Lifting-Line Predictions for Optimal Dihedral Distributions in Ground Effect †
Abstract
1. Introduction
1.1. Numerical Lifting-Line Theory
1.2. Theory of Ground Effect
2. Methods
2.1. Grid Convergence
2.1.1. Numerical Lifting-Line Convergence
2.1.2. Control Points for Section Dihedral and Twist
2.2. Optimization
3. Results and Discussion
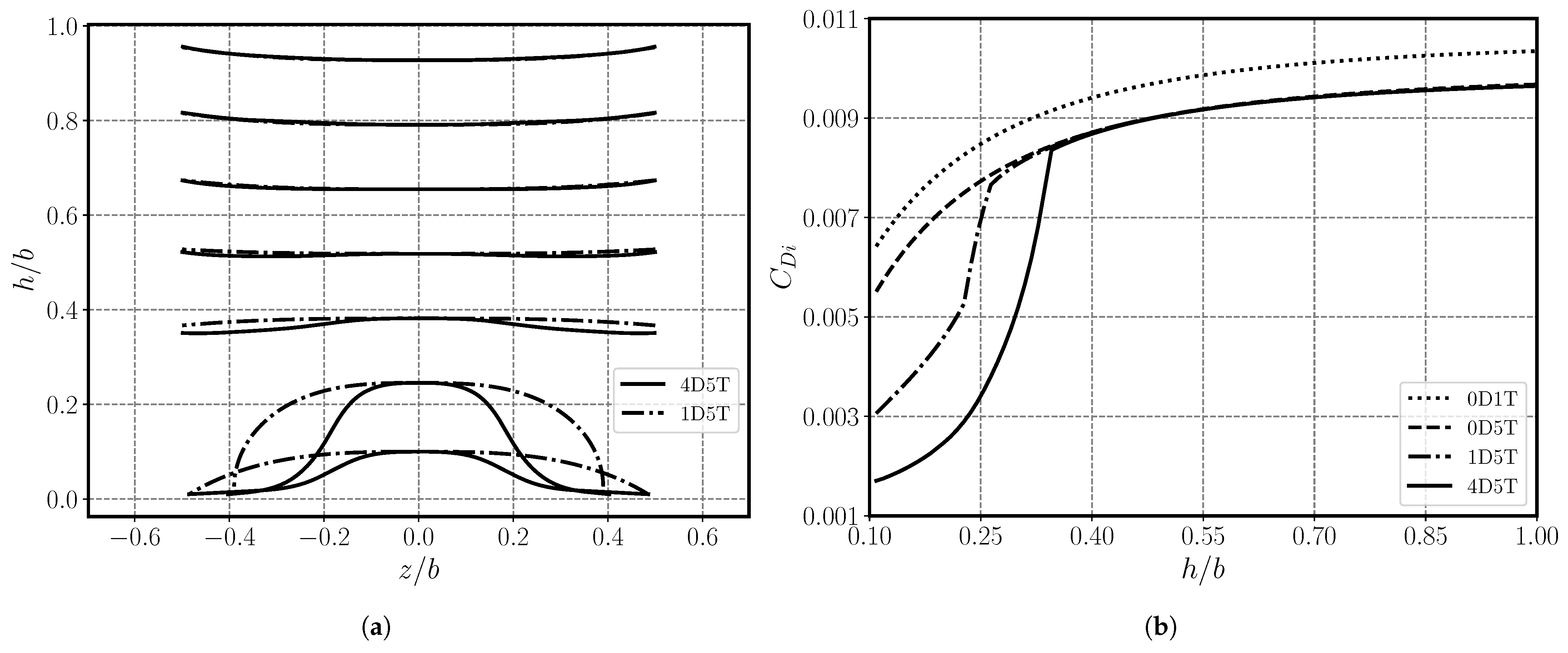
3.1. Baseline Wing
3.2. Design Space Analysis
3.2.1. Influence of
3.2.2. Influence of Taper Ratio,
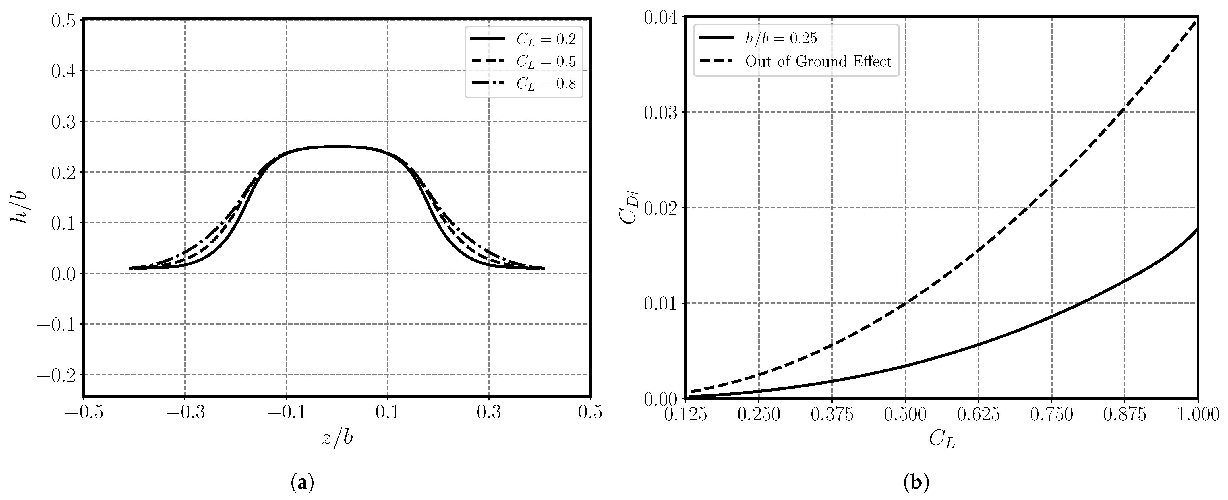
3.2.3. Influence of Lift Coefficient,
3.2.4. Influence of Aspect Ratio,
4. Summary and Conclusions
Author Contributions
Funding
Data Availability Statement
Conflicts of Interest
Nomenclature
| A | Fourier coefficient |
| b | Wingspan |
| Induced drag coefficient | |
| Lift coefficient | |
| Section lift coefficient | |
| Section lift slope | |
| c | Chord |
| Local lift force vector | |
| Bound vortex filament length | |
| Local planform area | |
| G | Circulation |
| g | Shed vorticity |
| h | Wing height above ground |
| j | Lifting-line node index |
| k | Vortex filament index |
| Local lift force | |
| Number of lifting-line control points | |
| Number of section dihedral control points | |
| q | Constraint function |
| Aspect ratio | |
| Taper ratio | |
| Local freestream unit vector | |
| Freestream velocity | |
| Velocity vector | |
| z | Spanwise coordinate |
| Objective function optimization variable | |
| Geometric twist | |
| Zero-lift angle of attack | |
| section Dihedral angle | |
| Flap deflection | |
| Error percentage | |
| Change of variables for spanwise coordinate | |
| Induced drag factor | |
| Influence vector | |
| Air density |
References
- Olsen, A.K.; Montgomery, Z.S.; Hunsaker, D.F. Lifting-Line Predictions for Optimal Dihedral Distributions in Ground Effect. In Proceedings of the AIAA SciTech 2025 Forum, Orlando, FL, USA, 6–10 January 2025. [Google Scholar] [CrossRef]
