UNet-INSN: Self-Supervised Algorithm for Impulsive Noise Suppression in Power Line Communication
Abstract
1. Introduction
- (1)
- A self-supervised learning-based algorithm, UNet-INSN (UNet Impulsive Noise Suppression Network), is proposed. Through the designed global mask generation and global mask mapper, the algorithm not only effectively utilizes the internal structural information of the signal but also avoids the dependence on external clean signals, enabling the model to be trained using only noisy signals. Additionally, a reproducibility loss function is introduced to enable the model to directly recover the masked information from the original noisy signal, thus avoiding the performance degradation caused by the model degenerating into an identity mapping.
- (2)
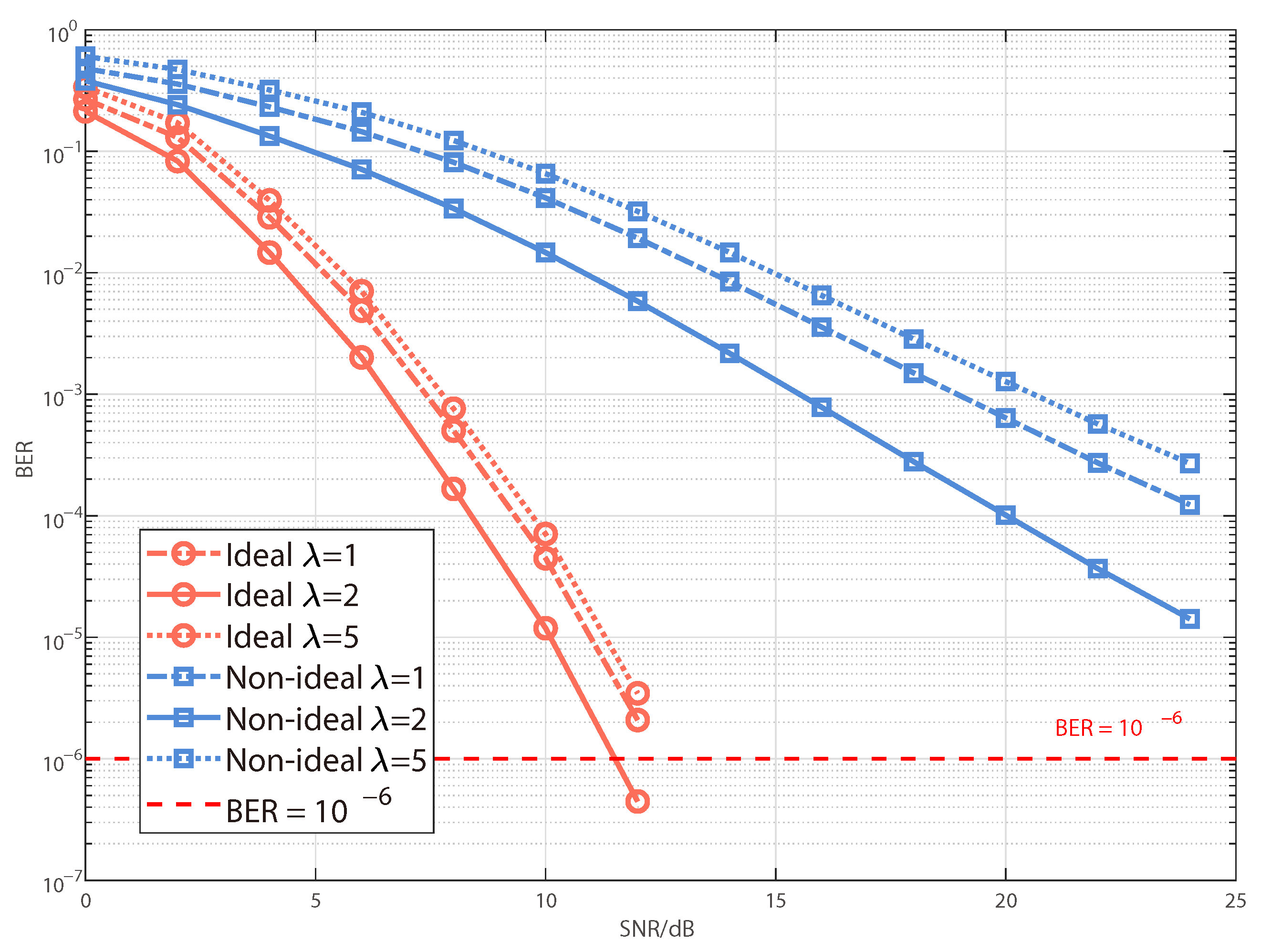
- A PLC simulation system was built to verify the performance of the proposed model. The results show that the signal-to-noise ratios (SNRs) required for the proposed algorithm to achieve a bit error rate (BER) of under ideal and non-ideal conditions are 12 dB and 26 dB, respectively, which are significantly lower than those of traditional methods and comparison self-supervised learning methods. Moreover, the results also demonstrate that the proposed method exhibits better robustness and generalization capabilities in dynamic impulsive noise environments.
