Life Cycle Carbon Footprint Assessment of 12 kV C4F7N Gas-Insulated Switchgear Systems
Abstract
1. Introduction
2. Research Method
2.1. Data-Verified Standard Framework
2.2. Carbon Footprint Calculation Method
2.2.1. Raw Material Acquisition Stage
2.2.2. Transportation Stage
2.2.3. Operation Stage
2.2.4. Recycling Stage
2.3. Uncertainty Analysis Method
3. Results and Discussion
3.1. Carbon Footprint by Lifecycle Stage
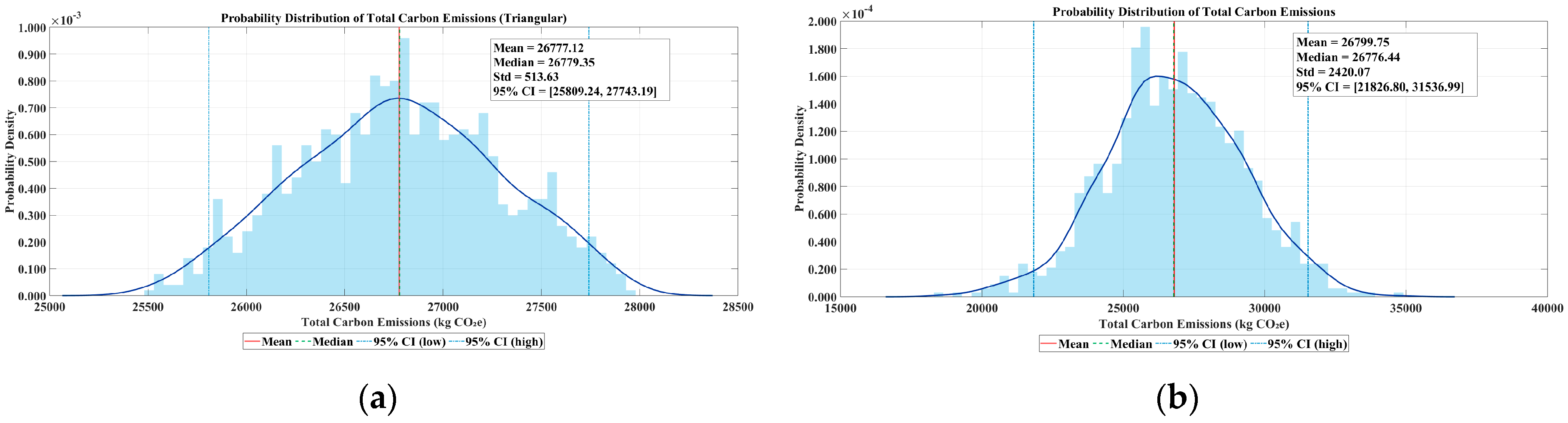
3.2. Carbon Footprint Sensitivity and Uncertainty Analysis
4. Comparison of Carbon Footprints Between Two Types of Switchgears
5. Conclusions
Author Contributions
Funding
Institutional Review Board Statement
Informed Consent Statement
Data Availability Statement
Conflicts of Interest
References
- Wang, L.; Zhang, J.; Wang, X.; Chen, X.; Song, X.; Zhou, L.; Yan, G. Pathway of Carbon Emission Peak in China’s Electric Power Industry. Res. Environ. Sci. 2022, 35, 329–338. [Google Scholar]
- Li, Z.; Chen, S.; Dong, W.; Liu, P.; Du, E.; Ma, L.; He, J. Low Carbon Transition Pathway of Power Sector Under Carbon Emission Constraints. Proc. CSEE 2021, 41, 3987–4001. [Google Scholar]
- Li, Y.; Yang, X.; Du, E.; Liu, Y.; Zhang, S.; Yang, C.; Zhang, N.; Liu, C. A review on carbon emission accounting approaches for the electricity power industry. Appl. Energy 2024, 359, 122681. [Google Scholar] [CrossRef]
- Pinto, S.; Gouveia, J.; Atilano, J.; Goncalves, R.; Tovar, L.; Lima, P.; Rocha, F.; Leite, R.; Oliveira, L. Cradle-to-gate life cycle assessment comparison between two switchgear designs: Eliminating SF6 gas under European legislation. Environ. Impact Assess. Rev. 2025, 112, 107791. [Google Scholar] [CrossRef]
- Zhang, X.; Yao, R.; Tang, J.; Sun, C.; Wan, L. Actuamity and Perspective of Proximate Analysis of SF6 Decomposed Products Under Partial Discharge. High Volt. Eng. 2008, 4, 664–669+747. [Google Scholar]
- Zhang, X.; Tian, S.; Xiao, S.; Li, Y. A Review Study of SF6 Substitute Gases. Trans. China Electrotech. Soc. 2018, 33, 2883–2893. [Google Scholar]
- Li, Y.; Zhang, X.; Fu, M.; Xiao, S.; Tang, J.; Tian, S. Research and Application Progress of Eco-Friendly Gas Insulating Medium C4F7N, Part I: Insulation and Electrical, Thermal Decomposition Properties. Trans. China Electrotech. Soc. 2021, 36, 3535–3552. [Google Scholar]
- Li, Y.; Zhang, X.; Fu, M.; Xiao, S.; Tang, J.; Tian, S. Research and Application Progress of Eco-Friendly Gas Insulating Medium C4F7N, Part II: Material Compatibility, Safety and Equipment Development. Trans. China Electrotech. Soc. 2021, 36, 4567–4579. [Google Scholar]
- Zhang, X.; Xiao, S.; Zhang, B.; Li, Y.; Tian, S.; Li, X.; Fu, M.; Tang, J.; Tang, N.; Zhao, B.; et al. Challenges and Prospects for the Research of Environmentally Friendly Insulating Gases and Applications of Power Equipment Under Control Policies of PFAS and Fluorine Gas. Proc. CSEE 2024, 44, 362–377. [Google Scholar]
- Suresh, R.; Saladi, J.; Datta, P. Energy, exergy and environmental life cycle assessment on the valorization of an ejector integrated CCHP system with six sustainable refrigerants. Energy 2025, 317, 134664. [Google Scholar] [CrossRef]
