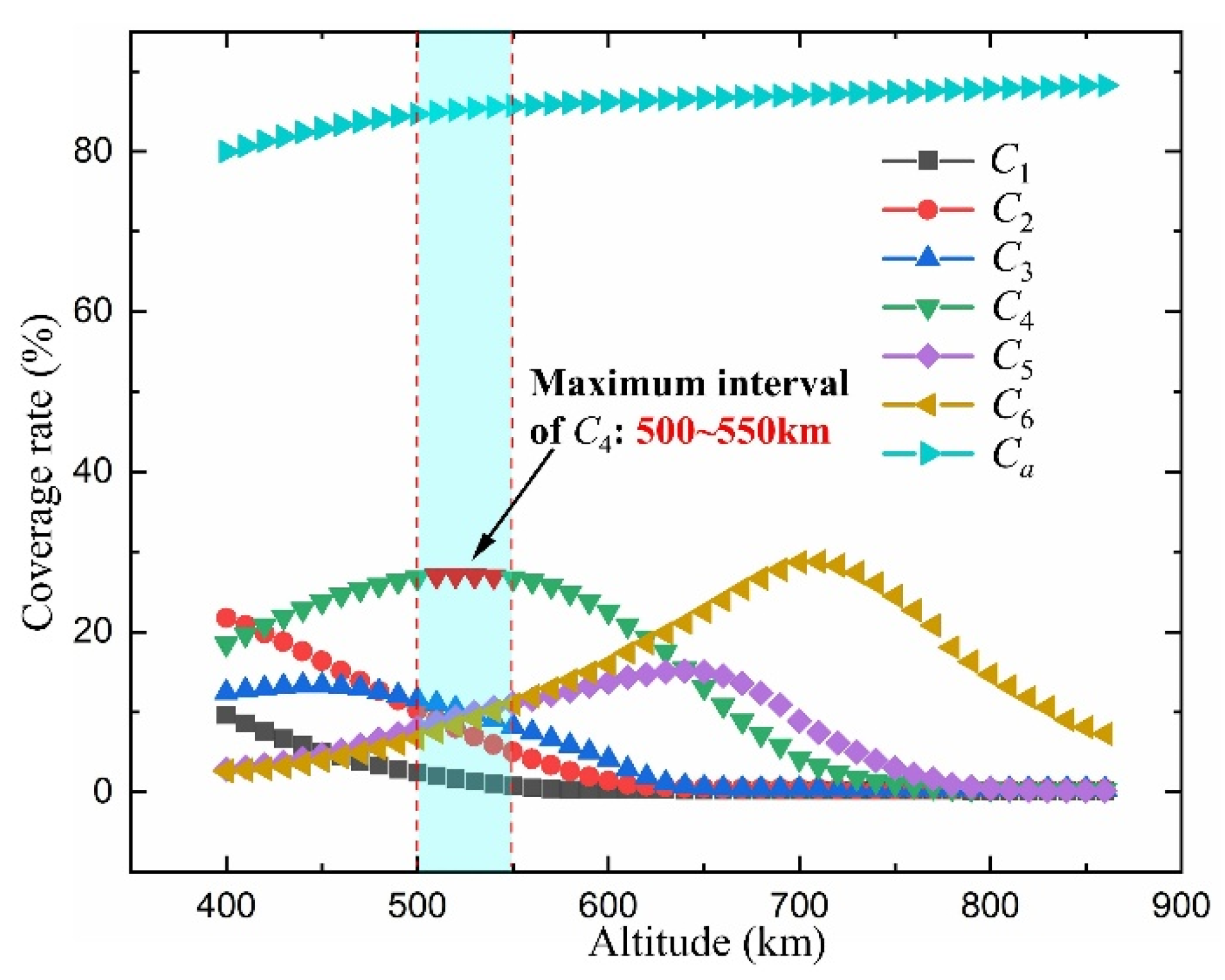
5.2.1. Influence of Altitude on Earth Coverage
5.2.2. Influence of Inclination on Earth Coverage
5.2.3. Influence of Constellation Configuration on Earth Coverage
5.2.4. Influence of Satellite Population Size on Earth Coverage
6. Conclusions
Author Contributions
Funding
Data Availability Statement
Conflicts of Interest
References
- Ye, N.; Hou, C.; Ouyang, Q.; Kang, B.; Shin, H.; Mumtaz, S. Techno-economic assessment of LEO mega-constellation with multi-satellite collaboration. IEEE Commun. Mag. 2024, 62, 36–42. [Google Scholar] [CrossRef]
- Cao, X.; Li, N.; Qiu, S.; Li, C. Research on the method of searching and tracking of the time-sensitive target through the mega-constellation. Aerosp. Sci. Technol. 2023, 137, 108299. [Google Scholar] [CrossRef]
- Lu, Y.; Zhao, Y.; Sun, F.; Yang, F.; Liang, R.; Shen, J.; Zuo, Z. Enhancing transmission efficiency of mega-constellation LEO satellite networks. IEEE Trans. Veh. Technol. 2022, 71, 13210–13225. [Google Scholar] [CrossRef]
- Dicandia, F.A.; Fonseca, N.J.; Bacco, M.; Mugnaini, S.; Genovesi, S. Space-air-ground integrated 6G wireless communication networks: A review of antenna technologies and application scenarios. Sensors 2022, 22, 3136. [Google Scholar] [CrossRef] [PubMed]
- Lin, X.; Cioni, S.; Charbit, G.; Chuberre, N.; Hellsten, S.; Boutillon, J.-F. On the path to 6G: Embracing the next wave of low earth orbit satellite access. IEEE Commun. Mag. 2021, 59, 36–42. [Google Scholar] [CrossRef]
- Xu, Y.; Zhang, Y.; Fan, L. Autonomous semi-major axis adjustment for mega constellation continuous coverage. Adv. Space Res. 2024, 73, 5582–5594. [Google Scholar] [CrossRef]
- Huang, Y.; Shufan, W.; Zeyu, K.; Zhongcheng, M.U.; Huang, H.; Xiaofeng, W.U.; Cheng, X. Reinforcement learning based dynamic distributed routing scheme for mega LEO satellite networks. Chin. J. Aeronaut. 2023, 36, 284–291. [Google Scholar] [CrossRef]
