Validity Evaluation of Wind Turbine Monitoring Data by Correlative Coupling Relationship
Abstract
1. Introduction
2. Theoretical
2.1. Chaos Theory
2.2. Data Preprocessing
- (1)
- Check the data volume, data types, number of data variables, and sample size;
- (2)
- Analyze the relationships between variables to confirm if there is any correlation;
- (3)
- Observe the amount of missing data and determine how to handle it.
2.3. Data Correlation Processing
3. Results and Discussion
3.1. Correlation Characteristics of Wind Turbine Monitoring Data
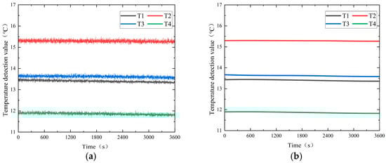
3.2. Impact of Filtering on the Correlation of Wind Turbine Monitoring Data
3.3. Impact of Signal Phase Difference on Correlation
3.4. Impact of Interference Signals on the Correlation of Monitoring Data in Wind Turbines
3.4.1. Gaussian Noise Interference
3.4.2. White Noise Interference
4. Conclusions
Author Contributions
Funding
Institutional Review Board Statement
Informed Consent Statement
Data Availability Statement
Conflicts of Interest
References
- Heffernan, O. The Third Industrial Revolution: How Lateral Power is Transforming Energy, the Economy, and the World. Nat. Clim. Chang. 2012, 2, 67–68. [Google Scholar] [CrossRef]
- Zou, C.E.; Li, S.X.; Xiong, B.; Liu, H.L.; Ma, F. Revolution and significance of “Green Energy Transition” in the context of new quality productive forces: A discussion on theoretical understanding of “Energy Triangle”. Pet. Explor. Dev. 2024, 51, 1611–1627. [Google Scholar] [CrossRef]
- Holechek, J.L.; Geli, H.M.E.; Sawalhah, M.N.; Valdez, R. A Global Assessment: Can Renewable Energy Replace Fossil Fuels by 2050? Sustainability 2022, 14, 4792. [Google Scholar] [CrossRef]
- Sayed, E.T.; Olabi, A.G.; Alami, A.H.; Radwan, A.; Mdallal, A.; Rezk, A.; Abdelkareem, M.A. Renewable Energy and Energy Storage Systems. Energies 2023, 16, 1415. [Google Scholar] [CrossRef]
- Liu, C.-J.; Lu, J.-Y.; Zhao, W.-C.; Xu, Q.; Jin, Y.-J. Development Scenarios and Environmental Benefits Analysis of Future Power Generation Industry Under Two Modes in China. Huan Jing Ke Xue = Huanjing Kexue 2022, 43, 3375–3385. [Google Scholar] [CrossRef] [PubMed]
- Avtar, R.; Sahu, N.; Aggarwal, A.K.; Chakraborty, S.; Kharrazi, A.; Yunus, A.P.; Dou, J.; Kurniawan, T.A. Exploring Renewable Energy Resources Using Remote Sensing and GIS—A Review. Resources 2019, 8, 149. [Google Scholar] [CrossRef]
- Wang, Y.J.; Wang, R.; Tanaka, K.; Ciais, P.; Penuelas, J.; Balkanski, Y.; Sardans, J.; Hauglustaine, D.; Liu, W.; Xing, X.F.; et al. Accelerating the energy transition towards photovoltaic and wind in China. Nature 2023, 619, 761–767. [Google Scholar] [CrossRef]
- Mishnaevsky, L.; Branner, K.; Petersen, H.N.; Beauson, J.; McGugan, M.; Sørensen, B.F. Materials for Wind Turbine Blades: An Overview. Materials 2017, 10, 1285. [Google Scholar] [CrossRef] [PubMed]
- Tchakoua, P.; Wamkeue, R.; Ouhrouche, M.; Slaoui-Hasnaoui, F.; Tameghe, T.A.; Ekemb, G. Wind Turbine Condition Monitoring: State-of-the-Art Review, New Trends, and Future Challenges. Energies 2014, 7, 2595–2630. [Google Scholar] [CrossRef]
- Hong, S.; McMorland, J.; Zhang, H.X.; Collu, M.; Halse, K.H. Floating offshore wind farm installation, challenges and opportunities: A comprehensive survey. Ocean Eng. 2024, 304, 117793. [Google Scholar] [CrossRef]
- Liu, W.Y.; Tang, B.P.; Han, J.G.; Lu, X.N.; Hu, N.N.; He, Z.Z. The structure healthy condition monitoring and fault diagnosis methods in wind turbines: A review. Renew. Sust. Energy Rev. 2015, 44, 466–472. [Google Scholar] [CrossRef]
