Influence of Spill Pressure and Saturation on the Migration and Distribution of Diesel Oil Contaminant in Unconfined Aquifers Using Three-Dimensional Numerical Simulations
Abstract
1. Introduction
2. Materials and Methods
2.1. Hydrogeological and Geological Data
2.2. Mathematical Formulation
2.3. Hydrogeological and Hydrocarbon Features
2.4. Initial and Boundary Conditions of the LNAPL Migration into the Variably Saturated Zone
- Dry soil and pressure inside the oil pipeline equal to 1 atm = 101,325 Pa, 10 atm = 1,013,250 Pa, and 20 atm = 2,026,500 Pa, respectively;
- Unsaturated zone with and pressure inside the oil pipeline equal to 1, 10, and 20 atm, respectively;
- Unsaturated zone with and pressure inside the oil pipeline equal to 1, 10, and 20 atm, respectively.
3. Results and Discussions
3.1. Three Dimensional Transient Numerical Simulation Results
3.1.1. Pressure Outflow of 20 atm
3.1.2. Pressure Outflow of 10 atm
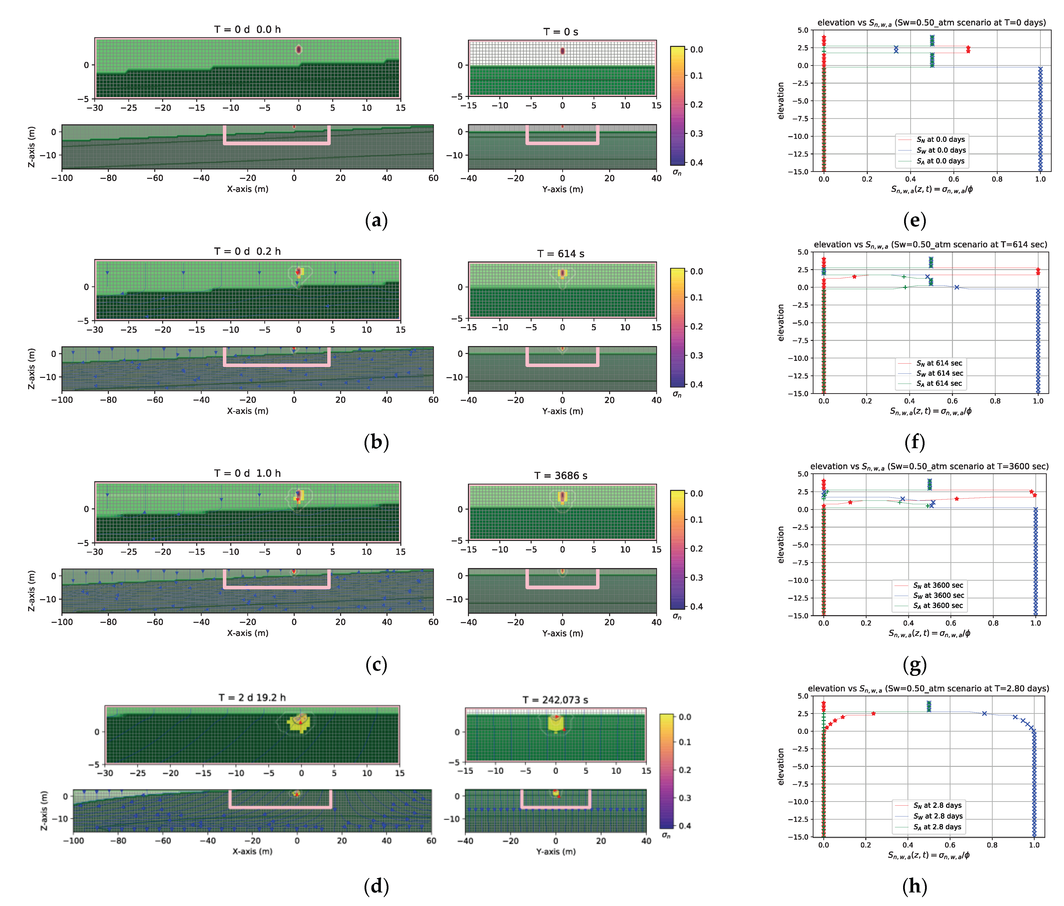
3.1.3. Pressure Outflow of 1 atm
3.2. Quantitative Comparison of the Saturation Results for the Various Scenarios
3.3. Validation of the Numerical Results
4. Conclusions
Author Contributions
Funding
Institutional Review Board Statement
Informed Consent Statement
Data Availability Statement
Acknowledgments
Conflicts of Interest
References
- Kumar, K.; Ramli, H. Advancement of emerging technologies for non-destructive measurement of water and non-aqueous phase liquid saturation in porous media: A review. Desalination Water Treat. 2025, 321, 101022. [Google Scholar] [CrossRef]
- Mercer, J.W.; Cohen, R.M. A review of immiscible fluids in the subsurface: Properties, models, characterization and remediation. J. Contam. Hydrol. 1990, 6, 107–163. [Google Scholar] [CrossRef]
- Almaliki, D.F.; Ramli, H.; Zaiter, A.; Sheriff, I. Review on migration and entrapment of light nonaqueous phase liquids in the subsurface environment. Desalination Water Treat. 2025, 322, 101095. [Google Scholar] [CrossRef]
- Cheng, Z.; Lu, G.; Wu, M.; Hao, Y.; Mo, C.; Li, Q.; Wu, J.; Wu, J.; Hu, B.X. The Effects of Spill Pressure on the Migration and Remediation of Dense Non-Aqueous Phase Liquids in Homogeneous and Heterogeneous Aquifers. Sustainability 2023, 15, 13072. [Google Scholar] [CrossRef]
- Tatti, F.; Petrangeli Papini, M.; Sappa, G.; Raboni, M.; Arjmand, F.; Viotti, P. Contaminant back-diffusion from low-permeability layers as affected by groundwater velocity: A laboratory investigation by box model and image analysis. Sci. Total Environ. 2018, 622–623, 164–171. [Google Scholar] [CrossRef]
- Mineo, S. Groundwater and soil contamination by LNAPL: State of the art and future challenges. Sci. Total Environ. 2023, 874, 162394. [Google Scholar] [CrossRef]
- Zhao, G.; Cheng, J.; Jia, M.; Zhang, H.; Li, H.; Zhang, H. The Effect Characterization of Lens on LNAPL Migration Based on High-Density Resistivity Imaging Technique. Appl. Sci. 2024, 14, 10389. [Google Scholar] [CrossRef]