- Sung, T.; Ahn, J. Optimal deployment of satellite megaconstellation. Acta Astronaut. 2023, 202, 653–669. [Google Scholar] [CrossRef]
- Lang, T.J.; Adams, W.S. A Comparison of Satellite Constellations for Continuous Global Coverage. In Mission Design & Implementation of Satellite Constellations, Proceedings of the an International Workshop, Toulouse, France, 19–21 November 1997; Springer: Berlin/Heidelberg, Germany, 1998; pp. 51–62. [Google Scholar]
- Lüders, R.; Ginsberg, L. Continuous Zonal Coverage-A Generalized Analysis. In Proceedings of the Mechanics and Control of Flight Conference, Anaheim, CA, USA, 5–9 August 1974; p. 842. [Google Scholar]
- Walker, J.G. Continuous Whole-Earth Coverage by Circular-Orbit Satellite Patterns; Ministry of Defence, Procurement Executive: London, UK, 1977. [Google Scholar]
- Rider, L. Optimized polar orbit constellations for redundant earth coverage. J. Astronaut. Sci. 1985, 33, 147–161. [Google Scholar]
- Ulybyshev, Y. Near-polar satellite constellations for continuous global coverage. J. Spacecr Rocket. 1999, 36, 92–99. [Google Scholar] [CrossRef]
- Zhong, Y.; Wu, X.Y.; Huang, S.C.; Li, C.J.; Wu, J.F. Approximate computing model for ground coverage region of infrared early warning satellites. Syst. Eng. Electron. 2014, 36, 2133–2137. [Google Scholar]
- Ulybyshev, Y. Satellite constellation design for complex coverage. J. Spacecr. Rocket. 2008, 45, 843–849. [Google Scholar] [CrossRef]
- Song, Z.; Hu, X.; Wang, M.; Dai, G. Judgement theorems and an approach for solving the constellation-to-ground coverage problem. Math. Probl. Eng. 2018, 2018, 1–10. [Google Scholar] [CrossRef]
- Morrison, J.J. A System of Sixteen Synchronous Satellites For Worldwide Navigation And Surveillance; United States Federal Aviation Administration: Washington, DC, USA, 1973.
