Intelligent Fast Calculation of Petrophysical Parameters of Clay-Bearing Shales Based on a Novel Dielectric Dispersion Model and Machine Learning
Abstract
1. Introduction
2. Methods
2.1. Novel Dielectric Dispersion Model
2.2. Intelligent Fast Calculation Method
2.2.1. Dielectric Dispersion Response Databases
2.2.2. Backpropagation Neural Network Model
3. Results and Discussion
3.1. Dielectric Dispersion Analysis of Clay-Bearing Shales
3.1.1. Fully Hydrated Clay
3.1.2. Clay-Bearing Shales
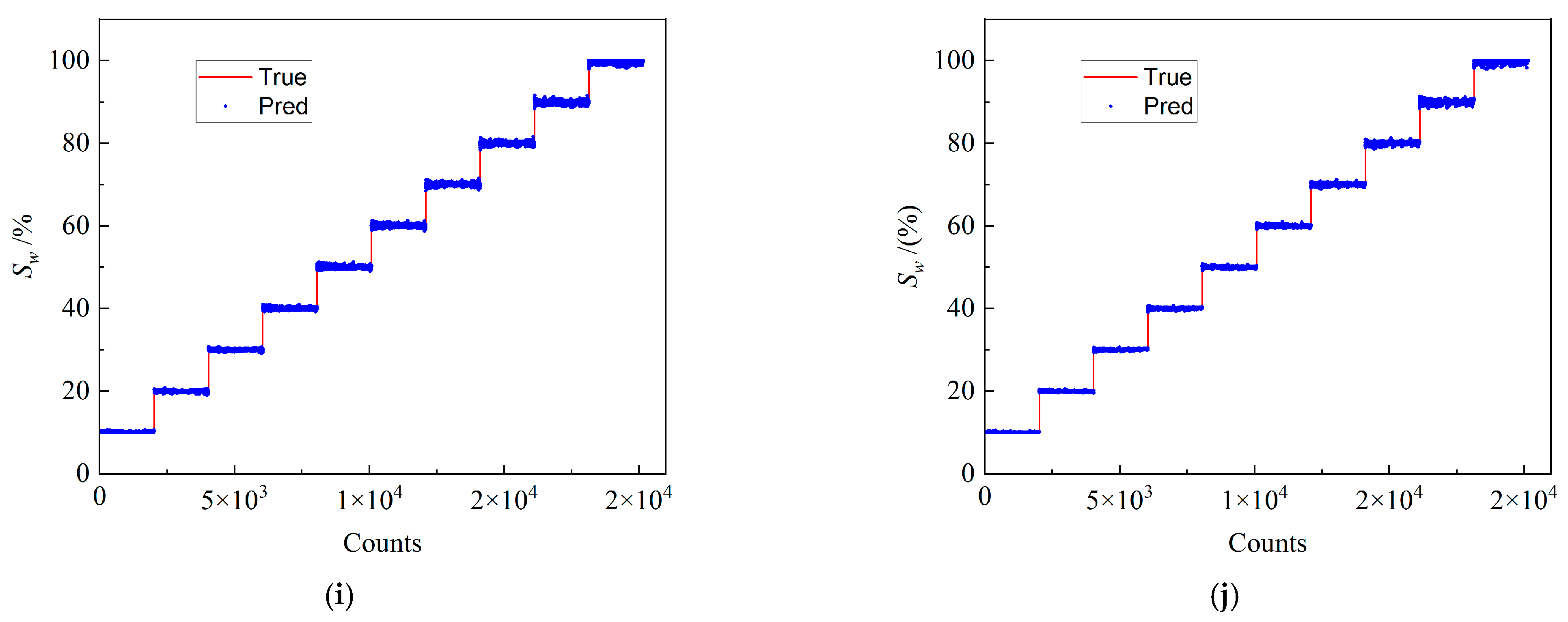
3.2. Petrophysical Parameter Calculation
4. Conclusions
- The clay content and the clay moisture content have obvious significance on the dielectric dispersion of shale rocks. The higher clay content and the higher clay moisture content, the more apparent the dispersion phenomenon.
