Primary Soil Investigation near a Potentially Contaminated Site in Cluj-Napoca, Romania
Abstract
1. Introduction
2. Materials and Methods
3. Results
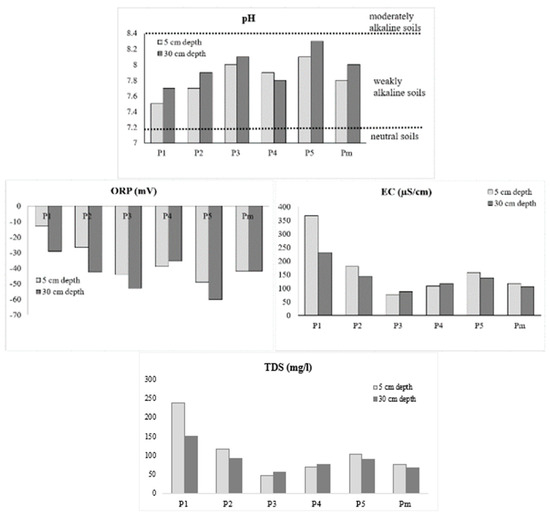
3.1. General Physico-Chemical Parameters
3.2. Heavy Metal Content
4. Discussion
5. Conclusions
Author Contributions
Funding
Institutional Review Board Statement
Informed Consent Statement
Data Availability Statement
Conflicts of Interest
Appendix A
| No. | Name of Owner/Administrator/Holder of the Contaminated Site | Location of the Contaminated Site | Type of Property over Land | Type of Polluting Activity | Source of Pollution | Pollutants | Observations |
| 1 | The Municipal Council Cluj-Napoca/SC Salprest Rampa SA/ | Pata Rat—Cluj-Napoca—Pata road—km 12 | public field | municipal waste landfill | untreated municipal waste | heavy metals, phenol, nitrites, ammonium, chlorides | analytically proven contamination |
| 2 | SC ARMATURA SA, Cluj-Napoca, Garii str., no. 19 | unit premises | private property | metal processing, fuel deposit | technological process, disbanded fuel deposit | zinc, petroleum products | Zn—potential contamination Petroleum products—analytically proven contamination |
| 3 | SC ELMET SA, Cluj-Napoca, Fabricii str., no. 118 | unit premises | private property | galvanizing workshop | waste waters from technological process | nickel | environmental evaluation I for galvanizing workshop decommissioning—analytically proven contamination |
| 4 | SNTFC “CFR Calatori” SA—locomotives depot | unit premises | state property | fuel supply for locomotives | underground deposit for diesel and oil | petroleum hydrocarbons | environmental evaluation II (2005)— analytically proven contamination |
| 5 | SC RUTTRANS SA | Cluj-Napoca, Calea Baciului str., no. 47 | private property | fuel distribution station | fuel storage, vehicle and equipment maintenance | petroleum hydrocarbons | potential contamination |
| 6 | SC Clujana SA | Pta 1 Mai, no. 4-5, Cluj-Napoca | private property | shoe manufacturing | adhesive and artificial sole manufacturing, fuel deposit, tannery | petroleum substances, heavy metals | potential contamination |
| 7 | SNP Petrom SA Bucuresti—Cluj branch | Deposit Petrom Cluj 2, Masinistilor str., no. 167 | private property | fuel and oil deposit | tanks with petroleum waste, petroleum products separator | petroleum products | analytically proven contamination |
| 8 | SC REMARUL “16 FEBRUARIE” SA | unit premises, T. Vladimirescu str., no. 2-4, Cluj-Napoca | state property | rolling stock repair | fuel deposit, petroleum products separator | petroleum products | potential contamination |
References
- Commission of the European Communities. Comm(2006)231, Communication from the Commission to the Council, the European Parliament, the European Economic and Social Committee and the Committee of the Regions—Thematic Strategy for Soil Protection [SEC(2006)620] [SEC(2006)1165]; Commission of the European Communities: Brussels, Belgium, 2006. [Google Scholar]
- Commission of the European Communities. Comm(2006)232, Proposal for a Directive of the European Parliament and of the Council establishing a framework for the protection of soil and amending Directive 2004/35/EC; Commission of the European Communities: Brussels, Belgium, 2006. [Google Scholar]
- Commission of the European Communities. SEC(2006)620, Commission Staff Working Document accompanying the Communication from the Commission to the Council, the European Parliament, the European Economic and Social Committee and the Committee of the Regions—Thematic Strategy for Soil Protection—Impact Assessment of the Thematic Strategy of Soil Protection {COM(2006)231 final} {SEC(2006)1165}; Commission of the European Communities: Brussels, Belgium, 2006. [Google Scholar]