- Ballard, A.H. Rosette constellations of earth satellites. IEEE Trans. Aerosp. Electron. Syst. 1980, AES-16, 656–673. [Google Scholar] [CrossRef]
- Rider, L. Analytic design of satellite constellations for zonal earth coverage using inclined circular orbits. J. Astronaut. Sci. 1986, 34, 31–64. [Google Scholar]
- Mortari, D.; De Sanctis, M.; Lucente, M. Design of flower constellations for telecommunication services. Proc. IEEE 2011, 99, 2008–2019. [Google Scholar] [CrossRef]
- Ulybyshev, Y. Geometric analysis and design method for discontinuous coverage satellite constellations. J. Guid. Control Dyn. 2014, 37, 549–557. [Google Scholar] [CrossRef]
- Ulybyshev, Y. General analysis method for discontinuous coverage satellite constellations. J. Guid. Control Dyn. 2015, 38, 2475–2483. [Google Scholar] [CrossRef]
- Wang, M.; Luo, X.; Dai, G.; Chen, X. Application of latitude stripe division in satellite constellation coverage to ground. Int. J. Aerosp. Eng. 2016, 2016, 1–10. [Google Scholar] [CrossRef]
- Song, Z.; Dai, G.; Wang, M.; Chen, X. A novel grid point approach for efficiently solving the constellation-to-ground regional coverage problem. IEEE Access 2018, 6, 44445–44458. [Google Scholar] [CrossRef]
- Okati, N.; Riihonen, T.; Korpi, D.; Angervuori, I.; Wichman, R. Downlink coverage and rate analysis of low earth orbit satellite constellations using stochastic geometry. IEEE Trans. Commun. 2020, 68, 5120–5134. [Google Scholar] [CrossRef]
- Lv, L.; Xiao, X.; Feng, G.; Li, W. Efficient algorithm for calculating coverage of mega-constellation. Acta Aeronaut. Astronaut. Sin. 2022, 43, 325173. (In Chinese) [Google Scholar]
- Dai, G.; Song, Z.; Wang, M.; Chen, X.; Peng, L. Theory of Earth Coverage of Satellite Constellations; Science Press: Beijing, China, 2021. [Google Scholar]
- Vis, M. History of the Mercator Projection. Bachelor’s Thesis, Central Michigan University, Mount Pleasant, MI, USA, 2018. [Google Scholar]
- Tao, J. Platforms of Optical Remote Sensing. In Space Optical Remote Sensing: Fundamentals and System Design; Li, J., Ed.; Springer: Singapore, 2023; pp. 351–389. [Google Scholar]
- Sidi, M.J. Spacecraft Dynamics and Control: A Practical Engineering Approach, 1st ed.; Cambridge University Press: Cambridge, UK, 1997. [Google Scholar]
- Zhou, Z.Y.; Guo, G.L.; Jia, X.G. A review on solution of geodetic problem. Sci. Surv. Mapp. 2007, 32, 190–192. (In Chinese) [Google Scholar]






















| Grid Number | C1 | C2 | C3 | C4 |
|---|---|---|---|---|
| 17,786 | 0.0678 | 0.03005 | 0.03553 | 0.01573 |
