Next Article in Journal
Evaluation of Technical and Anthropometric Factors in Postures and Muscle Activation of Heavy-Truck Vehicle Drivers: Implications for the Design of Ergonomic Cabins
Previous Article in Journal
Effects of Daytime vs. Nighttime on Travel Mode Choice and Use Patterns: Insights from a Ride-Pooling Survey in Germany
 
 
Font Type:
Arial Georgia Verdana
Font Size:
Aa Aa Aa
Line Spacing:
Column Width:
Background:
Systematic Review

Advancements in Antenna and Rectifier Systems for RF Energy Harvesting: A Systematic Review and Meta-Analysis

by
Luis Fernando Guerrero-Vásquez
1,2,*,†,
Nathalia Alexandra Chacón-Reino
2,†,
Segundo Darío Tenezaca-Angamarca
2,
Paúl Andrés Chasi-Pesantez
1 and
Jorge Osmani Ordoñez-Ordoñez
1,2
1
Research Group on Applied Embedded Hardware (GIHEA), Universidad Politécnica Salesiana, Cuenca 010102, Ecuador
2
Research Group on Telecommunications and Telematics (GITEL), Universidad Politécnica Salesiana, Cuenca 010102, Ecuador
*
Author to whom correspondence should be addressed.
These authors contributed equally to this work.
Appl. Sci. 2025, 15(14), 7773; https://doi.org/10.3390/app15147773
Submission received: 12 June 2025 / Revised: 8 July 2025 / Accepted: 8 July 2025 / Published: 10 July 2025

Abstract

This systematic review explores recent advancements in antenna and rectifier systems for radio frequency (RF) energy harvesting within the gigahertz frequency range, aiming to support the development of sustainable and efficient low-power electronic applications. Conducted under the PRISMA methodology, our review filtered 2465 initial records down to 80 relevant studies, addressing three research questions focused on antenna design, operating frequency bands, and rectifier configurations. Key variables such as antenna type, resonant frequency, gain, efficiency, bandwidth, and physical dimensions were examined. Antenna designs including fractal, spiral, bow-tie, slot, and rectangular structures were analyzed, with fractal antennas showing the highest efficiency, while array antennas exhibited lower performance despite their compact dimensions. Frequency band analysis indicated a predominance of 2.4 GHz and 5.8 GHz applications. Evaluation of substrate materials such as FR4, Rogers, RT Duroid, textiles, and unconventional composites highlighted their impact on performance optimization. Rectifier systems including Schottky, full-wave, half-wave, microwave, multi-step, and single-step designs were assessed, with Schottky rectifiers demonstrating the highest energy conversion efficiency. Additionally, correlation analyses using boxplots explored the relationships among antenna area, efficiency, operating frequency, and gain across design variables. The findings identify current trends and design considerations crucial for enhancing RF energy harvesting technologies.

1. Introduction

The continuous search for alternative ways to generate electrical energy from non-conventional sources is driven by the need to reduce the environmental impact of energy production [1]. While large-scale energy generation relies on resources such as water, wind, natural gas, solar energy, and nuclear power, emerging alternatives at smaller scales are becoming increasingly important, particularly for powering low-power devices. Energy harvesting has emerged as a promising approach to meet the growing demand for sustainable energy solutions for electronic devices and autonomous systems [2]. This technology involves capturing and converting energy from natural environmental sources into usable electricity [3].
Among the potential sources for energy harvesting are solar light [4], piezoelectric energy [5], radio frequency (RF) signals [6,7,8], and other environmental phenomena such as temperature gradients and vibrations [9]. The collection of ambient electromagnetic energy has gained particular interest for powering small wireless electronic devices due to the ubiquitous nature of RF signals in modern environments [10]. This approach not only provides a sustainable energy source but also reduces dependency on traditional power supplies and batteries, which are often environmentally harmful.
Energy harvesting from RF signals, in particular, offers unique advantages due to the widespread presence of RF sources such as television broadcasts, cellular networks, and Wi-Fi signals. This omnipresence makes RF energy harvesting an attractive option for powering a wide range of low-power electronic devices and sensors, especially in urban environments where RF signals are abundant [11].
The potential applications of energy harvesting technology are vast and varied. In the Internet of Things (IoT), for instance, energy harvesting can provide a reliable power source for distributed sensors and devices, reducing the need for battery replacements and maintenance [12]. In wearable technology, energy harvesting can extend the battery life of devices such as smartwatches and health monitors, making them more convenient and user-friendly [13]. Implantable biomedical devices also stand to benefit significantly from this technology, as energy harvesting can potentially eliminate the need for surgical battery replacements, thereby improving patient outcomes and reducing healthcare costs [14].
In this context, this article presents an updated and comprehensive review of works related to the development of antennas focused on energy harvesting. We highlight the most recent innovations in receiver antenna design and high-performance rectifier circuit topologies. Key parameters determining the conversion efficiency of harvesting antennas (also known as rectennas) are analyzed in depth, including antenna gain, bandwidth, and impedance matching [15]. Furthermore, we discuss the integration of these antennas with power management circuits, which are crucial for developing efficient energy harvesting systems [16].
A significant portion of the review is dedicated to miniaturized and high-performance antenna designs, as these are critical for applications where space and weight are limited. Recent advancements in materials science and fabrication techniques have enabled the development of antennas with improved performance metrics such as higher gain, wider bandwidth, and better environmental robustness [2,5,17]. Additionally, the article explores the latest studies on optimizing different components of energy harvesting systems, including rectifiers and power management units, to enhance overall system efficiency [18]. This review aims to provide a thorough understanding of the current state of energy harvesting antenna technology, highlighting key advancements, ongoing challenges, and future directions. By doing so, we hope to contribute to the advancement of sustainable energy solutions that can support the growing demand for low-power electronic devices and autonomous systems.
The article is organized as follows. Section 2 presents a prior review of studies that address related topics, describing their main findings and limitations in order to establish this article’s research contribution. In Section 3, the PRISMA-based methodology is described, starting from the formulation of research questions, keywords, and search equation, as well as the inclusion and exclusion criteria used. Subsequently, Section 4 answers the research questions, presenting the results clearly, combining graphical visualizations with narratives describing the most important contributions of each study. The analysis has been divided into three sections: antenna design (Section 4.1), substrate material of rectennas (Section 4.2), and rectifier systems in RF energy harvesting (Section 4.3). Finally, Section 5 summarizes the main conclusions with regard to the most relevant findings and some perspectives from the authors as a starting point for generating new ideas in this area.

