Cancer Risk Associated with Inhalation Exposure to PM10-Bound PAHs and PM10-Bound Heavy Metals in Polish Agglomerations
Abstract
1. Introduction
2. Materials and Methods
2.1. Study Area and Sample Collection
2.2. Statistical Analysis
2.3. Cancer Risks Assessment
3. Results and Discussion
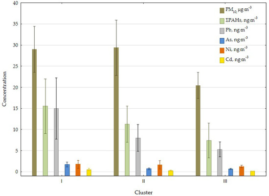
3.1. The Concentration of PM10 and PM10-Bound PAHs, and PM10-Bound Metals
3.2. Health Risk Assessment
4. Conclusions
Supplementary Materials
Author Contributions
Funding
Institutional Review Board Statement
Informed Consent Statement
Data Availability Statement
Conflicts of Interest
References
- WHO. Ambient (Outdoor) Air Pollution. Available online: https://www.who.int/en/news-room/fact-sheets/detail/ambient-(outdoor)-air-quality-and-health (accessed on 28 April 2025).
- WHO. Compendium of WHO and other UN Guidance on Health and Environment, 2022 Update. Available online: https://apps.who.int/iris/handle/10665/352844 (accessed on 30 September 2024).
- Nazar, W.; Niedoszytko, M. Air Pollution in Poland: A 2022 Narrative Review with Focus on Respiratory Diseases. Int. J. Environ. Res. Public Health 2022, 19, 895. [Google Scholar] [CrossRef] [PubMed]
- Kim, K.H.; Jahan, S.A.; Kabir, E. A review on human health perspective of air pollution with respect to allergies and asthma. Environ. Int. 2013, 59, 41–52. [Google Scholar] [CrossRef] [PubMed]
- Garg, A.; Gupta, N.C.; Kumar, A. Relative risks of cardiopulmonary and lung cancer mortality by PM2.5 exposure in ambient air of Delhi particularly during smog episode. Environ. Claims J. 2023, 35, 205–222. [Google Scholar] [CrossRef]
- Quezada-Maldonado, E.M.; Sánchez-Pérez, Y.; Chirino, Y.I.; Vaca-Paniagua, F.; García-Cuellar, C.M. miRNAs deregulation in lung cells exposed to airborne particulate matter (PM10) is associated with pathways deregulated in lung tumors. Environ. Pollut. 2018, 241, 351–358. [Google Scholar] [CrossRef] [PubMed]
- Borck, R.; Schrauth, P. Urban pollution: A global perspective. J. Environ. Econ. Manag. 2024, 126, 103013. [Google Scholar] [CrossRef]
- Ahn, H.; Lee, J.; Hong, A. Urban form and air pollution: Clustering patterns of urban form factors related to particulate matter in Seoul, Korea. Sustain. Cities Soc. 2022, 81, 103859. [Google Scholar] [CrossRef]
- Kozielska, B.; Ferdyn-Grygierek, J.; Slezakova, K.; Sowa, J.; Hassan, S.K.M. Editorial: Indoor environmental air quality in urban areas. Front. Environ. Sci. 2024, 12, 1393997. [Google Scholar] [CrossRef]
- Yu, C.; Qin, Z.; Lu, Y.; Lin, H.; Yang, C.; Yuan, Q.; Wu, Q. Integrated strategies for road transportation-related multi-pollutant control: A cross-departmental policy mix. Transp. Res. D Transp. Environ. 2024, 132, 104257. [Google Scholar] [CrossRef]
- Barreira, L.M.; Lepistö, T.; Salo, L.; Helin, A.; Aurela, M.; Saarikoski, S.; Kuittinen, N.; Rönkkö, T.; Timonen, H. Comprehensive characterization of wintertime submicron aerosol in a Nordic town influenced by residential wood combustion, traffic and industrial sources. Atmos. Pollut. Res. 2023, 14, 101835. [Google Scholar] [CrossRef]
- Maceira, A.; Borrull, F.; Marcé, R.M. Occurrence of organic contaminants bonded to the particulate matter from outdoor air influenced by industrial activities. Environ. Sci. Pollut. Res. 2022, 29, 76644–76667. [Google Scholar] [CrossRef] [PubMed]
- Kozáková, J.; Pokorná, P.; Vodička, P.; Ondráčková, L.; Ondráček, J.; Křůmal, K.; Mikuška, P.; Hovorka, J.; Moravec, P.; Schwarz, J. The influence of local emissions and regional air pollution transport on a European air pollution hot spot. Environ. Sci. Pollut. Res. 2019, 26, 1675–1692. [Google Scholar] [CrossRef] [PubMed]
- Koolen, C.D.; Rothenberg, G. Air Pollution in Europe. Chem. Sus. Chem. 2019, 12, 164–172. [Google Scholar] [CrossRef] [PubMed]
- EEA. Country Fact Sheets. Available online: https://www.eea.europa.eu/en/analysis/maps-and-charts/air-quality-statistics-dashboards (accessed on 30 September 2024).
- Kozielska, B.; Rogula-Kozłowska, W.; Klejnowski, K. Selected organic compounds in fine particulate matter at the regional background, urban background and urban traffic points in Silesia (Poland). Int. J. Environ. Res. 2015, 9, 575–584. [Google Scholar]
- Ghosh, B.; Padhy, P.K.; Niyogi, S.; Patra, P.K.; Hecker, M. A comparative study of heavy metal pollution in ambient air and the health risks assessment in industrial, urban and semi-urban areas of West Bengal, India: An evaluation of carcinogenic, non-carcinogenic, and additional lifetime cancer cases. Environments 2023, 10, 190. [Google Scholar] [CrossRef]
- Yoo, J.; Lee, Y.; Park, Y.; Lee, J.; Choi, J.Y.; Lee, H.; Lim, J.U. Update in Association between Lung Cancer and Air Pollution. Tuberc. Respir. Dis. 2025, 88, 228–236. [Google Scholar] [CrossRef] [PubMed]
- Huang, F.; Pan, B.; Wu, J.; Chen, E.; Chen, L. Relationship between exposure to PM2.5 and lung cancer incidence and mortality: A meta-analysis. Oncotarget 2017, 8, 43322–43331. [Google Scholar] [CrossRef] [PubMed]
- Li, F.-J.; Yang, H.-W.; Ayyamperumal, R.; Liu, Y. Pollution, sources, and human health risk assessment of heavy metals in urban areas around industrialization and urbanization-Northwest China. Chemosphere 2022, 308, 136396. [Google Scholar] [CrossRef] [PubMed]
- U.S. EPA. Integrated Science Assessment (ISA) for Particulate Matter (Final Report, Dec 2019); U.S. Environmental Protection Agency: Washington, DC, USA, 2019; EPA/600/R-19/188. [Google Scholar]
- U.S. EPA. Benefits and Costs of the Clean Air Act. Available online: https://www.epa.gov/clean-air-act-overview/benefits-and-costs-clean-air-act (accessed on 30 April 2025).