- Bizo, M.L. Bioremediation for Heavy Metal Contaminated Brownfields. Doctoral Dissertation, Friedrich-Schiller-Universität Jena, Jena, Germany, 2016. [Google Scholar]
- Van Liedekerke, M.; Prokop, G.; Rabl-Berger, S.; Kibblewhite, M.; Louwagie, G. Progress in the management of Contaminated Sites in Europe, EUR 26376; Publications Office of the European Union: Luxembourg, 2013; JRC85913. [Google Scholar]
- Payá, P.A.; Rodriguez, E.N. Status of local soil contamination in Europe. In Revision of the Indicator “Progress in the Management Contaminated Sites in Europe”, EUR 29124 EN; Publications Office of the European Union: Luxembourg, 2018. [Google Scholar]
- Order 683/2015 for the Approval of the National Strategy and Plan for Management of Contaminated Sites in Romania. Available online: https://www.mmediu.ro/app/webroot/uploads/files/2016-07-04_STRATEGIA_MO.pdf (accessed on 10 July 2024). (In Romanian).
- Várallyai, L.; Botos, S.; Péntek, A. Socio-economic Factors of Soil Pollution. Procedia Econ. Financ. 2015, 33, 573–583. [Google Scholar] [CrossRef][Green Version]
- Cachada, A.; Rocha-Santos, T.; Duarte, A.C. Chapter 1—Soil and Pollution: An Introduction to the Main Issues. In Soil Pollution; Duarte, A.C., Cachada, A., Rocha-Santos, T., Eds.; Academic Press: Cambridge, MA, USA, 2018; pp. 1–28. [Google Scholar]
- Zhang, Q.; Wang, C. Natural and Human Factors Affect the Distribution of Soil Heavy Metal Pollution: A Review. Water Air Soil. Pollut. 2020, 231, 350. [Google Scholar] [CrossRef]
- Horta, A.; Malone, B.; Stockmann, U.; Minasny, B.; Bishop, T.F.A.; McBratney, A.B.; Pallasser, R.; Pozza, L. Potential of integrated field spectroscopy and spatial analysis for enhanced assessment of soil contamination: A prospective review. Geoderma 2014, 241–242, 180–209. [Google Scholar] [CrossRef]
- Pinedo, J.; Ibáñez, R.; Lijzen, J.P.A.; Irabien, Á. Assessment of soil pollution based on total petroleum hydrocarbons and individual oil substances. J. Environ. Manag. 2013, 130, 72–79. [Google Scholar] [CrossRef] [PubMed]
- Khan, S.; Naushad, M.; Lima, E.C.; Zhang, S.; Shaheen, S.M.; Rinklebe, J. Global soil pollution by toxic elements: Current status and future perspectives on the risk assessment and remediation strategies—A review. J. Hazard. Mater. 2021, 417, 126039. [Google Scholar] [CrossRef] [PubMed]
- Sinnett, D.; Bray, I.; Baranyi, G.; Braubach, M.; Netanyanhu, S. Systematic Review of the Health and Equity Impacts of Remediation and Redevelopment of Contaminated Sites. Int. J. Environ. Res. Public Health 2022, 19, 5278. [Google Scholar] [CrossRef] [PubMed]
- Ravaz, B.; Bombenger, P.H.; Capezzali, M.; Meyer, T. Reviewing 20 years of redevelopment trajectories of industrial sites literature and highlighting new research perspectives. Land Use Policy 2024, 146, 107326. [Google Scholar] [CrossRef]
- Law 74/2019 for the Management of Potentially Contaminated Sites and Contaminated Sites, Official Monitor, No. 342/03.05.2019. Available online: https://www.mmediu.ro/app/webroot/uploads/files/Legea74-2019.pdf (accessed on 15 July 2024). (In Romanian).
- Order 184/1997 Approving the Procedure for Environmental Balance Reports, Romanian Official Monitor, No. 303bis/06.11.1997, Part II. Available online: https://www.mmediu.ro/app/webroot/uploads/files/OM-184-1997-bilant-de-mediu-si-OM-756-1997-evaluarea-poluarii-mediului.pdf (accessed on 30 July 2024). (In Romanian).