2. Related Work

To establish a robust referential framework justifying this systematic review and meta-analysis, an in-depth critical analysis of several foundational studies related to RF energy-harvesting-oriented antenna and rectifier system development is performed. The analysis follows a chronological structure, clearly identifying technological and methodological evolution within this domain. Each article’s employed methodology, quantitative or qualitative results, and primary limitations—either noted by the authors themselves or identified during critical review—are explicitly and thoroughly examined, as summarized in Table 1.
Shrestha et al. [19] conducted one of the earliest studies focusing on antennas for RF rectennas. In their work, they compared various microstrip patch antenna designs intended for energy harvesting, analyzing how geometric modifications achieved miniaturization, harmonic rejection, and frequency/polarization reconfigurability. They explained multiple patch variations (via slots, unconventional shapes, etc.) and ultimately comparatively evaluated several patch rectennas, highlighting methods to obtain more compact antennas with harmonic filtering and polarization/frequency selectivity. Although they qualitatively presented benefits of each design and suggested these strategies could improve RF harvesting performance, the study was limited to comparing theoretical designs without providing unified simulations or measurements. It did not include their own experiments or a quantitative statistical analysis, focusing instead on a narrative synthesis of existing proposals. This pioneering review demonstrated the antenna’s importance in a rectenna and served as a basis for understanding how to optimize it, but its scope was restricted to the antenna component and lacked experimental validation of each design’s relative advantages.
Lu et al. [20] broadened perspective to wireless network contexts with RF harvesting capabilities. Their review comprehensively covered advancements up to that point in radio frequency energy harvesting networks (RF-EHNs). Specifically, they offered an overview of system architecture, RF harvesting techniques, corresponding receiver circuits, and communication protocols adapted for RF-powered networks. Studies were organized by network types (single-hop networks, multi-hop networks with relays, MIMO, cognitive networks, among others) and energy transfer strategies (including SWIPT—simultaneous wireless information and power transfer). Furthermore, they discussed routing policies and power control algorithms within these systems. They presented open challenges in integrating RF harvesting into wireless networks and emphasized the necessity of co-optimized circuit and protocol designs. Their findings are primarily qualitative, compiling proposed architectures and energy management strategies across various applications (WSN, radio frequency identification (RFID), cellular networks) and identifying emergent trends. However, they provided no quantitative performance comparison; evaluation remained descriptive, and while outlining future directions, they conducted no statistical meta-analysis of performance.
Shaikh and Zeadally [21] focused their review on WSN with energy harvesting capabilities. They presented a comprehensive taxonomy of various ambient energy sources exploitable in WSNs (solar, thermal, vibration, RF) and detailed recent energy prediction models developed to estimate energy availability at sensor nodes. They compiled harvesting technologies aimed at extending battery life in WSNs and examined energy management strategies in self-sustainable networks. A significant contribution was their discussion of predictive mathematical models that enable anticipation of harvested energy, as maximizing harvesting requires adapting node consumption based on projected incoming energy. They also identified technical gaps and challenges: they noted that, despite progress in self-powered WSN prototypes, challenges persisted in achieving cost-effective, efficient, and reliable systems. Their conclusions underscored the need to improve energy conversion efficiency and develop smarter energy management schemes. However, similar to previous reviews, their analysis lacked a uniform numerical comparison, focusing instead on classifying and describing approaches without integrating performance data statistically. This reflects that in 2016, the field was still establishing categories and concepts, and less oriented towards quantitative meta-analyses.
Ku et al. [22] published a far-reaching review addressing wireless communications with energy harvesting from end to end. Responding to growing attention toward green communications, this work covered everything from energy source models to network protocols, providing a unified perspective on self-powered systems. In their introduction, they highlighted the intermittent nature of renewable sources as a challenge, and they structured their survey around several technical axes: (1) energy sources and models, (2) energy harvesting and utilization protocols, (3) scheduling and optimization algorithms for managing energy in devices, and (4) energy harvesting (EH) implementation in various network scenarios. They compiled numerous schemes proposed in the literature, for instance: energy-adaptive medium access control (MAC) protocols, resource allocation techniques in energy harvesting networks, and battery control strategies in sensor nodes. An added value of this review was its emphasis on future directions, identifying gaps such as the need for more holistic integration of energy management with communication layers. Similar to other surveys of that era, their work did not provide unified comparative metrics; instead, it technically synthesized the literature and highlighted trends.
Divakaran et al. [23] centered their review on design aspects of RFEH systems for IoT applications. They recognized that a primary barrier to implementing autonomous IoT nodes is continuous power provision and that RF harvesting emerges as a promising solution when other sources (like solar) are not viable. Nevertheless, they emphasized that harvesting energy from ambient RF signals entails significant challenges, mainly in overall conversion efficiency, operational bandwidth, and device form factor. In their review, they analyzed difficulties in designing efficient antennas for low-power environments. Subsequently, they reviewed rectifier circuits and impedance-matching networks, underscoring how losses in these modules affect total efficiency. Finally, they proposed a general design framework for ambient RFEH systems, identifying key considerations for optimizing each stage (antenna/matching network/rectifier/power management). This work provides engineering lessons: for example, it highlights that to maximize captured energy, exact conjugate impedance matching between the antenna and rectifier must be achieved at the nanowatt–microwatt power level, and that Schottky diode design is critical for weak signal reception. Although the review is systematic in identifying design “issues” and even includes a table of recommendations, once again there is no consolidated quantitative analysis.
Singh et al. [24]—published late 2020 but commonly cited as 2021—conducted a systematic and taxonomic review of the energy harvesting field in WSNs. They considered 137 articles (1998–2020) selected from databases (Web of Science, Scopus) using explicit criteria: peer-reviewed publications, relevance, and high impact. Unlike previous, more narrative works, this study applied some bibliometric analysis and classified energy harvesting solutions along multiple axes. In particular, they proposed a taxonomic classification of EH systems in WSNs, segmenting them by source type, transducer type used, and storage methods. This taxonomy allowed them to highlight recent trends in self-powered WSNs, such as an increase in hybrid proposals combining various sources, and to identify underexplored areas. The results, presented in a structured manner, aid in understanding the distribution of efforts in the field up to 2020. However, despite its more systematic methodology, the nature of the collected data remains qualitative/descriptive. The authors neither experimentally evaluated any technique nor provided performance metric comparisons between studies. Furthermore, their focus was on classifying knowledge rather than drawing conclusions about absolute efficiency; therefore, it did not address in detail the performance of specific antenna and rectifier designs.
Wagih et al. [5] offered a specialized review of antenna designs for RF rectennas, covering both ambient energy harvesting and directed wireless power transfer (WPT). This review acknowledges that the rectenna (antenna + rectifier) is a key element in any RFEH/WPT system, as it determines how much incident RF energy is ultimately converted into usable direct current (DC) power. The authors compiled numerous rectenna designs reported in the literature and categorized them according to two main criteria: (1) the impedance bandwidth between antenna and rectifier, and (2) the antenna’s radiation properties. For each category, they identified an appropriate figure of merit and compared different prominent designs along that dimension. They provided comparative tables with characteristics of relevant designs, helping readers understand design trade-offs. An important finding was that no single optimal design exists; the optimal choice depends on whether the application is ambient harvesting or dedicated WPT. Regarding limitations, this review deliberately focuses on the antenna portion: advanced rectifier circuit aspects or energy management architectures are outside its scope. Likewise, although they compare reported parameters, they do not unify test conditions, thus precluding a cross-sectional statistical meta-analysis.
Ibrahim et al. [25] published a review focused on multi-source energy harvesting techniques incorporated into antennas. Unlike other reviews centered solely on RF, this work encompassed multiple energy harvesting modalities (RF, solar photovoltaic, thermoelectric, piezoelectric) and their integration with antenna systems. The objective was to compile developments of hybrid antennas and devices capable of harvesting energy from various ambient sources simultaneously, a relevant trend for ubiquitous IoT sensors. The authors first presented principles and materials used in each technique, and then discussed projects and prototypes where antenna functionality is synthesized with harvesting devices—for instance, solar rectennas, where a photovoltaic panel simultaneously acts as an antenna’s ground plane; or antennas that extract thermal energy from the environment via integrated thermogenerating elements. This study highlights the interdisciplinarity necessary for developing self-powered nodes: it combines radio frequency considerations with materials science/energy. While it provides descriptive tables of different hybrid configurations and points out their achievements, evaluation remains largely qualitative. No consolidated quantitative performance analysis is conducted. The review concludes by emphasizing the need for developing uniform testing methodologies and for further studying antenna–rectifier co-optimization when integrating multiple sources.
Ibrahim et al. [26]—this time with an expanded team—published another extensive review specifically focused on RF energy harvesting technologies. This article acts almost as a focused update to their previous work, now concentrating on rectenna design and RF applications, given that RF harvesting has positioned itself as a prominent alternative to other sources in certain scenarios. The authors highlight the abundant ambient RF sources available—from mobile and Wi-Fi signals to radio/TV and local wireless networks—that can be exploited. They systematically cover each component of an RFEH system: receiving antennas, rectifier circuits, impedance-matching networks between antenna and rectifier, and power management modules. For each category, they offer an overview of the most representative recent designs, discussing their pros and cons under various metrics. Likewise, they examine flexible and portable antennas, given the interest in wearables and body-worn IoT devices, commenting on efficiency results under curvature or proximity to body. This review also dedicates sections to recent RFEH applications, from autonomous industrial sensors and active RFID tags to wearable health nodes, describing cases where harvested RF energy complements or replaces batteries. However, similar to previous studies, it does not perform global statistical meta-analyses: performance comparisons are presented on a case-by-case basis but are not normalized under a common framework. The authors emphasize the difficulty of achieving high efficiency with weak ambient signals and the importance of advances in semiconductor technology to improve rectifiers.
Ullah et al. [27] exclusively focused on the antenna component within RFEH/WPT systems, reflecting increasing specialization in recent reviews. Their article provides a comprehensive overview of advancements in receiving antennas for RF harvesting, organizing antennas into four categories: low-profile antennas, multiband antennas, circularly polarized antennas, and antenna arrays. For each category, they present and compare multiple contemporary designs, analyzing their design principles and reported performance. Regarding low-profile antennas, they discuss the use of high-permittivity dielectric materials or fractal geometries to reduce size; for multiband antennas, they review modified monopole structures and slotted patches with resonant elements, among others, enabling concurrent coverage of multiple frequencies; for circularly polarized antennas, they evaluate slotting or dual-feed techniques to achieve dual polarizations, useful in capturing signals indifferent to orientation; and for arrays, they examine how array configurations increase captured power and directivity. The authors thoroughly discuss the performance of these antennas, consistently drawing upon data from original articles. Furthermore, they dedicate a section to current design and manufacturing challenges: they point out difficulties such as losses in flexible materials, extreme miniaturization for IoT, and integration of antennas into compact devices. They also identify emerging trends, such as the use of metamaterials and additive manufacturing to create more efficient RFEH antennas. In their final reflections, the authors highlight several open issues: the need to improve the overall conversion efficiency of rectennas, the challenge of creating designs that maintain performance in dynamic environments, and the lack of standards for evaluating and comparing RFEH systems. Similar to other reviews, this work does not conduct an aggregated numerical meta-analysis; however, by confining itself to antennas, it was possible to include some direct comparisons.
Collectively, these studies (2013–2022) illustrate the evolution of research in RFEH, transitioning from relatively specific analyses to much more comprehensive reviews. Clear trends emerge: earlier reviews prioritized taxonomy and classification (organizing proposals by source type or technique), while more recent ones delve into specific design details and technical challenges (maximizing efficiency at low power, miniaturization, multiband operation). A progressive specialization is also evident. For instance, Wagih et al. [5] and Ullah et al. [27] focus exclusively on antennas and rectennas, reflecting that the subfield of RFEH antennas has matured enough to warrant dedicated reviews. In contrast, works by Ibrahim et al. [25,26] cover antennas, rectifiers, and power management, attempting to integrate a complete system perspective. Despite the variety in approaches, all studies consistently highlight common challenges: the low power of ambient RF signals, losses in rectification circuits, the necessity of broadband impedance matching, and size limitations when integrating these solutions into real-world IoT devices.
Despite these significant contributions, a critical review of the literature reveals common methodological gaps. First, none of the previous studies conducted a statistical meta-analysis of published experimental results. Each review typically summarizes efficiencies or powers obtained in some exemplary works, but there is no consolidated analysis that combines data from multiple studies to draw conclusions with statistical validity. Second, many reviews are limited to qualitative comparison due to heterogeneous conditions: each author evaluates their rectenna under different frequencies and powers, making direct comparison difficult. This lack of normalization is a gap that a new meta-analysis could address by extrapolating efficiencies to common conditions or applying unified models to compare designs. Third, we observe that most reviews segmented problem by discipline, but few fully integrated an interdisciplinary perspective. This is crucial in RFEH: an antenna’s performance cannot be divorced from the rectifier it powers.
While the analyzed studies have made significant contributions, a need persists for a new systematic review with meta-analysis to address the identified gaps. Recent trends show growing interest and sufficient published data to attempt a rigorous quantitative synthesis. A current systematic review and meta-analysis, focused on antenna and rectifier systems for RF energy harvesting, would be justified for several clear reasons: (i) to integrate knowledge, combining insights from antennas and rectifiers within a unified framework and jointly evaluating their performance across different frequencies and power levels—an aspect largely addressed separately until now; (ii) to update evidence, incorporating very recent prototype and experimental results that were unavailable in previous reviews; (iii) to conduct a statistical meta-analysis, extracting comparable quantitative data from the literature and analyzing it using statistical techniques to draw more objective conclusions about which approaches offer significant advantages; and (iv) to robustly identify common gaps—by amalgamating results from numerous studies, patterns, outliers, and areas with insufficient data can be identified, thereby guiding future research based on aggregated evidence.

