Next Article in Journal
Color and Texture of Wheat and Whole Grain Wheat Salty Crackers—Technological Aspects of Cricket Powder Addition
Next Article in Special Issue
Intelligent Method for PDC Bit Selection Based on Graph Neural Network
Previous Article in Journal
Analysis of Injury Severity in Elderly Pedestrian Traffic Accidents Based on XGBoost
Previous Article in Special Issue
Analysis of CH4 Solubility Characteristics in Drilling Fluids: Molecular Simulation and Solubility Experiment
 
 
Font Type:
Arial Georgia Verdana
Font Size:
Aa Aa Aa
Line Spacing:
Column Width:
Background:
Article

Real-Time Model–Data Fusion for Accurate Wellbore Pressure Prediction in HTHP Wells

School of Energy Resources, China University of Geosciences, Beijing 100083, China
*
Author to whom correspondence should be addressed.
Appl. Sci. 2025, 15(18), 9911; https://doi.org/10.3390/app15189911
Submission received: 8 August 2025 / Revised: 7 September 2025 / Accepted: 9 September 2025 / Published: 10 September 2025

Abstract

Accurate wellbore pressure management is critical for safety and efficiency in deep drilling, where narrow pressure windows and extreme high-temperature, high-pressure (HTHP) conditions exist. Current methods, including direct measurement and model-based prediction, face limitations such as sensor reliability issues and inaccurate lab-derived parameters. Data-driven AI methods lack interpretability and generalize poorly. This study proposes a model-data fusion approach to address these issues. It integrates mechanistic models with real-time data using the Unscented Kalman Filter (UKF) for real-time parameter correction. Friction correction factors are introduced to continuously update and optimize the estimation of frictional pressure drop. Validated with field data, the model demonstrates high accuracy, with absolute percentage errors below 5% and mean absolute errors (MAPE) below 1%. It also shows strong robustness, maintaining low MAPE (1.10–2.15%) despite significant variations in frictional pressure drop distribution. This method significantly enhances prediction reliability for safer ultra-deep drilling operations.

1. Introduction

As global demand for oil and gas continues to grow, the exploitation of deep and ultra-deep reservoirs has intensified, leading to a significant increase in their production and strategic importance [1]. Drilling operations in such reservoirs are typically associated with extreme conditions, including ultra-high temperatures and pressures, complex pressure regimes, and narrow pressure windows. These factors considerably complicate wellbore pressure management. Improper control of wellbore pressure under these conditions can result in severe consequences, such as lost circulation, influx, and blowout [2]. Therefore, accurate prediction and effective control of wellbore pressure are crucial during deep and ultra-deep drilling operations. However, wellbore flow in such environments involves the coupling of multiple physical fields, making the prediction process highly complex [3]. In wells that extend several thousand meters, significant temperature and pressure gradients exist between the surface and the bottomhole. These gradients cause the properties of the drilling fluid—such as density and rheology—to vary with depth, due to their dependence on temperature and pressure. Additionally, continuous heat exchange between the wellbore and the surrounding formation further complicates the accurate estimation of wellbore pressure.
Currently, wellbore pressure can be obtained through two main approaches: direct instrument measurement and model-based prediction. Instrumentation provides the most direct and accurate measurements. However, under HTHP downhole conditions, many sensors fail to function reliably. Additional challenges include limited signal transmission capabilities, slow data transmission rates, and the high cost of specialized downhole instruments. Model-based prediction, on the other hand, estimates pressure profiles within the drillstring and annulus by developing wellbore fluid flow models. Studies of model-based prediction can be grouped into three streams. (1) Mechanistic modeling: transient single-/two-phase wellbore models improve physical fidelity, yet their accuracy hinges on empirical friction/slip correlations; under HTHP, these correlations become sensitive to unmodeled temperature-rheology coupling, causing bias. (2) Data-driven/AI inversion: machine-learning estimators provide rapid parameter updates but often suffer from limited interpretability, task-specific training, and weak generalization across wells/operations [4,5,6]. (3) Model-data fusion with Kalman-type filters: KF/EKF/EnKF/UKF have been introduced to correct states/parameters online in drilling hydraulics and related subsystems [7,8,9,10,11,12,13,14,15,16,17,18,19,20]. However, most implementations (a) apply a single, unified friction correction to the entire circulation system, overlooking domain-specific hydraulics in the drillstring versus annulus [21,22]; (b) lack generalizability analyses across markedly different friction-drop partitions [23,24]; and (c) seldom address HTHP-induced variability where temperature/pressure reshape rheology and friction in a time-varying manner [25,26].
This study focuses on single-phase circulation under HTHP conditions without explicit modeling of gas influx, lost circulation, or cuttings transport. Fluid properties are treated as temperature- and pressure-dependent, and heat exchange with the formation is included; tool/joint roughness and minor losses are embedded in the friction terms. These boundaries clarify the intended operating envelope and avoid confounding multi-mechanism effects in the present analysis. Therefore, we develop a physics-guided model-data fusion framework based on the UKF that couples a mechanistic wellbore pressure model with domain-specific friction correction factors estimated online separately for the drillstring and annulus. The design explicitly addresses HTHP variability by allowing the filter to adapt friction to thermal-rheological changes while preserving the model’s physical structure. We further evaluate generalizability and robustness across multiple well sections and wells, where the drillstring share of total frictional drop varies broadly; despite this variability with widely varying partitions of the total frictional pressure drop; despite these shifts, prediction errors remain low. Specifically, (1) unlike prior works using a single global factor, our method identifies and updates two factors online (drillstring vs. annulus), capturing distinct hydraulic behaviors and eliminating bias from unified tuning; (2) across field cases with large shifts in friction-drop partitions, the approach sustains the mean absolute percentage errors (MAPEs) < 2.15% and keeps the absolute percentage errors (APEs) typically < 5%, demonstrating consistent accuracy under temperature-/pressure-driven property changes; and (3) the UKF employs measurement and model-error covariances tied to instrument reliability and closure uncertainty, yielding stable online convergence with interpretability preserved.
The flowchart of this study is summarized in Figure 1. Section 2 introduces the transient mechanistic model and the temperature-/pressure-dependent property laws. Section 3 reports accuracy, robustness to friction-partition shifts, and ablations versus a single-factor baseline. Section 4 summarizes implications, limitations, and extensions of this study.