- Gainer, A.; Cousins, M.; Hogan, N.; Siciliano, S.D. Petroleum hydrocarbon mixture toxicity and a trait-based approach to soil invertebrate species for site-specific risk assessments. Environ. Toxicol. Chem. 2018, 37, 2222–2234. [Google Scholar] [CrossRef]
- Han, K.; Zuo, R.; Qin, R.; Xu, D.; Zhao, X.; Pan, M.; Liu, J.; Xu, Y.; Wang, J. Effect and mechanism of the moisture content on the kinetic retardation of LNAPL pollutant migration by the capillary zone. J. Hazard. Mater. 2025, 487, 137266. [Google Scholar] [CrossRef]
- Rahman, M.A.; Barooah, A.; Khan, M.S.; Hassan, R.; Hassan, I.; Sleiti, A.K.; Hamilton, M.; Gomari, S.R. Single and multiphase flow leak detection in onshore/offshore pipelines and subsurface sequestration sites: An overview. J. Loss Prev. Process Ind. 2024, 90, 105327. [Google Scholar] [CrossRef]
- He, Z.; Liang, F.; Meng, J.; Li, N. Effects of groundwater fluctuation on migration characteristics and representative elementary volume of entrapped LNAPL. J. Hydrol. 2022, 610, 127833. [Google Scholar] [CrossRef]
- Nesic, S. Key issues related to modelling of internal corrosion of oil and gas pipelines—A review. Corros. Sci. 2007, 49, 4308–4338. [Google Scholar] [CrossRef]
- Zhao, G.; Cheng, J.; Li, L.; Zhang, H.; Li, H.; Zhang, H. Effect of Water Content on Light Nonaqueous Phase Fluid Migration in Sandy Soil. Appl. Sci. 2024, 14, 9640. [Google Scholar] [CrossRef]
- Ning, P.; Jiang, Y.-J.; Tang, J.-J.; Xie, Q.-J. Research on the Early Warning Model for Pipelines Due to Landslide Geohazards under Multiple Influencing Factors. Water 2023, 15, 693. [Google Scholar] [CrossRef]
- Ma, Y.; Li, B.; Fang, H.; Du, X.; Wang, N.; Di, D.; Zhai, K. Fatigue failure behavior of corrosion water supply steel pipes with void around pipes under long-term service load coupling. Eng. Fail. Anal. 2025, 174, 109485. [Google Scholar] [CrossRef]
- Qin, G.; Chen, F.Y. A review on defect assessment of pipelines: Principles, numerical solutions, and applications. Int. J. Press. Vess. Pip. 2021, 191, 104329. [Google Scholar] [CrossRef]
- Ge, Y.; Huang, W.; Li, X.; Yao, J.; Qin, Y.; Zhang, C.; Kong, X.; Zhou, N. Numerical investigation on oil leakage and migration from the accidental hole of tank wall in oil terminal of pipeline transportation system. J. Pipeline Sci. Eng. 2024, 4, 100175. [Google Scholar] [CrossRef]
- Liu, J.; Zang, D.; Liu, C.; Ma, Y.; Fu, M. A Leak detection method for oil pipeline based on mararkov feature and two-stage decision scheme. Measurement 2019, 138, 433–445. [Google Scholar] [CrossRef]
- Murvay, P.S.; Silea, I. A survey on gas leak detection and localization techniques. J. Loss Prev. Process Ind. 2012, 25, 966–973. [Google Scholar] [CrossRef]
- Essaid, H.I.; Bekins, B.A.; Cozzarelli, I.M. Organic contaminant transport and fate in the subsurface: Evolution of knowledge and understanding. Water Resour. Res. 2015, 51, 4861–4902. [Google Scholar] [CrossRef]
