Direction-of-Arrival Estimation of Multiple Linear Frequency Modulation Signals Based on Quadratic Time–Frequency Distributions and the Hough Transform
Abstract
1. Introduction
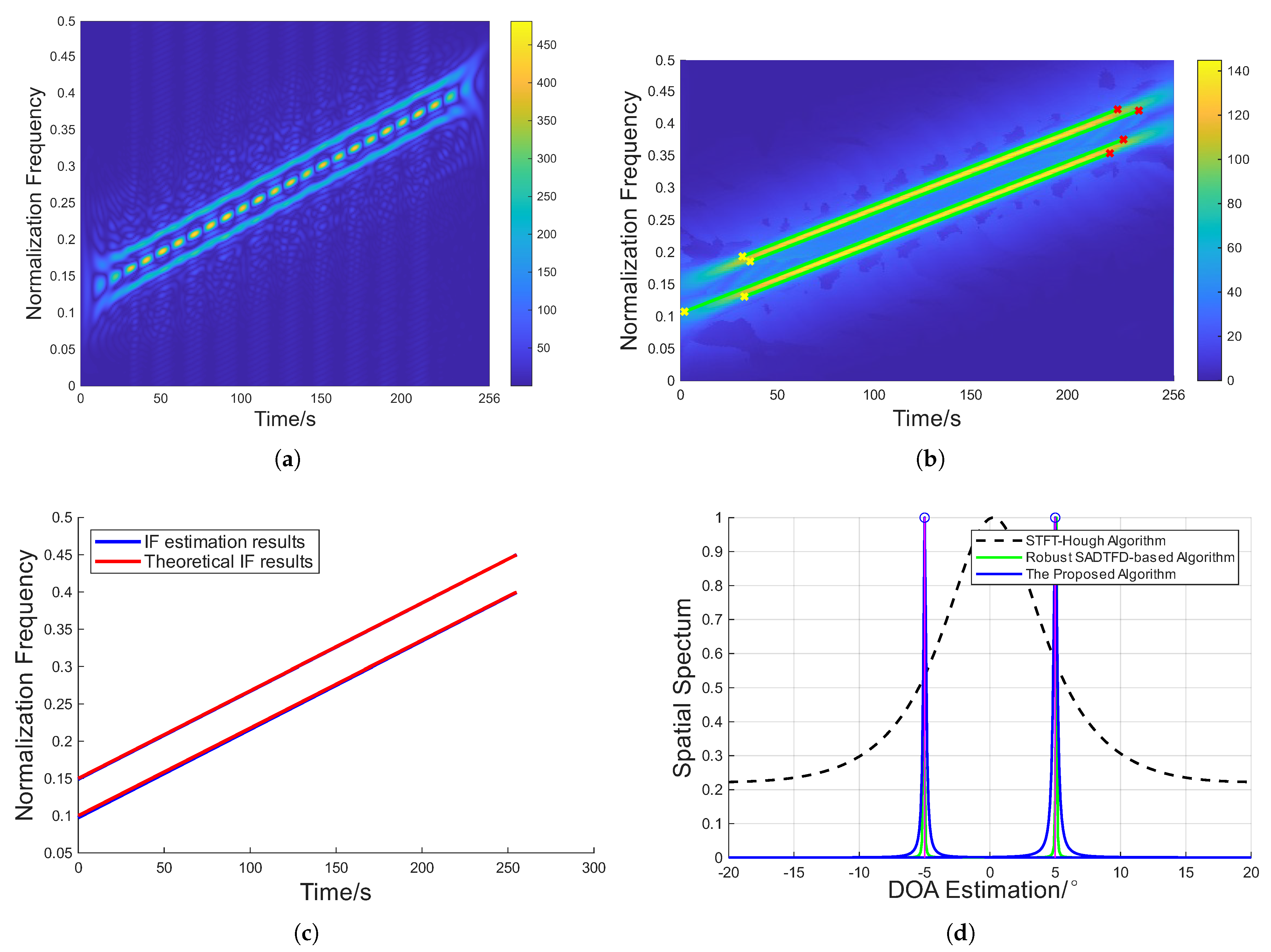
- The proposed algorithm employs the QTFD algorithm to perform time–frequency analysis on LFM signals and construct the STFD matrix. Compared with linear time–frequency transform algorithms, it enhances the time–frequency resolution, enabling effective separation of multiple LFM signals with parallel and closely spaced IF trajectories for subsequent processing. This expands the application scenarios of STFD matrix-based DOA estimation algorithms.