- The correlation coefficients of calculated values of water salinity, cementation exponent, clay content, clay moisture content, and water saturation can all reach above 99% for each sub-sample database based on BPNN models when the temperature and the porosity are obtained by other methods.
- The calculation accuracy and the processing efficiency of the developed petrophysical parameter calculation model are far superior to the traditional optimization algorithms, which opens up a new approach to reservoir evaluation.
Author Contributions
Funding
Institutional Review Board Statement
Informed Consent Statement
Data Availability Statement
Acknowledgments
Conflicts of Interest
Nomenclature
| ADT | Array Dielectric Logging Tool |
| BPNN | backpropagation neural network |
| CRI | Complex Refractive Index |
| GHz | Gigahertz |
| LR | Lichtenecker–Rothter |
| MHz | Megahertz |
| MG | Maxwell–Garnett |
| MSE | Mean squared error |
| PSO | particle swarm optimization |
| SMD | Stroud-Milton-De |
| Complex permittivity of formation water | |
| Formation water permittivity under the static state (zero frequency) | |
| Formation water permittivity under the optical frequency | |
| Angular measurement frequency, rad/s | |
| Measurement frequency, Hz | |
| Formation water conductivity, S/m | |
| Polarization relaxation time of the formation water, s | |
| Vacuum permittivity, 8.854e−12 F/m | |
| i | Imaginary unit, |
| T | Temperature, ℃ |
| N | Equivalent water concentration |
| K | Formation water salinity, ppk |
| Difference between the actual temperature T and 25 °C | |
| Complex permittivity of clay | |
| Clay permittivity under the static state (zero frequency) | |
| Clay permittivity under the optical frequency | |
| Polarization relaxation time of the clay, s | |
| Polarization relaxation frequency of clay, Hz | |
| Clay conductivity, S/m | |
| Coefficient | |
| Complex rock permittivity calculated by the CRI model | |
| Rock matrix permittivity | |
| Hydrocarbon permittivity | |
| Rock porosity | |
| Water saturation, % | |
| Complex rock permittivity calculated by the LR model | |
| Volume fraction of clay minerals | |
| Clay moisture content | |
| m | Cementation exponent |
| j | Rock component number ranging from 1 to 5 |
| Volumetric factor of component j | |
| k | Direction number of particles |
| Permittivity of component j | |
| Depolarization factor of component j in direction k | |
| a, b, c | Three axes of oblate spheroid |
| q | Axis ratio |
| to | Rock permittivities at the four frequencies |
| to | Rock conductivities at the four frequencies, S/m |
Appendix A. The Development of Novel Dielectric Dispersion for Clay-Bearing Shales
Appendix A.1. Dielectric Dispersion of Formation Water
Appendix A.2. Dielectric Dispersion of Clay Minerals
Appendix A.3. Lichtenecker-Rother Model
Appendix A.4. Novel Dielectric Dispersion Model
References
- Sondergeld, C.H.; Newsham, K.E.; Comisky, J.H.; Rice, M.C.; Rai, C.S. Petrophysical considerations in evaluating and producing shale gas resources. In Proceedings of the SPE Unconventional Gas Conference, Pittsburgh, PA, USA, 23–25 February 2010; p. SPE paper 131768. [Google Scholar]
- Meng, M.; Ge, H.; Shen, Y.; Ji, W. Evaluation of the pore structure variation during hydraulic fracturing in marine shale reservoirs. J. Energy Resour. Technol. 2021, 143, 083002. [Google Scholar] [CrossRef]