- Nogacki, J.; Buschmann, U.; Krystosiak, K.; Zolek, Z. Life Cycle Assessment of Proofing Test Production on Printing Surfaces with Use of Carbon Footprint Methodology. Appl. Sci. 2025, 15, 1136. [Google Scholar] [CrossRef]
- Dong, C.; Jiang, J.; Ye, B.; Xia, C.; Zhang, Y. LCA-based cost-benefit assessment and carbon footprint accounting of CCUS technologies in China. J. Clean. Prod. 2025, 486, 144557. [Google Scholar] [CrossRef]
- You, Y.; Peng, Z.; Dai, D.; Sang, Z.; Luo, H.; Jia, Y.; Zhao, T. Calculation and Analysis of Carbon Emission in the Whole Life Cycle of 40.5 kV C-GIS. High Volt. Appar. 2022, 58, 13–19. [Google Scholar]
- Zhang, Y.; Zhu, C.; Wu, M.; Chen, N.; Li, T.; Ma, Y.; Tang, J. Research and Analysis of Carbon Footprint of Transformer Based on Full Life Cycle Assessment. High Volt. Appar. 2024, 60, 57–67. [Google Scholar]
- Chen, Y.; Grijalva, S.; Jin, Z.; Graber, L. Lifecycle Analysis of Greenhouse Gas Emissions: Comparing SF6 and scCO2 Circuit Breakers. In Proceedings of the 56th North American Power Symposium (NAPS 2024), El Paso, TX, USA, 13–15 October 2024; pp. 1–6. [Google Scholar]
- Perret, M.; Luscher, R.; Yenni, R.; Cocchi, C. Analyzing the environmental impacts of a 145 kV GIS over its complete lifecycle. E I Elektrotechnik Informationstechnik 2023, 140, 605–613. [Google Scholar] [CrossRef]
- Cormenier, T.; Marty, F.; Medjadj, G.; Trichon, F.; Serve, D.; Canaguier, B. Life cycle assessment of SF6 vs. pure air medium voltage equipment. In Proceedings of the 27th International Conference on Electricity Distribution (CIRED 2023), Rome, Italy, 12–15 June 2023; pp. 2119–2123. [Google Scholar]
- Fu, L.; Luo, L.; Jia, Y.; Zhang, X. Carbon Emission Calculation and Comparative Analysis of 12 kV Gas Insulated Circuit Breaker Cabinet in Raw Material Acquisition and Manufacturing Stage. High Volt. Appar. 2023, 59, 17–23. [Google Scholar]
- Chen, S.; Qian, L.; Li, H. Comparison and Analysis of Carbon Footprint for 12 kV Voltage Switchgear. High Volt. Appar. 2025, 61, 210–218. [Google Scholar]
- Zhou, Y.; Cui, X.D.; Lin, A.J.; Dong, Y.; Duan, G.L. Environmental life cycle assessment on the recycling processes of power batteries for new energy vehicles. J. Clean. Prod. 2025, 488, 144641. [Google Scholar] [CrossRef]
- Martín-Sanz-Garrido, C.; Revuelta-Aramburu, M.; Santos-Montes, A.M.; Morales-Polo, C. A Review on Anaerobic Digestate as a Biofertilizer: Characteristics, Production, and Environmental Impacts from a Life Cycle Assessment Perspective. Appl. Sci. 2025, 15, 8635. [Google Scholar] [CrossRef]
- Zhang, L.; Wu, H.; Wang, X.; Wu, F.; Ding, Z.; Song, L.; Rong, X.; Liu, J.; Wen, X.; Zhong, P. Quantification of carbon emissions of building decoration processes. Buildings 2024, 14, 3570. [Google Scholar] [CrossRef]
- Herrmann, I.; Moltesen, A. Does it matter which Life Cycle Assessment (LCA) tool you choose?—A comparative assessment of SimaPro and GaBi. J. Clean. Prod. 2015, 86, 163–169. [Google Scholar] [CrossRef]