- Chen, Y.; Yin, Y.; Hu, X.; Yu, X.; Li, Y. Experimental and numerical simulation study on quantitative assessment of LNAPL migration behavior in porous media. J. Hydrol. 2025, 651, 132619. [Google Scholar] [CrossRef]
- Koohbor, B.; Colombano, S.; Harrouet, T.; Deparis, J.; Lion, F.; Davarzani, D.; Ataie-Ashtiani, B. The effects of water table fluctuation on LNAPL deposit in highly permeable porous media: A coupled numerical and experimental study. J. Contam. Hydrol. 2023, 256, 104183. [Google Scholar] [CrossRef] [PubMed]
- Onaa, C.; Olaobaju, E.A.; Amro, M.M. Experimental and numerical assessment of Light Non-Aqueous Phase Liquid (LNAPL) subsurface migration behavior in the vicinity of groundwater table. Environ. Technol. Innov. 2021, 23, 101573. [Google Scholar] [CrossRef]
- Praseeja, A.V.; Sajikumar, N. Numerical simulation on LNAPL migration in vadose zone and its prevention using natural fibre. Exp. Comput. Multiph. Flow 2023, 5, 53–66. [Google Scholar] [CrossRef]
- Huan, S.; Yong, H.; Illman, W.A.; Yue, S.; Kehan, M. Migration behavior of LNAPL in fractures filled in with porous media: Laboratory experiments and numerical simulations. J. Cont. Hydrol. 2023, 253, 104118. [Google Scholar] [CrossRef]
- Xu, Z.; Chai, J.; Wu, Y.; Qin, R. Transport and biodegradation modeling of gasoline spills in soil-aquifer system. Environ. Earth Sci. 2015, 74, 2871–2882. [Google Scholar] [CrossRef]
- Zheng, C.M. Recent developments and future directions for MT3DMS and related transport codes. Ground Water 2009, 47, 620–625. [Google Scholar] [CrossRef]
- Zheng, C.M. MT3DMS v53 Supplemental User’s Guide; Department of Geological, Sciences University of Alabama: Tuscaloosa, AL, USA, 2010. [Google Scholar]
- Sun, H.; Wang, Y.; Jia, L.; Lin, Z.; Yu, H. Theoretical and numerical methods for predicting the structural stiffness of unbonded flexible riser for deep-sea mining under axial tension and internal pressure. Ocean Eng. 2024, 310, 118672. [Google Scholar] [CrossRef]
- Xu, L.; Zhu, H.; Wei, J.; Chen, W.; Ma, H.; Pu, S. Integration of immobilized microorganisms with a groundwater circulation well for the remediation of naphthalene-contaminated aquifers. J. Clean. Prod. 2025, 520, 146127. [Google Scholar] [CrossRef]
- Wang, P.; Li, J.; An, P.; Yan, Z.; Xu, Y.; Pu, S. Enhanced delivery of remedial reagents in low-permeability aquifers through coupling with groundwater circulation well. J. Hydrol. 2023, 618, 129260. [Google Scholar] [CrossRef]
- Zhang, C.; Li, P.; Lun, Z.; Gu, Z.; Li, Z. Unveiling the Beneficial Effects of N2 as a CO2 Impurity on Fluid-Rock Reactions during Carbon Sequestration in Carbonate Reservoir Aquifers: Challenging the Notion of Purer Is Always Better. Environ. Sci. Technol. 2024, 58, 22980–22991. [Google Scholar] [CrossRef]