- IQAir. World’s Most Polluted Cities 2024. Available online: https://www.iqair.com/world-air-quality-report (accessed on 5 May 2025).
- WHO. Ambient Air Quality Database (Update Jan 2024). Available online: https://www.who.int/publications/m/item/who-ambient-air-quality-database-(update-jan-2024) (accessed on 30 April 2025).
- Yang, Q.; Liu, G.; Falandysz, J.; Yang, L.; Zhao, C.; Chen, C.; Sun, Y.; Zheng, M.; Jiang, G. Atmospheric emissions of particulate matter-bound heavy metals from industrial sources. Sci. Total Environ. 2024, 947, 174467. [Google Scholar] [CrossRef] [PubMed]
- Liu, Y.; Xu, F.; Liu, W.; Liu, X.; Wang, D. Characteristics, sources, exposure, and health effects of heavy metals in atmospheric particulate matter. Curr. Pollution Rep. 2025, 11, 16. [Google Scholar] [CrossRef]
- EC. Air. Available online: https://environment.ec.europa.eu/topics/air_en (accessed on 10 May 2025).
- EEA. Air Quality in Europe 2022: Health Impacts of Air Pollution in Europe. Available online: https://www.eea.europa.eu/publications/air-quality-in-europe-2022/health-impacts-of-air-pollution (accessed on 10 May 2025).
- WHO. WHO Global Air Quality Guidelines. Particulate Matter (PM2.5 and PM10), Ozone, Nitrogen Dioxide, Sulfur Dioxide and Carbon Monoxide; WHO: Geneva, Switzerland, 2021; Available online: https://iris.who.int/handle/10665/345329 (accessed on 30 September 2024).
- IARC. IARC Monographs on the Identification of Carcinogenic Hazards to Humans; IARC: Lyon, France, 2021; Available online: https://monographs.iarc.who.int/list-of-classifications (accessed on 30 September 2024).
- IRC. Air Pollution and Cancer; IARC Scientific Publication No. 161; Straif, K., Cohen, A., Samet, J., Eds.; IARC: Lyon, France, 2013; Available online: https://publications.iarc.fr/Book-And-Report-Series/Iarc-Scientific-Publications/Air-Pollution-And-Cancer-2013 (accessed on 30 September 2024).
- WHO. WHO Guidelines for Indoor Air Quality: Selected Pollutants; WHO Regional Office for Europe: Copenhagen, Denmark, 2010; Volume 9. [Google Scholar]
- Rogula-Kozłowska, W. Size-segregated urban particulate matter: Mass closure, chemical composition, and primary and secondary matter content. Air Qual. Atmos. Health 2016, 9, 533–550. [Google Scholar] [CrossRef] [PubMed]
- Rachwał, M.; Wawer, M.; Jabłońska, M.; Rogula-Kozłowska, W.; Rogula-Kopiec, P. Geochemical and mineralogical characteristics of airborne particulate matter in relation to human health risk. Minerals 2020, 10, 866. [Google Scholar] [CrossRef]
- Vithanage, M.; Bandara, P.C.; Novo, L.A.; Kumar, A.; Ambade, B.; Naveendrakumar, G.; Ranagalage, M.; Magana-Arachchi, D.N. Deposition of trace metals associated with atmospheric particulate matter: Environmental fate and health risk assessment. Chemosphere 2022, 303, 135051. [Google Scholar] [CrossRef] [PubMed]
- Jeong, S. The impact of air pollution on human health in Suwon City. Asian J. Atmos. Environ. 2013, 7, 227–233. [Google Scholar] [CrossRef]
- Khaniabadi, Y.O.; Goudarzi, G.; Daryanoosh, S.M.; Borgini, A.; Tittarelli, A.; De Marco, A. Exposure to PM 10, NO2, and O3 andimpacts on human health. Environ. Sci. Pollut. Res. 2017, 24, 2781–2789. [Google Scholar] [CrossRef] [PubMed]
- Kim, K.H.; Jahan, S.A.; Kabir, E.; Brown, R.J.C. A review of airborne polycyclic aromatic hydrocarbons (PAHs) and their human health effects. Environ. Int. 2013, 60, 71–80. [Google Scholar] [CrossRef] [PubMed]
- Zheng, N.; Liu, J.; Wang, Q.; Liang, Z. Health risk assessment of heavy metal exposure to street dust in the zinc smelting district, Northeast of China. Sci. Total Environ. 2010, 408, 726–733. [Google Scholar] [CrossRef] [PubMed]
- Mohmand, J.; Eqani, S.; Fasola, M.; Alamdar, A.; Mustafa, I.; Ali, N.; Liu, L.P.; Peng, S.; Shen, H. Human exposure to toxic metals via contaminated dust: Bio-accumulation trends and their potential risk estimation. Chemosphere 2015, 132, 142–151. [Google Scholar] [CrossRef] [PubMed]
- Herojeet, R.; Rishi, M.S.; Kishore, N. Integrated approach of heavy metal pollution indices and complexity quantification using chemometric models in the Sirsa Basin, Nalagarh valley, Himachal Pradesh, India. Chin. J. Chem. 2015, 34, 620–633. [Google Scholar] [CrossRef]
- Swaringen, B.F.; Gawlik, E.; Kamenov, G.D.; McTigue, N.E.; Cornwell, D.A.; Bonzongo, J.-C.J. Children’s exposure to environmental lead: A review of potential sources, blood levels, and methods used to reduce exposure. Environ. Res. 2022, 204, 112025. [Google Scholar] [CrossRef] [PubMed]