- The proposed algorithm performs both spatial smoothing and directional smoothing on the STFD matrix to further eliminate the influence of cross-terms. Meanwhile, it employs the Hough transform for IF estimation. Compared with the method of selecting points after filtering by setting an energy threshold, this approach further filters out the time–frequency points that do not lie on the IF trajectories, thereby improving the accuracy of the DOA estimation algorithm in low-SNR environments.
- The proposed algorithm performs time–frequency filtering on each signal source individually based on the results of IF estimation and obtains DOA estimation results by constructing a spatial spectrum using the MUSIC algorithm. Compared with the classical MUSIC algorithm, the proposed algorithm can support underdetermined conditions; that is, it does not require the number of signal sources to be less than the number of array elements.
2. Signal Model
3. Proposed Algorithm
3.1. Time–Frequency Analysis and STFD Matrix Construction
3.2. Spatial and Directional Smoothing
3.3. IF Estimation
3.4. Time–Frequency Filtering
3.5. DOA Estimation Using MUSIC
4. Experiments and Comparisons
4.1. Two Sources
4.2. Three Sources
4.3. Computational Complexity
5. Conclusions
Author Contributions
Funding
Data Availability Statement
Conflicts of Interest
References
- Joshi, S.K.; Baumgartner, S.V.; da Silva, A.B.C.; Krieger, G. Direction-of-Arrival Angle and Position Estimation for Extended Targets Using Multichannel Airborne Radar Data. IEEE Geosci. Remote Sens. Lett. 2022, 19, 4022705. [Google Scholar] [CrossRef]
- Sümen, G.; Kurt, G.K.; Görçin, A. A Novel LFM Waveform for Terahertz-Band Joint Radar and Communications over Inter-Satellite Links. In Proceedings of the GLOBECOM 2022—2022 IEEE Global Communications Conference, Rio de Janeiro, Brazil, 4–8 December 2022; pp. 6439–6444. [Google Scholar] [CrossRef]
- Komeylian, S.; Mihovska, A.D.; Sarkar, M.; Paolini, C. A FFNN-Based System for the DoA Estimation in 6G Massive Wireless Communications: Analysis and Evaluation. In Proceedings of the 2024 IEEE Wireless Communications and Networking Conference (WCNC), Dubai, United Arab Emirates, 21–24 April 2024; pp. 1–6. [Google Scholar] [CrossRef]
- Latif, M.; Sanei, S.; Chambers, J.; Shoker, L. Localization of abnormal EEG sources using blind source separation partially constrained by the locations of known sources. IEEE Signal Process. Lett. 2006, 13, 117–120. [Google Scholar] [CrossRef]
- Hachad, L.; Mrabti, F.; Ghennioui, H.; Zouak, M. A Time Frequency Tensor Framework for DOA Estimation: Application to MIMO Systems. In Proceedings of the 2019 International Conference on Wireless Networks and Mobile Communications (WINCOM), Fez, Morocco, 29 October–1 November 2019; pp. 1–6. [Google Scholar] [CrossRef]
- Jia, W.; Cao, Y.; Zhang, S.; Wang, W.Q. Detecting High-Speed Maneuvering Targets by Exploiting Range-Doppler Relationship for LFM Radar. IEEE Trans. Veh. Technol. 2021, 70, 2209–2218. [Google Scholar] [CrossRef]
- Mulinde, R.; Kaushik, M.; Dissanayake, D.W.; Attygalle, M.; Chan, T.; Ho, S.W.; Aziz, S.M. DOA estimation of wideband LFM RADAR signals. In Proceedings of the 2019 International Radar Conference (RADAR), Toulon, France, 23–27 September 2019; pp. 1–6. [Google Scholar] [CrossRef]