- Hasan, Y.; Hasan, I.; Aliabadi, A.A.; Gharabaghi, B. Comparative Life Cycle Assessment (LCA) in the Aerospace Industry Regarding Aviation Seat Frame Options. Sustainability 2025, 17, 3188. [Google Scholar] [CrossRef]
- Guo, Y.; Zhang, C.; Shang, F.; Qi, Y.; Yin, R. Zinc Resources in Scrap Galvanized Steel Sheet in China. Iron Steel 2014, 49, 69–73. [Google Scholar]
- Mohammadpou, A.; Rajabi, S.; Bell, M.; Baghapour, M.; Aliyeva, A.; Khaneghah, A. Seasonal variations of potentially toxic elements (PTEs) in drinking water and health risk assessment via Monte Carlo simulation and Sobol sensitivity analysis in southern Iran’s largest city. Appl. Water Sci. 2023, 13, 237. [Google Scholar] [CrossRef]
- Błażejowska, M.; Jezierski, D. Comparison of ReCiPe 2016, ILCD 2011, CML-IA baseline and IMPACT 2002+ LCIA methods: A case study based on the electricity consumption mix in Europe. Int. J. Life Cycle Assess. 2024, 29, 1799–1817. [Google Scholar] [CrossRef]
- Laner, D.; Cencic, O.; Svensson, N.; Krook, J. Quantitative Analysis of Critical Factors for the Climate Impact of Landfill Mining. Environ. Sci. Technol. 2016, 50, 6882–6891. [Google Scholar] [CrossRef]
- Huijbregts, M.; Gilijamse, W.; Ragas, A.; Reijnders, L. Evaluating uncertainty in environmental life-cycle assessment. A case study comparing two insulation options for a Dutch one-family dwelling. Environ. Sci. Technol. 2003, 37, 2600–2608. [Google Scholar] [CrossRef] [PubMed]
- Zhang, L. Full Life Cycle Assessment of Buoy-Rope-Drum Wave Energy Converter. Master’s Thesis, Shandong University, Jinan, China, 2021. [Google Scholar]
- Guo, L. Elevator Carbon Emission Assessment Based on the Life Cycle. Master’s Thesis, Guilin University of Electronic Technology, Guilin, China, 2022. [Google Scholar]





| Categorization | Materials | Quantity (kg) |
|---|---|---|
| Sheet metal for inflatable cabinets | aluminum zinc clad plate | 94.83 |
| Q235 | 12.34 | |
| 304 | 56.37 | |
| Vacuum circuit breaker switch | steel | 55.09 |
| aluminum alloy | 1.78 | |
| copper | 12.44 | |
| epoxy resin | 6.22 | |
| rubber | 3.11 | |
| plastic | 2.67 | |
| ceramic | 2.67 | |
| Cable strut, lower isolation side expansion sleeve | epoxy resin | 7.34 |
| Environmentally friendly straight sleeve | epoxy resin | 4.09 |
| V copper rods, copper pillars | copper | 5.989 |
| Busbar | copper | 3.146 |
| C4F7N gas | C4F7N | 0.53 |
| CO2 gas | CO2 | 0.6 |
| Component Name | Transportation Distance (km) |
|---|---|
| Through-wall casing, environmental protection cabinet casing, others | 1155 |
| Microcomputer protection devices, copper core wires, others | 340 |
| Environmental protection cabinet V, rear lower sealing plate, others | 1208 |
| Circuit breaker isolation switch, mechanism kit, others | 1155 |
| Ring network box shell, others | 464 |
| Life Cycle Stage | Resource Type | Value | Unit | Carbon Emission Factor | Unit |
|---|---|---|---|---|---|
| Raw material acquisition | stainless steel | 56.37 | kg | 4.958 | kgCO2e/kg |
| steel | 67.43 | 1.97 | |||