2. Model Development

2.1. Wellbore Pressure Calculation Model

The following assumptions are made during the development of the wellbore pressure calculation model:
(1)
The flow of drilling fluid in the wellbore is assumed to be single-phase and one-dimensional;
(2)
Pressure and temperature of the drilling fluid are considered uniformly distributed across the cross-section at any given depth;
(3)
The additional pressure drop caused by cuttings is neglected.
The mass conservation equation of the drilling fluid in the drillstring can be expressed as:
ρ d r v d r A d r z = 0
where ρ is the density of the drilling fluid, k g / m 3 ; v is the velocity of the drilling fluid, m / s ; A is the cross-sectional area, m 2 ; z is the well depth, m ; the subscript d r represents the drillstring.
The momentum conservation equation of the drilling fluid in the drillstring can be expressed as:
ρ d r v d r 2 + p d r z = ρ d r g F f , d r
where p is the pressure of the drilling fluid, P a ; g is the gravitational acceleration, m / s 2 ; F f is the frictional pressure drop per unit length of the drilling fluid, P a / m .
The mass conservation equation of the drilling fluid in the annulus can be expressed as:
ρ a n v a n A a n z = 0
where the subscript a n represents the annulus.
The momentum conservation equation of the drilling fluid in the annulus can be expressed as:
ρ a n v a n 2 + p a n z = ρ a n g + F f , a n
During the drilling process, the density of drilling fluid is significantly affected by temperature and pressure. The drilling fluid density calculation model used in this study is as follows [27]:
ρ = ρ 0 + 1.8 A 1 T T 0 + A 2 P P 0 6895 / 0.0083454
where ρ 0 is the density of the drilling fluid under the conditions of T 0 and P 0 , k g / m 3 ; T 0 is the surface temperature, ° C ; P 0 is the surface pressure, P a ; T is the downhole temperature of the drilling fluid, ° C ; P is the downhole pressure of the drilling fluid, P a ; A 1 is the fitting parameter of temperature, dimensionless (in this study, water-based drilling fluid is used, and A 1 is set as −3.31977 × 10−3); A 2 is the fitting parameter of pressure, dimensionless (in this study, water-based drilling fluid is used, and A 2 is set as 2.3717 × 10−5).
The frictional pressure drop gradient in this study is calculated using the following equation:
F f = 2 f ρ v 2 D h
where f is the Fanning friction factor, dimensionless; D h is the hydraulic diameter, m (for drillstring, it is equal to drillstring inner diameter, for annulus, it is equal to the difference between wellbore inner diameter and drillstring outer diameter).
As for the Fanning friction factor, numerous empirical formulas have been developed based on theoretical analysis and experimental studies. The Fanning friction factor in this study was determined primarily using the Herschel–Bulkley (H-B) and Newtonian models. In this study, the fluid rheology was described using the H-B and Newtonian models, whose parameters ( τ y , K , n or μ ) were used to calculate the generalized Reynolds number and subsequently the Fanning friction factor.
The H-B model is employed to describe fluid rheological behavior:
τ = τ y + K γ ˙ n
where τ is the shear stress, P a ; τ y is the yield stress, P a ; K is the consistency index, P a · s n ; γ ˙ is the rate of shear, s 1 ; n is the flow behavior index, dimensionless.
The formulae of the H-B model are as follows [28]:
f = 16 R e , R e R e c , l a m f c , l a m + R e R e c , l a m f c , t u r f c , l a m R e c , t u r R e c , l a m , R e c , l a m < R e R e c , t u r 0.02 l g n + 0.0786 R e 0.25 0.143 l g n , R e > R e c , t u r
R e = 8 1 n ρ D h n v d r 2 n K 3 n + 1 4 n n , drillstring 12 1 n ρ D h n v a n 2 n K 2 n + 1 3 n n , annulus
f c , l a m = 16 R e c , l a m
R e c = 3470 1370 n , laminar   flow 4270 1370 n , turbulent   flow
where R e is the Reynolds number, dimensionless; f c is the critical Fanning friction factor, dimensionless; R e c is the critical Reynolds number, dimensionless; the subscript t u r represents the turbulent flow.
The Newtonian model is employed to describe fluid rheological behavior:
τ = μ γ ˙
where μ is the viscosity coefficient, P a · s .
The formulae of the Newtonian model are as follows [29]:
f = 16 R e , R e 2100 0.0791 Re 0.25 , R e > 2100
R e = ρ v d r D h μ , drillstring ρ v a n D h μ , annulus
When fluid flows through the drillstring joint, the flow regime undergoes significant changes, resulting in additional pressure drops. To ensure the accuracy of the model, it is essential to account for the additional pressure drop at the drillstring joints. The formulae used in this study to calculate the additional pressure drop at the drillstring joints are as follows:
Δ P f , t j = K t j ρ v 2 2
K t j = 0 , R e t j < 1000 1.91 l o g 10 R e t j 5.46 , 1000 R e t j 3000 4.66 1.05 l o g 10 R e t j , 3000 R e t j 13,000 0.33 , R e t j > 13,000
where P f , t j is the additional pressure drop induced by the drillstring joint per unit length, P a / m ; K t j is the friction parameter based on Reynolds number, dimensionless; R e t j is the Reynolds number of the drillstring joint, dimensionless, calculated with the same formulae as for the drillstring but using the hydraulic diameter of the drillstring joint.
The effect of drillstring eccentricity on the frictional pressure drop is quantified by the following equations [30]:
R s , l a m = 1 0.072 e n ( d i d o ) 0.8454 1.5 e 2 n ( d i d o ) 0.1852 + 0.96 e 3 n ( d i d o ) 0.2527
R s , t u r b = 1 0.048 e n ( d i d o ) 0.8454 2 3 e 2 n ( d i d o ) 0.1852 + 0.285 e 3 n ( d i d o ) 0.2527
f e = R s , l a m f , laminar   flow R s , t u r b f , turbulent   flow
where R s is the ratio of pressure gradient in skew or eccentric geometries to the one in concentric annulus, dimensionless; e is the drillstring eccentricity, dimensionless (0 for a concentric drillstring and 1 for a fully eccentric drillstring); d i is the inner diameter of drillstring, m ; d o is the outer diameter of drillstring m ; f e is the Fanning friction factor that accounts for the drillstring eccentricity, dimensionless.
The effect of drillstring rotation on the frictional pressure drop is quantified by the following equations [31]:
c r , l a m = 0.2287 N g + 0.1237 ω d + 0.4289
c r , t r a n s = 1.0267 N g + 0.039 ω d + 1.2422
c r , t u r b = 1.7821 N g + 0.0132 ω d + 1.7983
ω d = ω 500
f r = c r , l a m f , laminar   flow   c r , t r a n s f , transitional   flow c r , t u r b f , turbulent   flow
where c r is the dimensionless correlation coefficient, dimensionless; N g is the generalized flow behavior index, dimensionless; ω d is the dimensionless rotation speed, dimensionless; ω is the drillstring rotation speed, r e v / m i n ; f r is the Fanning friction factor that accounts for the drillstring rotation, dimensionless; the subscript t r a n s represents the transitional flow.
The combined effect of drillstring and rotation on the Fanning friction factor is given by the following equation:
f e , r = R s c r f
where f e , r is the Fanning friction factor that accounts for the drillstring eccentricity and rotation, dimensionless.
Calculation of the proposed fluid flow model necessitates grid discretization of the wellbore. As shown in Figure 2, the wellbore of length L is uniformly discretized into N grid segments with a step size of Δ z , resulting in N x ( N x = N + 1) nodes. These storage nodes are utilized to store parameters such as pressure, temperature, drilling fluid velocity, drilling fluid density, well trajectory, and wellbore structure. The bottomhole and surface are labeled as N x and 1, respectively, and Δ z represents the vertical distance between adjacent storage nodes. The annulus outlet pressure serves as a known boundary condition. For the pressure in the annulus, the calculation proceeds from the surface to the bottomhole; for the pressure in the drillstring, the calculation proceeds from the bottomhole to the surface.
Use the finite difference method to discretize Equations (1)–(4), yielding the following equations:
( v d r ) i = ( ρ d r v d r A d r ) i + 1 ( ρ d r A d r ) i
p d r , i = p d r , i + 1 + ρ d r v d r 2 i + 1 ρ d r v d r 2 i   Δ z ρ d r g i + 1 + ρ d r g i 2 + Δ z F f , d r i + 1 + F f , d r i 2
( v a n ) i = ( ρ a n v a n A a n ) i 1 ( ρ a n A a n ) i
( v a n ) i = ( ρ a n v a n A a n ) i 1 ( ρ a n A a n ) i
During the calculation of wellbore pressure, the temperature and pressure of the drilling fluid in the wellbore influence the density of the drilling fluid. The density of the drilling fluid, in turn, affects both the gravitational pressure drop and the frictional pressure drop, ultimately impacting the wellbore pressure. Consequently, an iterative process is required for the calculation of wellbore pressure and drilling fluid density. A schematic diagram of the iterative process is illustrated in Figure 3.