- SR 7184-13/2001; Soils. Determination of pH in Water and Saline Suspensions (Mass/Volume) and in Saturated Paste. RO-ASRO: Bucharest, Romania, 2001.
- SR ISO 11466:1995; Soil Quality—Extraction of Trace Elements in Soluble Aqua Regia, International Standard. International Organization for Standardization: Geneva, Switzerland, 1995.
- Roba, C.; Rosu, C.; Pistea, I.; Baciu, C.; Costin, D.; Ozunu, A. Transfer of heavy metals from soil to vegetables in a mining/smelting influenced area (Baia Mare—Ferneziu, Romania). J. Environ. Prot. Ecol. 2015, 16, 891–898. [Google Scholar]
- Tale, K.S.; Ingole, S. A review on role of physico-chemical properties in soil quality. Chem. Sci. Rev. Lett. 2015, 4, 57–66. [Google Scholar]
- Order 756/1997 Approving the Regulation Regarding the Assessment of Environmental Pollution, Romanian Official Monitor, No. 303bis/06.11.1997, Part II. Available online: https://www.mmediu.ro/app/webroot/uploads/files/OM-184-1997-bilant-de-mediu-si-OM-756-1997-evaluarea-poluarii-mediului.pdf (accessed on 30 July 2024). (In Romanian).
- Hossini, H.; Shafie, B.; Niri, A.D.; Nazari, M.; Esfahlan, A.J.; Ahmadpour, M.; Nazmara, Z.; Ahmadimanesh, M.; Makhdoumi, P.; Mirzaei, N.; et al. A comprehensive review on human health effects of chromium: Insights on induced toxicity. Environ. Sci. Pollut. Res. 2022, 29, 70686–70705. [Google Scholar] [CrossRef] [PubMed]
- Ahmad, M.S.A.; Ashraf, M. Essential Roles and Hazardous Effects of Nickel in Plants. In Reviews of Environmental Contamination and Toxicology; Whitacre, D., Ed.; Springer: New York, NY, USA, 2012; p. 214. [Google Scholar]
- Roberts, D.; Nachtegaal, M.; Sparks, D.L. Speciation of Metals in Soils. In Chemical Processes in Soils; Tabatabai, M.A., Sparks, D.L., Eds.; Soil Science Society of America: Madison, WI, USA, 2005; pp. 619–654. [Google Scholar]
- Steinnes, E.; Friedland, A.J. Metal contamination of natural surface soils from long-range atmospheric transport: Existing and missing knowledge. Environ. Rev. 2006, 14, 169–186. [Google Scholar] [CrossRef]
- Maskall, J.; Whitehead, K.; Thornton, I. Heavy metal migration in soils and rocks at historical smelting sites. Environ. Geochem. Health 1995, 17, 127–138. [Google Scholar] [CrossRef] [PubMed]
- Grosu, G.; Roba, C.A.; Balc, R.; Bizau-Carstea, M.L. Assessment of heavy metals content in the proximity of a contaminated site from Cluj-Napoca (Romania). Stud. UBB Ambient. 2020, 65, 17–37. [Google Scholar] [CrossRef]
- Velea, T.; Gherghe, L.; Predica, V.; Krebs, R. Heavy metal contamination in the vicinity of an industrial area near Bucharest. Environ. Sci. Pollut. Res. 2009, 16 (Suppl. S1), 27–32. [Google Scholar] [CrossRef] [PubMed]
- Scheiber, I.; Dringen, R.; Mercer, J. Copper: Effects of Deficiency and Overload. Met. Ions Life Sci. 2013, 13, 359–387. [Google Scholar] [PubMed]
- Uwah, E.; Nwoke, I.; Inam, E.; Udosen, I.; Udosen, E. Human Health Risk Assessment of Heavy Metal Contamination in New Calabar River. Bull. Environ. Contam. Toxicol. 2020, 105, 317–324. [Google Scholar] [CrossRef] [PubMed]
- Dayan, A.D.; Paine, A.J. Mechanisms of chromium toxicity, carcinogenicity and allergenicity: Review of the literature from 1985 to 2000. Hum. Exp. Toxicol. 2001, 20, 439–451. [Google Scholar] [CrossRef] [PubMed]
- Sall, M.; Diaw, A.; Gningue-Sall, D.; Efremova Aaron, S.; Aaron, J. Toxic heavy metals: Impact on the environment and human health, and treatment with conducting organic polymers, a review. Environ. Sci. Pollut. Res. 2020, 27, 29927–29942. [Google Scholar] [CrossRef] [PubMed]
- Duruibe, J.O.; Ogwuegbu, M.O.C.; Egwurugwu, J.N. Heavy metal pollution and human biotoxic effects. Int. J. Phys. Sci. 2007, 2, 112–118. [Google Scholar]
- Contaminated Sites in Cluj-Napoca. Available online: https://files.primariaclujnapoca.ro/1.png (accessed on 24 July 2024). (In Romanian).