3. Methodology: PRISMA for Information Filtering

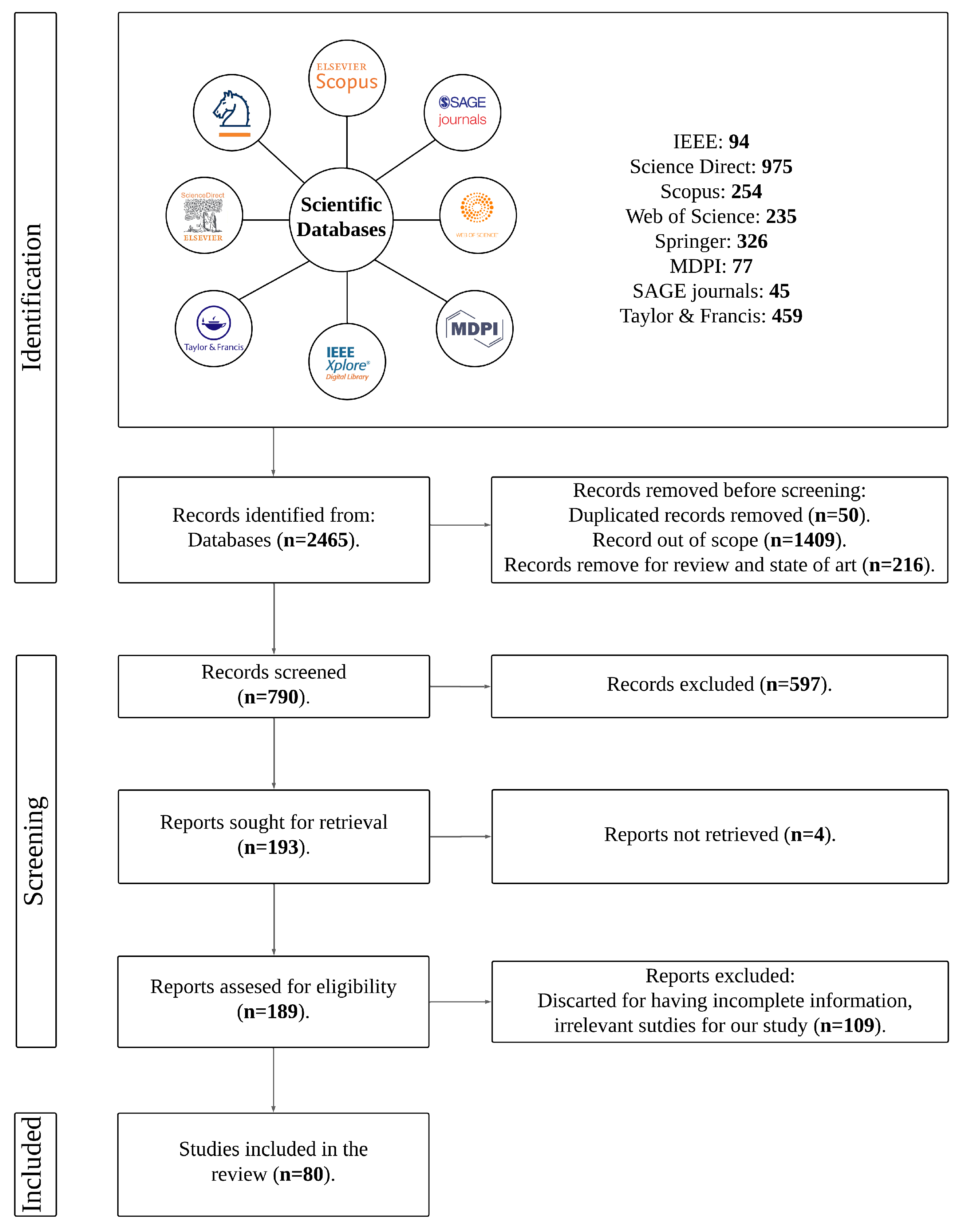
We employed the PRISMA (Preferred Reporting Items for Systematic Reviews and Meta-Analyses) method [28]. This approach ensured a comprehensive and unbiased selection of relevant studies from databases such as Web of Science, IEEE, Springer, Scopus, and others. The initial search yielded 2465 papers, which were systematically filtered based on their relevance to microstrip antennas and energy harvesting applications.
  • RQ1. What are the different types of antenna designs commonly used in energy harvesting applications, and what are their specific characteristics?
    The primary objective of this question is to gather comprehensive information about the various antenna designs employed in energy harvesting applications and to understand the unique characteristics of each design. This includes analyzing the design geometry, materials used, and performance metrics such as gain, efficiency, and bandwidth.
  • RQ2. What are the most commonly used frequency bands for RF energy harvesting in energy harvesting applications?
    This question aims to determine the most prevalent or effective frequency bands for energy harvesting using antennas in RF applications. Identifying these bands is crucial for understanding which frequencies are most suitable for different environments and applications, thereby optimizing the design and deployment of energy harvesting systems.
  • RQ3. What are the main rectifier systems used in converting energy captured by antennas in energy harvesting systems, and what are the key characteristics that influence their efficiency and conversion capacity?
    This question seeks to identify the most commonly used rectifier systems and their key characteristics in terms of efficiency and conversion capacity. Understanding these systems is vital for improving the overall efficiency of energy harvesting devices, as rectifiers play a crucial role in converting the captured RF energy into usable electrical power.
Following the formulation of these research questions, we identified relevant keywords for our search: antenna, rectenna, energy harvesting, energy collecting, power transfer, wireless power transfer. Using these keywords, we constructed a research string (RS) as follows:
RS = ( a n t e n n a O R r e c t e n n a ) A N D ( e n e r g y h a r v e s t i n g O R e n e r g y c o l l e c t i n g O R p o w e r t r a n s f e r O R w i r e l e s s p o w e r t r a n s f e r )
Reference databases included Web of Science, Taylor and Francis, Springer, Scopus, ScienceDirect, SAGE, MDPI, and IEEE. These databases were selected based on the interdisciplinary nature of their publications and their relevance to the field of energy harvesting. We aimed to include all significant databases used by other authors in previous studies. Given the substantial number of articles obtained, no additional techniques were employed to increase the quantity of results.
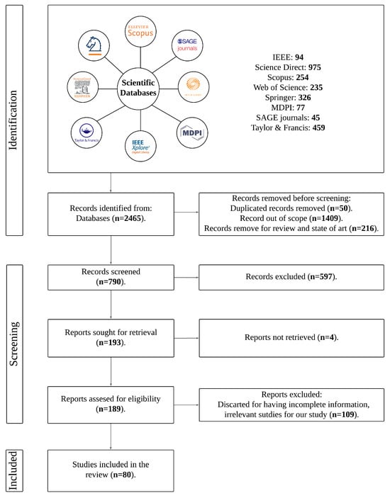
We applied the systematic process established in PRISMA method to filter scientific articles, as illustrated in Figure 1. This process ensured that only the most relevant and high-quality studies were included in our review.
  • Identification: During the first phase, we collected the metadata of the initially retrieved articles and subsequently applied systematic criteria to determine their inclusion or exclusion. These criteria were predefined to filter the literature relevant to the study’s objectives. We started by excluding non-technical systematic reviews and state-of-the-art studies that lacked a strong technical foundation or presented analyses that were not suitable for the purposes of this study.
  • Screening: In the second phase, we examined the articles based on their title, abstract, and keywords. During this process, we excluded articles that were unrelated to our topic, as well as brief and irrelevant articles. We also eliminated articles that were not accessible or lacked sufficient information for our analysis.
  • Included: In the third phase, we conducted a thorough review of each article, including those that provided detailed formulations of their results. This in-depth review ensured that only the most relevant studies were included in our final analysis.
Table 2 summarizes the articles included in our review ( n = 80 ). This table includes the authors, source, year, and country of each study. Regarding document type, 75.00% ( n = 60 ) are journal articles, 21.25% ( n = 17 ) are book chapters, and 3.75% ( n = 3 ) are conference articles. This distribution reflects the diversity and depth of the research conducted in the field of energy harvesting antennas.
Regarding the origin country of studies, it is noted that the majority of contributions come from India, accounting for 20.00% ( n = 16 ), followed by China with 12.50% ( n = 10 ). Other countries such as United States, Iran, the United Kingdom, and Malaysia each contribute 6.25% ( n = 5 ); Greece contributes 5.00% ( n = 4 ); Brazil, Pakistan, Egypt, and Ecuador each contribute 3.75% ( n = 3 ); and Japan and France contribute 2.50% ( n = 2 ). Remaining countries, including Germany, Italy, Thailand, Belgium, Saudi Arabia, Algeria, Taiwan, Israel, Argentina, Iraq, Vietnam, Cyprus, Spain, and Senegal, each contribute one article, equivalent to 1.25% ( n = 1 ).
Figure 2 provides a visual representation of these findings through a geographical map, highlighting the global distribution of contributions. This visualization underscores the widespread interest and participation of diverse regions in advancing research within this field.
To complement the PRISMA methodology, an article selection process was implemented through independent review by three experts. This approach primarily aimed to minimize publication bias; however, we acknowledge the inherent possibility that unpublished negative results may have been excluded.
Given the predominantly qualitative nature of the data extracted in this study, and the resulting lack of explicit information on effect sizes in the majority of sources reviewed, it was not possible to compute formal heterogeneity metrics. This limitation is common in reviews that include a high proportion of qualitative studies, where findings are often presented descriptively or narratively rather than quantitatively. We acknowledge that this may affect the ability to generalize the findings and to identify inconsistencies across the included studies.

4. Results

This work aims to address the research questions presented above. After extracting relevant information from articles included in our review, we identified several key variables that will allow us to structure the answers in a more organized, coherent, and easy-to-understand manner.
These are the key variables in our analysis:
  • Antenna design.
  • Rectifier systems.
  • Frequency bands.
Each key variable play a critical role in determining the performance of energy harvesting. By thoroughly analyzing these factors, we aim to highlight their individual contributions to area, efficiency, gain, and frequency. Table 3 summarizes selected studies, systematically classified based on the key variables established for analytical purposes.

4.1. RQ1. What Are the Different Types of Antenna Designs Commonly Used in Energy Harvesting Applications, and What Are Their Specific Characteristics?

To address this research question, a detailed examination is conducted to identify the predominant antenna architectures employed in rectenna-based energy harvesting systems. The analysis is organized into three subsections. The first outlines the principal antenna designs reported in the literature, emphasizing structural typologies and typical use cases. The second subsection explores how these designs correlate with key physical parameters—such as surface area, radiation efficiency, operating frequency, and gain—highlighting trade-offs and performance implications. Finally, the third subsection analyzes the substrate materials’ influence on antenna performance, considering dielectric properties and fabrication constraints relevant to low-power energy harvesting scenarios.