2.2. Correction Model for Frictional Pressure Drop

The calculation of frictional pressure drop is affected by multiple factors. To improve the adaptability and calculation accuracy of the frictional pressure drop calculation model, this study introduces a friction correction factor into the frictional pressure drop calculation model (Equation (6)), resulting in Equation (16):
F f = C 2 f ρ v 2 D h
where C is the friction correction factor solved by the UKF inversion algorithm, dimensionless ( C d r for drillstring, C a n for annulus). Differences in the structures and the proportion of pressure drop may lead to different correction demands in the annulus and the drillstring. Therefore, distinct friction correction factors are applied for the drillstring and the annulus.
The UKF abandons the traditional method of linearizing nonlinear functions and adopts the Kalman linear filtering framework. For the one-step prediction equation, the Unscented Transform is used to deal with the nonlinear propagation problems of the mean and covariance. The UKF algorithm approximates the probability density distribution of the nonlinear function. It uses a series of deterministic samples to approximate the posterior probability density of the state, rather than approximating the nonlinear function itself, and there is no need to calculate the derivative of the Jacobian matrix. The UKF does not neglect high-order terms, so it has a relatively high calculation accuracy for the statistics of nonlinear distributions and effectively overcomes the drawbacks of low estimation accuracy and poor stability of the EKF.
When using the UKF inversion algorithm to solve Equation (16), it is also necessary to determine the measurement variables near or at the control volume boundaries that affect the friction correction factor.
The state variables include the friction correction factors for drillstring and annulus:
x d r , k = C d r , k x a n , k = C a n , k x k = x d r , k , x a n , k
where x represents the state variable, dimensionless; the subscript k represents the time of k .
The measurement variables include S P P and W H P :
Z d r , k = S P P Z a n , k = W H P Z k = Z d r , k , Z a n , k
where Z represents the measurement variable, P a ; S P P represents the standpipe pressure, P a ; W H P represents the wellhead pressure, P a .
The relationship between the state variables and the measurement variables is shown in Figure 4.
The state variables may potentially have undefined or not yet fully understood relationships with other parameters. Therefore, the state equation is as follows:
x k = x k 1 + w k
where w is the system noise, dimensionless.
Based on the iterative method for calculating the pressure in the drillstring, by substituting Equation (16) into Equation (15b), the following equation is obtained:
p d r , i = p d r , i + 1 + ρ d r v d r 2 i + 1 ρ d r v d r 2 i Δ z i ρ d r g i + 1 + ρ d r g i 2   + C d r , k Δ z i f d r 2 D h , d r ρ d r v d r 2 i + 1 + f d r 2 D h , d r ρ d r v d r 2 i / 2
Similarly, based on the iterative method for calculating the annular pressure, by substituting Equation (16) into Equation (15d), the following equation is obtained:
p a n , i = p a n , i 1 ρ a n v a n 2 i ρ a n v a n 2 i 1 + Δ z i 1 ρ a n g i + ρ a n g i 1 2   + C a n , k Δ z i 1 f a n 2 D h , a n ρ a n v a n 2 i + f a n 2 D h , a n ρ a n v a n 2 i 1 / 2
By combining and simplifying Equations (20) and (21), the measurement equation for UKF is obtained:
Z k = H x k + u k
where H is the functional relationship between the measurement variable Z k and the state variable x k ; u is the measurement noise, P a .
After determining the state equation and measurement equation, they are incorporated into the UKF computational model based on the previously described inversion algorithm. By providing the measurement data, the friction correction factor can be solved. The computational process is illustrated in Figure 5, and the pseudocode for the UKF implementation is presented in Figure A1 in Appendix A.

2.3. Model Validation

To validate the model, comparative analyses were successively performed against both the pressure calculations from WellPlan (a commercial software launched by Halliburton, Version 5000.14.0.12958) and the actual pressure measurements obtained from the well.
Calculations were initially performed by applying data from the third drilling phase of an actual well (labeled as Well #1) to both the proposed model and the WellPlan. The true vertical depth (TVD) of Well #1 is 4544.79 m. The structure and trajectory of this well are presented in Figure 6.
The H-B model was employed to describe fluid rheological behaviors. The key parameters used in this calculation are given in Table 1; a complete list of wellbore geometry and operational parameters is provided in Table A1 in Appendix B.
The calculation results are presented in Figure 7. The absolute percentage error (APE) of BHP is 0.14%, while the standpipe pressure (SPP) exhibits a 2.46% deviation.
The model was subsequently applied to field data from a second well (referred to as Well #2), and the simulation results were validated against corresponding pressure measurements. Well #2 is a vertical well. The Newtonian rheology model was employed to describe fluid rheological behaviors. The logging data are presented in Figure 8, and the remaining model parameters are summarized in Table A2. Unless otherwise specified, all timestamps refer to 00:00:00 of the respective dates.
The calculation results of Well #2 are presented in Figure 9. The APE values were generally below 10% (Figure 9b). The mean absolute percentage error (MAPE) was 4.12%, and the R2 was 0.8444, indicating good agreement between the predicted and measured pressures.

3. Results Analysis

In this section, data from two actual wells (Well #1, Well #3) will be utilized to validate and analyze the correction performance of the model. The measurement noise covariance matrix R was set to 0.052, and the system noise covariance matrix Q was set to 0.0022. For details, refer to Appendix C. Both initial values of the friction correction factors set to 1.0.

3.1. Model Correction Performance Analysis

3.1.1. Well #1: Performance Evaluation in Different Sections of the Same Well

For the first case, the logging data from the third and fourth drilling phases of Well #1 are successively used. The H-B model was employed to describe fluid rheological behaviors. The logging data from the third drilling phase are presented in Figure 10. Other parameters used are identical to those shown in Figure 6 and Table A1.
The original logging data contains both drilling and non-drilling operations records, but the UKF correction only requires drilling operations data. Thus, the logging data were filtered by two criteria: (1) retaining records where well depth matches bit position; (2) excluding records where well depth and bit position are identical but no depth increase occurs. The filtered data are presented in Figure 11.
As shown in Figure 11b, substantial fluctuations are observed in the SPP. These fluctuations primarily result from electrical interference, mud pump strokes, and mechanical vibrations during drilling. However, the established model does not account for these factors, and the UKF assumes additive white Gaussian measurement noise rather than such high-frequency noise. Direct input of unfiltered data containing high-frequency noise into the UKF may lead to overfitting to the noise. This can ultimately obscure the dynamic responses induced by changes in key hydraulic properties of interest, as shown in Figure 12.
To meet the requirements for pressure stability and real-time performance, the SPP signal was processed using a Savitzky–Golay filter applied within a sliding time window. This approach allows for near-real-time data processing by continuously utilizing the most recent N w data points (window size, in this study, N w = 30) to smooth the current data point. The window advances as each new data point is acquired, discarding the oldest point and incorporating the latest one. The filter is then reapplied to this updated window to generate a smoothed value for the new central point. This method introduces a fixed, minimal latency equal to half the window length while effectively mitigating high-frequency noise, enabling stable, accurate real-time estimation. The processed results are shown in Figure 13.
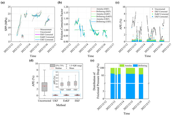
To improve efficiency, the last data point was sampled every N w data points (every 150 s) from the logging data. The computational analysis will employ the UKF, the EnKF, and the EKF, with a comparison of their results to evaluate the performance of the UKF. To balance efficiency and accuracy, the ensemble size N e for the EnKF is set to 100. The calculation results for the third drilling phase of Well #1 are presented in Figure 14.
Figure 14a indicates that the UKF achieves a better overall fit to the measurements than EnKF and EKF, with smaller fluctuations and deviations. This is quantitatively confirmed by a higher coefficient of determination (R2 = 0.9918), compared to EnKF (0.9856) and EKF (0.9837). Figure 14b shows the friction correction factors (drillstring and annulus). The annulus factors remain stable, while those in the drillstring vary with larger amplitudes and higher frequencies. Among drillstring results, the EnKF and EKF exhibit more pronounced fluctuations than the UKF. Figure 14c presents the APE over time. The APE magnitude decreases as: uncorrected > EKF > EnKF > UKF, all remaining below 5%. The corresponding MAPE values are UKF: 0.14%, EnKF: 0.18%, EKF: 0.2%. Throughout the timeline, APE for all three correction methods predominantly clusters within a narrow band, with occasional higher peaks. Figure 14d presents the distribution of APE. The UKF exhibits a lower median, a smaller interquartile range (IQR), and shorter whiskers. This consistent superiority indicates that the UKF achieves both higher accuracy and greater stability. The variation in the friction correction factor is more pronounced in the drillstring, as the frictional pressure drop constitutes a greater proportion of total pressure drop in the drillstring, as shown in Figure 14e. In most situations, the cross-sectional area inside the drillstring is smaller than that of the annulus, resulting in higher fluid flow velocity and consequently greater frictional pressure drop.
The absolute variation rates of the friction correction factor in the drillstring and annulus were calculated with the following equation:
| ( r C ) i | = | ( C ) i ( C ) i 1 | Δ t
where r C is the variation rate of the friction correction factor, s 1 ( r C ,   d r for drillstring, r C , a n for annulus); t is the interval between two data points, s (150 s in this case).
After | r C ,   d r | and | r C , a n | were calculated, they were converted into proportion form, as shown in Figure 15. This proportion explicitly indicates the relative emphasis placed by the UKF on each component during the correction process. A higher proportion for one component signifies a stronger corrective tendency of the UKF towards that part.
A comparison between the proportion of | r C | and the proportion of the frictional pressure drop reveals that both profiles exhibit similar characteristics, with the drillstring portion comparison serving as an example, as shown in Figure 16. This similarity suggests that the tendency of the UKF to adjust the friction correction factor is influenced by the relative contribution of the frictional pressure drop. In this case, as the drillstring contribution dominates the total frictional pressure drop, the UKF exhibits a stronger corrective effect on the friction correction factor in drillstring. This correction mechanism drives the evolution of the friction correction factors, which ultimately shape the trajectory of the proportion of | r C | , explaining the similarity in the profiles.
Validation and analysis of the friction correction factors’ applicability to different drilling phases were performed using the fourth drilling phase data of Well #1. The calculations were performed using three distinct approaches: the first involved no correction, relying solely on the established pressure model; the second employed the UKF for correction; and the third incorporated the average friction correction factors C ¯ (0.9564 for drillstring and 0.9986 for annulus) derived from the third drilling phase. The logging data from the fourth drilling phase were filtered using the same methodology as the third drilling phase, followed by smoothing of the SPP. The processed data are presented in Figure 17. Other parameters used for the fourth drilling phase are given in Table A3.
The results of the fourth drilling phase calculation are shown in Figure 18. As Figure 18a shows, the result of the SPP calculation indicates an increased accuracy compared to the third drilling phase results corrected by UKF with an R2 of 0.9989. Figure 18b shows that the friction correction factor in the drillstring exhibits a minor variation compared to that of the third drilling phase. Figure 18c,d show that the magnitude of APE decreases in the following order: uncorrected > C ¯ -corrected > UKF. The UKF demonstrates superior performance, with all APEs below 2%. The MAPE is 0.07% for UKF, 1.6% for C ¯ -corrected, and 3.5% for uncorrected. While less effective than UKF, the C ¯ -correction still enhances accuracy over uncorrected results. Figure 18e shows that the difference between the proportions of frictional pressure drop in the drillstring and the annulus decreases. This reduction can be responsible for the decreased variation range of the friction correction factor inside the drillstring (Figure 18b). As the proportion of drillstring frictional pressure drop decreases, the UKF shows less tendency to adjust the relative correction factor. Figure 18f shows that the proportion of | r C | and the proportion of the frictional pressure drop have similar characteristics on profile. These findings are consistent with the analysis results from the third drilling phase.