2. System and Signal Model
2.1. System Model
2.2. Signal and Noise Models
3. Self-Supervised Learning Algorithm Based on UNet-INSN
3.1. Algorithm Framework
3.2. Denoising Neural Network
3.3. Global Mask Generator and Mapper
3.4. Loss Function
3.5. Model Training
| Algorithm 1 Self-supervised learning based on UNet-INSN |
Input: Noisy signal sequence ; Denoising neural network ; Hyperparameter , ; 1: While non-convergence of the network do: 2: Sample the noisy signal sequence to obtain y; 3: Generate a global mask generator based on the data scale of the sampled signal; 4: Feed into the global mask generator to obtain the masked signal container ; 5: Input to the denoising neural network to obtain the output ; 6: Global mask mapper samples and combines the masked regions of to generate the masked denoised signal ; 7: Compute the denoised signal without gradient updates for the original noisy signal ; 8: Compute the MSE term ; 9: Compute the regularization loss term ; 10: Update the network parameters by minimizing the loss function ; 11: end |
4. Simulation Results and Performance Analysis
4.1. Analysis of Model Training Results
- (1)
- Training dataset: Since self-supervised learning does not require clean signals, only a noisy dataset needs to be constructed. Considering the absence of a publicly available MIMO-PLC signal dataset, this paper used MATLAB (R2024b) to build a PLC system and impulsive noise signal model and generated the corresponding noisy signal dataset accordingly. The relevant parameter settings of the system and simulation model are shown in Table 2. It can be seen that the PLC channel model proposed by Tonello et al. [21] and the BG impulsive noise model were used in dataset generation. In addition, the signal-to-impulsive noise ratio (SINR) of the PLC signal was −15 dB, while the signal-to-background noise ratio (SNR) of the PLC signal ranged from 0 dB to 40 dB in steps of 2 dB. A total of 21 groups of data were generated, with 200 symbols in each group, where 80% were used for training and 20% for validation.
- (2)
- Model training environment and hyperparameter settings: For model training, this paper used a server equipped with an NVIDIA RTX 4080 GPU as the training platform. The model was implemented using the PyTorch 1.13 deep learning framework, and programming development was conducted in Python 3.6 under the PyCharm 2024 integrated development environment. The hyperparameters of the model were set as follows: the optimizer was Adam, the activation function was ReLU, the training batch size was 50, and the initial learning rate was , which gradually decreased to in steps of .