- Lohani, M.B.; Singh, A.; Rupainwar, D.C.; Dhar, D.N. Seasonal variations of heavy metal contamination in river Gomti of Lucknow city region. Environ. Monit. Assess 2008, 147, 253–263. [Google Scholar] [CrossRef] [PubMed]
- Balali-Mood, M.; Naseri, K.; Tahergorabi, Z.; Khazdair, M.R.; Sadeghi, M. Toxic mechanisms of five heavy metals: Mercury, lead, chromium, cadmium, and arsenic. Front. Pharmaco. 2021, 227, 643972. [Google Scholar] [CrossRef] [PubMed]
- Li, H.; Li, H.; Zhang, L.; Cheng, M.; Guo, L.; He, Q.; Wang, X.; Wang, Y. High cancer risk from inhalation exposure to PAHs in Fenhe Plain in winter: A particulate size distribution-based study. Atmos. Environ. 2019, 216, 116924. [Google Scholar] [CrossRef]
- Chen, B.H.; Chen, Y.C. Formation of polycyclic aromatic hydrocarbons in the smoke from heated model lipids and food lipids. J. Agric. Food Chem. 2001, 49, 5238–5243. [Google Scholar] [CrossRef] [PubMed]
- Elovaara, E.; Mikkola, J.; Stockmann-Juvala, H.; Luukkanen, L.; Keski-Hynnilä, H.; Kostiainen, R.; Pasanen, M.; Pelkonen, O.; Vainio, H. Polycyclic aromatic hydrocarbon (PAH) metabolizing enzyme activities in human lung, and their inducibility by exposure to naphthalene, phenanthrene, pyrene, chrysene, and benzo(a)pyrene as shown in the rat lung and liver. Arch. Toxicol. 2007, 81, 169–182. [Google Scholar] [CrossRef] [PubMed]
- Mallah, M.A.; Changxing, L.; Mallah, M.A.; Noreen, S.; Liu, Y.; Saeed, M.; Xi, H.; Ahmed, B.; Feng, F.; Mirjat, A.A.; et al. Polycyclic aromatic hydrocarbon and its effects on human health: An overview. Chemosphere 2022, 296, 133948. [Google Scholar] [CrossRef] [PubMed]
- Jarvis, I.W.H.; Dreij, K.; Mattsson, A.; Jernström, B.; Stenius, U. Interactions between polycyclic aromatic hydrocarbons in complex mixtures and implications for cancer risk assessment. Toxicology 2014, 321, 27–39. [Google Scholar] [CrossRef] [PubMed]
- Tung, E.W.Y.; Philbrook, N.A.; Belanger, C.L.; Ansari, S.; Winn, L.M. Benzo[a]pyrene increases DNA double strand break repair in vitro and in vivo: A possible mechanism for benzo[a]pyrene-induced toxicity. Mutat. Res. Genet. Toxicol. Environ. Mutagen. 2014, 760, 64–69. [Google Scholar] [CrossRef] [PubMed]
- Shi, T.; Knaapen, A.M.; Begerow, J.; Birmili, W.; Borm, P.J.; Schins, R.P. Temporal variations of hydroxyl radical generation and 8-hydroxy-2’-deoxyguanosine formation by coarse and fine particulate matter. Occup. Environ. Med. 2003, 60, 315–321. [Google Scholar] [CrossRef] [PubMed]
- Danielsen, P.H.; Møller, P.; Jensen, K.A.; Sharma, A.K.; Wallin, H.; Bossi, R.; Autrup, H.; Mølhave, L.; Ravanat, J.-L.; Briedé, J.J.; et al. Oxidative stress, DNA damage, and inflammation induced by ambient air and wood smoke particulate matter in human A549 and THP-1 cell lines. Chem. Res. Toxicol. 2011, 24, 168–184. [Google Scholar] [CrossRef] [PubMed]
- Topinka, J.; Hovorka, J.; Milcova, A.; Schmuczerova, J.; Krouzek, J.; Rossner, P.; Sram, R.J. An acellular assay to assess the genotoxicity of complex mixtures of organic pollutants bound on size segregated aerosol. Part I: DNA adducts. Toxicol. Lett. 2010, 98, 304–311. [Google Scholar] [CrossRef] [PubMed]
- EEA. Air Quality in Europe 2024. Available online: https://www.eea.europa.eu//publications/europes-air-quality-status-2024 (accessed on 30 September 2024).
- USEPA. Guidelines for Carcinogen Risk Assessment; (EPA/630/P-03/001F); USEPA: Washington, DC, USA, 2005. Available online: http://www.epa.gov/osa/guidelines-carcinogen-risk-assessment (accessed on 21 July 2024).
- Delgado-Saborit, J.M.; Stark, C.; Harrison, R.M. Carcinogenic potential, levels and sources of polycyclic aromatic hydrocarbon mixtures in indoor and outdoor environments and their implications for air quality standards. Environ. Int. 2011, 37, 383–392. [Google Scholar] [CrossRef] [PubMed]
- EC. Council Directive 2004/107/EC Relating to Arsenic, Cadmium, Mercury, Nickel and Polycyclic Aromatic Hydrocarbons in Ambient Air. Available online: http://eur-lex.europa.eu/LexUriServ/LexUriServ.do?uri=OJ:L:2005:023:0003:0016:EN:PDF (accessed on 6 September 2024).
- EC. Directive (EU) 2024/2881 of the European Parliament and of the Council of 23 October 2024 on Ambient Air Quality and Cleaner Air for Europe (Recast). Available online: https://eur-lex.europa.eu/legal-content/EN/TXT/PDF/?uri=OJ:L_202402881&qid=1746441426446 (accessed on 30 April 2025).
- EEP. Status Report of Air Quality in Europe for Year 2023, Using Validated and up-to-Date Data; ETC-HE Report 2024/5. Available online: https://www.eionet.europa.eu/etcs/all-etc-reports (accessed on 30 April 2025).