3.1.2. Well #3: Performance Evaluation in Identical Sections of Different Wells

To validate and analyze the friction correction factors’ applicability to the identical drilling phase across different wells, the data from the third drilling phase of Well #3 is used. Well #3 is an adjacent well to Well #1, exhibiting similar downhole conditions and geometry. The structure and trajectory of this well are presented in Figure 19.
The H-B model was employed to describe fluid rheological behaviors. The logging data from the third drilling phase of Well #3 were processed using the identical methodology as previously employed. The processed data are presented in Figure 20. Other parameters used for the third drilling phase of Well #3 are summarized in Table A4.
The average friction correction factors C ¯ from the third drilling phase of Well #1 were applied to the identical drilling phase of Well #3 without UKF correction. The results are compared with those obtained using UKF correction in Figure 21.
Figure 21a indicates that the correction performance of UKF demonstrates comparable effectiveness to the previous cases, with an R2 of 0.9978. Figure 21b demonstrates that the variation range of the friction correction factor inside the drillstring obtained in this calculation exceeds that of the fourth drilling phase in Well #1 and more closely approximates that of the third phase. Figure 21c indicates that the UKF provides the highest precision, exhibiting APEs all within 3% and a MAPE of 0.13%. The C ¯ -correction shows lower APEs than the uncorrected case at the initial stage of drilling. The performance of C ¯ -correction deteriorates as drilling progresses, resulting in increased errors, some of which surpass the uncorrected values. Figure 21d shows that, unlike the results from the fourth drilling phase of Well #1, the box plot of APEs obtained from the C ¯ -correction does not demonstrate clear superiority over the uncorrected results. Its upper whisker is higher, indicating a degradation in the correction performance and increased instability. The proportion of frictional pressure drop inside the drillstring presented in Figure 21e is greater than that of the fourth drilling phase in Well #1 and more closely aligns with the results from the third phase. Figure 21f shows that the proportion of | r C | and the proportion of the frictional pressure drop have similar characteristics on profile. Together with Figure 21b,e,f, these results reinforce the previous conclusion: the UKF exerts a stronger corrective effect on the friction correction factor corresponding to the side (drillstring or annulus) with a dominant share of the frictional pressure drop. This mechanism modifies the proportion of | r C | , resulting in the similarity in the profiles.

3.2. Sensitivity Analysis

To evaluate the influence of the frictional pressure drop proportion (drillstring vs. annulus) on the friction correction factors, error analysis was conducted by using synthetic pressure data. The data were generated by: (1) computing pressure via the established model; (2) adding Gaussian noise (standard deviation = 0.5 MPa) to simulate drilling fluctuations; (3) modifying the 1st drillstring OD to adjust pressure drop proportions. A total of 15 datasets were generated (Data #1–#5: the third drilling phase of Well #1; Data #6–#10: the fourth drilling phase of Well #1; Data #11–#15: the third drilling phase of Well #3). Their pressure profiles and corresponding drillstring pressure drop proportions are shown in Figure 22, with modified geometry parameters in Table 2.
The results of synthetic data calculation are shown in Figure 23. Figure 23a–c show the friction correction factors (drillstring and annulus), absolute errors and APEs of SPP calculations for: (a) third drilling phase of Well #1, (b) fourth drilling phase of Well #1, and (c) third drilling phase of Well #3, respectively. The correction factors exhibit significant fluctuations because the synthetic SPP contained added noise during generation and were not smoothed during the calculation process. The drillstring friction correction factor shows a larger variation amplitude and greater deviation from the initial value (1.0) compared to the annulus friction correction factor. This occurs because the drillstring frictional pressure drop remains dominant after modifying the well geometry. These findings are consistent with the preceding patterns summarized. All absolute errors remained below 0.6 M P a , while all APEs remained below 10%. The low APEs indicate that the model established maintains good applicability across a wider data range.
The absolute error and APE of the results are presented as box plots in Figure 24. For the identical well and drilling phase, the box plots of absolute and APE exhibit highly similar distributional characteristics, indicating excellent computational stability of the model.
To better validate and analyze the influence of the frictional pressure drop proportion on friction correction factors and model accuracy, the average drillstring friction factor, average annulus friction factor, mean absolute error (MAE), MAPE, and average drillstring frictional pressure drop proportion were calculated for Data #1 to Data #15. The corresponding relationship between the friction correction factors, errors, and the proportion of drillstring frictional pressure drop is shown in Figure 25. For the identical well and drilling phase, the MAE does not exhibit a significant correlation with the average drillstring frictional pressure drop proportion. In contrast, both the average drillstring friction correction factor and the MAPE increase as the average drillstring frictional pressure drop proportion rises, while the average annulus friction correction factor decreases with it. The average proportion of frictional pressure drop in the drillstring ranged from 67.68% to 95.5%. The corresponding MAE and MAPE ranged from 0.308 to 0.353 M P a and 1.10% to 2.15%, respectively. These results demonstrate that the error remained low and stable despite large variations in the pressure drop proportion and indicate that the model’s performance is robust over an extended operating range.

4. Limitation and Future Work

Limitation: the model is based on simplifying assumptions of single-phase and one-dimensional flow, and it was only validated for water-based drilling fluids. Furthermore, the analysis of the model’s generalizability and parameter sensitivity was not comprehensive.
Future directions: (1) extending the model to multiphase flow to account for gas influx and cuttings transport; (2) performing a more comprehensive validation of the model’s generalizability across a wider range of operational conditions; and (3) investigating the underlying relationships between the friction correction factors and other drilling parameters to inform the development of an optimized frictional pressure drop correlation.