- Tang, Y.; Xiang, S.; Wang, J.; Tian, Y.; Wang, J.-Z.; Wang, F. Study on the erosion patterns of high-strength injection-production strings under alternating operating conditions in gas storage reservoirs. Phys. Fluids 2025, 37, 033329. [Google Scholar] [CrossRef]
- Lu, D.; Ou, J.; Qian, J.; Xu, C.; Wang, H. Prediction of non-equilibrium transport of nitrate nitrogen from unsaturated soil to saturated aquifer in a watershed: Insights for groundwater quality and pollution risk assessment. J. Contam. Hydrol. 2025, 274, 104649. [Google Scholar] [CrossRef] [PubMed]
- Feo, A.; Celico, F. High-resolution shock-capturing numerical simulations of three-phase immiscible fluids from the unsaturated to the saturated zone. Sci. Rep. 2021, 11, 5212. [Google Scholar] [CrossRef] [PubMed]
- Feo, A.; Celico, F. Investigating the migration of immiscible contaminant fluid flow in homogeneous and heterogeneous aquifers with high-precision numerical simulations. PLoS ONE 2022, 17, e0266486. [Google Scholar] [CrossRef]
- Feo, A.; Celico, F.; Zanini, A. Migration of DNAPL in Saturated Porous Media: Validation of High-Resolution Shock-Capturing Numerical Simulations through a Sandbox Experiment. Water 2023, 15, 1471. [Google Scholar] [CrossRef]
- Feo, A.; Pinardi, R.; Artoni, A.; Celico, F. Three-Dimensional High-Precision Numerical Simulations of Free-Product DNAPL Extraction in Potential Emergency Scenarios: A Test Study in a PCE-Contaminated Alluvial Aquifer (Parma, Northern Italy). Sustainability 2023, 15, 9166. [Google Scholar] [CrossRef]
- Feo, A.; Pinardi, R.; Artoni, A.; Celico, F. Estimation of Free-Product PCE Distribution in Thick Multilayered Aquifers as Possible Long-Term Pollution Sources for Shallow and Deep Groundwaters, Using High-Precision Numerical Simulations. Water 2024, 16, 3053. [Google Scholar] [CrossRef]
- Kurganov, A.; Tadmor, E. New high-resolution central scheme for non-linear conservation laws and convection-diffusion equations. J. Comput. Phys. 2000, 160, 241–282. [Google Scholar] [CrossRef]
- Lax, P.; Wendroff, B. Systems of conservation laws. Commun. Pure Appl. Math. 1960, 3, 217–237. [Google Scholar] [CrossRef]
- Hou, T.Y.; LeFloch, P.G. Why nonconservative schemes converge to wrong solutions: Error analysis. Math. Comp. 1994, 62, 497–530. [Google Scholar] [CrossRef]
- Feo, A.; Pinardi, R.; Scanferla, E.; Celico, F. How to Minimize the Environmental Contamination Caused by Hydrocarbon Releases by Onshore Pipelines: The Key Role of a Three-Dimensional Three-Phase Fluid Flow Numerical Model. Water 2023, 15, 1900. [Google Scholar] [CrossRef]
- Abbruzzo, R. “Piano di Tutela delle Acque”. Relazione Generale e Allegati, Carta dei Complessi Idrogeologici. 2010. Available online: https://www2.regione.abruzzo.it/system/files/urbanistica-territorio/piano-tutela-acque/prop-gr-appr-finale/elaborati-cartografici/1-4.pdf (accessed on 1 January 2025).