4.1.1. Antenna Architectures for Energy Harvesting

Figure 3 shows reference designs of different types of antennas identified in the documents. Each of these antenna designs offers unique strengths, and the key to optimizing performance lies in selecting the right type for specific application. Whether it is the efficiency and compactness of fractal antennas or the precise beam control of array antennas that is needed, choosing the appropriate design ensures that the energy harvesting system can meet its operational goals effectively.
From the reviewed literature, the percentage distribution of each analyzed antenna type was determined, as shown in Figure 4. The results reveal that rectangular patch antennas are the most extensively studied, with a significantly larger representation in the literature compared to other antenna types. Furthermore, Table 4 provides a comprehensive classification of the articles dedicated to different antenna designs. This analysis highlights the prominence of rectangular patch antennas while recognizing the diversity of antenna types explored for energy harvesting applications.
To provide a more detailed description of the identified antenna types, each design is briefly outlined below.
  • Rectangular
Rectangular patch antennas remain a staple in wireless communication. Their low profile and ease of manufacturing, combined with an omnidirectional radiation pattern, make them a popular choice across various industries, particularly in mobile and IoT applications, as summarized in Table 5.
Mendes et al. [58] and Pandey et al. [89] focus on dual-band rectangular antennas, highlighting their capacity for efficient RF energy capture across two distinct frequency ranges. These designs emphasize optimization’s role in improving energy conversion and are presented as highly effective solutions for sustainable energy harvesting. Similarly, Karampatea et al. [62] introduce a dual-band rectenna with a dual-mode metallic rim design, which enhances signal capture in both bands, offering greater adaptability and flexibility for RF energy harvesting.
For applications demanding broader spectral coverage, Kurvey et al. [45], Saravanan et al. [94], and Boursianis et al. [82] propose triple-band rectangular antennas. Kurvey et al.’s [45] stepped design demonstrates exceptional versatility and improved efficiency, making it suitable for scenarios requiring a wide frequency range. Boursianis et al. [82] further enhance this concept with a single-layer rectenna capable of triple-band operation, optimized for outdoor energy harvesting applications. Saravanan et al. [94] contribute a triple-band microstrip-based rectenna, showcasing its ability to efficiently convert RF energy into usable electrical power across multiple bands. These studies underscore the adaptability of rectangular antennas to meet diverse frequency requirements and their potential in advancing energy harvesting technologies.
Rectangular antennas are widely used in energy harvesting applications due to their versatility. Nimo et al. [31] propose an E-shaped design with circular polarization and high gain, while Ghadimi et al. [32] present a T-shaped microstrip antenna efficient in two frequency bands. Kamoda et al. [36] highlight a loop design on an artificial magnetic conductor for dual reception, and Naresh et al. [68] develop a stepped structure to optimize RF signal conversion. Sidibe et al. [81] introduce a compact 3D antenna with high gain and directivity, while Linge et al. [106] evaluate the use of polylactic acid (PLA) as an efficient substrate in rectennas.
Zheng et al. [97] examine how fabric structures impact efficiency and functionality of printed radio frequency identification—ultra-high-frequency (RFID UHF) antennas, highlighting materials’ relevance in energy harvesting applications through the implementation of three antennas with differing thicknesses. The results show that thickness variations affect operating frequencies, which in turn influence the bandwidth achieved by each antenna. Similarly, Díaz et al. [59] analyze how the substrate material affects the efficiency of meander antennas, concluding that appropriate selection can optimize RF energy transfer.
On the other hand, Quddious et al. [75] present a dual-band rectenna designed for UHF and ISM applications, showing high efficiency in converting energy across multiple spectrums. Finally, Liu et al. [92] develop a compact rectangular rectenna that simplifies wireless power transmission, proving effective in converting electromagnetic energy into usable electrical power. On the other hand, Yadav et al. [87], Dawood Butt et al. [86], and K. Shafique et al. [50] present an innovative low-cost antenna system design for energy harvesting, aimed at implementation in IoT applications. Their focus is on developing an accessible solution to leverage energy from radio signals in this widely utilized frequency range.
In Das Tejaswee Triyambak et al. [52] and Mohammad Haerinia and Sima Noghanian [54], focus is placed on using microstrip antennas specifically designed for resonant frequencies, such as the 2.45 GHz ISM band. This approach enables innovative applications like wireless charging of low-power devices, integrating rectennas and booster circuits that maximize energy conversion efficiency. Furthermore, using advanced materials like Kapton substrate and flexible manufacturing techniques enhances these antennas’ adaptability and robustness for modern applications.
In particular, Vu Ngoc Anh, Ha, et al. [71] highlight the design of a compact metallic antenna with an edge structure operating in two frequency bands: 925 MHz and 2450 MHz. This antenna enables efficient ambient RF signal harvesting. It achieves radiation efficiencies of 47% and 89%. Its dual-resonant design enhances RF-to-DC conversion efficiency by optimizing capacitive coupling and impedance matching across both bands.
Similarly, Fan Yi et al. [100] present a dual-band implantable antenna (ISM: 900 MHz and 2.4 GHz) designed for medical applications, specifically for RF energy harvesting and data transmission. This antenna utilizes multiple radiating branches and a C-shaped slot to achieve bandwidths of 44.2% and 33.5%. The lower band is used for RF energy harvesting via a rectifier with 52% efficiency at 5 dBm, while the upper band facilitates communication with external medical devices.
The system described in Jung et al. [78] operates simultaneously in UHF and frequency modulation (FM) bands, utilizing a rectangular antenna design fabricated on low-cost FR4. This system, which requires no alignment, achieves a radiation efficiency of >85% and harvests up to 231 μ W and 885 μ W under real-world conditions, with a sensitivity of −18 dBm. Its innovation lies in its ability to capture energy from all directions and across multiple frequencies, overcoming the limitations of unidirectional designs, making it ideal for autonomous IoT/WSN applications.
  • Array
Array antennas, though known for their compact design, tend to lag behind in terms of efficiency. However, they offer a highly directive radiation pattern, which is essential in applications like radar or communication systems where precise beam control is a priority, as shown in Table 6.
Pookkapund and Phongcharoenpanich [37] conducted a study focused on creating a planar dipole antenna array placed over a square reflector. Almoneef et al. [39], Lin and Lan [53], Lee et al. [84], and Ghaderi et al. [49] concentrate on researching methods and techniques for efficient RF energy harvesting antennas with varied polarizations.
Moreover Elwi et al. [57] focus on developing a printed antenna that utilizes Hilbert-type metamaterials and is constructed on organic substrates with the objective of improving efficient RF energy harvesting. In another study, Elwi [65] employs metamaterials in designing an antenna array capable of operating in ultra-wideband (UWB) frequency ranges, demonstrating the versatility of metamaterials in advanced antenna systems.
Amir et al. [66] present a microstrip patch array operating at 2.45 GHz, fabricated on an FR4 substrate, designed to maximize gain and spectral selectivity. This antenna incorporates an electromagnetic bandgap (EBG) structure and an integrated filter, achieving harmonic suppression and high gain. In contrast, Cumbajín et al. [91] utilize a rectangular patch antenna with inset feed in a dual array, also operating at 2.45 GHz. Fabricated on FR4, it achieves a gain of 7.73 dB. Characterized by a reflection coefficient of −30 dB, its design with a cooperative feeding network enhances efficiency in RF energy capture.
Awais et al. [60] employ a fractal array patch antenna designed for operation in the 2.4–2.5 GHz (Wi-Fi) band. Fabricated on an FR4 substrate, this antenna stands out for its miniaturization, achieved through a fractal design, yielding a reflection coefficient of −32.66 dB at 2.47 GHz. Its fractal structure optimizes RF energy capture in environments with scattered signals, integrated with a Cockcroft–Walton rectifier for hybrid IoT applications. Meanwhile, Anilkumar et al. [88] present a fractal loop antenna based on Hilbert geometry, designed for triple-band rectenna applications. Fabricated on an FR4 substrate, this antenna utilizes a coaxial feeder and incorporates fractal elements within a square loop to reduce operating frequency and enhance bandwidth. The fractal structure achieves multiband behavior. A 1 × 2 array is implemented with three feeding configurations, where the unidirectional fed model stands out for its omnidirectional radiation pattern and improved gain. This antenna is optimized for integration into IoT systems and RF energy harvesting.
Eltresy et al. [63] presents two antenna designs for RF energy harvesting in an IoT system. The first design is a 2 × 2 circularly polarized (CP) antenna array, fabricated on an FR4 substrate, operating in the 2.45 GHz band and utilizing a sequential feeding technique to achieve circular polarization. This array offers a multi-directional radiation pattern, ideal for capturing RF energy from sources with unknown orientation. The second design is a dual-linear polarized antenna array (DLPAA), operating in multiple bands with high radiation efficiency (≈95%) and dual polarization, maximizing energy capture in environments with polarization diversity.
Roy et al. [80] present a quad-band, multiport rectenna. Its primary novelty lies in using multiple frequency-dependent antenna ports. This enables the system to fully exploit available frequency bands (Global System for Mobile Communications (GSM)–900, GSM–1800, third generation (3G), and Wi-Fi), as well as spatial and polarization diversity, maximizing harvested RF energy. The antenna’s multiport configuration is crucial for its ability to capture energy from different sources and directions simultaneously, making it a robust, high-performance solution for energy harvesting in urban environments with multiple RF signals present.
Lopez-Garde et al. [83] describe the design, fabrication, and characterization of a 2 × 2 textile rectenna array intended for RF energy harvesting in the 2.4 GHz (Wi-Fi) band. The key feature of this work lies in implementing electromagnetically coupled microstrip patch antennas fabricated on a textile substrate, offering significant advantages in terms of flexibility, lightness, and integrability into clothing or wearable devices. As an array, the antenna allows for greater incident power capture and improved overall system efficiency. The electromagnetically coupled configuration also contributes to optimizing the antenna’s bandwidth and radiative efficiency, crucial aspects for effective energy harvesting.
  • Slot
For applications requiring linear polarization and precise directional control, slot antennas offer a compelling solution. They are often favored in radar and high-frequency communication systems due to their straightforward design and reliable performance, as summarized in Table 7.
Broutas et al. [30] propose direct integration of an antenna into a passive sensor tag, eliminating the need for external batteries and wires. This E-shaped slotted antenna stands out for its high efficiency in RF energy capture, ensuring reliable operation even in environments with limited power sources. On the other hand, Khemar et al. [48] present an evolved microstrip patch antenna design that incorporates strategically placed circular slots to optimize RF energy harvesting in two frequency bands. These modifications enable superior performance in energy harvesting applications.
Mansour et al. [61] present a circularly polarized rectenna enhanced through integration of L-shaped slots, optimizing efficiency in wireless energy harvesting by effectively adapting impedance between the antenna and power source. Meanwhile, Khemar et al. [73] introduce an antenna with a star-shaped slot, specifically designed for RF energy harvesting in the GSM band. This design, capable of operating across a broad frequency spectrum, proves ideal for capturing GSM signals under diverse conditions.