- Manxhuka, B.; Hofmarcher, T. Cancer Dashboard for Poland–Lung Cancer. 2024. Available online: https://onkologia.org.pl/sites/default/files/publications/2024-09/ihe_-_lung_cancer_dashboard_poland.pdf (accessed on 30 May 2025).
- CIEP. Chief Inspectorate of Environmental Protection. Available online: https://powietrze.gios.gov.pl/pjp/archives (accessed on 30 September 2024).
- PN-EN 12341:2014-07; Ambient Air—Standard Gravimetric Measurement Method to Determine the Concentration of Mass Fractions PM10 or PM2.5 Particulate Matter. CEN: Brussels, Belgium, 2014.
- PN-EN 15549:2011; Air Quality—Standard Method for the Measurement of the Concentration of Benzo[a]pyrene in Ambient Air. CEN: Brussels, Belgium, 2011.
- PN-EN 14902:2010; Ambient Air Quality-Standard Method for the Measurement of Pb, Cd, As and Ni in the PM10 Fraction of Suspended Particulate Matter. CEN: Brussels, Belgium, 2010.
- US EPA. U.S. Environmental Protection Agency-Air Quality Analysis Division 2008; United States Environmental Protection Agency: Washington, DC, USA, 2008; EPA-454/B. [Google Scholar]
- EnHealth Council. Environmental Health Risk Assessment—Guidelines for Assessing Human Health Risks from Environmental Hazards; Australian Government Department of Health and Aged Care: Canberra, ACT, Australia, 2022. Available online: https://www.health.gov.au/sites/default/files/documents/2022/07/enhealth-guidance-guidelines-for-assessing-human-health-risks-from-environmental-hazards.pdf (accessed on 30 April 2025).
- Chiang, K.-C.; Chio, C.-P.; Chiang, Y.-H.; Liao, C.-M. Assessing hazardous risks of human exposure to temple airborne polycyclic aromatic hydrocarbons. J. Hazard. Mater. 2009, 166, 676–685. [Google Scholar] [CrossRef] [PubMed]
- Fadel, M.; Courcot, D.; Afif, C.; Ledoux, F. Methods for the assessment of health risk induced by contaminants in atmospheric particulate matter: A review. Environ. Chem. Lett. 2022, 20, 3289–3311. [Google Scholar] [CrossRef]
- Cao, S.; Duan, X.; Zhao, X.; Ma, J.; Dong, T.; Huang, N.; Sun, C.; He, B.; Wei, F. Health risks from the exposure of children to As, Se, Pb and other heavy metals near the largest coking plant in China. Sci. Total Environ. 2014, 472, 1001–1009. [Google Scholar] [CrossRef] [PubMed]
- Dahmardeh Behrooz, R.; Kaskaoutis, D.G.; Grivas, G.; Mihalopoulos, N. Human health risk assessment for toxic elements in the extreme ambient dust conditions observed in Sistan, Iran. Chemosphere 2021, 262, 127835. [Google Scholar] [CrossRef] [PubMed]
- Larsen, J.C.; Larsen, P.B. Chemical carcinogens. In Air Pollution and Health; Herster, R.E., Harrison, R.M., Eds.; Royal Society of Chemistry: Cambridge, UK, 1998; pp. 33–56. [Google Scholar]
- USEPA. Exposure Factors Handbook 2011 Edition (Final); U.S. Environmental Protection Agency: Washington, DC, USA, 2011; EPA/600/R-09/052F. [Google Scholar]
- USEPA. Supplemental Guidance for Developing Soil Screening Levels for Superfund Sites; U.S. Environmental Protection Agency: Washington, DC, USA, 2002. [Google Scholar]
- Peng, C.; Chen, W.; Liao, X.; Wang, M.; Ouyang, Z.; Jiao, W.; Bai, Y. Polycyclic aromatic hydrocarbons in urban soils of Beijing: Status, sources, distribution and potential risk. Environ. Pollut. 2011, 159, 802–808. [Google Scholar] [CrossRef] [PubMed]
- OEHHA. Available online: https://oehha.ca.gov/chemicals (accessed on 30 September 2024).
- US EPA. Exposure Factors Handbook: 2011 Edition; National Center of Environmental Assessment, Office of Research and Development: Washington, DC, USA, 2011; EPA/600/R-09/052F. Available online: https://rais.ornl.gov/documents/EFH_2011.pdf (accessed on 2 July 2025).
- Onjia, A. Concentration unit mistakes in health risk assessment of polycyclic aromatic hydrocarbons in soil, sediment, and indoor/road dust. Front. Environ. Sci. 2024, 12, 1370397. [Google Scholar] [CrossRef]
- IEP-PIB. Air Quality Assessment in Zones for 2022 Summary Report; Institute of Environmental Protection–National Research Institute: Warszawa, Poland, 2023. Available online: https://powietrze.gios.gov.pl/pjp/content/show/1004683 (accessed on 30 April 2025).
- EEA. Air Quality in Europe 2021: Europe’s Air Quality Status 2021. Available online: https://www.eea.europa.eu/publications/air-quality-in-europe-2021 (accessed on 30 September 2024).
- Jasiński, R.; Galant-Gołębiewska, M.; Nowak, M.; Kurtyka, K.; Kurzawska, P.; Maciejewska, M.; Ginter, M. Emissions and Concentrations of Particulate Matter in Poznan Compared with Other Polish and European Cities. Atmosphere 2021, 12, 533. [Google Scholar] [CrossRef]
- Traczyk, P.; Gruszecka-Kosowska, A. The Condition of Air Pollution in Kraków, Poland, in 2005–2020, with Health Risk Assessment. Int. J. Environ. Res. Public Health 2020, 17, 6063. [Google Scholar] [CrossRef] [PubMed]
- Zgłobicki, W.; Baran-Zgłobicka, B. Air Pollution in Major Polish Cities in the Period 2005–2021: Intensity, effects and attempts to reduce it. Environ. Res. 2024, 240, 117497. [Google Scholar] [CrossRef] [PubMed]
- Ministry of Climate and Environment. Regulation of the Minister of Climate and Environment of 12 April 2021 on the Levels of Certain Substances in the Air; Journal of Laws 2021, Item 845; Consolidated Text of 2012 Regulation; Ministry of Climate and Environment: Warsaw, Poland, 2012.