- Gowda, M.C.M.; Mallikarjun, N.P.; Gowda, P.; Chandrashekhar, R. Improvement of the Performance of Wind Turbine Generator Using Condition Monitoring Techniques. In Proceedings of the 7th International Conference on Intelligent Systems and Control (ISCO), Coimbatore, India, 4–5 January 2013; pp. 495–501. [Google Scholar]
- Niu, Z.X.; Shi, S.P.; Sun, J.Y.; He, X. A Survey of Outlier Detection Methodologies and Their Applications. In Proceedings of the 3rd International Conference on Artificial Intelligence and Computational Intelligence (AICI 2011), Taiyuan, China, 23–25 September 2011; pp. 380–387. [Google Scholar]
- Gao, P.; Wu, T.J.; Ge, Y.; Yang, G.; Lu, Y.F. Correcting the nighttime lighting data underestimation effect based on light source detection and luminance reconstruction. Int. J. Appl. Earth Obs. Geoinf. 2023, 121, 103380. [Google Scholar] [CrossRef]
- Liu, S.F.; Tao, Y.; Xie, N.M.; Tao, L.Y.; Hu, M.L. Advance in grey system theory and applications in science and engineering. Grey Syst. 2022, 12, 804–823. [Google Scholar] [CrossRef]
- Xiao, C.W.; Ye, J.Q.; Esteves, R.M.; Rong, C.M. Using Spearman’s correlation coefficients for exploratory data analysis on big dataset. Concurr. Comput.-Pract. Exp. 2016, 28, 3866–3878. [Google Scholar] [CrossRef]
- Zheng, K.; Fang, J.; Li, J.; Shi, H.; Xu, Y.; Li, R.; Xie, R.; Cai, G. Robust Grey Relational Analysis-Based Accuracy Evaluation Method. Appl. Sci. 2025, 15, 4926. [Google Scholar] [CrossRef]
- Liu, P.F.; Wang, S.C.; Zhao, P. Robust estimation and test for Pearson’s correlation coefficient. Random Matrices-Theor. Appl. 2024, 13, 17. [Google Scholar] [CrossRef]
- Phillips, T.; GauthierDickey, C.; Thurimella, R. Using Transitivity to Increase the Accuracy of Sample-Based Pearson Correlation Coefficients. In Proceedings of the 12th International Conference on Data Warehousing and Knowledge Discovery, Bilbao, Spain, 30 August–3 September 2010; pp. 157–171. [Google Scholar]
- Wharton, S.; Lundquist, J.K. Atmospheric stability affects wind turbine power collection. Environ. Res. Lett. 2012, 7, 9. [Google Scholar] [CrossRef]
- Fernandez-Díaz, A. Overview and Perspectives of Chaos Theory and Its Applications in Economics. Mathematics 2024, 12, 20. [Google Scholar] [CrossRef]
- Barker, P.M.; McDougall, T.J. Two Interpolation Methods Using Multiply-Rotated Piecewise Cubic Hermite Interpolating Polynomials. J. Atmos. Ocean. Technol. 2020, 37, 605–619. [Google Scholar] [CrossRef]
- Kim, B.S.; Lee, S.; Rha, S.Y.; Chung, H.C. cDNA Microarray Experiment: Design Issues in Early Stage and the Need of Normalization. Cancer Res. Treat. Off. J. Korean Cancer Assoc. 2003, 35, 533–540. [Google Scholar] [CrossRef]
- Huang, J.L.; Li, Y.F.; Keung, J.W.; Yu, Y.T.; Chan, W.K. An Empirical Analysis of Three-stage Data-Preprocessing for Analogy-based Software Effort Estimation on the ISBSG Data. In Proceedings of the IEEE International Conference on Software Quality, Reliability and Security (Companion Volume), Prague, Czech Republic, 25–29 July 2017; pp. 442–449. [Google Scholar]
- Wang, D.M.; Cao, C.Y.; Chen, N.C.; Pan, W.G.; Li, H.C.; Wang, X.D. A correlation-graph-CNN method for fault diagnosis of wind turbine based on state tracking and data driving model. Sustain. Energy Technol. Assess. 2023, 56, 102995. [Google Scholar] [CrossRef]
- Hu, X.; Liu, W.; Huo, H. An intelligent network traffic prediction method based on Butterworth filter and CNN–LSTM. Comput. Netw. 2024, 240, 110172. [Google Scholar] [CrossRef]