| pH | pH | ORP | EC | TDS | salinity | Cu | Mn | Fe | Cr | Ni | Pb | Zn | Cd |
|---|---|---|---|---|---|---|---|---|---|---|---|---|---|
| ORP | −0.96515 | ||||||||||||
| EC | −0.68364 | 0.76416 | |||||||||||
| TDS | −0.68166 | 0.7624 | 0.99999 | ||||||||||
| salinity | −0.57937 | 0.67192 | 0.8473 | 0.84663 | |||||||||
| Cu | 0.57325 | −0.47585 | −0.03274 | −0.02962 | −0.12007 | ||||||||
| Mn | −0.16707 | 0.19403 | 0.24546 | 0.24533 | 0.13877 | −0.00543 | |||||||
| Fe | 0.079856 | 0.053152 | 0.38841 | 0.39004 | 0.11277 | 0.59391 | 0.59224 | ||||||
| Cr | 0.20725 | −0.15614 | 0.029791 | 0.03195 | −0.04462 | 0.77889 | 0.36208 | 0.61701 | |||||
| Ni | 0.18099 | −0.11052 | 0.31381 | 0.31668 | 0.082415 | 0.70755 | 0.5443 | 0.83355 | 0.78404 | ||||
| Pb | 0.1203 | −0.21329 | −0.27099 | −0.27062 | −0.18274 | 0.38114 | 0.31785 | 0.16153 | 0.7048 | 0.32685 | |||
| Zn | 0.098228 | −0.05055 | −0.03619 | −0.03477 | 0.15249 | 0.51031 | −0.07822 | 0.031698 | 0.54598 | 0.19105 | 0.59839 | ||
| Cd | 0.50694 | −0.51771 | −0.35217 | −0.34932 | −0.18182 | 0.40436 | −0.42321 | −0.18796 | 0.2821 | 0.19824 | 0.099577 | 0.23924 |
Disclaimer/Publisher’s Note: The statements, opinions and data contained in all publications are solely those of the individual author(s) and contributor(s) and not of MDPI and/or the editor(s). MDPI and/or the editor(s) disclaim responsibility for any injury to people or property resulting from any ideas, methods, instructions or products referred to in the content. |
© 2025 by the authors. Licensee MDPI, Basel, Switzerland. This article is an open access article distributed under the terms and conditions of the Creative Commons Attribution (CC BY) license (https://creativecommons.org/licenses/by/4.0/).
Share and Cite
Țîmpău, E.; Roba, C.; Bizău-Cârstea, M. Primary Soil Investigation near a Potentially Contaminated Site in Cluj-Napoca, Romania. Appl. Sci. 2025, 15, 8865. https://doi.org/10.3390/app15168865
Țîmpău E, Roba C, Bizău-Cârstea M. Primary Soil Investigation near a Potentially Contaminated Site in Cluj-Napoca, Romania. Applied Sciences. 2025; 15(16):8865. https://doi.org/10.3390/app15168865
Chicago/Turabian StyleȚîmpău, Emanuella, Carmen Roba, and Maria Bizău-Cârstea. 2025. "Primary Soil Investigation near a Potentially Contaminated Site in Cluj-Napoca, Romania" Applied Sciences 15, no. 16: 8865. https://doi.org/10.3390/app15168865
APA StyleȚîmpău, E., Roba, C., & Bizău-Cârstea, M. (2025). Primary Soil Investigation near a Potentially Contaminated Site in Cluj-Napoca, Romania. Applied Sciences, 15(16), 8865. https://doi.org/10.3390/app15168865