- Danek, T.; Weglinska, E.; Zareba, M. The influence of meteorological factors and terrain on air pollution concentration and migration: A geostatistical case study from Krakow. Poland. Sci. Rep. 2022, 12, 11050. [Google Scholar] [CrossRef] [PubMed]
- Gorzelnik, T.; Bogacki, M.; Oleniacz, R. Identification of Factors Influencing Episodes of High PM10 Concentrations in the Air in Krakow (Poland) Using Random Forest Method. Sustainability 2024, 16, 9015. [Google Scholar] [CrossRef]
- Kaleta, D.; Kozielska, B. Spatial and temporal volatility of PM2.5, PM10 and PM10-Bound B[a]P concentrations and assessment of the exposure of the population of Silesia in 2018–2021. Int. J. Environ. Res. Public Health 2023, 20, 138. [Google Scholar] [CrossRef] [PubMed]
- Ministry of Climate and Environment. National Emission Inventory of SO2, NOx, CO, NH3, NMVOCs, Particulate Matter, Heavy Metals, and POPs for the Years 1990–2021; Synthesis Report; Ministry of Climate and Environment: Warsaw, Poland, 2023. Available online: https://bip.mos.gov.pl/fileadmin/user_upload/bip/rejestry_ewidence_archiwa/DPM/Bilans_emisji_za_lata_1990-2021.pdf (accessed on 30 April 2025).
- Tomaz, S.; Shahpoury, P.; Jaffrezo, J.-J.; Lammel, G.; Perraudin, E.; Villenave, E.; Albinet, A. One-year study of polycyclic aromatic compounds at an urban site in Grenoble (France): Seasonal variations, gas/particle partitioning and cancer risk estimation. Sci. Total Environ. 2016, 565, 1071–1083. [Google Scholar] [CrossRef] [PubMed]
- Kozielska, B.; Żeliński, J.; Cieślar, M. The occurrence of polycyclic aromatic hydrocarbons in bottom ash from individual heating devices. Zeszyty Naukowe SGSP 2022, 83, 7–18. [Google Scholar] [CrossRef]
- Siudek, P. Atmospheric Deposition of Polycyclic Aromatic Hydrocarbons (PAHs) in the Coastal Urban Environment of Poland: Sources and Transport Patterns. Int. J. Environ. Res. Public Health 2022, 19, 14183. [Google Scholar] [CrossRef] [PubMed]
- Cieślik, E.; Fabiańska, M.J. Preservation of geochemical markers during co-combustion of hard coal and various domestic waste materials. Sci. Total Environ. 2021, 768, 144638. [Google Scholar] [CrossRef] [PubMed]
- Majewski, G.; Rogula-Kozłowska, W. The elemental composition and origin of fine ambient particles in the largest Polish conurbation: First results from the short-term winter campaign. Theor. Appl. Climatol. 2016, 125, 79–92. [Google Scholar] [CrossRef]
- Reizer, M.; Juda-Rezler, K. Explaining the high PM10 concentrations observed in Polish urban areas. Air Qual. Atmos. Health 2016, 9, 517–553. [Google Scholar] [CrossRef] [PubMed]
- Pastuszka, J.S.; Rogula-Kozłowska, W.; Zajusz-Zubek, E. Characterization of PM10 and PM2.5 and associated heavy metals at the crossroads and urban background site in Zabrze, Upper Silesia, Poland, during the smog episodes. Environ. Monit. Assess 2010, 168, 613–627. [Google Scholar] [CrossRef] [PubMed]
- Kalbarczyk, R.; Kalbarczyk, E. Structure of Pb concentration variability in PM10 particulate matter in Poland and its dependence on thermal air conditions and precipitation. Atmos. Res. 2025, 326, 108306. [Google Scholar] [CrossRef]
- Czernecki, B.; Półrolniczak, M.; Kolendowicz, L.; Marosz, M.; Kendzierski, S. Influence of the atmospheric conditions on PM10 concentrations in Poznań, Poland. J. Atmos. Chem. 2017, 74, 115–139. [Google Scholar] [CrossRef]
- Rogula-Kozłowska, W.; Penkała, M.; Bihałowicz, J.S.; Rogula-Kopiec, P.; Bihałowicz, J.; Błaszczak, B. Assessment of differences in elemental concentrations in particulate matter from road surfaces near and outside noise barriers in Poland. Arch. Environ. Prot. 2025, 51, 92–102. [Google Scholar] [CrossRef]
- Hołtra, A.; Zamorska-Wojdyła, D. Application of individual and integrated pollution indices of trace elements to evaluate the noise barrier impact on the soil environment in Wroclaw (Poland). Environ. Sci. Pollut. Res. 2023, 30, 26858–26873. [Google Scholar] [CrossRef] [PubMed]
- Zgłobicki, W.; Telecka, M.; Skupiński, S. Assessment of short-term changes in street dust pollution with heavy metals in Lublin (E Poland)-levels, sources and risks. Environ. Sci. Pollut. Res. 2019, 26, 35049–35060. [Google Scholar] [CrossRef] [PubMed]
- Cenowski, M. Zawartość arsenu, kadmu i niklu w pyle zawieszonym PM10 pobranym w powietrzu atmosferycznym w miejscach o różnym stopniu presji antropogenicznej. Ochr. Pow. Probl. Odp. 2009, 43, 94–103. [Google Scholar]
- Biernacik, D.; Jakusik, E. Charakterystyka wybranych elementów meteorologicznych w Szczecinie. In Współczesne Problemy Retencji Wód; IMGW-PIB: Warszawa, Poland, 2018; Available online: https://www.researchgate.net/publication/344875126_Charakterystyka_wybranych_elementow_meteorologicznych_w_Szczecinie_The_characteristics_of_the_selected_meteorological_elements_in_Szczecin (accessed on 4 July 2025).