| Resolution | C1 (%) | C2 (%) | C3 (%) | C4 (%) |
|---|---|---|---|---|
| 8192 × 8192 | 2.653 | 1.988 | 5.821 | 6.871 |
| 16,384 × 16,384 | 0.544 | 0.199 | 3.502 | 4.545 |
| Constellation | Configuration (Ns/P/F) | Altitude (km) | Inclination (°) |
|---|---|---|---|
| GPS | 24/6/1 | 20,180 | 55 |
| GLONASS | 24/3/1 | 19,130 | 64 |
| Galileo | 24/3/1 | 23,222 | 56 |
| Beidou | 24/3/1 | 21,150 | 55 |
| telesat | 45/5/1 | 1248 | 37.4 |
| Globalatar | 48/8/1 | 1400 | 52 |
| Iridium NEXT | 66/6/1 | 781 | 86.4 |
| O3b Mpower | 70/1/1 | 8063 | 0 |
| oneweb | 588/12/1 | 1200 | 87.9 |
| Total Number | Configuration (Ns/P/F) | Total Number | Configuration (Ns/P/F) |
|---|---|---|---|
| 288 | 288/24/1 | 1008 | 1008/24/1 |
| 360 | 360/24/1 | 1080 | 1080/24/1 |
| 432 | 432/24/1 | 1152 | 1152/24/1 |
| 504 | 504/24/1 | 1224 | 1224/24/1 |
| 576 | 576/24/1 | 1296 | 1296/24/1 |
| 648 | 648/24/1 | 1368 | 1368/24/1 |
| 720 | 720/24/1 | 1440 | 1440/24/1 |
| 792 | 792/24/1 | 1512 | 1512/24/1 |
| 864 | 864/24/1 | 1584 | 1584/24/1 |
| 936 | 936/24/1 |
| Mean (%) | Maximum (%) | Minimum (%) | Range (%) | |
|---|---|---|---|---|
| C1 | 0.77552 | 0.77802 | 0.77251 | 0.00551 |
| C2 | 4.99527 | 5.0001 | 4.98986 | 0.01024 |
| C3 | 8.23749 | 8.24735 | 8.23012 | 0.01723 |
| C4 | 26.67936 | 26.69242 | 26.6675 | 0.02492 |
| C5 | 11.05694 | 11.06972 | 11.04619 | 0.02353 |
| C6 | 10.99381 | 11.00197 | 10.97421 | 0.02776 |
| Ca | 85.71973 | 85.72091 | 85.71823 | 0.00268 |
| Mean (%) | Maximum (%) | Minimum (%) | Range (%) | |
|---|---|---|---|---|
| C1 | 0.77552 | 0.77802 | 0.77251 | 0.00551 |
| C2 | 4.99527 | 5.0001 | 4.98986 | 0.01024 |
| C3 | 8.23749 | 8.24735 | 8.23012 | 0.01723 |
| C4 | 26.67936 | 26.69242 | 26.6675 | 0.02492 |
| C5 | 11.05694 | 11.06972 | 11.04619 | 0.02353 |
| C6 | 10.99381 | 11.00197 | 10.97421 | 0.02776 |
| Ca | 85.71973 | 85.72091 | 85.71823 | 0.00268 |
| Maximum (%) | Inclination (°) | Inclination (°) | |
|---|---|---|---|
| C6 | 10.99 | 37 | 21 |
| C5 | 18.46 | 40 | 23 |
| C4 | 26.68 | 53 | 26 |
| C3 | 17.39 | 73 | 38 |
| C2 | 16.17 | 80 | 45 |
| C1 | 4.66 | 85 | 52 |
| Ca | 94.95 | 71~82 | - |
| No. | T/P/F | No. | T/P/F | No. | T/P/F |
|---|---|---|---|---|---|
| Con 1 | 1584/1/1 | Con 11 | 1584/18/1 | Con 21 | 1584/99/1 |
| Con 2 | 1584/2/1 | Con 12 | 1584/22/1 | Con 22 | 1584/132/1 |
| Con 3 | 1584/3/1 | Con 13 | 1584/24/1 | Con 23 | 1584/144/1 |
| Con 4 | 1584/4/1 | Con 14 | 1584/33/1 | Con 24 | 1584/176/1 |
| Con 5 | 1584/6/1 | Con 15 | 1584/36/1 | Con 25 | 1584/198/1 |
| Con 6 | 1584/8/1 | Con 16 | 1584/44/1 | Con 26 | 1584/264/1 |