- Han, X. Artificial Intelligence-based Interference Signal Recognition for Satellite Communications. In Proceedings of the 2024 International Conference on Advanced Control Systems and Automation Technologies, ACSAT 2024, Nanjing, China, 15–17 November 2024; pp. 279–282. [Google Scholar]
- Dutta, S.; Boongoen, T.; Zwiggelaar, R. Human Activity Recognition with Noise-Injected Time-Distributed AlexNet. Biomimetics 2025, 10, 613. [Google Scholar] [CrossRef]
- Alfatemi, A.; Oliveira, D.; Rahouti, M.; Hafid, A.; Ghani, N. Precision DDoS Detection through Gaussian Noise-Augmented Neural Networks. In Proceedings of the 15th International Conference on Network of the Future, NoF 2024, Barcelona, Spain, 2–4 October 2024; pp. 178–185. [Google Scholar]
- Ghazdali, A.; Hadri, A.; Laghrib, A.; Nachaoui, M. Poisson noise and Gaussian noise separation through copula theory. Multimed. Tools Appl. 2024, 83, 67927–67952. [Google Scholar] [CrossRef]
- Bahador, F.G.; Mokhtary, P.; Lakestani, M. Mixed Poisson-Gaussian noise reduction using a time-space fractional differential equations. Inf. Sci. 2023, 647, 15. [Google Scholar] [CrossRef]
- Jia, L.; Li, S.; Kou, L.; Wu, K. Homoclinic Bifurcations and Chaotic Dynamics in a Bistable Vibro-Impact SD Oscillator Subject to Gaussian White Noise. Int. J. Bifurc. Chaos 2024, 34, 2450077. [Google Scholar] [CrossRef]
- Qiao, G.-R.; Bai, B.; Weng, Z.-X.; Wu, J.-Y.; Nie, Y.-Q.; Zhang, J. White Gaussian Noise Generation with a Vacuum State Quantum Entropy Source Chip. IEEE J. Sel. Top. Quantum Electron. 2025, 31, 9200108. [Google Scholar] [CrossRef]













| Nomenclature | |||
|---|---|---|---|
| A1 | Acceleration detection value 1 | T4 | Temperature detection value 4 |
| A2 | Acceleration detection value 2 | L1 | Load detection value 1 |
| T1 | Temperature detection value 1 | L2 | Load detection value 2 |
| T2 | Temperature detection value 2 | L3 | Load detection value 3 |
| T3 | Temperature detection value 3 | L4 | Load detection value 4 |
| No. | Avg. PCC (Before Filtering) | Avg. PCC (After Filtering) | Percentage Improvement (%) |
|---|---|---|---|
| 1 | 0.235 | 0.966 | 311.06 |
| 2 | 0.302 | 0.821 | 171.85 |
| 3 | 0.344 | 0.850 | 147.09 |
| 4 | 0.537 | 0.924 | 72.07 |
| 5 | 0.738 | 0.997 | 35.09 |
Disclaimer/Publisher’s Note: The statements, opinions and data contained in all publications are solely those of the individual author(s) and contributor(s) and not of MDPI and/or the editor(s). MDPI and/or the editor(s) disclaim responsibility for any injury to people or property resulting from any ideas, methods, instructions or products referred to in the content. |
© 2025 by the authors. Licensee MDPI, Basel, Switzerland. This article is an open access article distributed under the terms and conditions of the Creative Commons Attribution (CC BY) license (https://creativecommons.org/licenses/by/4.0/).
Share and Cite
Chen, G.; Chen, N.; Niu, X.; Hu, D. Validity Evaluation of Wind Turbine Monitoring Data by Correlative Coupling Relationship. Appl. Sci. 2025, 15, 10320. https://doi.org/10.3390/app151910320
Chen G, Chen N, Niu X, Hu D. Validity Evaluation of Wind Turbine Monitoring Data by Correlative Coupling Relationship. Applied Sciences. 2025; 15(19):10320. https://doi.org/10.3390/app151910320
Chicago/Turabian StyleChen, Guanwu, Naichao Chen, Xuan Niu, and Danmei Hu. 2025. "Validity Evaluation of Wind Turbine Monitoring Data by Correlative Coupling Relationship" Applied Sciences 15, no. 19: 10320. https://doi.org/10.3390/app151910320
APA StyleChen, G., Chen, N., Niu, X., & Hu, D. (2025). Validity Evaluation of Wind Turbine Monitoring Data by Correlative Coupling Relationship. Applied Sciences, 15(19), 10320. https://doi.org/10.3390/app151910320