5. Conclusions

(1)
A fusion model is developed by integrating real-time measurements with a mechanistic wellbore pressure prediction model using the UKF methodology. A friction correction factor is incorporated into the frictional pressure drop model to account for uncertainties and time-varying flow characteristics.
(2)
The model was validated under multiple field drilling. In all cases, the SPP prediction achieves high accuracy, with APEs consistently below 5% and MAPE below 1%. In comparative evaluations, the UKF-based approach outperformed both the EKF and EnKF, achieving a higher R2 value of 0.9918 and a lower MAPE of 0.14%, demonstrating superior accuracy and stability. These results underscore the model’s strong potential for real-time drilling operations, providing a reliable foundation for intelligent well control and automated pressure management systems.
(3)
The transferability of average correction factors is evaluated. The correction factors remain effective in improving prediction accuracy; however, the accuracy decreases as drilling progresses, and performance in adjacent wells is inferior to that within the same well. From an engineering perspective, correction factors from previous phases or nearby wells may serve as practical initial estimates, especially when real-time measurements are temporarily unavailable. For optimal accuracy, these factors should be recalibrated as soon as early-stage real-time data from the current well become available.
(4)
A sensitivity analysis is conducted to evaluate the influence of the frictional pressure drop proportion on model performance. As the drillstring frictional pressure drop proportion varied from 67.68% to 95.5%, the MAPE was confined to a narrow range of 1.10% to 2.15%. Although the results indicate a slight increase in error with the increasing proportion, the magnitude of this change in MAPE is remarkably small relative to the substantial variation in the proportion. These results demonstrate the model’s high accuracy and robustness across the vast majority of operating conditions.

Author Contributions

Methodology, S.H. and Y.L.; validation, S.H. and T.G.; investigation, Z.X. and Z.Y.; data curation, S.H.; writing—original draft preparation, S.H.; writing—review and editing, Z.X.; visualization, J.S. and H.G.; supervision, Z.X.; project administration, Z.X. All authors have read and agreed to the published version of the manuscript.

Funding

This research was funded by the National Natural Science Foundation of China (52374013, U24B2030, 52104009), and the Fundamental Research Funds for the Central Universities (3-7-8-2023-04).

Data Availability Statement

The original contributions presented in this study are included in the article. Further inquiries can be directed to the corresponding author.

Acknowledgments

The authors are grateful for the support of the National Natural Science Foundation of China (52374013, U24B2030, 52104009), and the Fundamental Research Funds for the Central Universities (3-7-8-2023-04).

Conflicts of Interest

The authors declare no conflict of interest.

Nomenclature

A cross-sectional area in the annulus, m 2
A 1 fitting parameter of temperature, dimensionless
A 2 fitting parameter of pressure, dimensionless
C friction correction factor solved by the UKF inversion algorithm, dimensionless
C ¯ average friction correction factor, dimensionless
c r dimensionless correlation coefficient, dimensionless
d i inner diameter of drillstring, m
d o outer diameter of drillstring m
D h hydraulic diameter, m
e drillstring eccentricity, dimensionless
f Fanning friction factor of the drilling fluid, dimensionless
f c critical Fanning friction factor, dimensionless
f e Fanning friction factor that accounts for the drillstring eccentricity, dimensionless
f r Fanning friction factor that accounts for the drillstring rotation, dimensionless
f e , r Fanning friction factor that accounts for the drillstring eccentricity and rotation, dimensionless
F f frictional pressure drop per unit length of the drilling fluid, P a / m
g gravitational acceleration, m / s 2
H functional relationship between Z k and x k
H a n functional relationship between Z a n , k and x a n , k
H d r functional relationship between Z d r , k and x d r , k
K consistency index, P a · s n
K t j friction parameter based on Reynolds number, dimensionless
L wellbore length, m
n flow behavior index, dimensionless
N grid number, dimensionless
N e ensemble size for EnKF, dimensionless
N g generalized flow behavior index, dimensionless
N x node number, dimensionless
N w window size for sliding time window method, dimensionless
P pressure of the drilling fluid, P a
P 0 surface pressure, P a
Q system noise covariance matrix, dimensionless
r C variation rates of the friction correction factor, s 1
R measurement noise covariance matrix, P a 2
R s ratio of pressure gradient in skew or eccentric geometries to the one in concentric annulus, dimensionless
R e Reynolds number, dimensionless
R e c critical Reynolds number, dimensionless
R e t j Reynolds number of the drillstring joint, dimensionless
S P P standpipe pressure, P a
T temperature of the drilling fluid, ° C
T 0 surface temperature, ° C
u measurement noise, P a
v velocity of the drilling fluid, m / s
w system noise, dimensionless
W H P wellhead pressure, P a
x state variable, dimensionless
z well depth, m
Z measurement variable, P a
P f , t j additional pressure drop induced by the drillstring joint per unit length, P a / m
Greek letters
ρ density of the drilling fluid, k g / m 3
ρ 0 density of the drilling fluid at the surface, k g / m 3
γ ˙ rate of shear, s 1
μ viscosity coefficient, P a · s
τ shear stress, P a
τ y yield stress, P a
ω drillstring rotation speed, r e v / m i n
ω d dimensionless rotation speed, dimensionless
Abbreviations
AIartificial intelligence
AKFAdaptive Kalman Filter
APEabsolute percentage error
BHPbottomhole pressure
EKFExtended Kalman Filter
EnKFEnsemble Kalman Filter
H-BHerschel–Bulkley
IDinner diameter
IQRinterquartile range
HTHPhigh temperature and high pressure
KFKalman Filter
MAEmean absolute error
MAPEmean absolute percentage error
ODouter diameter
R2coefficient of determination
RKFRobust Kalman Filter
SPPstandpipe pressure
TVDtrue vertical depth
UBDunderbalanced drilling
UKFUnscented Kalman Filter
WHPwellhead pressure
Subscripts
a n annulus
d r drillstring
k time of k
l a m laminar flow
t u r turbulent flow
t r a n s transitional flow

Appendix A

Pseudocode for the UKF implementation includes the following:
Figure A1. Pseudocode for the UKF implementation.
Figure A1. Pseudocode for the UKF implementation.
Applsci 15 09911 g0a1