- Jamei, S.; Maimun, A.; Mansor, S.; Sidik, N.A.C. Numerical Investigation on Aerodynamic Characteristics of a Compound Wing-in-Ground Effect. J. Aircr. 2012, 49, 1297–1305. [Google Scholar] [CrossRef]
- Phillips, W.F. Ground Effect, Elevator Sizing, and CG Limits. In Mechanics of Flight, 2nd ed.; John Wiley & Sons, Inc.: Hoboken, NJ, USA, 2010; Chapter 6; pp. 646–661. [Google Scholar]
- Rozhdestvensky, K.V. Wing-in-ground effect vehicles. Prog. Aerosp. Sci. 2006, 42, 211–283. [Google Scholar] [CrossRef]
- Dakhrabadi, M.T.; Seif, M. Influence of main and outer wings on aerodynamic characteristics of compound wing-in-ground effect. Aerosp. Sci. Technol. 2016, 55, 177–188. [Google Scholar] [CrossRef]
- Ahmed, M.R.; Sharma, S.D. An investigation on the aerodynamics of a symmetrical airfoil in ground effect. Exp. Therm. Fluid Sci. 2005, 29, 633–647. [Google Scholar] [CrossRef]
- Qu, Q.; Wang, W.; Liu, P.; Agarwal, R.K. Airfoil Aerodynamics in Ground Effect for Wide Range of Angles of Attack. AIAA J. 2015, 53, 1048–1061. [Google Scholar] [CrossRef]
- Yun, L.; Bliault, A.; Doo, J. WIG Craft and Ekranoplan: Ground Effect Craft Technology; Springer: Berlin/Heidelberg, Germany, 2010. [Google Scholar]
- De Divitiis, N. Performance and stability of a winged vehicle in ground effect. J. Aircr. 2005, 42, 148–157. [Google Scholar] [CrossRef]
- Boschetti, P.J.; Cardenas, E.M. Ground effect on the longitudinal stability of an unmanned airplane. In Proceedings of the 50th AIAA Aerospace Sciences Meeting Including the New Horizons Forum and Aerospace Exposition, Nashville, TN, USA, 9–12 January 2012; p. 1051. [Google Scholar] [CrossRef]
- Molina, J.; Zhang, X. Aerodynamics of a Heaving Airfoil in Ground Effect. AIAA J. 2011, 49, 1168–1179. [Google Scholar] [CrossRef]