- (3)
- Based on the generated training dataset, constructed training environment, and corresponding model hyperparameter settings, the model was trained. The changing trends of the loss functions for the training set and validation set are shown in Figure 7. It can be observed that as the number of training epochs increases, the training loss decreases rapidly, indicating that the model can quickly capture the key features of impulsive noise. However, when the number of training epochs further increases (i.e., Epoch > 5), the decline in training loss gradually slows down and tends to stabilize, and the model reaches a convergent state. It can also be seen that the changing trend of the validation set loss is generally consistent with that of the training set loss, but after the 37th epoch, the validation loss is greater than the training loss, and the model exhibits overfitting. Therefore, the training was paused after 37 epochs, and model performance verification was carried out accordingly.
4.2. Model System Performance Analysis
5. Conclusions
Author Contributions
Funding
Institutional Review Board Statement
Informed Consent Statement
Data Availability Statement
Conflicts of Interest
References
- Aderibole, A.O.; Saathoff, E.K.; Kircher, K.J.; Leeb, S.B.; Norford, L.K. Power line communication for low-bandwidth control and sensing. IEEE Trans. Power Deliv. 2021, 37, 2172–2181. [Google Scholar] [CrossRef]
- Cano, C.; Pittolo, A.; Malone, D.; Lampe, L.; Tonello, A.M.; Dabak, A.G. State of the Art in Power Line Communications: From the Applications to the Medium. IEEE J. Sel. Areas Commun. 2016, 34, 1935–1952. [Google Scholar] [CrossRef]
- Ndjiongue, A.; Ferreira, H. Power line communications (PLC) technology: More than 20 years of intense research. Trans. Emerg. Telecommun. Technol. 2019, 30, e3575. [Google Scholar] [CrossRef]
- Berrou, C.; Glavieux, A.; Thitimajshima, P. Near Shannon limit error-correcting coding and decoding: Turbo-codes. 1. In Proceedings of the ICC ’93—IEEE International Conference on Communications, Geneva, Switzerland, 23–26 May 1993; Volume 2, pp. 1064–1070. [Google Scholar] [CrossRef]
- Gallager, R. Low-density parity-check codes. IRE Trans. Inf. Theory 1962, 8, 21–28. [Google Scholar] [CrossRef]
- Arikan, E. Channel polarization: A method for constructing capacity-achieving codes for symmetric binary-input memoryless channels. IEEE Trans. Inf. Theory 2009, 55, 3051–3073. [Google Scholar] [CrossRef]
- Caire, G.; Taricco, G.; Biglieri, E. Bit-interleaved coded modulation. IEEE Trans. Inf. Theory 1998, 44, 927–946. [Google Scholar] [CrossRef]
- Juwono, F.H.; Guo, Q.; Huang, D.; Wong, K.P. Deep clipping for impulsive noise mitigation in OFDM-based power-line communications. IEEE Trans. Power Deliv. 2014, 29, 1335–1343. [Google Scholar] [CrossRef]
- Caire, G.; Al-Naffouri, T.Y.; Narayanan, A.K. Impulse noise cancellation in OFDM: An application of compressed sensing. In Proceedings of the IEEE International Symposium on Information Theory, Toronto, ON, Canada, 6–11 July 2008; pp. 1293–1297. [Google Scholar] [CrossRef]