Appendix B

Detailed wellbore geometry and operational parameters include the following:
Table A1. Detailed wellbore geometry and operational parameters in the third drilling phase of Well #1.
Table A1. Detailed wellbore geometry and operational parameters in the third drilling phase of Well #1.
ParameterValueParameterValue
Eccentricity0.3Length of 2nd drillstring ( m ) 130.13
Generalized flow behavior index0.8Length of bit ( m ) 0.3
Rotation speed ( r e v / m i n ) 120Length of casing ( m ) 1966.7
Total nozzle area ( m m 2 ) 1781.28Length of drill collar ( m ) 28.38
ID of 1st drillstring ( m m ) 121.36OD of 1st drillstring ( m m ) 139.7
ID of 1st drillstring joint ( m m ) 101.6OD of 1st drillstring joint ( m m ) 177.8
ID of 2nd drillstring ( m m ) 92.08OD of 2nd drillstring ( m m ) 139.7
ID of 2nd drillstring joint ( m m ) 92.08OD of 2nd drillstring joint ( m m ) 184.15
ID of casing ( m m ) 339.73OD of bit ( m m ) 311.15
ID of drill collar ( m m ) 121.36OD of drill collar ( m m ) 203.2
Length of 1st drillstring ( m ) 4651.19Wellhead pressure ( M P a ) 0
Table A2. Detailed wellbore geometry parameters of Well #2.
Table A2. Detailed wellbore geometry parameters of Well #2.
ParameterValueParameterValue
Total nozzle area ( m m 2 ) 565.49Length of bit ( m ) 0.3
ID of 1st drillstring ( m m ) 92.46Length of 1st casing ( m ) 1492.08
ID of 1st drillstring joint ( m m ) 61.9Length of 2nd casing ( m ) 1401.47
ID of 2nd drillstring ( m m ) 70.2Length of 3rd casing ( m ) 3525.79
ID of 2nd drillstring joint ( m m ) 61.9Length of 4th casing ( m ) 795.66
ID of 1st casing ( m m ) 193.7OD of 1st drillstring ( m m ) 114.3
ID of 2nd casing ( m m ) 196.24OD of 1st drillstring joint ( m m ) 139.7
ID of 3rd casing ( m m ) 193.7OD of 2nd drillstring ( m m )88.9
ID of 4th casing ( m m ) 147.12OD of 2nd drillstring joint ( m m ) 127
Length of 1st drillstring ( m ) 3927.01OD of bit ( m m ) 143.9
Length of 2nd drillstring ( m ) 3893Wellhead pressure ( M P a ) 0
Table A3. Detailed wellbore geometry and operational parameters in the fourth drilling phase of Well #1.
Table A3. Detailed wellbore geometry and operational parameters in the fourth drilling phase of Well #1.
ParameterValueParameterValue
Eccentricity0.3Length of 2nd drillstring ( m ) 122.46
Generalized flow behavior index0.8Length of bit ( m ) 0.3
Rotation speed ( r e v / m i n ) 120Length of casing ( m ) 3902.38
Total nozzle area ( m m 2 ) 1372.88Length of drill collar ( m ) 55.72
ID of 1st drillstring ( m m ) 121.36OD of 1st drillstring ( m m ) 139.7
ID of 1st drillstring joint ( m m ) 101.6OD of 1st drillstring joint ( m m ) 177.8
ID of 2nd drillstring ( m m ) 76.2OD of 2nd drillstring ( m m ) 127
ID of 2nd drillstring joint ( m m ) 76.2OD of 2nd drillstring joint ( m m ) 165.1
ID of casing ( m m ) 279.4OD of bit ( m m ) 215.9
ID of drill collar ( m m ) 76.2OD of drill collar ( m m ) 171.45
Length of 1st drillstring ( m ) 4631.52Wellhead pressure ( M P a ) 0
Table A4. Detailed wellbore geometry and operational parameters in the third drilling phase of Well #3.
Table A4. Detailed wellbore geometry and operational parameters in the third drilling phase of Well #3.
ParameterValueParameterValue
Eccentricity0.3Length of 2nd drillstring ( m ) 130.13
Generalized flow behavior index0.75Length of bit ( m ) 0.3
Rotation speed ( r e v / m i n ) 120Length of casing ( m ) 1949
Total nozzle area ( m m 2 ) 1171.82Length of drill collar ( m ) 85.45
ID of 1st drillstring ( m m ) 121.36OD of 1st drillstring ( m m ) 139.7
ID of 1st drillstring joint ( m m ) 101.6OD of 1st drillstring joint ( m m ) 177.8
ID of 2nd drillstring ( m m ) 92.08OD of 2nd drillstring ( m m ) 139.7
ID of 2nd drillstring joint ( m m ) 92.08OD of 2nd drillstring joint ( m m ) 184.15
ID of casing ( m m ) 339.73OD of bit ( m m ) 311.15
ID of drill collar ( m m ) 121.36OD of drill collar ( m m ) 203.2
Length of 1st drillstring ( m ) 3602.28Wellhead pressure (MPa)0

Appendix C

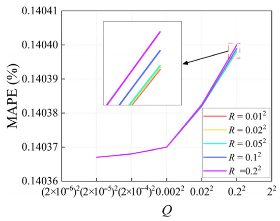
The measurement noise covariance matrix R was set to 0.052 based on the accuracy of the field instruments. The system noise covariance matrix Q was set to 0.022 based on the 2.46% discrepancy observed between the proposed model and the WellPlan benchmark (Section 2.3). A sensitivity analysis was conducted to evaluate the sensitivity of filter performance to R and Q , and determine their optimal values. This analysis was performed using the logging data from the third drilling phase of Well #1 (as detailed in Section 3.1). The results (Figure A2) indicate that the MAPE of SPP was insensitive to the variation of R . For Q , the MAPE plateaued when Q was reduced below 0.0022, suggesting a point of diminishing returns on performance improvement. Therefore, 0.0022 was selected as the optimal value of Q to ensure robust estimation performance.
Figure A2. Sensitivity analysis result of Q and R on MAPE; MAPE plateaued when Q was reduced below 0.0022.
Figure A2. Sensitivity analysis result of Q and R on MAPE; MAPE plateaued when Q was reduced below 0.0022.
Applsci 15 09911 g0a2