| Con 7 | 1584/9/1 | Con 17 | 1584/48/1 | Con 27 | 1584/396/1 |
| Con 8 | 1584/11/1 | Con 18 | 1584/66/1 | Con 28 | 1584/528/1 |
| Con 9 | 1584/12/1 | Con 19 | 1584/72/1 | Con 29 | 1584/792/1 |
| Con 10 | 1584/16/1 | Con 20 | 1584/88/1 | Con 30 | 1584/1584/1 |
| Parameter | Proposal 1 | Proposal 2 | Proposal 3 |
|---|---|---|---|
| Orbital plane (P) | 32 | 24 | 72 |
| Number each Plane (S) | 50 | 66 | 22 |
| Total number (T) | 1600 | 1584 | 1584 |
| Altitude (km) | 1150 | 550 | 550 |
| Inclination (°) | 53 | 53 | 53 |
| Parameter | Before/After Adjustment | |||
|---|---|---|---|---|
| Orbital plane (P) | 32/72 | 8/36 | 5/6 | 6/4 |
| Number each Plane (S) | 50/22 | 50/20 | 75/58 | 75/43 |
| Altitude (km) | 1110/540 | 1130/570 | 1275/560 | 1325/560 |
| Inclination (°) | 53.8/53.2 | 74/70 | 81/97.6 | 70/97.6 |
| Numbers of Satellites | |
|---|---|
| C1 | 500 |
| C2 | 800 |
| C3 | 1200 |
| C4 | 1500 |
| C5 | 2000 |
| C6 | 2500 |
| Ca | 800 |
Disclaimer/Publisher’s Note: The statements, opinions and data contained in all publications are solely those of the individual author(s) and contributor(s) and not of MDPI and/or the editor(s). MDPI and/or the editor(s) disclaim responsibility for any injury to people or property resulting from any ideas, methods, instructions or products referred to in the content. |
© 2025 by the authors. Licensee MDPI, Basel, Switzerland. This article is an open access article distributed under the terms and conditions of the Creative Commons Attribution (CC BY) license (https://creativecommons.org/licenses/by/4.0/).
Share and Cite
Feng, G.; Lv, L.; Li, W. Mercator Projection Superposition: A Computationally Efficient Alternative to Grid-Based Coverage Analysis for LEO Mega-Constellations. Appl. Sci. 2025, 15, 10610. https://doi.org/10.3390/app151910610
Feng G, Lv L, Li W. Mercator Projection Superposition: A Computationally Efficient Alternative to Grid-Based Coverage Analysis for LEO Mega-Constellations. Applied Sciences. 2025; 15(19):10610. https://doi.org/10.3390/app151910610
Chicago/Turabian StyleFeng, Guanhua, Linli Lv, and Wenhao Li. 2025. "Mercator Projection Superposition: A Computationally Efficient Alternative to Grid-Based Coverage Analysis for LEO Mega-Constellations" Applied Sciences 15, no. 19: 10610. https://doi.org/10.3390/app151910610
APA StyleFeng, G., Lv, L., & Li, W. (2025). Mercator Projection Superposition: A Computationally Efficient Alternative to Grid-Based Coverage Analysis for LEO Mega-Constellations. Applied Sciences, 15(19), 10610. https://doi.org/10.3390/app151910610