- Tinterri, R.; Lipparini, L. Seismo-stratigraphic study of the Plio-Pleistocene foredeep deposits of the Central Adriatic Sea (Italy): Geometry and characteristics of deep-water channels and sediment waves. Mar. Pet. Geol. 2013, 42, 30–49. [Google Scholar] [CrossRef]
- Centamore, E.; Nisio, S. Significative events in the Periadriatic feredeeps evolution (Abruzzo e Italy). Studi Geol. Camerti 2003, 39–48. Available online: https://www.researchgate.net/profile/Stefania-Nisio/publication/289522128_Significative_events_in_the_Periadriatic_Foredeeps_evolution_Abruzzo_Italy/links/5693805f08aec14fa55e8df7/Significative-events-in-the-Periadriatic-Foredeeps-evolution-Abruzzo-Italy.pdf (accessed on 1 January 2025).
- Di Celma, C.; Cantalamessa, G.; Didaskalou, P.; Lori, P. Sedimentology, architecture, and sequence stratigraphy of coarse-grained, submarine canyon fills from Pleistocene (Gelasiane-Calabrian) of the Peri-Adriatic basin, central Italy. Mar. Pet. Geol. 2010, 27, 1340–1365. [Google Scholar] [CrossRef]
- Dattilo, P.; Pasi, R.; Bertozzi, G. Depositional and structural dynamics of the Pliocene peri-adriatic foredeep, NE Italy. J. Pet. Geol. 1999, 22, 19–36. [Google Scholar] [CrossRef]
- Hernàndez-Diaz, R.; Petrella, E.; Bucci, A.; Naclerio, G.; Feo, A.; Sferra, G.; Chelli, A.; Zanini, A.; Gonzalez-Hernandez, P.; Celico, F. Integrating Hydrogeological and Microbiological Data and Modelling to Characterize the Hydraulic Features and Behaviour of Coastal Carbonate Aquifers: A Case in Western Cuba. Water 2019, 11, 1989. [Google Scholar] [CrossRef]
- Allen, G.; Goodale, T.; Lanfermann, G.; Radke, T.; Rideout, D.; Thornburg, J. Cactus Users’ Guide. 2011. Available online: http://www.cactuscode.org/documentation/UsersGuide.pdf (accessed on 1 January 2025).
- Cactus Developers. Cactus Computational Toolkit. Available online: http://www.cactuscode.org/ (accessed on 1 January 2025).
- Goodale, T.; Allen, G.; Lanfermann, G.; Massó, J.; Radke, T.; Seidel, E.; Shalf, J. The Cactus Framework and Toolkit: Design and Applications. In High Performance Computing for Computational Science—VECPAR 2002; Springer: Berlin, Germany, 2003. [Google Scholar]
- Schnetter, E.; Hawley, S.H.; Hawke, I. Evolutions in 3D numerical relativity using fixed mesh refinement. Class. Quantum Grav. 2004, 21, 1465–1488. [Google Scholar] [CrossRef]
- Schnetter, E.; Diener, P.; Dorband, E.N.; Tiglio, M. A multi-block infrastructure for three-dimensional time-dependent numerical relativity. Class. Quantum Grav. 2006, 23, S553. [Google Scholar] [CrossRef]
- Parker, J.C.; Lenhard, R.J.; Kuppusamy, T. A parametric model for constitutive properties governing multi-phase flow in porous media. Water Resour. Res. 1987, 23, 618–624. [Google Scholar] [CrossRef]
- van Genuchten, M.T. A closed form equation for predicting the hydraulic conductivity of unsaturated soils. Soil Sci. Soc. Am. J. 1980, 44, 892–898. [Google Scholar] [CrossRef]
- Carsel, R.F.; Parrish, R.S. Developing joint probability distributions of soil water retention characteristics. Water Resour. Res. 1988, 24, 755–769. [Google Scholar] [CrossRef]