| aluminum alloy | 1.78 | 10.27 | |||
| copper | 21.58 | 5.272 | |||
| epoxy resin | 17.65 | 8.808 | |||
| rubber | 3.11 | 1.64 | |||
| plastic | 2.67 | 17.98 | |||
| ceramic | 2.67 | 1.12 | |||
| aluminum | 52.16 | 19.468 | |||
| silicon | 1.42 | 10.917 | |||
| zinc | 41.2 | 2.694 | |||
| Transportation | distance | 4322 | km | 0.162 | kgCO2e/tkm |
| weight | 268.04 | kg | |||
| Operation | electricity | 26,280 | kwh | 0.9434 | kgCO2e/kwh |
| C4F7N | 1.06 × 10−3 | kg | 2090 | kgCO2e/kg | |
| Recycling | aluminum | 44.72 | kg | 19.468 | kgCO2e/kg |
| zinc | 32.96 | 2.694 | |||
| stainless steel | 4.21 | 4.958 | |||
| steel | 9.87 | 1.97 |
| Life Cycle Stage | Carbon Emission/kgCO2e | Proportion |
|---|---|---|
| Raw material acquisition | 3005.57 | 11.23% |
| Transportation | 187.7 | 0.7% |
| Operation (electricity) | 24,792.55 | 92.61% |
| Operation (leakage) | 2.21 | / |
| Recycling | −1216.45 | −4.54% |
| Resource | Carbon Emission Change (kgCO2e) | Sensitivity (×10−2) |
|---|---|---|
| Aluminum | 101.55 | 3.79 |
| C4F7N | 110.77 | 4.13 |
| Stainless Steel | 27.95 | 1.04 |
| Steel | 13.28 | 0.50 |
| Aluminum | 1.83 | 0.07 |
| Copper | 11.38 | 0.42 |
| Epoxy Resin | 15.55 | 0.58 |
| Rubber | 0.51 | 0.02 |
| Plastic | 4.8 | 0.18 |
| Zinc | 11.1 | 0.41 |
| Ceramics | 0.3 | 0.01 |
| Silicon | 1.55 | 0.05 |
| Transportation | 18.77 | 0.70 |
| Electricity | 24,792.26 | 92.46 |
| Material Type | Mass/kg |
|---|---|
| Steel | 412 |
| Copper | 161 |
| Aluminum | 11.8 |
| Plastic | 18.9 |
| Epoxy resin | 16.2 |
| Glass (1.4 kgCO2e) | 1.2 |
| Rubber | 1.3 |
| SF6 | 1.3 |
Disclaimer/Publisher’s Note: The statements, opinions and data contained in all publications are solely those of the individual author(s) and contributor(s) and not of MDPI and/or the editor(s). MDPI and/or the editor(s) disclaim responsibility for any injury to people or property resulting from any ideas, methods, instructions or products referred to in the content. |
© 2025 by the authors. Licensee MDPI, Basel, Switzerland. This article is an open access article distributed under the terms and conditions of the Creative Commons Attribution (CC BY) license (https://creativecommons.org/licenses/by/4.0/).
Share and Cite
Hu, J.; Hu, F.; Tian, S.; Wu, Y. Life Cycle Carbon Footprint Assessment of 12 kV C4F7N Gas-Insulated Switchgear Systems. Appl. Sci. 2025, 15, 9576. https://doi.org/10.3390/app15179576
Hu J, Hu F, Tian S, Wu Y. Life Cycle Carbon Footprint Assessment of 12 kV C4F7N Gas-Insulated Switchgear Systems. Applied Sciences. 2025; 15(17):9576. https://doi.org/10.3390/app15179576
Chicago/Turabian StyleHu, Juan, Feng Hu, Shuangshuang Tian, and Yingyu Wu. 2025. "Life Cycle Carbon Footprint Assessment of 12 kV C4F7N Gas-Insulated Switchgear Systems" Applied Sciences 15, no. 17: 9576. https://doi.org/10.3390/app15179576
APA StyleHu, J., Hu, F., Tian, S., & Wu, Y. (2025). Life Cycle Carbon Footprint Assessment of 12 kV C4F7N Gas-Insulated Switchgear Systems. Applied Sciences, 15(17), 9576. https://doi.org/10.3390/app15179576