- Bodor, K.; Bodor, Z.; Szép, A.; Szép, R. Human health impact assessment and temporal distribution of trace elements in Copșa Mică- Romania. Sci. Rep. 2021, 11, 7049. [Google Scholar] [CrossRef] [PubMed]
- Elhadi, R.E.; Abdullah, A.M.; Abdullah, A.H.; Hanan Ash’aari, Z.; Kura, N.U.; Gumel, D.Y.; Adamu, A. Source Identification of Heavy Metals in Particulate Matter (PM10) in a Malaysian Traffic Area Using Multivariate Techniques. Pol. J. Environ. Stud. 2017, 26, 2523–2532. [Google Scholar] [CrossRef] [PubMed]
- Tang, Y.; Han, G. Characteristics of major elements and heavy metals in atmospheric dust in Beijing, China. J. Geochem. Explor 2017, 176, 114–119. [Google Scholar] [CrossRef]
- Suris, F.N.A.; Bakar, M.A.A.; Ariff, N.M.; Mohd Nadzir, M.S.; Ibrahim, K. Malaysia PM10 air quality time series clustering based on dynamic time warping. Atmosphere 2022, 13, 503. [Google Scholar] [CrossRef]
- Qiao, X.; Ying, Q.; Li, X.; Zhang, H.; Hu, J.; Tang, Y.; Chen, X. Source apportionment of PM2.5 for 25 Chinese provincial capitals and municipalities using a source-oriented Community Multiscale Air Quality model. Sci. Total Environ. 2018, 612, 462–471. [Google Scholar] [CrossRef] [PubMed]
- Dominick, D.; Juahir, H.; Latif, M.T.; Zain, S.M.; Aris, A.Z. Spatial assessment of air quality patterns in Malaysia using multivariate analysis. Atmos. Environ. 2012, 60, 172–181. [Google Scholar] [CrossRef]
- Masiol, M.; Rampazzo, G.; Ceccato, D.; Squizzato, S.; Pavoni, B. Characterization of PM10 sources in a coastal area near Venice (Italy): An application of factor-cluster analysis. Chemosphere 2010, 80, 771–778. [Google Scholar] [CrossRef] [PubMed]
- CSO. Mortality in 2021. Deaths by Cause-Preliminary Data. Central Statistical Office: Warszawa, Poland. 2021. Available online: https://stat.gov.pl/obszary-tematyczne/ludnosc/statystyka-przyczyn-zgonow/umieralnosc-w-2021-roku-zgony-wedlug-przyczyn-dane-wstepne,10,3.html (accessed on 30 May 2025).
- OECD/European Union. Health at a Glance: Europe 2022: State of Health in the EU Cycle; OECD Publishing: Paris, France, 2022. [Google Scholar]
- Polish National Cancer Registry. Available online: https://onkologia.org.pl/en/report (accessed on 30 May 2025).
- EEA. Healthy Environment, Healthy Lives: How the Environment Influences Health and Well-Being in Europe. 2020. Available online: https://www.eea.europa.eu/en/analysis/publications/healthy-environment-healthy-lives (accessed on 30 May 2025).
- IHME. Institute for Health Metrics and Evaluation. Global Burden of Disease Data Set. 2020. Available online: https://ghdx.healthdata.org/gbd-results-tool (accessed on 30 May 2025).
- Wu, D.; Ma, Z.; Diao, H.; Wang, W.; Chen, L.; Zhou, D.; Yang, J.; Zhen, Q. Characteristics, potential sources, and cancer risk apportionment of PM10-bound polycyclic aromatic hydrocarbons in Bengbu, Central China. Front. Public Health 2024, 12, 1445782. [Google Scholar] [CrossRef] [PubMed]
- Agudelo-Castañeda, D.M.; Teixeira, E.C.; Schneider, I.L.; Lara, S.R.; Silva, L.F.O. Exposure to polycyclic aromatic hydrocarbons in atmospheric PM1.0 of urban environments: Carcinogenic and mutagenic respiratory health risk by age groups. Environ. Pollut. 2017, 224, 158–170. [Google Scholar] [CrossRef] [PubMed]
- US EPA. Regional Screening Levels (RSLs)–Generic Tables. U.S. EPA 2023. Available online: https://www.epa.gov/risk/regional-screening-levels-rsls-generic-tables (accessed on 30 April 2025).
- Rogula-Kozłowska, W.; Kozielska, B.; Błaszczak, B.; Klejnowski, K. The mass distribution of particle-bound PAH among aerosol fractions: A case-study of an urban area in Poland. In Organic Pollutants Ten Years After the Stockholm Convention-Environmental and Analytical Update; Puzyn, T., Mostrag-Szlichtyng, A., Eds.; IntechOpen: London, UK, 2012; pp. 163–190. [Google Scholar]
- Aldekheel, M.; Farahani, V.J.; Sioutas, C. Assessing Lifetime Cancer Risk Associated with Population Exposure to PM-Bound PAHs and Carcinogenic Metals in Three Mid-Latitude Metropolitan Cities. Toxics 2023, 11, 697. [Google Scholar] [CrossRef] [PubMed]
- Iakovides, M.; Iakovides, G.; Stephanou, E.G. Atmospheric particlebound polycyclic aromatic hydrocarbons, n-alkanes, hopanes, steranes and trace metals: PM2.5 source identification, individual and cumulative multi-pathway lifetime cancer risk assessment in the urban environment. Sci. Total Environ. 2021, 752, 141834. [Google Scholar] [CrossRef] [PubMed]