- Hamutoko, J.T.; Post, V.E.A.; Wanke, H.; Beyer, M.; Houben, G.; Mapani, B. The role of local perched aquifers in regional groundwater recharge in semi-arid environments: Evidence from the Cuvelai-Etosha Basin, Namibia. Hydrogeol. J. 2019, 27, 2399–2413. [Google Scholar] [CrossRef]
- Freeze, R.A.; Cherry, J.A. Groundwater Book; Prentice-Hall Inc.: Englewood Cliffs, NJ, USA, 1979. [Google Scholar]























| Parameter | Symbol | Value |
|---|---|---|
| Absolute permeability | ||
| Absolute permeability (bottom layer) 1 | ||
| Porosity | 0.43 | |
| Rock compressibility | ||
| Diesel oil density | ||
| Diesel oil viscosity | ||
| Water density | ||
| Water viscosity | ||
| Air density | ||
| Air viscosity | ||
| van Genuchten | ||
| Irreducible wetting phase saturation | ||
| Superficial tension air-water | ||
| Superficial tension nonaqueous-water | ||
| Capillary pressure air-water at zero saturation | ||
| Capillary pressure air-nonaqueous at zero saturation |
| Pressure Outflow | (Dry Soil) | ||
|---|---|---|---|
| 2,026,500 Pa | Sw = 0_20atm | Sw = 0.20_20atm | Sw = 0.50_20atm |
| 1,013,250 Pa | Sw = 0_10atm | Sw = 0.20_10atm | Sw = 0.50_10atm |
| 101,325 Pa | Sw = 0_atm | Sw = 0.20_atm | Sw = 0.50_atm |
| z Elevation (m.a.s.l.) | Mass in kg of LNAPL After 3600 s | Percentage of Trapped Contaminant (%) |
|---|---|---|
| Sw = 0_20atm (dry soil) | ||
| Sw = 0.20_20atm | ||
| Sw = 0.50_20atm | ||
| Sw = 0_10atm (dry soil) | ||
| Sw = 0.20_10atm | ||
| Sw = 0.50_10atm | ||
| Sw = 0_atm (dry soil) | ||
| Sw = 0.20_atm | ||
| Sw = 0.50_atm | ||
Disclaimer/Publisher’s Note: The statements, opinions and data contained in all publications are solely those of the individual author(s) and contributor(s) and not of MDPI and/or the editor(s). MDPI and/or the editor(s) disclaim responsibility for any injury to people or property resulting from any ideas, methods, instructions or products referred to in the content. |
© 2025 by the authors. Licensee MDPI, Basel, Switzerland. This article is an open access article distributed under the terms and conditions of the Creative Commons Attribution (CC BY) license (https://creativecommons.org/licenses/by/4.0/).
Share and Cite
Feo, A.; Celico, F. Influence of Spill Pressure and Saturation on the Migration and Distribution of Diesel Oil Contaminant in Unconfined Aquifers Using Three-Dimensional Numerical Simulations. Appl. Sci. 2025, 15, 9303. https://doi.org/10.3390/app15179303
Feo A, Celico F. Influence of Spill Pressure and Saturation on the Migration and Distribution of Diesel Oil Contaminant in Unconfined Aquifers Using Three-Dimensional Numerical Simulations. Applied Sciences. 2025; 15(17):9303. https://doi.org/10.3390/app15179303
Chicago/Turabian StyleFeo, Alessandra, and Fulvio Celico. 2025. "Influence of Spill Pressure and Saturation on the Migration and Distribution of Diesel Oil Contaminant in Unconfined Aquifers Using Three-Dimensional Numerical Simulations" Applied Sciences 15, no. 17: 9303. https://doi.org/10.3390/app15179303
APA StyleFeo, A., & Celico, F. (2025). Influence of Spill Pressure and Saturation on the Migration and Distribution of Diesel Oil Contaminant in Unconfined Aquifers Using Three-Dimensional Numerical Simulations. Applied Sciences, 15(17), 9303. https://doi.org/10.3390/app15179303