- Mercuri, M.; Lorato, I.R.; Liu, Y.H.; Wieringa, F.; Hoof, C.V.; Torfs, T. Vital-sign monitoring and spatial tracking of multiple people using a contactless radar-based sensor. Nat. Electron. 2019, 2, 252–262. [Google Scholar] [CrossRef]
- Gilles Yowel, M.M.; Oh, D.H.; Kim, H.J.; Jeong, B.J.; Han, J.H. SNR Improvement for Heart Rate Estimation Using mmWave 79 GHz FMCW MIMO Radar. In Proceedings of the 2023 International Symposium on Electromagnetic Compatibility—EMC Europe, Krakow, Poland, 4–8 September 2023; pp. 1–5. [Google Scholar] [CrossRef]
- Schmidt, R. Multiple emitter location and signal parameter estimation. IEEE Trans. Antennas Propag. 1986, 34, 276–280. [Google Scholar] [CrossRef]
- Rao, B.; Hari, K. Performance analysis of Root-Music. IEEE Trans. Acoust. Speech Signal Process. 1989, 37, 1939–1949. [Google Scholar] [CrossRef]
- Roy, R.; Kailath, T. ESPRIT-estimation of signal parameters via rotational invariance techniques. IEEE Trans. Acoust. Speech Signal Process. 1989, 37, 984–995. [Google Scholar] [CrossRef]
- Belouchrani, A.; Amin, M. Blind source separation based on time-frequency signal representations. IEEE Trans. Signal Process. 1998, 46, 2888–2897. [Google Scholar] [CrossRef]
- Belouchrani, A.; Amin, M.G.; Thirion-Moreau, N.; Zhang, Y.D. Source Separation and Localization Using Time-Frequency Distributions. IEEE Signal Process. Mag. 2013, 30, 97–107. [Google Scholar] [CrossRef]
- Heidenreich, P.; Cirillo, L.A.; Zoubir, A.M. Morphological image processing for FM source detection and localization. Signal Process. 2009, 89, 1070–1080. [Google Scholar] [CrossRef]
- Zhang, X.; Zhang, W.; Yuan, Y.; Cui, K.; Xie, T.; Yuan, N. DOA estimation of spectrally overlapped LFM signals based on STFT and Hough transform. EURASIP J. Adv. Signal Process. 2019, 2019, 58. [Google Scholar] [CrossRef]
- Yang, Y.; Peng, Z.K.; Dong, X.J.; Zhang, W.M.; Meng, G. General Parameterized Time-Frequency Transform. IEEE Trans. Signal Process. 2014, 62, 2751–2764. [Google Scholar] [CrossRef]
- Xiang-qian, S.; Zhan, F.; Qing, L. A method of target DOA estimation based on correlation integral and cross spectrum WVD. Tech. Acoust. 2015, 34, 23–28. [Google Scholar] [CrossRef]
- Abed, M.; Belouchrani, A. Performance analysis and computational cost evaluation of high-resolution time-frequency distributions derived from compact support time-lag kernels. Digit. Signal Process. 2018, 78, 1–19. [Google Scholar] [CrossRef]
- Ali Khan, N.; Ali, S.; Jansson, M. Direction of arrival estimation using adaptive directional time-frequency distributions. Multidimens. Syst. Signal Process. 2018, 29, 503–521. [Google Scholar] [CrossRef]
- Cui, K.; Chen, X.; Huang, J.; Yuan, N. DOA estimation of multiple LFM sources using a STFT-based and FBSS-based MUSIC algorithm. Radioengineering 2017, 26, 1126–1137. [Google Scholar] [CrossRef]
- Zhang, J.; Li, T.; He, Q.; Peng, Z. DOA Estimation of Nonstationary and Close-Spaced Sources Based on Unified Parameterized Model. IEEE Sensors J. 2023, 23, 21599–21609. [Google Scholar] [CrossRef]