- Widziewicz, K.; Rogula-Kozłowska, W.; Loska, K.; Kociszewska, K.; Majewski, G. Health risk impacts of exposure to airborne metals and benzo(a)pyrene during episodes of high PM10 concentrations in Poland. Biomed. Environ. Sci. 2018, 31, 23–36. [Google Scholar] [CrossRef] [PubMed]
- Obradović, J.; Vesković, J.; Jovašević-Stojanović, M.; Obradović, M.; Onjia, A. Two-dimensional Monte Carlo simulation of source-specific risks from PM2.5-bound polycyclic aromatic hydrocarbons in indoor and outdoor school environments. Build. Environ. 2025, 279, 113050. [Google Scholar] [CrossRef]
- Majewski, G.; Klik, B.; Rogula-Kozłowska, W.; Rogula-Kopiec, P.; Rybak, J.; Radziemska, M.; Liniauskienė, E. Assessment of heavy metal inhalation risks in urban environments in Poland: A Case Study. J. Ecol. Eng. 2023, 24, 330–340. [Google Scholar] [CrossRef] [PubMed]
- Caggiano, R.; Sabia, S.; Speranza, A. Trace elements and human health risks assessment of finer aerosol atmospheric particles (PM1). Environ. Sci. Pollut. Res. Int. 2019, 26, 36423–36433. [Google Scholar] [CrossRef] [PubMed]
- Mainka, A. Children health risk assessment of metals in total suspended particulate matter (TSP) and PM1 in kindergartens during winter and spring seasons. Atmosphere 2021, 12, 1096. [Google Scholar] [CrossRef]
- Goudarzi, G.; Baboli, Z.; Moslemnia, M.; Tobekhak, M.; Birgani, Y.T.; Neisi, A.; Ghanemi, K.; Babaei, A.A.; Hashemzadeh, B.; Angali, K.A.; et al. Assessment of incremental lifetime cancer risks of ambient air PM10-bound PAHs in oil-rich cities of Iran. J. Environ. Health Sci. Eng. 2021, 19, 319–330. [Google Scholar] [CrossRef] [PubMed]
- Kozielska, B.; Rogula-Kozłowska, W.; Klejnowski, K. Seasonal variations in health hazards from polycyclic aromatic hydrocarbons bound to submicrometer particles at three characteristic sites in the heavily polluted polish region. Atmosphere 2015, 6, 1–20. [Google Scholar] [CrossRef]
- Orellano, P.; Reynoso, J.; Quaranta, N.; Bardach, A.; Ciapponi, A. Short-term exposure to particulate matter (PM10 and PM2.5), nitrogen dioxide (NO2), and ozone (O3) and all-cause and cause-specific mortality: Systematic review and meta-analysis. Environ. Int. 2020, 142, 105876. [Google Scholar] [CrossRef] [PubMed]
- Slama, A.; Śliwczyński, A.; Woźnica, J.; Zdrolik, M.; Wiśnicki, B.; Kubajek, J.; Turżańska-Wieczorek, O.; Gozdowski, D.; Wierzba, W.; Franek, E. Impact of air pollution on hospital admissions with a focus on respiratory diseases: A time-series multi-city analysis. Environ. Sci. Pollut. Res. 2019, 26, 16998–17009. [Google Scholar] [CrossRef] [PubMed]
- Miletić, A.; Vesković, J.; Lučić, M.; Onjia, A. Monte Carlo simulation of source-specific risks of soil at an abandoned lead-acid battery recycling site. Stoch. Environ. Res. Risk Assess 2024, 38, 3313–3329. [Google Scholar] [CrossRef]
- European Statistical Office (EUROSTAT). Population on 1 January by Age Groups and Sex-Functional Urban Areas. Dataset 2022. Available online: https://ec.europa.eu/eurostat/databrowser/view/urb_lpop1/default/table?lang=en&category=urb.urb_luz (accessed on 2 February 2025).
- Central Statistical Office (CSO). Life Expectancy Tables of Poland 2018. 2019. Available online: https://stat.gov.pl/obszary-tematyczne/ludnosc/trwanie-zycia/trwanie-zycia-w-2018-r-,2,13.html (accessed on 2 February 2025).
- Central Statistical Office (CSO). Life Expectancy Tables of Poland 2021. 2022. Available online: https://stat.gov.pl/obszary-tematyczne/ludnosc/trwanie-zycia/trwanie-zycia-w-2021-roku,2,16.html (accessed on 2 February 2025).
- Central Statistical Office (CSO). Life Expectancy of Poland in 2023. 2024. Available online: https://stat.gov.pl/obszary-tematyczne/ludnosc/trwanie-zycia/trwanie-zycia-w-2023-roku,2,18.html (accessed on 2 February 2025).





| Agglomeration | 2018 | 2019 | 2020 | 2021 | 2022 |
|---|---|---|---|---|---|
| Tricity | 9.49 (0.37–42.90) | 5.17 (0.31–26.05) | 5.59 (0.34–25.62) | 7.50 (0.38–42.40) | 4.47 (0.35–26.39) |
| Upper Silesia | 25.59 (1.27–89.95) | 21.96 (0.96–74.67) | 19.78 (1.43–69.09) | 21.75 (1.18–83.61) | 14.18 (1.38–45.62) |
| Cracow | 21.15 (1.20–101.58) | 16.96 (0.70–77.63) | 16.36(0.72–80.06) | 16.27 (0.88–72.37) | 9.90 (0.66–40.55) |
| Lublin | 9.35 (0.10–47.53) | 6.30 (0.08–21.60) | 8.56 (0.31–31.42) | 10.64 (0.24–40.35) | 7.27 (0.35–30.61) |
| Łódź | 16.47 (0.26–64.08) | 12.83 (0.36–49.02) | 11.60 (0.47–41.27) | 12.47 (0.32–41.32) | 10.83 (0.44–38.72) |
| Szczecin | 18.50 (0.77–68.97) | 6.85 (0.47–40.55) | 5.21 (0.54–27.26) | 5.61 (0.25–21.54) | 6.11 (0.45–30.12) |
| Warsaw | 10.23 (0.29–39.24) | 8.17 (0.38–31.77) | 6.56 (0.18–25.74) | 8.05 (0.35–47.85) | 5.46 (0.35–16.83) |