- Lin, J.; Nassar, M.; Evans, B.L. Impulsive noise mitigation in powerline communications using sparse Bayesian learning. IEEE J. Sel. Areas Commun. 2013, 31, 1172–1183. [Google Scholar] [CrossRef]
- Liu, Z.; Li, Y.; Shi, S. Impulsive noise suppressing method in power line communication system using sparse iterative covariance estimation. Radio Sci. 2022, 57, e2022RS007424. [Google Scholar] [CrossRef]
- Sadeghi, N.; Azghani, M. Deep learning based channel estimation in PLC systems. Ann. Telecommun. 2024, 80, 581–590. [Google Scholar] [CrossRef]
- Letizia, N.A.; Tonello, A.M.; Righini, D. Learning to synthesize noise: The multiple conductor power line case. In Proceedings of the 2020 IEEE International Symposium on Power Line Communications and Its Applications (ISPLC), Malaga, Spain, 11–13 May 2020; pp. 1–6. [Google Scholar] [CrossRef]
- Chien, Y.R.; Chou, P.H.; Peng, Y.J.; Huang, C.Y.; Tsao, H.W.; Tsao, Y. NGGAN: Noise generation GAN based on the practical measurement dataset for narrowband powerline communications. IEEE Trans. Instrum. Meas. 2024, 74, 2505415. [Google Scholar] [CrossRef]
- Ouyang, S.; Liu, G.; Huang, T.; Liu, Y.; Xu, W.; Wu, Y. Impulsive Noise Suppression Network for Power Line Communication. IEEE Commun. Lett. 2024, 28, 2628–2632. [Google Scholar] [CrossRef]
- Tang, Q.; Qu, S.; Zheng, W.; Tu, Z. Fast finite-time quantized control of multi-layer networks and its applications in secure communication. Neural Netw. 2025, 185, 107225. [Google Scholar] [CrossRef]
- Mohsin, M.; Rovetta, S.; Masulli, F.; Greco, D.; Cabri, A. Deep Learning-Powered Computer Vision System for Selective Disassembly of Waste Printed Circuit Boards. In Proceedings of the 2024 IEEE 8th Forum on Research and Technologies for Society and Industry Innovation (RTSI), Milano, Italy, 18–20 September 2024; pp. 115–119. [Google Scholar] [CrossRef]
- Krull, A.; Buchholz, T.O.; Jug, F. Noise2void-learning denoising from single noisy images. In Proceedings of the IEEE/CVF Conference on Computer Vision and Pattern Recognition, Long Beach, CA, USA, 16–20 June 2019; pp. 2129–2137. [Google Scholar]
- Mansour, Y.; Heckel, R. Zero-shot noise2noise: Efficient image denoising without any data. In Proceedings of the IEEE/CVF Conference on Computer Vision and Pattern Recognition, Vancouver, BC, Canada, 17–24 June 2023; pp. 14018–14027. [Google Scholar]
- Kim, I.H.; Varadarajan, B.; Dabak, A. Performance analysis and enhancements of narrowband OFDM powerline communication systems. In Proceedings of the 2010 First IEEE International Conference on Smart Grid Communications, Gaithersburg, MD, USA, 4–6 October 2010; pp. 362–367. [Google Scholar] [CrossRef]
- Tonello, A.M.; Versolatto, F.; Béjar, B.; Zazo, S. A fitting algorithm for random modeling the PLC channel. IEEE Trans. Power Deliv. 2012, 27, 1477–1484. [Google Scholar] [CrossRef]













| Area | Layer | Name | Kernel Size | Number of Channels | Stride | Padding | Activation Function |
|---|---|---|---|---|---|---|---|
| Downsampling | 1 | Conv | 3 × 3 | 2/64 | 1 | 1 | ReLU |
| Conv | 3 × 3 | 64 | 1 | 1 | ReLU | ||
| Maxpool | 1 × 2 | 64/128 | (1,2) | - | - | ||
| 2 | Conv | 3 × 3 | 128 | 1 | 1 | ReLU | |