- He, W.; Guan, Y.; Theofilis, V.; Li, L.K.B. Stability of Low-Reynolds-Number Separated Flow Around an Airfoil Near a Wavy Ground. AIAA J. 2018, 57, 29–34. [Google Scholar] [CrossRef]
- Qu, Q.; Lu, Z.; Liu, P.; Agarwal, R.K. Numerical Study of Aerodynamics of a Wing-in-Ground-Effect Craft. J. Aircr. 2014, 51, 913–924. [Google Scholar] [CrossRef]
- Zhi, H.; Xiao, T.; Deng, S.; Tong, M.; Chen, P.; Wu, B. Distinct Wing-in-Ground Effect of Airfoil in Proximity to Water Waves. AIAA J. 2022, 60, 3789–3804. [Google Scholar] [CrossRef]
- Church, K.; Hunsaker, D.F. Lifting-Line Predictions for Lift and Twist Distributions to Minimize Induced Drag in Ground Effect. In Proceedings of the AIAA SCITECH 2023 Forum, National Harbor, MD, USA & Online, 23–27 January 2023; p. 1574. [Google Scholar]
- Jesudasan, R.; Hanifi, A.; Mariani, R. Investigating Planar and Nonplanar Wing Planform Optimisation for Ground Effect Aircraft. Aerospace 2023, 10, 969. [Google Scholar] [CrossRef]
- Park, K.; Lee, J. Influence of endplate on aerodynamic characteristics of low-aspect-ratio wing in ground effect. J. Mech. Sci. Technol. 2008, 22, 2578–2589. [Google Scholar] [CrossRef]
- Lee, J.; Han, C.s.; Bae, C.H. Influence of Wing Configurations on Aerodynamic Characteristics of Wings in Ground Effect. J. Aircr. 2010, 47, 1030–1040. [Google Scholar] [CrossRef]
- Prandtl, L. Tragflügel Theorie. In Nachrichten von der Gesellschaft der Wisseschaften zu Göttingen; Geschäeftliche Mitteilungen, Klasse; Berlin Weidmannsche Buchhandlung: Berlin, Germany, 1918; pp. 451–477. [Google Scholar]
- Prandtl, L. Applications of Modern Hydrodynamics to Aeronautics; NACA TR-116: Göttingen, Germany, June 1921. Available online: https://ntrs.nasa.gov/citations/19930091180 (accessed on 26 August 2025).