| Wroclaw | 14.04 (0.41–87.93) | 9.34 (0.35–50.72) | 12.14 (0.35–55.92) | 10.97 (0.35–45.99) | 5.55 (0.43–36.88) |
| Agglomeration | 2018 | 2019 | 2020 | 2021 | 2022 |
|---|---|---|---|---|---|
| MALES | |||||
| Tricity | 5.46 × 10−6 | 3.09 × 10−6 | 3.08 × 10−6 | 3.53 × 10−6 | 3.05 × 10−6 |
| Upper Silesia | 1.11 × 10−5 | 9.47 × 10−6 | 9.47 × 10−6 | 7.42 × 10−6 | 8.41 × 10−6 |
| Cracow | 8.48 × 10−6 | 7.26 × 10−6 | 6.64 × 10−6 | 6.36 × 10−6 | 4.70 × 10−6 |
| Lublin | 4.41 × 10−6 | 3.95 × 10−6 | 4.35 × 10−6 | 4.71 × 10−6 | 2.69 × 10−6 |
| Łódź | 8.30 × 10−6 | 6.18 × 10−6 | 5.43 × 10−6 | 6.36 × 10−6 | 5.84 × 10−6 |
| Szczecin | 8.80 × 10−6 | 4.75 × 10−6 | 4.59 × 10−6 | 3.88 × 10−6 | 4.41 × 10−6 |
| Warsaw | 3.91 × 10−6 | 3.14 × 10−6 | 2.73 × 10−6 | 3.30 × 10−6 | 2.72 × 10−6 |
| Wroclaw | 1.02 × 10−5 | 8.14 × 10−6 | 8.98 × 10−6 | 8.33 × 10−6 | 6.44 × 10−6 |
| FEMALES | |||||
| Tricity | 2.41 × 10−6 | 1.735 × 10−6 | 1.33 × 10−6 | 1.50 × 10−6 | 1.32 × 10−6 |
| Upper Silesia | 4.87 × 10−6 | 4.12 × 10−6 | 4.08 × 10−6 | 3.14 × 10−6 | 3.61 × 10−6 |
| Cracow | 3.82 × 10−6 | 3.25 × 10−6 | 2.94 × 10−6 | 2.79 × 10−6 | 2.10 × 10−6 |
| Lublin | 1.98 × 10−6 | 1.77 × 10−6 | 1.91 × 10−6 | 2.02 × 10−6 | 1.20 × 10−6 |
| Łódź | 3.63 × 10−6 | 2.70 × 10−6 | 2.69 × 10−6 | 2.69 × 10−6 | 2.51 × 10−6 |
| Szczecin | 3.89 × 10−6 | 2.10 × 10−6 | 2.01 × 10−6 | 1.68 × 10−6 | 1.93 × 10−6 |
| Warsaw | 1.75 × 10−6 | 1.40 × 10−6 | 1.20 × 10−6 | 1.43 × 10−6 | 1.22 × 10−6 |
| Wroclaw | 4.54 × 10−6 | 3.61 × 10−6 | 3.95 × 10−6 | 3.59 × 10−6 | 2.82 × 10−6 |
| Country, City | Compounds | Estimated Carcinogenic Risk | Reference | ||
|---|---|---|---|---|---|
| China, Bengbu | Male | PM10 | 16 EPA priority PAHs | 1.61 × 10−4 ÷ 8.11 × 10−4 | [114] |
| Female | 1.51 × 10−4 ÷ 7.59 × 10−4 | ||||
| Children | 3.98 × 10−5 ÷ 6.09 × 10−4 | ||||
| USA, Los Angeles | Worst case | PM2.5 | PAHs and Ni, Cd, Pb, As Cr(VI) | 3.36 × 10−6 | [118] |
| Best case | 2.07 × 10−6 | ||||
| Greece Thessaloniki | Worst case | 6.51 × 10−6 | |||
| Best case | 4.02 × 10−6 | ||||
| Italy, Milan | Worst case | 14.92 × 10−6 | |||
| Best case | 12.11 × 10−6 | ||||
| Cyprus, Nicosia | Lifetime | PM2.5 | PAHs | 2.55 × 10−7 | [119] |
| As, Cd, Co, Ni, Pb | 5.29 × 10−5 | ||||
| Iran, Zabol | Children | TSP | Ni, Cr, Cd, Co, Pb and As | 8.4 × 10−5 | [70] |
| Adult | 4.5 × 10−4 | ||||
| Children | PM2.5 | 5.0 × 10−5 | |||
| Adult | 2.7 × 10−4 | ||||
| Belgrade, Serbia | Lifetime | PM2.5 | PAHs | 5.77 × 10−5 ÷ 2.27 × 10−4 | [120] |
| Poland | Smog episodes | PM10 | B(a)P and As, Cd, Pb, and Ni | 1.13 × 10−5 | [121] |
| No smog episodes | 1.04 × 10−5 | ||||
| Poland, Silesian Voivodeship | Heating season | PM10 | B[a]P | 6.72 × 10−6÷9.74 × 10−5 | [86] |
| Non-heating season | 0.6 × 10−6 ÷ 8.7 × 10−6 | ||||
| Poland, Agglomerations | Male | PM10 | PAHs and Ni, Cd, Pb, As | 2.69 × 10−6 ÷ 1.02 × 10−5 | [This study] |
| Female | 1.20 × 10−6 ÷ 4.87 × 10−6 | ||||
Disclaimer/Publisher’s Note: The statements, opinions and data contained in all publications are solely those of the individual author(s) and contributor(s) and not of MDPI and/or the editor(s). MDPI and/or the editor(s) disclaim responsibility for any injury to people or property resulting from any ideas, methods, instructions or products referred to in the content. |
© 2025 by the authors. Licensee MDPI, Basel, Switzerland. This article is an open access article distributed under the terms and conditions of the Creative Commons Attribution (CC BY) license (https://creativecommons.org/licenses/by/4.0/).
Share and Cite
Kozielska, B.; Kaleta, D. Cancer Risk Associated with Inhalation Exposure to PM10-Bound PAHs and PM10-Bound Heavy Metals in Polish Agglomerations. Appl. Sci. 2025, 15, 7903. https://doi.org/10.3390/app15147903
Kozielska B, Kaleta D. Cancer Risk Associated with Inhalation Exposure to PM10-Bound PAHs and PM10-Bound Heavy Metals in Polish Agglomerations. Applied Sciences. 2025; 15(14):7903. https://doi.org/10.3390/app15147903
Chicago/Turabian StyleKozielska, Barbara, and Dorota Kaleta. 2025. "Cancer Risk Associated with Inhalation Exposure to PM10-Bound PAHs and PM10-Bound Heavy Metals in Polish Agglomerations" Applied Sciences 15, no. 14: 7903. https://doi.org/10.3390/app15147903
APA StyleKozielska, B., & Kaleta, D. (2025). Cancer Risk Associated with Inhalation Exposure to PM10-Bound PAHs and PM10-Bound Heavy Metals in Polish Agglomerations. Applied Sciences, 15(14), 7903. https://doi.org/10.3390/app15147903