Xu et al. [99] present the design of a circularly polarized antenna intended for microwave wireless power transfer in medical or implantable environments. The antenna incorporates square slots and an additional oval-shaped slot in its final stage, optimizing the capture and conversion of microwave energy into usable power. On the other hand, Jalali et al. [108] introduce a circularly polarized antenna with a spiral-shaped slot, designed to operate across multiple frequency bands. This design, optimized for IoT, achieves high efficiency in RF energy harvesting.
Garg et al. [43] present a dual-band rectenna design, capable of operating at two distinct frequencies, making it a versatile solution suitable for environments with variable RF signals. Its wearable design allows integration into wearable devices, optimizing efficient energy harvesting. This approach represents a promising solution for powering low-power devices in IoT and wearable applications, offering a sustainable and autonomous energy source.
Chandravanshi et al. [70] present a study focused on developing an integrated slotted antenna designed for wideband frequency operation. The results demonstrate its effectiveness in RF energy harvesting across a varied spectrum. Additionally, the authors introduce a microstrip antenna design with arrow-shaped slots, equipped with two ports and optimized for wireless power harvesting in the LTE (long-term evolution) band. This dual-port design has shown high efficiency in capturing energy within this band. On the other hand, Singh et al. [44] present an antenna specifically designed to operate in two distinct frequency ranges, achieving effective RF energy harvesting in both bands.
Polaiah, Geriki, K. Krishnamoorthy, and Muralidhar Kulkarni [67] propose a dual-band planar rectenna designed for RF energy harvesting in Universal Mobile Telecommunication Service (UMTS) bands. The core contribution of this work lies in its antenna, which is a slot-type antenna. This particular slot geometry is key to achieving dual-band behavior and optimizing impedance matching, a critical aspect for maximizing the rectenna’s conversion efficiency.
Abdelhady and Dardeer [85] present a self-adaptive rectenna designed for RF energy harvesting applications. The key receiving element is a slotted rectangular patch antenna with a partial ground plane, optimized for operation at 2.45 GHz. This antenna is engineered to capture ambient RF energy, and its performance is fundamental to overall system efficiency. The antenna’s design, coupled with the implementation of a rectifier circuit, allows maintaining high RF-to-DC conversion efficiency across a wide range of input power levels.
Wang et al. [72] present a compact and efficient dual-port microstrip rectenna designed for wireless RF energy harvesting in the LTE band. Their innovation primarily lies in the antenna, which incorporates two ports and features a complex geometry with arrow-shaped, circular, and rectangular slots. This multifaceted antenna design is crucial for its ability to efficiently capture RF energy in the LTE band while facilitating a dual-port connection. This configuration not only optimizes energy harvesting but also allows for better matching between antenna and rectifier circuit.
  • Circular
Circular antennas serve a different niche. Their ability to handle circular polarization allows them to efficiently interact with circular waves, a crucial requirement in satellite communication, as detailed in Table 8.
In the study presented by Elshaekh et al. [103], a circular antenna with a printed split-ring resonator is developed, achieving circular polarization. Specifically designed for energy harvesting, this antenna effectively captures radio frequency energy under circular polarization conditions. The results highlight its efficiency in RF energy capture, positioning it as a promising alternative for power harvesting applications. Similarly, Wang et al. [107] focus on designing a circular antenna that features omnidirectional reception and dual polarization, enabling efficient energy capture from multiple directions. This study optimizes RF energy harvesting capabilities under diverse conditions and angles, making it particularly suitable for energy harvesting in dynamic environments.
Amer et al. [74] present research focused on developing a metasurface designed for efficient electromagnetic energy capture. This metasurface is distinguished by its ability to receive signals from a wide range of incidence angles, making it especially suitable for energy harvesting under diverse conditions and directions. The study results highlight its high efficiency in electromagnetic energy capture.
On another front, Wagih et al. [79] introduce the design of a circular textile rectenna notable for its low profile and ability to capture energy omnidirectionally with dual polarization. This rectenna has achieved over 50% efficiency, positioning it as an ideal solution for wearable applications where power sources are limited. These findings underscore this innovation’s effectiveness in high-efficiency energy capture, significantly contributing to portable device autonomy.
Lemey et al. [38] present a circular design characterized by its modularity, flexibility, lightness, and ability to integrate an energy harvesting system. The research focuses on developing a versatile RFID tag, adaptable to various applications and wearable environments. The authors highlight this tag’s efficiency in radiofrequency energy capture, as well as its flexible and lightweight operation.
Kaim et al. [104] design a multi-channel, implantable cubic rectenna system based on MIMO (multiple-input multiple-output) technology, aimed at enhancing wireless power transfer in biotelemetry applications. The most relevant aspect here is the implementation of antennas with CP diversity distributed in a cubic format. This antenna design enables more robust and efficient RF energy capture by exploiting diversity in orthogonal space, which is crucial for optimizing power transfer within a biological environment.
Meanwhile, Sreelakshmy and Vairavel [51] introduce a cufflink-shaped rectenna designed to operate within a single frequency range. This study examines the rectenna’s effectiveness in capturing and converting RF energy within a specific frequency interval. Results underscore the single-band rectenna’s effectiveness in harvesting and converting RF energy into a usable electrical source.
In [76], Lu et al. present the design of an ultra-wideband circular rectenna that employs a complementary resonant structure for efficient microwave energy capture. This design is suitable for both transmission and energy harvesting across a broad frequency spectrum, notable for its versatility in microwave applications.
On the other hand, Li et al. [101] introduce research focused on developing and modeling a dual-band circular rectenna, achieving high efficiency in radio frequency energy harvesting. This device utilizes a dielectric resonant antenna array to optimize energy capture across two distinct frequency bands.
Finally, Prashad et al. [105] present the design of a simple circular rectenna that excels in compactness and efficiency for RF energy harvesting within the ISM spectrum, offering a practical and efficient solution for specific applications.
  • Spiral
In particular, spiral antennas offer broadband, frequency-independent performance, making them exceptionally versatile for wideband applications, while also maintaining a compact form, as illustrated in Table 9.
Fantuzzi et al. [35] focus on designing an Archimedean spiral antenna that operates in the UWB and UHF frequency bands. Similarly, research such as that of Abdi et al. [55] presents similar designs aimed at localization and energy harvesting applications in the UHF band. Meanwhile, Assogba et al. [95] introduce a triple-band spiral antenna optimized for operation in the UHF, GSM-1800, and UMTS-2100 bands.
Additionally, Mohamad et al. [42] evaluate a flexible spiral-shaped antenna, based on Kapton, designed for near-field wireless power transfer. On the other hand, Muttlak et al. [96] propose a compact and low-cost spiral antenna, specifically designed for implantable medical receivers.
  • Bow-Tie
Bow-tie antennas, with their simple yet effective design, provide a wide bandwidth. This makes them particularly useful in applications such as television broadcasting and radar systems. While they do not always achieve the highest efficiency, their simplicity and broad range make them a flexible choice for various systems, as presented in Table 10.
Song et al. [41] analyze matching network elimination in wideband rectennas, aiming to significantly improve efficiency in wireless transmission and RF energy harvesting through a bow-tie design. On the other hand, Karampatea and Siakavara [64] present research on synthesizing a bow-tie antenna specifically designed to power microwatt sensors, leveraging energy from available ambient RF signals.
Finally, Roy et al. [77] focus on designing a quad-band rectenna optimized for ambient RF energy harvesting. This design is conceived to operate across four distinct frequency bands, providing high versatility for various RF energy harvesting applications.
  • Fractal
Antenna design is a fundamental factor in shaping the performance of energy harvesting systems, and each type of antenna offers distinct advantages depending on the application at hand. For instance, fractal antennas are widely recognized for their remarkable efficiency and ability to operate across multiple frequency bands. Their intricate geometric patterns enable miniaturization while still maintaining performance, making them ideal for devices where space is at a premium, such as in wearable technology, as shown in Table 11.
Chuma et al. [46] present a compact rectenna design that integrates a rectifier circuit and a fractal-based microstrip patch antenna. Incorporating a fractal design for the antenna is fundamental to achieving significant circuit area reduction, making this rectenna highly suitable for energy harvesting and wireless power transfer applications where size is a critical factor. The antenna is optimized to harvest RF energy in the 2.45 GHz ISM band.
Volakis et al. [29] present a fractal antenna designed for an energy harvesting system that utilizes ambient Wi-Fi signals as a source. This study focuses on developing an efficient system capable of capturing and converting energy from available Wi-Fi networks in the environment, transforming them into a usable power source.
The article by Dhaliwal et al. [40] presents research focused on creating a hybrid algorithm that combines a bacterial foraging optimization (BFO) algorithm with an artificial neural network (ANN) for designing a compact fractal antenna intended for a rectenna system.
Cumbajin et al. [102] present a fractal antenna for the creation of a hybrid energy storage system combining a rectenna and photovoltaic cells to power low-power wireless IoT devices.
  • Others
In addition to primary antenna categories established in existing literature, a subset of designs features highly specific geometries or hybrid configurations that deviate from conventional classifications. To ensure a comprehensive and inclusive analytical framework, these atypical instances have been consolidated under the “other” category. While less frequently encountered, such designs often represent novel approaches or context-specific adaptations; consequently, their inclusion offers valuable insight into emerging trends and alternative strategies in energy harvesting antenna development, as summarized in Table 12.
Zhang et al. [33] develop a compact dipole-type rectenna for wireless power transfer in the ISM spectrum. Kim et al. [34] present technologies aimed at capturing ambient RF energy, specifically designed for autonomous wireless sensor systems. Assimonis et al. [47] investigate a compact, high-efficiency rectenna for ultra-low-power RF energy harvesting.
Moreover, Sabban et al. [56] develop compact metamaterial antennas, including dipoles and slots, focusing on medical applications and IoT devices. Karampatea et al. [62] analyze hybrid rectennas employing printed dipoles on double-negative dielectric media to power sensors via ambient RF energy. Silva et al. [69] design a dual-output quasi-Yagi antenna to capture RF energy outside the primary range.
Additionally, Wagih et al. [93] investigate a compact, wide-spectrum textile antenna, suitable for near-field and far-field wireless power transmission. Wei et al. [98] develop a scalable dual-band metasurface array, designed for electromagnetic energy harvesting and wireless power transmission.
Gordón et al. [90] focus on developing two types of microstrip antennas specifically designed for electromagnetic energy harvesting systems. The first is a hybrid resonator planar structure antenna, optimized to operate at 900 MHz. The second is a multiband Archimedean spiral antenna, covering a broader frequency range from 1 to 3 GHz. Both antennas are distinguished by their design on a low-cost FR4 substrate and their ability to operate efficiently at standard frequencies like GSM, Wi-Fi, LTE, and UMTS, making them highly promising for ambient energy harvesting in various locations and at different times.