- Xia, X.; Yu, F.; Liu, C.; Zhao, J.; Wu, T. Time-Frequency Image Enhancement of Frequency Modulation Signals by Using Fully Convolutional Networks. In Proceedings of the 2018 15th International Conference on Control, Automation, Robotics and Vision (ICARCV), Singapore, 18–21 November 2018; pp. 1472–1476. [Google Scholar] [CrossRef]
- Eranti, P.K.; Barkana, B.D. An Overview of Direction-of-Arrival Estimation Methods Using Adaptive Directional Time-Frequency Distributions. Electronics 2022, 11, 1321. [Google Scholar] [CrossRef]
- Cohen, L. Time-Frequency Analysis: Theory and Applications; Prentice-Hall, Inc.: Upper Saddle River, NJ, USA, 1995. [Google Scholar]
- Khan, N.A. Robust Spatial Time-Frequency Distributions for DOA Estimation Using Spatial Averaging and Directional Smoothing. Signal Process. 2021, 180, 107897. [Google Scholar] [CrossRef]
- Duda, R.O.; Hart, P.E. Use of the Hough transformation to detect lines and curves in pictures. Commun. ACM 1972, 15, 11–15. [Google Scholar] [CrossRef]
- Belouchrani, A.; Amin, M. Time-frequency MUSIC. IEEE Signal Process. Lett. 1999, 6, 109–110. [Google Scholar] [CrossRef]
- Khan, N.A.; Ali, S.; Mohammadi, M.; Haneef, M. Direction of arrival estimation of sources with intersecting signature in time-frequency domain using a combination of IF estimation and MUSIC algorithm. Multidimens. Syst. Signal Process. 2020, 31, 549–567. [Google Scholar] [CrossRef]
- Khan, N.A.; Ali, S.; Choi, K. An Efficient Direction of Arrival Estimation Algorithm for Sources with Intersecting Signature in the Time-Frequency Domain. Appl. Sci. 2021, 11, 1849. [Google Scholar] [CrossRef]












Disclaimer/Publisher’s Note: The statements, opinions and data contained in all publications are solely those of the individual author(s) and contributor(s) and not of MDPI and/or the editor(s). MDPI and/or the editor(s) disclaim responsibility for any injury to people or property resulting from any ideas, methods, instructions or products referred to in the content. |
© 2025 by the authors. Licensee MDPI, Basel, Switzerland. This article is an open access article distributed under the terms and conditions of the Creative Commons Attribution (CC BY) license (https://creativecommons.org/licenses/by/4.0/).
Share and Cite
Wu, G.; Fang, H.; Ma, Z.; Zhang, B. Direction-of-Arrival Estimation of Multiple Linear Frequency Modulation Signals Based on Quadratic Time–Frequency Distributions and the Hough Transform. Appl. Sci. 2025, 15, 10264. https://doi.org/10.3390/app151810264
Wu G, Fang H, Ma Z, Zhang B. Direction-of-Arrival Estimation of Multiple Linear Frequency Modulation Signals Based on Quadratic Time–Frequency Distributions and the Hough Transform. Applied Sciences. 2025; 15(18):10264. https://doi.org/10.3390/app151810264
Chicago/Turabian StyleWu, Gang, Hongji Fang, Zhenguo Ma, and Bo Zhang. 2025. "Direction-of-Arrival Estimation of Multiple Linear Frequency Modulation Signals Based on Quadratic Time–Frequency Distributions and the Hough Transform" Applied Sciences 15, no. 18: 10264. https://doi.org/10.3390/app151810264
APA StyleWu, G., Fang, H., Ma, Z., & Zhang, B. (2025). Direction-of-Arrival Estimation of Multiple Linear Frequency Modulation Signals Based on Quadratic Time–Frequency Distributions and the Hough Transform. Applied Sciences, 15(18), 10264. https://doi.org/10.3390/app151810264