References

  1. Guo, X.S.; Hu, D.F.; Li, Y.P.; Duan, J.B.; Zhang, X.F.; Fan, X.J.; Duan, H.; Li, W.C. Theoretical progress and key technologies of onshore ultra-deep oil/gas exploration. Engineering 2019, 5, 458–470. [Google Scholar] [CrossRef]
  2. Ashena, R.; Ghorbani, F.; Mubashir, M. The root cause analysis of an oilwell blowout and explosion in the Middle East. J. Pet. Sci. Eng. 2021, 207, 109134. [Google Scholar] [CrossRef]
  3. Gjerstad, K. Water density–pressure–temperature modeling for drilling fluids in real-time HPHT applications. Geoenergy Sci. Eng. 2025, 244, 213420. [Google Scholar] [CrossRef]
  4. Osarogiagbon, A.; Muojeke, S.; Venkatesan, R.; Khan, F.; Gillard, P. A new methodology for kick detection during petroleum drilling using long short-term memory recurrent neural network. Process Saf. Environ. Prot. 2020, 142, 126–137. [Google Scholar] [CrossRef]
  5. Yin, Q.S.; Yang, J.; Tyagi, M.; Zhou, X.; Hou, X.X.; Cao, B.H. Field data analysis and risk assessment of gas kick during industrial deepwater drilling process based on supervised learning algorithm. Process Saf. Environ. Prot. 2021, 146, 312–328. [Google Scholar] [CrossRef]
  6. Yin, Q.S.; Yang, J.; Tyagi, M.; Zhou, X.; Wang, N.; Tong, G.; Xie, R.J.; Liu, H.X.; Cao, B.H. Downhole quantitative evaluation of gas kick during deepwater drilling with deep learning using pilot-scale rig data. J. Pet. Sci. Eng. 2022, 208, 109136. [Google Scholar] [CrossRef]
  7. Kalman, R.E. A new approach to linear filtering and prediction problems. J. Fluids Eng. 1960, 82, 35–45. [Google Scholar] [CrossRef]
  8. Schmidt, S.F. Application of state-space methods to navigation problems. Adv. Control Syst. 1966, 3, 293–340. [Google Scholar]
  9. Mehra, R. On the identification of variances and adaptive Kalman filtering. IEEE Trans. Autom. Control 1970, 15, 175–184. [Google Scholar] [CrossRef]
  10. Xie, L.H.; Soh, Y.C.; De Souza, C.D. Robust Kalman filtering for uncertain discrete-time systems. IEEE Trans. Autom. Control 1994, 39, 1310–1314. [Google Scholar]
  11. Evensen, G. Sequential data assimilation with a nonlinear quasi-geostrophic model using Monte Carlo methods to forecast error statistics. J. Geophys. Res. Ocean. 1994, 99, 10143–10162. [Google Scholar] [CrossRef]
  12. Julier, S.J.; Uhlmann, J.K. New extension of the Kalman filter to nonlinear systems. In Proceedings of the Signal Processing, Sensor Fusion, and Target Recognition VI, Orlando, FL, USA, 21–25 April 1997; pp. 182–193. [Google Scholar]
  13. Yang, B.Y.; Yang, E.F.; Yu, L.J.; Niu, C. Adaptive extended Kalman filter-based fusion approach for high-precision UAV positioning in extremely confined environments. IEEE/ASME Trans. Mechatron. 2023, 28, 543–554. [Google Scholar] [CrossRef]
  14. Elsisi, M.; Altius, M.; Su, S.F.; Su, C.L. Robust Kalman filter for position estimation of automated guided vehicles under cyberattacks. IEEE Trans. Instrum. Meas. 2023, 72, 1–12. [Google Scholar] [CrossRef]
  15. Wang, Q.Y.; Liu, K.Y.; Cao, Z.Y. System noise variance matrix adaptive Kalman filter method for AUV INS/DVL navigation system. Ocean Eng. 2023, 267, 113269. [Google Scholar] [CrossRef]
  16. Hossain, M.; Haque, M.E.; Arif, M.T. Kalman filtering techniques for the online model parameters and state of charge estimation of the Li-ion batteries: A comparative analysis. J. Energy Storage 2022, 51, 104174. [Google Scholar] [CrossRef]
  17. Song, C.Y.; Huang, Z.; Wu, Y.; Li, S.; Chen, Q. An innovation-based adaptive cubature Kalman filtering for GPS/SINS integrated navigation. IEEE Sens. J. 2025, 25, 845–857. [Google Scholar] [CrossRef]
  18. He, M.; Zhang, Y.H.; Xu, M.B.; Li, j.; Song, J.J. Real-time interpretation model of reservoir characteristics while underbalanced drilling based on UKF. Geofluids 2020, 2020, 8967961. [Google Scholar] [CrossRef]
  19. Jiang, H.L.; Liu, G.H.; Li, J.; Zhang, T.; Wang, C.; Ren, K. Model based fault diagnosis for drillstring washout using iterated unscented Kalman filter. J. Pet. Sci. Eng. 2019, 180, 246–256. [Google Scholar] [CrossRef]
  20. Cao, J.; Ehsan, C.S.; Wiktorski, T.; Sui, D. Well path design using Q-learning algorithms and Bezier curves with obstacles avoidance. In Proceedings of the International Conference on Offshore Mechanics and Arctic Engineering, Hamburg, Germany, 6–10 June 2022. [Google Scholar]
  21. Lorentzen, R.J.; Fjelde, K.K.; Frøyen, J.; Lage, A.C.V.M.; Nævdal, G.; Vefring, E.H. Underbalanced and low-head drilling operations: Real time interpretation of measured data and operational support. In Proceedings of the SPE Annual Technical Conference and Exhibition, New Orleans, LA, USA, 1–3 October 2001; p. 71384. [Google Scholar]
  22. Lorentzen, R.J.; Nævdal, G.; Lage, A.C.V.M. Tuning of parameters in a two-phase flow model using an ensemble Kalman filter. Int. J. Multiph. Flow 2003, 29, 1283–1309. [Google Scholar] [CrossRef]
  23. Nævdal, G.; Johnsen, L.M.; Aanonsen, S.I.; Vefring, E.H. Reservoir monitoring and continuous model updating using ensemble Kalman filter. SPE J. 2005, 10, 66–74. [Google Scholar] [CrossRef]
  24. Vefring, E.H.; Nygaard, G.; Lorentzen, R.J.; Nævdal, G.; Fjelde, K.K. Reservoir characterization during underbalanced drilling (UBD): Methodology and active tests. SPE J. 2006, 11, 181–192. [Google Scholar] [CrossRef]
  25. Wang, C.; Liu, G.H.; Yang, Z.R.; Li, J.; Zhang, T.; Jiang, H.L.; He, M.; Luo, M.; Li, W.T. Downhole gas-kick transient simulation and detection with downhole dual-measurement points in water-based drilling fluid. J. Nat. Gas Sci. Eng. 2020, 84, 103678. [Google Scholar] [CrossRef]
  26. He, M.; Chen, X.; Xu, M.B.; Chen, H. Inversion-based model for quantitative interpretation by a dual-measurement points in managed pressure drilling. Process Saf. Environ. Prot. 2022, 165, 969–976. [Google Scholar] [CrossRef]
  27. Sorelle, R.R.; Jardiolin, R.A.; Buckley, P.; Barrios, J.R. Mathematical field model predicts downhole density changes in static drilling fluids. In Proceedings of the SPE Annual Technical Conference and Exhibition, San Antonio, TX, USA, 26–29 September 1982. [Google Scholar]
  28. Millheim, K.K.; Tulga, S.S. Simulation of the wellbore hydraulics while drilling, including the effects of fluid influxes and losses and pipe washouts. In Proceedings of the SPE Annual Technical Conference and Exhibition, San Antonio, TX, USA, 26–29 September 1982. [Google Scholar]
  29. Bourgoyne, A.T.; Millheim, K.K.; Chenevert, M.E.; Young, F.S. Applied Drilling Engineering, 1st ed.; Society of Petroleum Engineers: Richardson, TX, USA, 1986. [Google Scholar]
  30. Haciislamoglu, M.; Cartalos, U. Practical pressure loss predictions in realistic annular geometries. In Proceedings of the SPE Annual Technical Conference and Exhibition, London, UK, 25–28 September 1994; p. 28304. [Google Scholar]
  31. Erge, O.; Ozbayoglu, E.M.; Miska, S.Z.; Yu, M.J.; Takach, N.; Saasen, A.; May, R. The effects of drillstring-eccentricity, -rotation, and-buckling configurations on annular frictional pressure losses while circulating yield-power-law fluids. SPE Drill. Complet. 2015, 30, 257–271. [Google Scholar] [CrossRef]
Figure 1. Overall research framework of this study.
Figure 1. Overall research framework of this study.
Applsci 15 09911 g001
Figure 2. Discretized schematic of wellbore fluid flow.
Figure 2. Discretized schematic of wellbore fluid flow.
Applsci 15 09911 g002
Figure 3. Iterative procedure for calculating the wellbore pressure at each grid point.
Figure 3. Iterative procedure for calculating the wellbore pressure at each grid point.
Applsci 15 09911 g003
Figure 4. Relationship between state variables and measurement variables.
Figure 4. Relationship between state variables and measurement variables.
Applsci 15 09911 g004
Figure 5. Flow chart of the friction correction factor calculation by UKF.
Figure 5. Flow chart of the friction correction factor calculation by UKF.
Applsci 15 09911 g005
Figure 6. Wellbore structure and trajectory of Well #1: (a) Wellbore structure; (b) Well trajectory.
Figure 6. Wellbore structure and trajectory of Well #1: (a) Wellbore structure; (b) Well trajectory.
Applsci 15 09911 g006
Figure 7. Comparison between calculated wellbore pressure from the proposed model and WellPlan; the deviation for SPP does not exceed 2.5%.
Figure 7. Comparison between calculated wellbore pressure from the proposed model and WellPlan; the deviation for SPP does not exceed 2.5%.
Applsci 15 09911 g007
Figure 8. Logging data from Well #2: (a) Well depth; (b) SPP; (c) Flow rate; (d) Drilling fluid density; (e) Drilling fluid viscosity.
Figure 8. Logging data from Well #2: (a) Well depth; (b) SPP; (c) Flow rate; (d) Drilling fluid density; (e) Drilling fluid viscosity.
Applsci 15 09911 g008
Figure 9. The calculation results for Well #2: (a) Comparison between SPP measurement and calculated SPP; (b) APE vs. time.
Figure 9. The calculation results for Well #2: (a) Comparison between SPP measurement and calculated SPP; (b) APE vs. time.
Applsci 15 09911 g009
Figure 10. Logging data from the third drilling phase: (a) Well depth and bit position; (b) SPP; (c) Flow rate; (d) Drilling fluid density; (e) Consistency index; (f) Flow behavior index.
Figure 10. Logging data from the third drilling phase: (a) Well depth and bit position; (b) SPP; (c) Flow rate; (d) Drilling fluid density; (e) Consistency index; (f) Flow behavior index.
Applsci 15 09911 g010
Figure 11. Filtered logging data from the third drilling phase: (a) Filtered depth; (b) Filtered SPP; (c) Filtered flow rate; (d) Filtered drilling fluid density; (e) Filtered consistency index; (f) Filtered flow behavior index.
Figure 11. Filtered logging data from the third drilling phase: (a) Filtered depth; (b) Filtered SPP; (c) Filtered flow rate; (d) Filtered drilling fluid density; (e) Filtered consistency index; (f) Filtered flow behavior index.
Applsci 15 09911 g011
Figure 12. Result of Unsmoothed SPP: (a) SPP correction; (b) Friction correction factor; (c) APE vs. time.
Figure 12. Result of Unsmoothed SPP: (a) SPP correction; (b) Friction correction factor; (c) APE vs. time.
Applsci 15 09911 g012
Figure 13. Smoothed SPP.
Figure 13. Smoothed SPP.
Applsci 15 09911 g013
Figure 14. The UKF correction calculation results for the third drilling phase: (a) SPP correction; (b) Friction correction factor; (c) APE vs. time; (d) Distribution of APE for Uncorrected, UKF, and EnKF; (e) Distribution of frictional pressure drop (uncorrected).
Figure 14. The UKF correction calculation results for the third drilling phase: (a) SPP correction; (b) Friction correction factor; (c) APE vs. time; (d) Distribution of APE for Uncorrected, UKF, and EnKF; (e) Distribution of frictional pressure drop (uncorrected).
Applsci 15 09911 g014
Figure 15. Comparative proportion of | r C , d r | and | r C , a n | ; | r C , d r | accounts for the majority share.
Figure 15. Comparative proportion of | r C , d r | and | r C , a n | ; | r C , d r | accounts for the majority share.
Applsci 15 09911 g015
Figure 16. The comparison between the proportion of drillstring frictional pressure drop and the proportion of | r C , d r | ; two curves exhibit similar characteristics.
Figure 16. The comparison between the proportion of drillstring frictional pressure drop and the proportion of | r C , d r | ; two curves exhibit similar characteristics.
Applsci 15 09911 g016
Figure 17. The processed data of the fourth drilling phase: (a) Depth; (b) SPP; (c) Flow rate; (d) Drilling fluid density; (e) Consistency index; (f) Flow behavior index.
Figure 17. The processed data of the fourth drilling phase: (a) Depth; (b) SPP; (c) Flow rate; (d) Drilling fluid density; (e) Consistency index; (f) Flow behavior index.
Applsci 15 09911 g017
Figure 18. The calculation results for the fourth drilling phase: (a) SPP correction; (b) Friction correction factor; (c) APE vs. time; (d) Distribution of APE; (e) Distribution of frictional pressure drop (uncorrected); (f) The comparison between the proportion of drillstring frictional pressure drop and the proportion of | r C , d r | .
Figure 18. The calculation results for the fourth drilling phase: (a) SPP correction; (b) Friction correction factor; (c) APE vs. time; (d) Distribution of APE; (e) Distribution of frictional pressure drop (uncorrected); (f) The comparison between the proportion of drillstring frictional pressure drop and the proportion of | r C , d r | .
Applsci 15 09911 g018
Figure 19. Wellbore structure and trajectory of Well #3: (a) Wellbore structure; (b) Well trajectory.
Figure 19. Wellbore structure and trajectory of Well #3: (a) Wellbore structure; (b) Well trajectory.
Applsci 15 09911 g019
Figure 20. The processed data from the third drilling phase of Well #3: (a) Depth; (b) SPP; (c) Flow rate; (d) Drilling fluid density; (e) Consistency index; (f) Flow behavior index.
Figure 20. The processed data from the third drilling phase of Well #3: (a) Depth; (b) SPP; (c) Flow rate; (d) Drilling fluid density; (e) Consistency index; (f) Flow behavior index.
Applsci 15 09911 g020
Figure 21. The calculation results for the third drilling phase of Well #3: (a) SPP correction; (b) Friction correction factor; (c) APE vs. time; (d) Distribution of APE; (e) Distribution of frictional pressure drop (uncorrected); (f) The comparison between the proportion of drillstring frictional pressure drop and the proportion of | r C , d r | .
Figure 21. The calculation results for the third drilling phase of Well #3: (a) SPP correction; (b) Friction correction factor; (c) APE vs. time; (d) Distribution of APE; (e) Distribution of frictional pressure drop (uncorrected); (f) The comparison between the proportion of drillstring frictional pressure drop and the proportion of | r C , d r | .
Applsci 15 09911 g021
Figure 22. The synthetic pressure data and corresponding proportions of frictional pressure drop in drillstring: (a) Synthetic SPP of Data #1 to Data #5; (b) Pressure drop proportions of Data #1 to Data #5; (c) Synthetic SPP of Data #6 to Data #10; (d) Pressure drop proportions of Data #6 to Data #10; (e) Synthetic SPP of Data #11 to Data #15; (f) Pressure drop proportions of Data #11 to Data #15.
Figure 22. The synthetic pressure data and corresponding proportions of frictional pressure drop in drillstring: (a) Synthetic SPP of Data #1 to Data #5; (b) Pressure drop proportions of Data #1 to Data #5; (c) Synthetic SPP of Data #6 to Data #10; (d) Pressure drop proportions of Data #6 to Data #10; (e) Synthetic SPP of Data #11 to Data #15; (f) Pressure drop proportions of Data #11 to Data #15.
Applsci 15 09911 g022
Figure 23. The results of synthetic data calculation: (a) Friction correction factors, absolute errors, and APEs of Data #1 to Data #5; (b) Friction correction factors, absolute errors, and APEs of Data #6 to Data #10; (c) Friction correction factors, absolute errors, and APEs of Data #11 to Data #15.
Figure 23. The results of synthetic data calculation: (a) Friction correction factors, absolute errors, and APEs of Data #1 to Data #5; (b) Friction correction factors, absolute errors, and APEs of Data #6 to Data #10; (c) Friction correction factors, absolute errors, and APEs of Data #11 to Data #15.
Applsci 15 09911 g023
Figure 24. The distribution of absolute error and APE: (a) Data #1 to D #5; (b) Data #6 to Data #10; (c) Data #11 to Data #15.
Figure 24. The distribution of absolute error and APE: (a) Data #1 to D #5; (b) Data #6 to Data #10; (c) Data #11 to Data #15.
Applsci 15 09911 g024
Figure 25. The corresponding relationship between the average friction correction factors, errors, and the average drillstring frictional pressure drop proportion: (a) Data #1 to D #5; (b) Data #6 to Data #10; (c) Data #11 to Data #15.
Figure 25. The corresponding relationship between the average friction correction factors, errors, and the average drillstring frictional pressure drop proportion: (a) Data #1 to D #5; (b) Data #6 to Data #10; (c) Data #11 to Data #15.
Applsci 15 09911 g025
Table 1. The key parameters of Well #1 for model validation.
Table 1. The key parameters of Well #1 for model validation.
ParameterValueParameterValue
Drilling fluid density ( k g / m 3 ) 1.47Consistency index ( P a · s n ) 0.52
Flow rate ( m 3 / m i n ) 2Flow behavior index0.75
Table 2. Modified parameters to generate synthetic data.
Table 2. Modified parameters to generate synthetic data.
Drilling PhaseDataOD of 1st Drillstring ( m m )
Third drilling phase of
Well #1
Data #1~#5165.1, 190.5, 215.9, 241.3, 254
Fourth drilling phase of
Well #1
Data #6~#10146.05, 152.4, 158.75, 165.1, 171.45
Third drilling phase of
Well #3
Data #11~#15165.1, 190.5, 215.9, 241.3, 254
Disclaimer/Publisher’s Note: The statements, opinions and data contained in all publications are solely those of the individual author(s) and contributor(s) and not of MDPI and/or the editor(s). MDPI and/or the editor(s) disclaim responsibility for any injury to people or property resulting from any ideas, methods, instructions or products referred to in the content.