4.1.2. Correlation Between Antenna Geometry and Performance Metrics

To deepen the understanding of how antenna design influences system performance, this subsection analyzes the relationship between geometric and electromagnetic parameters—such as area, efficiency, operating frequency, and gain—across the different antenna categories identified previously. A series of box plot visualizations is employed to highlight statistical trends and variations within each design type, enabling comparative insights into performance trade-offs relevant to energy harvesting applications. This methodological approach has been previously reported and validated in related literature, where similar analyses were used to extract meaningful patterns across antenna configurations [109].
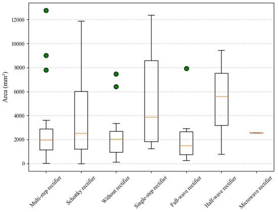
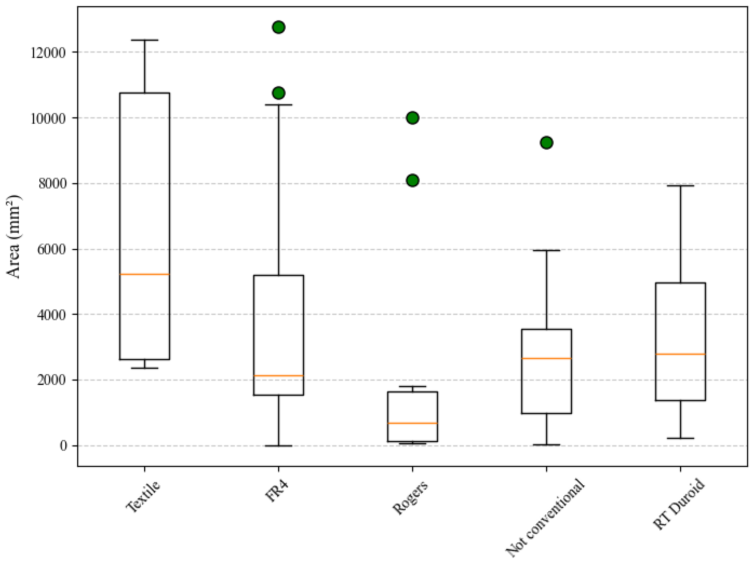
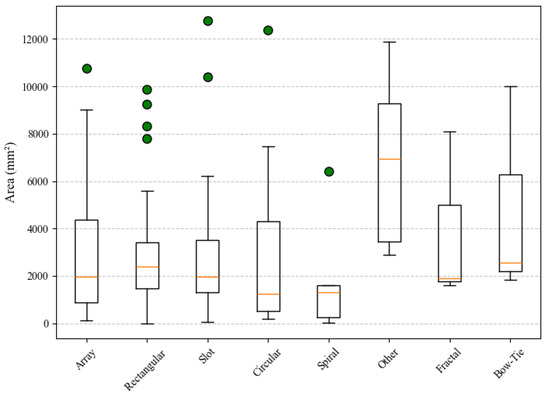
  • Area vs. antenna design
Antenna geometry’s influence on occupied surface area is a critical factor in energy harvesting applications, particularly given space constraints and integration demands with other system components. Figure 5 illustrates antenna area distribution across various design categories via boxplot analysis. This visualization facilitates a comparative assessment of spatial requirements, revealing variability within each design and highlighting designs such as array and circular antennas with a wider range of occupied area, in contrast to more compact configurations like spiral and fractal geometries.
In all boxplot visualizations, the yellow horizontal line denotes the distribution mean value, whereas the central line within the box indicates the median. This convention is used consistently across all boxplot figures presented in the study.
Figure 5 shows the distribution of occupied surface area for various antenna designs commonly employed in energy harvesting systems. Analysis reveals marked differences in spatial requirements and variability across design categories. Array antennas, for instance, exhibit a moderate mean area (≈2000 mm 2 ) but also show substantial dispersion and the presence of high outliers, suggesting that while many configurations remain compact, certain implementations can demand significantly larger surfaces. Rectangular and slot antennas display comparable mean values (around 2000–2500 mm 2 ) but differ in variability: rectangular designs tend to be more consistent, whereas slot antennas exhibit broader distributions and higher outliers, indicating less predictable area requirements.
Circular and spiral antennas both present relatively small mean areas (≈1000 mm 2 ), but differ in statistical dispersion. Circular designs show higher variability due to outliers, while spiral antennas are characterized by a narrow distribution, reflecting consistent compactness. Conversely, antennas categorized under “other” display the largest mean area (≈7000 mm 2 ) and a wide interquartile range. This is expected given the heterogeneous nature of this group, which encompasses unconventional and hybrid geometries.
Despite their inherent geometric complexity, fractal antennas consistently demonstrate a moderate mean area (≈2000 mm 2 ). Nonetheless, their area distribution displays significant variability, which may be attributed to the scale-dependent characteristics of their design. Bow-tie antennas, conversely, present a comparable mean area (≈2500 mm 2 ) coupled with relatively limited variability. It is worth noting, however, that specific configurations can exhibit extended upper bounds, implying occasional demands for expanded footprints.
Overall, the results highlight a trade-off between compactness and performance flexibility, with certain designs offering predictable spatial constraints, while others—especially those in the “other” category—reflect experimental or application-specific adaptations that may prioritize functional gains over spatial efficiency.
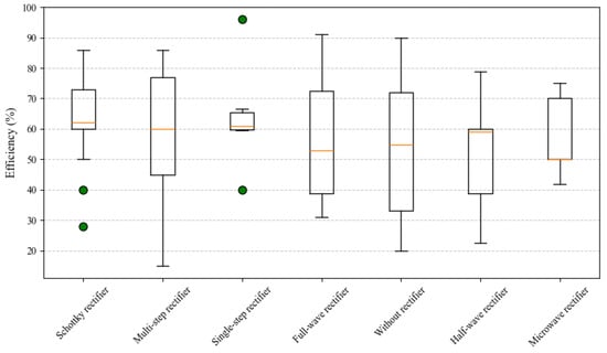
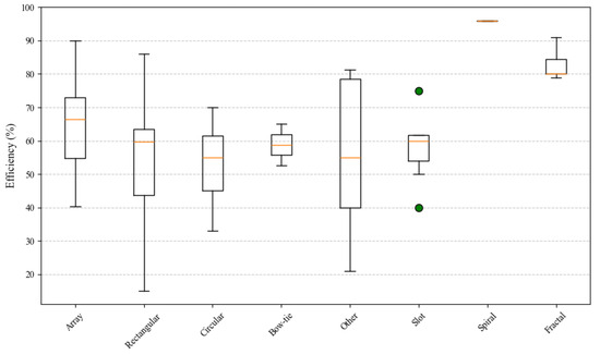
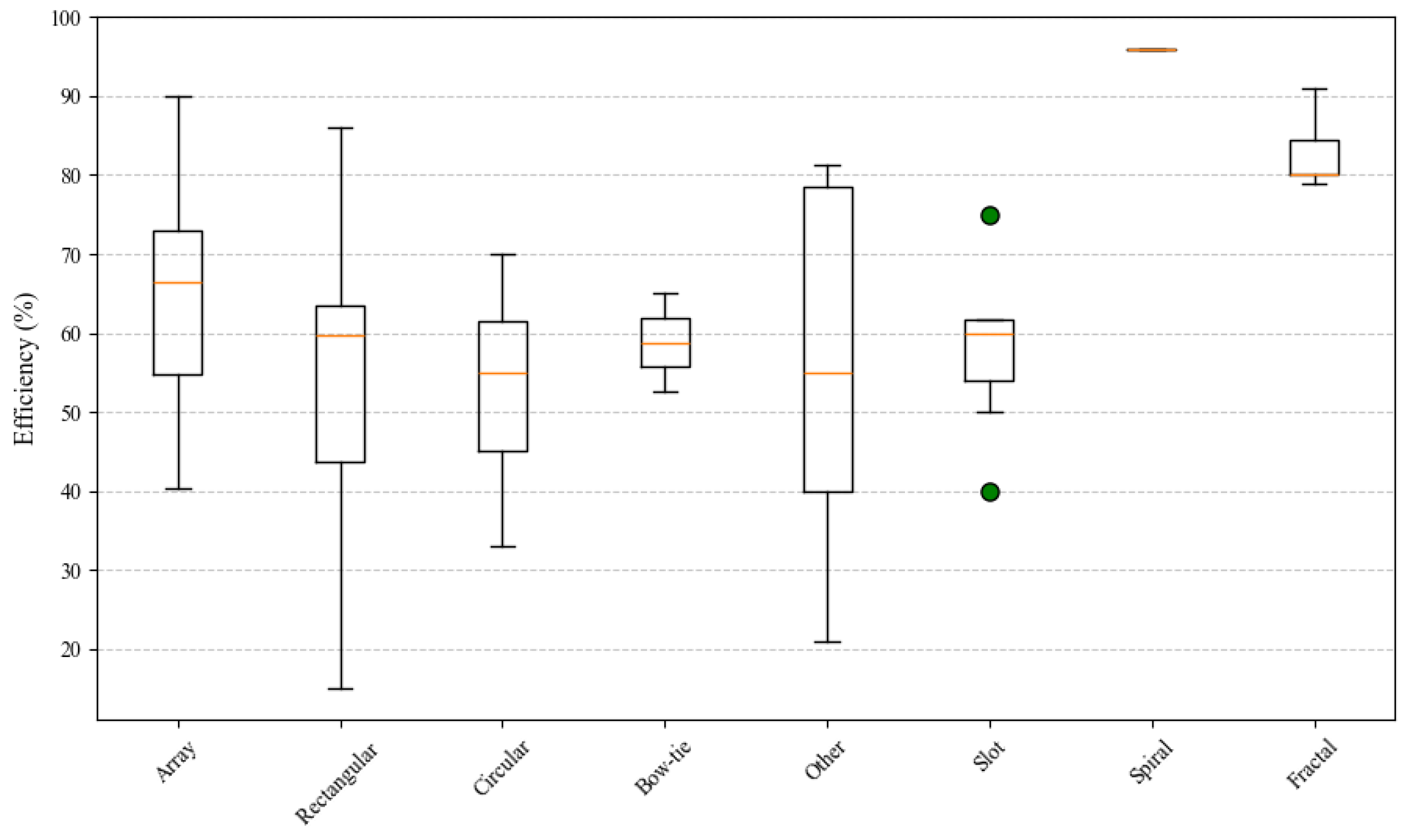
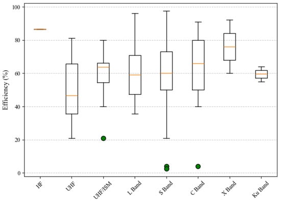
  • Efficiency vs. antenna design
To further investigate antenna geometry’s influence on system performance, this section examines radiation efficiency distribution across various antenna design categories. The boxplot analysis assesses the variability and central tendencies of efficiency values for each design type, offering insight into how structural characteristics may impact energy conversion capabilities in rectenna-based harvesting systems.
The analysis presented in Figure 6 reveals distinct patterns in radiation efficiency across evaluated antenna designs. Array antennas exhibit a mean efficiency of approximately 68%, accompanied by a relatively wide distribution and a low lower bound, indicating considerable variability and potential for low-efficiency outcomes in certain configurations. Rectangular antennas demonstrate a similar trend, with a mean efficiency of around 60% and a broad distribution that extends to values as low as 5%, suggesting significant performance dispersion.
Circular antennas show a mean efficiency of roughly 55%, with a distribution comparable to the rectangular type but slightly narrower at both extremes, indicating moderate variability and a tendency toward lower efficiency values. Bow-tie antennas, in contrast, display a narrow distribution centered around a mean of 60%, reflecting low variability and generally stable performance near the average.
Designs grouped under the “other” category exhibit a mean efficiency close to 55%, but with a wide distribution and a notably low lower bound. This signals high variability and the possibility of both very low and relatively high efficiencies, depending on specific structure. Slot antennas average around 60% efficiency, showing a tight distribution with outliers on both the lower and upper ends, suggesting stable performance punctuated by occasional deviations.
Spiral antennas stand out with the highest mean efficiency (≈96%) and an extremely narrow distribution, indicating both low variability and consistently high performance. Similarly, fractal antennas exhibit a mean efficiency of approximately 80%, accompanied by a tight and elevated distribution, reinforcing their potential for delivering high efficiency with minimal performance fluctuation.
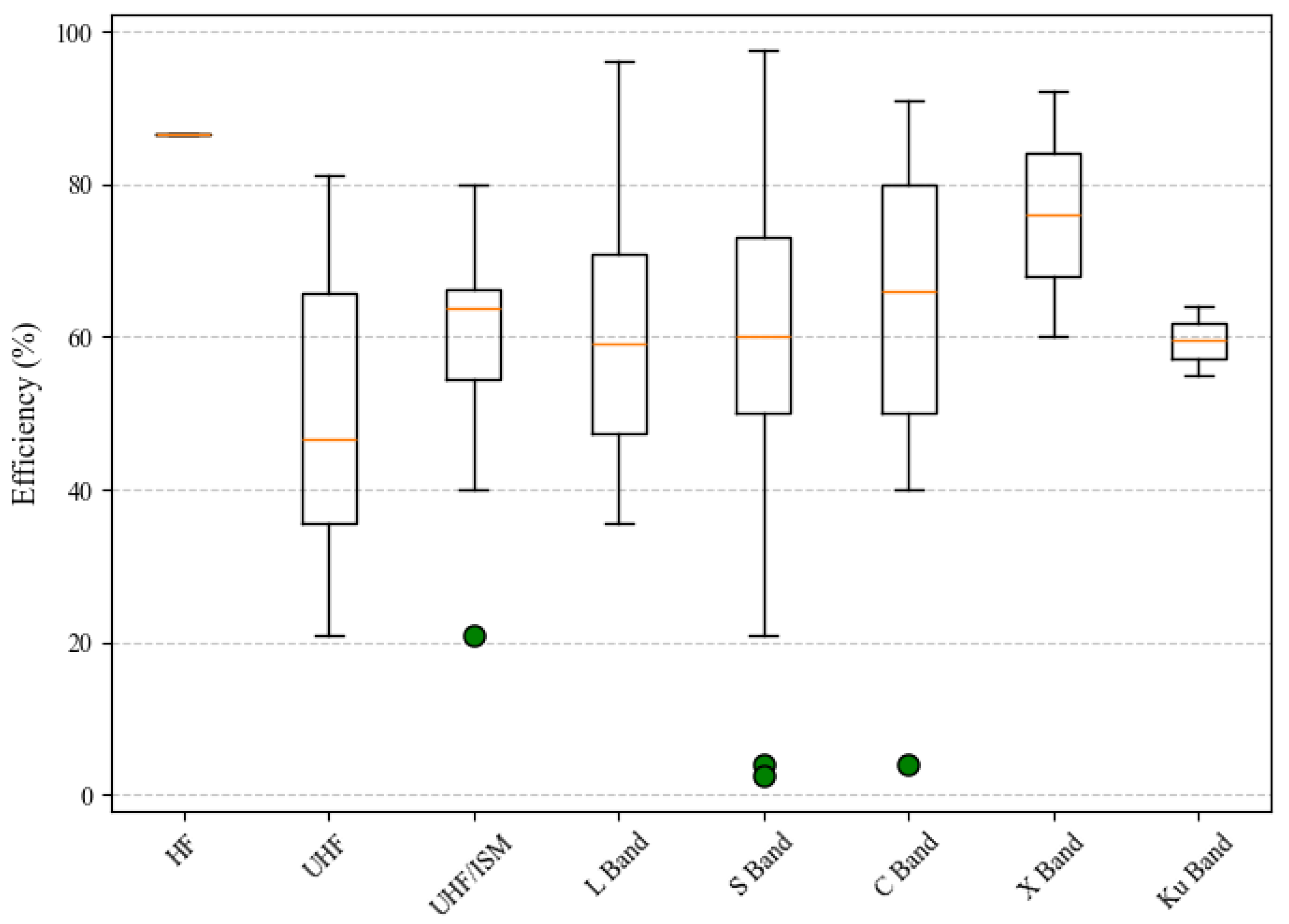
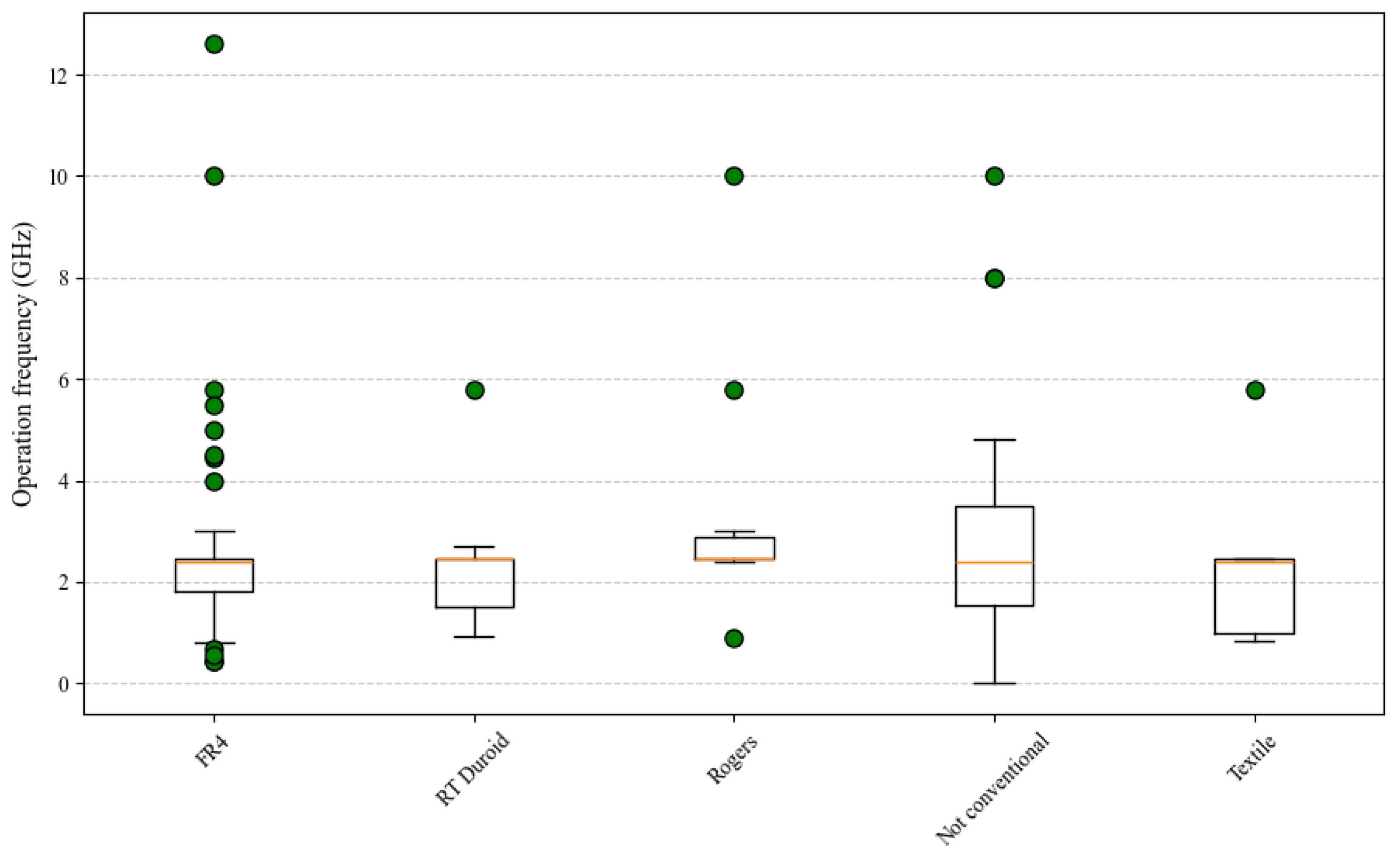
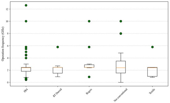
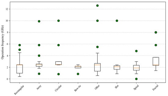
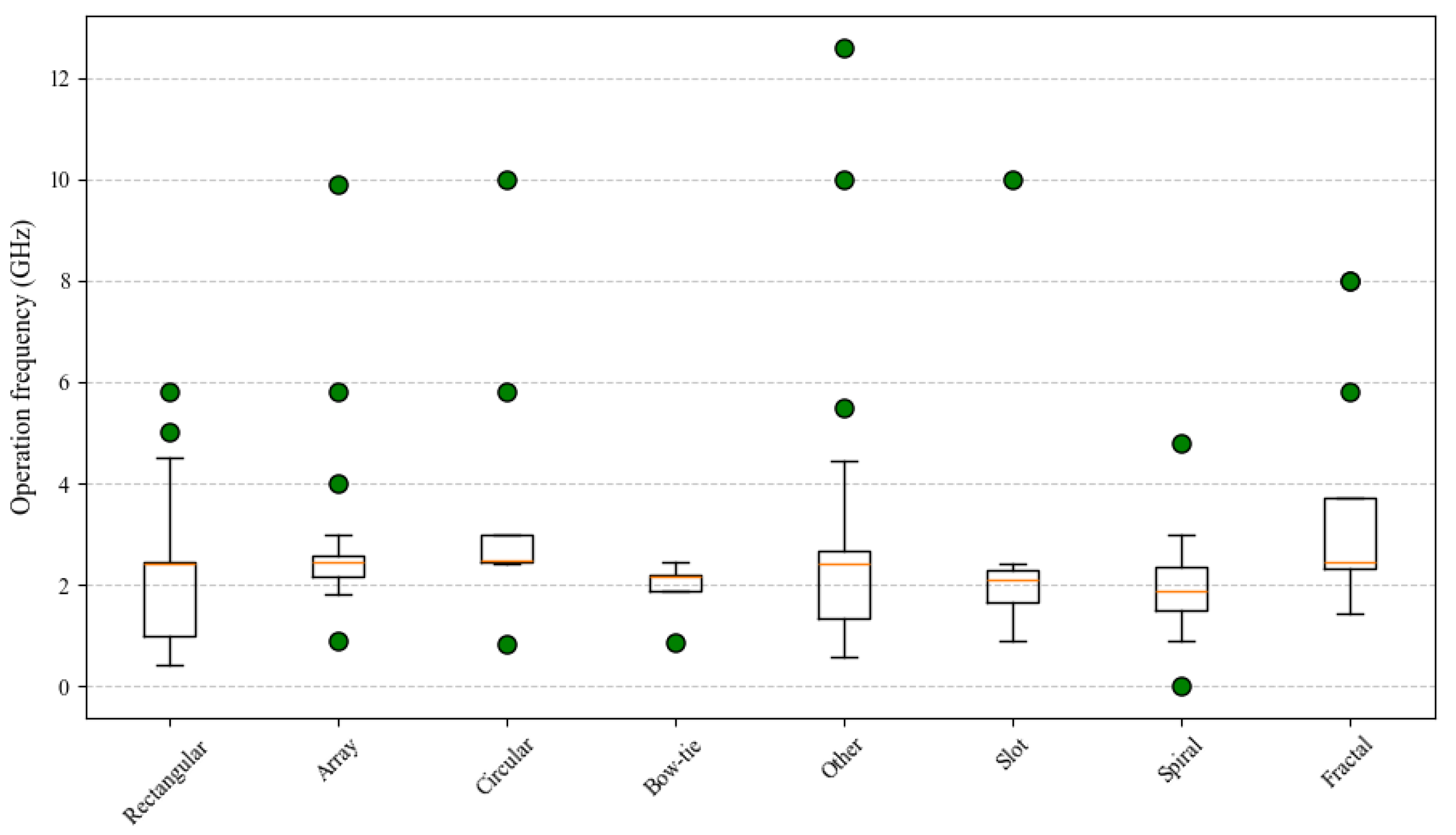
  • Operation frequency vs. antenna design