- Hong, Z.; Meng, M.; Deng, K.; Bao, J.; Wang, Q.; Liu, X. A quick method for appraising pore connectivity and ultimate imbibed porosity in shale reservoirs. J. Mar. Sci. Eng. 2025, 13, 174. [Google Scholar] [CrossRef]
- Meng, M.; Zhang, Y.; Yuan, B.; Li, Z.; Zhang, Y. Imbibition behavior of oil-saturated rock: Implications for enhanced oil recovery in unconventional reservoirs. Energy Fuels 2023, 37, 13759–13768. [Google Scholar] [CrossRef]
- Huang, L.S.; Yan, J.P.; Guo, W.; Li, X.J.; Zheng, M.J.; Tang, H.M.; Zhong, G.H.; Huang, Y. Research and application of low resistivity shale gas reservoir saturation equation: A case study of Wufeng: Longmaxi Formation in Changning area, southern Sichuan. Chin. J. Geophys. 2024, 67, 3196–3210. [Google Scholar] [CrossRef]
- Hizem, M.; Budan, H.; Deville, B.; Faivre, O.; Mosse, L.; Simon, M. Dielectric Dispersion: A New Wireline Petrophysical Measurement. In Proceedings of the SPE Annual Technical Conference and Exhibition, Denver, CO, USA, 21–24 September 2008; p. SPE paper 116130. [Google Scholar]
- Han, Y.; Misra, S.; Wang, H.; Toumelin, E. Hydrocarbon saturation in a Lower-Paleozoic organic-rich shale gas formation based on Markov-chain Monte Carlo stochastic inversion of broadband electromagnetic dispersion logs. Fuel 2019, 243, 645–658. [Google Scholar] [CrossRef]
- Zhao, P.; Chen, Z.; Li, W.; Mao, Z.; Ke, S.; Wang, H. Joint inversion of saturation of tight sandstone reservoirs using resistivity and dielectric logs. Well Logging Technol. 2022, 46, 174–181. [Google Scholar] [CrossRef]
- Seleznev, N.; Boyd, A.; Habashy, T.; Luthi, S. Dielectric mixing laws for fully and partially saturated carbonate rocks. In Proceedings of the SPWLA 45th Annual Logging Symposium, Noordwijk, The Netherlands, 6–9 June 2004. [Google Scholar]
- Misra, S.; Torres-Verdin, C.; Revil, A.; Rasmus, J.; Homan, D. Interfacial polarization of disseminated conductive minerals in absence of redox-active species—Part 1: Mechanistic model and validation. Geophysics 2016, 81, E139–E157. [Google Scholar] [CrossRef]
- Misra, S.; Torres-Verdin, C.; Revil, A.; Rasmus, J.; Homan, D. Interfacial polarization of disseminated conductive minerals in absence of redox-active species—Part 2: Effective electrical conductivity and dielectric permittivity. Geophysics 2016, 81, E159–E176. [Google Scholar] [CrossRef]
- Sabouroux, P.; Ba, D. Epsimu, a tool for dielectric properties measurement of porous media: Application in wet granular materials characterization. Prog. Electromagn. Res. B 2011, 29, 191–207. [Google Scholar] [CrossRef]
- Han, Y.; Misra, S. Bakken petroleum system characterization using dielectric-dispersion logs. Petrophysics 2018, 59, 201–217. [Google Scholar] [CrossRef]
- Seleznev, N.; Habashy, T.; Boyd, A.; Hizem, M. Formation properties derived from a multi-frequency dielectric measurement. In Proceedings of the SPWLA 47th Annual Logging Symposium, Veracruz, Mexico, 4–7 June 2006. [Google Scholar]
- Zhao, P.; Fu, J.; Shi, Y.; Li, G.; Ostadhassan, M.; Luo, M.; Mao, Z. Hydrocarbon saturation in shale oil reservoirs by inversion of dielectric dispersion logs. Fuel 2020, 266, 116934. [Google Scholar] [CrossRef]
- Li, N.; Xu, B.; Wu, H.; Feng, Z.; Li, Y.; Wang, K.; Liu, P. Application status and prospects of artificial intelligence in well logging and formation evaluation. Acta Pet. Sin. 2021, 42, 508–522. [Google Scholar] [CrossRef]