- Prandtl, L. Uber Tragflugel kleinstein induzierten Widerstandes. Z. Flugtech. Mot. 1933, 24, 305–306. [Google Scholar]
- Kutta, M.W.K. Auftriebskräfte in Strömenden Flüssigkeiten. Illus. Aeronaut. Mitteilungen 1902, 6, 133–135. [Google Scholar]
- Joukowski, N.E. Sur les Tourbillons Adjionts. TRaraux Sect. Phys. Soc. Imp. Amis Sci. Nat. 1906, 13, 261–284. [Google Scholar]
- Phillips, W.; Snyder, D. Modern Adaptation of Prandtl’s Classic Lifting-Line Theory. J. Aircr. 2000, 37, 662–670. [Google Scholar] [CrossRef]
- Saffman, P.G. Vortex Dynamics; Cambridge University Press: Cambridge, UK, 1992; p. 02744. [Google Scholar]
- Li, Y.H.; Sun, S.L.; Ren, H.L.; Hu, J. Aero-elastic characteristics of a wing in different proximity to the free surface. Ocean Eng. 2025, 316, 119912. [Google Scholar] [CrossRef]
- Phillips, W.; Hunsaker, D. Lifting-Line Predictions for Induced Drag and Lift in Ground Effect. J. Aircr. 2013, 50, 1226–1233. [Google Scholar] [CrossRef]
- Valenzuela, J.V.; Takahashi, T.T. Wing Design Strategies for Vehicles Designed to Operate in Ground Effect. In Proceedings of the AIAA SCITECH 2024 Forum, Orlando, FL, USA, 8–12 January 2024; p. 0003. [Google Scholar] [CrossRef]
- Goates, C.D.; Hunsaker, D.F. Modern Implementation and Evaluation of Lifting-Line Theory for Complex Geometries. J. Aircr. 2022, 60, 490–508. [Google Scholar] [CrossRef]
- Kraft, D. A Software Package for Sequential Quadratic Programming; Tech. Rep. DFVLR-FB 88-28; DLR German Aerospace Center—Institute for Flight Mechanics: Koln, Germany, 1988. [Google Scholar]
- Sakornsin, R.; Thipyopas, C.; Atipan, S. Experimental Investigation of the Ground Effect of WIG Craft—NEW1 Model. In Proceedings of the Innovation Aviation & Aerospace Industry—International Conference 2020 (IAAI 2020), Chumphon, Thailand, 13–17 January 2020. [Google Scholar] [CrossRef]
- Torenbeek, E. Ground Effects. In Synthesis of Subsonic Airplane Design; Delft University Press: Delft, The Netherlands, 1982; pp. 551–554. [Google Scholar]















| Coefficient | Value |
|---|---|
| 0.25 | |
| 1.0 | |
| 0.5 | |
| 8.0 |
| Name | Dihedral Distribution | Twist Distribution |
|---|---|---|
| 0D1T | none | at root |
| 0D5T | none | optimal |
| 1D5T | at tip | optimal |
| 4D5T | optimal | optimal |
Disclaimer/Publisher’s Note: The statements, opinions and data contained in all publications are solely those of the individual author(s) and contributor(s) and not of MDPI and/or the editor(s). MDPI and/or the editor(s) disclaim responsibility for any injury to people or property resulting from any ideas, methods, instructions or products referred to in the content. |
© 2025 by the authors. Licensee MDPI, Basel, Switzerland. This article is an open access article distributed under the terms and conditions of the Creative Commons Attribution (CC BY) license (https://creativecommons.org/licenses/by/4.0/).
Share and Cite
Olsen, A.K.; Montgomery, Z.S.; Hunsaker, D.F. Lifting-Line Predictions for Optimal Dihedral Distributions in Ground Effect. Appl. Sci. 2025, 15, 9558. https://doi.org/10.3390/app15179558
Olsen AK, Montgomery ZS, Hunsaker DF. Lifting-Line Predictions for Optimal Dihedral Distributions in Ground Effect. Applied Sciences. 2025; 15(17):9558. https://doi.org/10.3390/app15179558
Chicago/Turabian StyleOlsen, Amanda K., Zachary S. Montgomery, and Douglas F. Hunsaker. 2025. "Lifting-Line Predictions for Optimal Dihedral Distributions in Ground Effect" Applied Sciences 15, no. 17: 9558. https://doi.org/10.3390/app15179558
APA StyleOlsen, A. K., Montgomery, Z. S., & Hunsaker, D. F. (2025). Lifting-Line Predictions for Optimal Dihedral Distributions in Ground Effect. Applied Sciences, 15(17), 9558. https://doi.org/10.3390/app15179558