Share and Cite

MDPI and ACS Style

Huang, S.; Xu, Z.; Li, Y.; Gou, T.; Yuan, Z.; Shi, J.; Gao, H. Real-Time Model–Data Fusion for Accurate Wellbore Pressure Prediction in HTHP Wells. Appl. Sci. 2025, 15, 9911. https://doi.org/10.3390/app15189911

AMA Style

Huang S, Xu Z, Li Y, Gou T, Yuan Z, Shi J, Gao H. Real-Time Model–Data Fusion for Accurate Wellbore Pressure Prediction in HTHP Wells. Applied Sciences. 2025; 15(18):9911. https://doi.org/10.3390/app15189911

Chicago/Turabian Style

Huang, Shaozhe, Zhengming Xu, Yachao Li, Taotao Gou, Ziqing Yuan, Jinan Shi, and Honggeng Gao. 2025. "Real-Time Model–Data Fusion for Accurate Wellbore Pressure Prediction in HTHP Wells" Applied Sciences 15, no. 18: 9911. https://doi.org/10.3390/app15189911

APA Style

Huang, S., Xu, Z., Li, Y., Gou, T., Yuan, Z., Shi, J., & Gao, H. (2025). Real-Time Model–Data Fusion for Accurate Wellbore Pressure Prediction in HTHP Wells. Applied Sciences, 15(18), 9911. https://doi.org/10.3390/app15189911

Note that from the first issue of 2016, this journal uses article numbers instead of page numbers. See further details here.

Article Metrics

Back to TopTop