| Conv | 3 × 3 | 128 | 1 | 1 | ReLU | ||
| Maxpool | 1 × 2 | 128/256 | (1,2) | - | - | ||
| 3 | Conv | 3 × 3 | 256 | 1 | 1 | ReLU | |
| Conv | 3 × 3 | 256 | 1 | 1 | ReLU | ||
| Maxpool | 1 × 2 | 256/512 | (1,2) | - | - | ||
| 4 | Conv | 3 × 3 | 512 | 1 | 1 | ReLU | |
| Conv | 3 × 3 | 512 | 1 | 1 | ReLU | ||
| Maxpool | 1 × 2 | 512/1024 | (1,2) | - | - | ||
| Transition | 5 | Conv | 3 × 3 | 1024 | 1 | 1 | ReLU |
| Conv | 3 × 3 | 1024 | 1 | 1 | ReLU | ||
| Upsampling | 6 | Up | 1 × 2 | 1024 | 2 | 1 | ReLU |
| Conv | 3 × 3 | 1024/512 | 1 | 1 | ReLU | ||
| Conv | 3 × 3 | 512 | 1 | 1 | ReLU | ||
| Upsampling | 7 | Up | 1 × 2 | 512 | 2 | 1 | ReLU |
| Conv | 3 × 3 | 512/256 | 1 | 1 | ReLU | ||
| Conv | 3 × 3 | 256 | 1 | 1 | ReLU | ||
| 8 | Up | 1 × 2 | 256 | 2 | 1 | ReLU | |
| Conv | 3 × 3 | 256/128 | 1 | 1 | ReLU | ||
| Conv | 3 × 3 | 128 | 1 | 1 | ReLU | ||
| 9 | Up | 1 × 2 | 128 | 2 | 1 | ReLU | |
| Conv | 3 × 3 | 128/64 | 1 | 1 | ReLU | ||
| Conv | 3 × 3 | 64 | 1 | 1 | ReLU | ||
| Output | 10 | Conv | 1 × 1 | 64/2 | 1 | - | ReLU |
| Simulation Parameter | Setting |
|---|---|
| Simulation Platform | MIMO-PLC System |
| Port Configuration | 2 × 2 |
| Sampling Frequency | 25 MHz |
| OFDM Length | 40.96 μs |
| FFT/IFFT Length | 1024 |
| Noise Model | BG Model |
| p | {0.01, 0.05} |
| SINR | {−10, −15} dB |
| Channel Environment | MIMO Multipath Channel Extension Model |
| Modulation Scheme | QPSK |
| Channel Coding | 1/3-Turbo Code |
| Number of Effective Subcarriers | 512 |
| Channel Estimation | Ideal/Non-Ideal |
| Number of Symbols | 21 × 200 |
Disclaimer/Publisher’s Note: The statements, opinions and data contained in all publications are solely those of the individual author(s) and contributor(s) and not of MDPI and/or the editor(s). MDPI and/or the editor(s) disclaim responsibility for any injury to people or property resulting from any ideas, methods, instructions or products referred to in the content. |
© 2025 by the authors. Licensee MDPI, Basel, Switzerland. This article is an open access article distributed under the terms and conditions of the Creative Commons Attribution (CC BY) license (https://creativecommons.org/licenses/by/4.0/).
Share and Cite
Zhu, E.; Ren, Y.; Li, R.; Ouyang, S.; Ma, Y.; Yang, X.; Liu, G. UNet-INSN: Self-Supervised Algorithm for Impulsive Noise Suppression in Power Line Communication. Appl. Sci. 2025, 15, 9101. https://doi.org/10.3390/app15169101
Zhu E, Ren Y, Li R, Ouyang S, Ma Y, Yang X, Liu G. UNet-INSN: Self-Supervised Algorithm for Impulsive Noise Suppression in Power Line Communication. Applied Sciences. 2025; 15(16):9101. https://doi.org/10.3390/app15169101
Chicago/Turabian StyleZhu, Enguo, Yi Ren, Ran Li, Shuiqing Ouyang, Yang Ma, Ximin Yang, and Guojin Liu. 2025. "UNet-INSN: Self-Supervised Algorithm for Impulsive Noise Suppression in Power Line Communication" Applied Sciences 15, no. 16: 9101. https://doi.org/10.3390/app15169101
APA StyleZhu, E., Ren, Y., Li, R., Ouyang, S., Ma, Y., Yang, X., & Liu, G. (2025). UNet-INSN: Self-Supervised Algorithm for Impulsive Noise Suppression in Power Line Communication. Applied Sciences, 15(16), 9101. https://doi.org/10.3390/app15169101