- Xue, Y.; Cheng, L.; Mou, J.; Zhao, W. A new fracture prediction method by combining genetic algorithm with neural network in low-permeability reservoirs. J. Petrol. Sci. Eng. 2014, 121, 159–166. [Google Scholar] [CrossRef]
- Gao, J.; Ma, Y.-N.; Jiang, L.; Lu, C.; Shi, J. Research on quantitative inversion characterization of high-definition electrical imaging logging in oil-based mud based on backpropagation neural network and multiple population genetic algorithm-Levenberg Marquardt algorithm. Geophysics 2024, 89, D171–D181. [Google Scholar] [CrossRef]
- Han, M.; Cuadros, J.; Suarez, C.A.P.; Decoster, E.; Faivre, O.; Mosse, L.; Seleznev, N. Continous estimate of cation exchange capacity from log data: A new approach based on dielectric dispersion analysis. In Proceedings of the SPWLA 53rd Annual Logging Symposium, Cartagena, Colombia, 16–20 June 2012; p. SPWLA-2012-101. [Google Scholar]
- Stogryn, A. Equations for calculating the dielectric constant of saline water. IEEE Trans. Microw. Theory Tech. 1971, 19, 733–736. [Google Scholar] [CrossRef]
- Chew, W.C.; Sen, P.N. Dielectric enhancement due to electrochemical double layer: Thin double layer approximation. J. Chem. Phys. 1982, 77, 4683–4693. [Google Scholar] [CrossRef]
- Chen, J.; Guo, T.; Zhu, L. Evaluation of oil saturation for volcaniclastic rock reservoir with high shale content and low resistivity. J. Chengdu Univ. Technol. (Sci. Technol. Ed.) 2019, 46, 153–161. [Google Scholar]










| Parameter | m | K | Vc | Swc | Sw | ||
|---|---|---|---|---|---|---|---|
| MSE | |||||||
| Number | |||||||
| 1 | 9.090 × 10−5 | 2.513 × 10−1 | 2.150 × 10−3 | 1.432 × 10−4 | 8.350 × 10−6 | ||
| 2 | 4.172 × 10−5 | 9.250 × 10−2 | 8.283 × 10−7 | 5.697 × 10−6 | 4.543 × 10−6 | ||
Disclaimer/Publisher’s Note: The statements, opinions and data contained in all publications are solely those of the individual author(s) and contributor(s) and not of MDPI and/or the editor(s). MDPI and/or the editor(s) disclaim responsibility for any injury to people or property resulting from any ideas, methods, instructions or products referred to in the content. |
© 2025 by the authors. Licensee MDPI, Basel, Switzerland. This article is an open access article distributed under the terms and conditions of the Creative Commons Attribution (CC BY) license (https://creativecommons.org/licenses/by/4.0/).
Share and Cite
Gao, J.; Li, J. Intelligent Fast Calculation of Petrophysical Parameters of Clay-Bearing Shales Based on a Novel Dielectric Dispersion Model and Machine Learning. Appl. Sci. 2025, 15, 10381. https://doi.org/10.3390/app151910381
Gao J, Li J. Intelligent Fast Calculation of Petrophysical Parameters of Clay-Bearing Shales Based on a Novel Dielectric Dispersion Model and Machine Learning. Applied Sciences. 2025; 15(19):10381. https://doi.org/10.3390/app151910381
Chicago/Turabian StyleGao, Jianshen, and Jing Li. 2025. "Intelligent Fast Calculation of Petrophysical Parameters of Clay-Bearing Shales Based on a Novel Dielectric Dispersion Model and Machine Learning" Applied Sciences 15, no. 19: 10381. https://doi.org/10.3390/app151910381
APA StyleGao, J., & Li, J. (2025). Intelligent Fast Calculation of Petrophysical Parameters of Clay-Bearing Shales Based on a Novel Dielectric Dispersion Model and Machine Learning. Applied Sciences, 15(19), 10381. https://doi.org/10.3390/app151910381