This subsection explores the relationship between antenna design and operating frequency, a critical parameter in the performance of energy harvesting systems. By employing boxplot analysis, frequency distributions associated with each antenna type are examined, enabling the identification of typical operating ranges, design-specific trends, and potential trade-offs between geometry and spectral behavior. This analysis provides valuable insight into the suitability of different antenna structures for specific frequency bands used in ambient RF energy harvesting.
The analysis of operating frequency distributions, as shown in Figure 7, highlights notable differences across antenna designs. Rectangular antennas exhibit a mean operating frequency around 2.4 GHz, accompanied by a relatively wide distribution with high outliers. This suggests significant variability, potentially beneficial for broadband applications but also indicative of increased susceptibility to interference. Similarly, array antennas operate around the same mean frequency but present a narrower distribution, with both high and low outliers. This pattern reflects reduced variability and a tendency toward more stable frequency behavior, making them suitable for applications that require consistent operation with limited spectral drift.
Circular antennas demonstrate a slightly higher mean frequency (≈2.5 GHz) and a generally narrow distribution, although a few high outliers and a lower median suggest moderate variability and potential for operation in slightly lower bands. Bow-tie antennas operate at a lower mean frequency (≈2.0 GHz) and exhibit a very tight distribution with low outliers, indicating low variability and stable performance at lower frequencies. Such characteristics make them well-suited for short-range or low-frequency communication applications.
The “other” category presents a broader distribution centered around 2.5 GHz, with pronounced outliers on both ends. This reflects the diversity of antenna types included in this group and suggests high spectral variability, allowing operation across a wider frequency range. Slot antennas, with a mean frequency near 2.0 GHz, show a narrow distribution and a single high outlier, implying relatively stable performance and suitability for moderate-frequency applications.
Spiral antennas stand out with a lower mean frequency (≈1.8 GHz) and a narrow distribution, though a few extreme values at both ends point to a degree of flexibility in frequency tuning. This makes them valuable in contexts requiring both stability and adaptability. Lastly, fractal antennas exhibit a mean frequency close to 2.5 GHz and a tightly clustered distribution, interrupted by high outliers. These results suggest that fractal designs offer stable operation at elevated frequencies, ideal for systems targeting higher-frequency ambient RF sources.
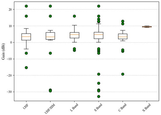
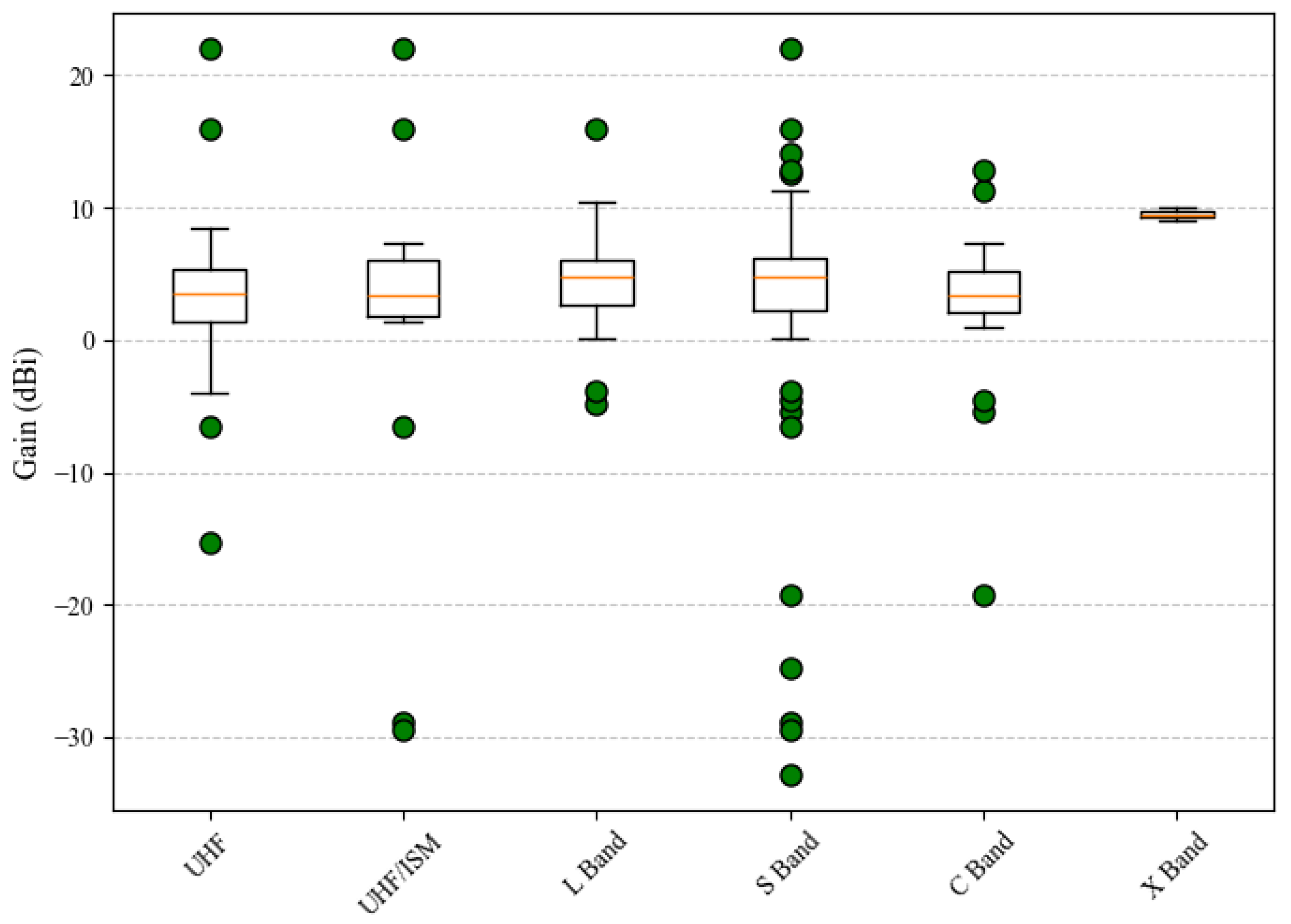
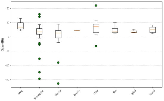
  • Gain vs. antenna design
This subsection investigates the relationship between antenna design and gain, a key performance metric in energy harvesting systems as it directly influences the amount of captured ambient electromagnetic energy. By analyzing gain distributions across different antenna categories through boxplot visualization, this section highlights variations in amplification capacity and design-dependent trade-offs. Understanding these differences provides valuable insights for selecting appropriate antenna geometries based on application-specific gain requirements and deployment environments.
Figure 8 elucidates distinct gain distribution patterns among antenna designs, underscoring the influence of geometry on amplification performance. Array antennas, for instance, typically exhibit a mean gain of approximately 6 dBi, coupled with a relatively narrow distribution; however, both high and low outliers are discernible. This observation implies moderate variability and consistent performance within their practical operational range. Rectangular antennas, conversely, present a lower mean gain of around 3 dBi and a wider distribution marked by substantial positive and negative outliers, indicative of considerable variability and a broad spectrum of achievable gain values.
Circular antennas present a mean gain of 4 dBi and a distribution similar to that of rectangular designs, although with more pronounced low outliers. This reflects comparable variability and a tendency toward lower gain in certain implementations. Bow-tie antennas maintain a mean gain near 5 dBi and exhibit a notably narrow distribution with limited outliers, suggesting low variability and consistently modest gain performance.
Antennas classified as “other” demonstrate the highest average gain, approximately 8 dBi, along with a wide distribution and significant outliers on both ends. This pattern reflects the heterogeneity of this category and the potential for both high and low gain, depending on the specific design. Slot antennas, with a mean gain of roughly 3 dBi, show a tight distribution with low outliers, indicating generally stable and moderate gain values.
Spiral antennas also have a mean gain around 3 dBi, coupled with a narrow distribution and low outliers, reflecting low variability and typically low gain characteristics. Fractal antennas, averaging around 5 dBi, exhibit a relatively narrow distribution but include both high and low outliers, suggesting generally stable behavior with occasional deviations that may lead to either enhanced or reduced gain, depending on the application and design specifics.
  • Comparative insights
Comparative analysis of antenna designs for energy harvesting reveals distinct performance profiles in terms of area, efficiency, operating frequency, and gain. Spiral antennas stand out due to their exceptional compactness (mean 1000 mm 2 ) and the highest efficiency (mean 96 % ) with minimal variability, although they typically operate at lower frequencies (≈ 1.8 GHz ) and offer modest gain. Similarly, fractal designs achieve high efficiency (mean 80 % ) and stable performance at higher frequencies (≈ 2.5 GHz ), despite moderate variability in area.
In contrast, the “others” category, while requiring the largest mean area (≈ 7000 mm 2 ), yields the highest average gain (≈ 8 dBi ), albeit with significant variability across all metrics. Array antennas offer a good mean gain (≈ 6 dBi ) and stable frequency behavior (≈ 2.4 GHz ), balanced by moderate variability in both area and efficiency. Rectangular, slot, and circular designs generally exhibit moderate requirements in terms of area, efficiency, and gain, with varying degrees of spread and presence of outliers, reflecting diverse performance consistency. Finally, bow-tie antennas consistently deliver stable and modest performance in efficiency (≈ 60 % ), lower operating frequencies (≈ 2.0 GHz ), and gain (≈ 5 dBi ), along with moderate area and limited variability.

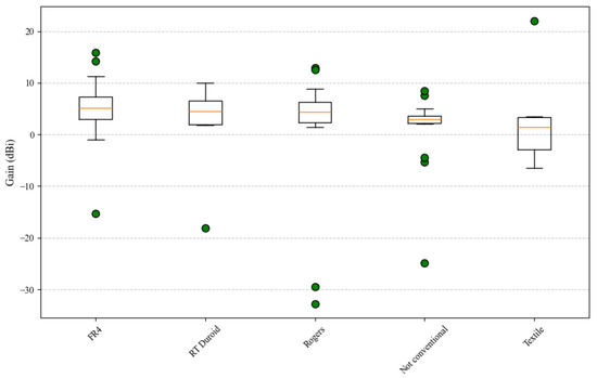
4.1.3. Influence of Substrate Materials on Antenna Behavior

Based on an evaluation of the literature, the percentage distribution of each substrate type is analyzed, as presented in Figure 9. The data clearly highlight that FR4 substrates are discussed far more frequently than other types, reflecting their widespread use and accessibility in energy harvesting designs. Additionally, Table 13 provides a detailed classification of articles included in this schematic review. This combined analysis underscores the critical role of FR4 and its dominance in the field while also acknowledging the growing interest in alternative materials for specialized applications.
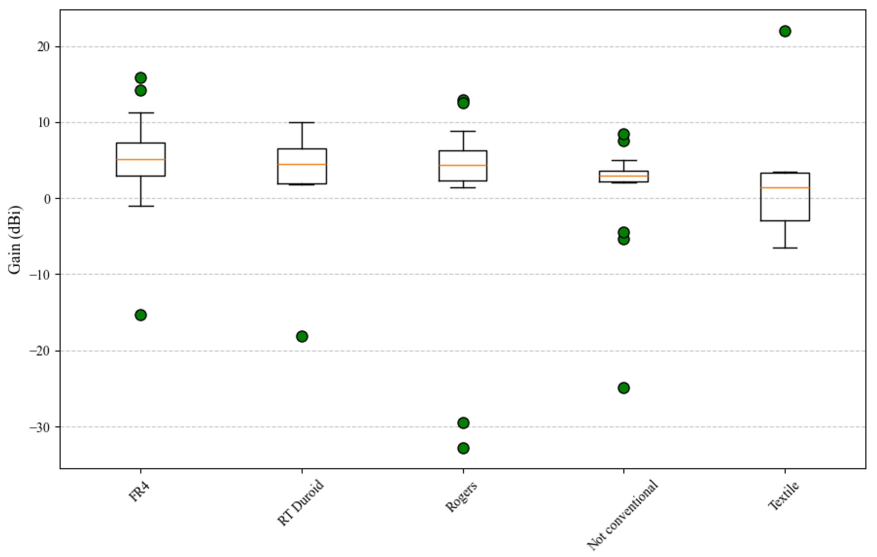
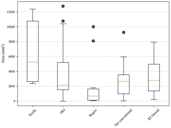
  • Area vs. antenna substrate
This subsection explores the relationship between antenna surface area and the substrate material type used in fabrication. Substrate selection plays a fundamental role in defining electrical and physical characteristics of an antenna, influencing not only its electromagnetic performance but also its size and integration potential. Through boxplot analysis, distribution of antenna areas across different substrate types is examined, enabling a comparative assessment of how material properties—such as dielectric constant, thickness, and loss tangent—affect spatial requirements in energy harvesting designs.
Analysis of antenna surface area by substrate type, as shown in Figure 10, reveals substantial variability linked to the material employed. Textile substrates exhibit the largest average area, approximately 5000 mm 2 , alongside a relatively wide distribution and high outliers. This indicates significant variability and the capacity for large-scale implementations. FR4 substrates show a lower mean area (≈2000 mm 2 ) but retain a broad distribution with high outliers, suggesting moderate variability and the potential for relatively large antennas, albeit with greater structural consistency than textiles.
Rogers substrates demonstrate the smallest average area, around 1000 mm 2 , and are characterized by a very narrow distribution with occasional high outliers. This reflects generally compact antenna designs with localized exceptions, suitable for high-frequency miniaturized applications. Non-conventional materials, with a mean area near 3000 mm 2 , show a moderately wide distribution and a prominent outlier, indicating a flexible performance envelope with applications ranging from moderate to large areas. RT Duroid substrates also exhibit a mean area of approximately 3000 mm 2 , with a relatively narrow distribution skewed toward lower values, suggesting a stable tendency toward moderate-sized antenna configurations.
Overall, our findings underscore substrate selection’s pivotal role in determining a rectenna design’s spatial footprint. Textile materials, with their substantial and variable area profiles, are particularly well suited for wearable or conformal applications. FR4 substrates, offering moderate and more stable dimensions, align effectively with portable and embedded systems. Rogers and RT Duroid substrates, characterized by compact and consistent designs, prove ideal for high-frequency, space-constrained applications. Non-conventional materials, meanwhile, provide considerable versatility, making them appealing for specialized or experimental implementations.
  • Efficiency vs. antenna substrate
This subsection analyzes the relationship between antenna efficiency and substrate material type used in construction. Substrate properties—such as dielectric constant, loss tangent, and thickness—play a decisive role in determining the electromagnetic performance of antenna structures, directly impacting radiation efficiency. Through boxplot-based statistical analysis, the efficiency distributions associated with various substrate types are compared, allowing the identification of trends, material-dependent advantages, and potential trade-offs relevant to rectenna system design for energy harvesting.
Comparison of radiation efficiency across different substrate materials, as shows in Figure 11, reveals distinct performance patterns that are critical to antenna design decisions in energy harvesting systems. FR4 substrates exhibit a median efficiency close to 60%, with a relatively wide distribution and noticeable low outliers. This suggests significant variability and the potential for suboptimal performance in certain configurations. However, FR4 remains a widely used and cost-effective material, making it suitable for general-purpose applications where affordability outweighs efficiency constraints.
In contrast, RT Duroid demonstrates superior performance, with a median efficiency near 70% and minimal dispersion, reflecting high consistency and reduced energy losses. These properties make it particularly well suited for high-performance applications that demand stable operation and minimal power dissipation. Rogers substrates show a slightly lower median efficiency around 50%, combined with moderate variability. This balance positions Rogers as a viable option in scenarios where moderate performance and cost-effectiveness are equally valued.
Non-conventional substrates display a wide efficiency range centered around 60%, highlighting their versatility but also indicating less predictable behavior. Such characteristics make them attractive for exploratory or custom-tailored designs where design freedom is prioritized over performance uniformity. Textile substrates, on the other hand, exhibit the lowest median efficiency, approximately 40%, with a narrow distribution. While their performance is limited, their intrinsic properties—flexibility, light weight, and ease of integration—make them ideal for wearable applications where mechanical adaptability is more critical than high electromagnetic efficiency.
Overall, findings emphasize how substrate selection directly influences antenna efficiency and, by extension, suitability for specific energy harvesting contexts.
  • Operation frequency vs. antenna substrate
This subsection examines the relationship between operating frequency and the substrate materials used in antenna fabrication. Substrate dielectric properties—particularly relative permittivity and loss tangent—directly impact antenna resonant behavior, influencing achievable frequency range and operational stability. Through statistical analysis of frequency distributions across different substrate types, this section identifies how material selection affects the spectral characteristics of energy harvesting antennas, providing insight into trade-offs between electrical performance, material constraints, and application-specific frequency requirements.
Analysis of operational frequency across different substrate materials, as shown in Figure 12, reveals clear behavioral patterns that influence the suitability of antennas for specific energy harvesting applications. FR4 substrates exhibit a median operating frequency of approximately 2 GHz, with a relatively narrow distribution and several high-frequency outliers exceeding 10 GHz. This suggests potential challenges in maintaining consistent performance at higher frequencies, despite the material’s widespread use and accessibility. RT Duroid substrates show a slightly higher median near 2.5 GHz, accompanied by reduced variability, indicating improved stability and reliability for systems operating at moderately high frequencies.
Rogers substrates demonstrate consistent behavior centered around a median frequency of 3 GHz, with minimal dispersion and outliers. This performance profile makes Rogers a dependable choice for low-to-mid-frequency applications where consistent spectral response is essential. In contrast, non-conventional substrates exhibit the broadest frequency range, with a median near 2.5 GHz and upper outliers reaching up to 8 GHz. Such variability suggests high adaptability and makes these materials attractive for experimental or reconfigurable antenna designs intended for diverse spectral environments.
Textile substrates operate at lower frequencies, with a median below 3 GHz and a limited spread. While this constrains their use in high-frequency applications, their mechanical flexibility and integration potential make them well-suited for wearable and conformal systems, where structural adaptability takes precedence over spectral performance. Overall, substrate selection proves to be a critical determinant of frequency behavior, guiding design choices based on application-specific spectral requirements and fabrication constraints.
  • Gain vs. antenna substrate
This subsection analyzes how antenna gain varies with respect to substrate material used in design and fabrication. Gain is a critical parameter in energy harvesting systems, as it determines an antenna’s ability to concentrate received power in a given direction. Substrate characteristics—such as dielectric constant, loss tangent, and mechanical stability—directly affect radiation patterns and power efficiency. By examining the statistical distribution of gain across different substrate types, this section aims to identify material-dependent trends and assess their implications for directional performance and application-specific antenna optimization.
Gain analysis across different substrate materials, as depicted in Figure 13, reveals distinct performance trends that reflect the interplay between material properties and radiation behavior. FR4 substrates present a median gain of approximately 5 dBi, but with a broad distribution, ranging from –15 dBi to over 15 dBi. This wide variability suggests a strong dependence on antenna geometry and design factors, positioning FR4 as a viable option for cost-effective applications where gain performance is less critical or where tuning flexibility is acceptable.
RT Duroid exhibits a narrower gain distribution centered around a median of 4 dBi, indicating more consistent and reliable performance. This stability makes it particularly suitable for designs that require moderate, yet dependable, gain characteristics. Rogers substrates show a slightly lower median gain, near 3 dBi, with reduced variability overall, although the presence of some dispersed values indicates occasional deviations. Despite this, Rogers remains a strong candidate for high-precision applications where dimensional stability and electromagnetic consistency are prioritized.
Non-conventional substrates exhibit a similar median gain (≈3 dBi) with limited variability and a few scattered outliers. This behavior suggests their appropriateness in specialized or experimental configurations where gain is not the dominant design criterion. In contrast, textile substrates display the lowest median gain, around 2 dBi, combined with noticeable dispersion. While their gain performance is limited, their mechanical flexibility and conformability make them ideal for wearable and structurally adaptive applications where electromagnetic efficiency is secondary to integration capability.
  • Comparative insights
Analysis of antenna substrates reveals that material selection significantly impacts the occupied area, radiation efficiency, operating frequency, and gain, offering distinct advantages for various applications. Textile substrates, although exhibiting the largest average area (≈ 500 mm 2 ), the lowest efficiency (≈ 40 % ) and gain (≈ 2 dBi ), and low operating frequencies, are ideal for wearable systems due to their flexibility. In contrast, Rogers substrates enable the most compact designs (≈ 1000 mm 2 ), operate consistently at higher frequencies (≈ 3 GHz ), and offer moderate efficiency and gain, making them suitable for miniaturized high-frequency applications.
RT Duroid materials position themselves as a high-performance option, offering superior efficiency (≈ 70 % ), and stable behavior at moderately high frequencies (≈ 2.5 GHz ), and gain (≈ 4 dBi ), while maintaining a moderate footprint. On the other hand, FR4, a cost-effective and widely used material, exhibits a moderate area (≈ 2000 mm 2 ), with average efficiency (≈ 60 % ) and gain (≈ 5 dBi ), albeit with considerable variability, in addition to its capability to operate at higher frequencies. Finally, unconventional substrates offer high versatility, with area and frequency spanning a broad range, along with moderate efficiency and gain, making them attractive for exploratory or customized designs.

4.2. RQ2. What Are the Most Commonly Used Frequency Bands for RF Energy Harvesting in Energy Harvesting Applications?

To address the second research question, this section examines the frequency bands most frequently employed in RF energy harvesting applications. Operating frequency selection is a critical factor in rectenna system design, directly influencing antenna dimensions, propagation characteristics, available ambient power density, and overall system efficiency. By analyzing distribution of target frequencies reported in the reviewed literature, this section identifies dominant spectral regions, highlights preferred frequency bands—such as ISM, UHF, and sub-GHz ranges—and explores technical and regulatory motivations behind their prevalence in energy harvesting scenarios.

4.2.1. Frequency Bands Used in RF Energy Collection

As a foundation for analyzing frequency usage in RF energy harvesting, Table 14 provides a structured classification of the most relevant spectral bands reported in the literature. It summarizes standardized International Telecommunication Union (ITU)/IEEE designations, common application domains, and corresponding energy harvesting methods typically employed in each range. This categorization serves as a conceptual framework for identifying dominant frequency bands, understanding their functional implications, and interpreting design decisions associated with their selection in rectenna-based energy harvesting systems.
Building upon the classification framework from Table 14, reviewed articles were categorized by their targeted frequency bands for RF energy harvesting. Figure 14 shows percentage distribution of these studies across the main frequency bands, enabling a quantitative overview of current research trends and spectral preferences within the field. This classification supports identification of dominant bands and offers insights into practical and technical considerations guiding frequency selection in rectenna-based designs.
As shown in Figure 14, S band (2–4 GHz) emerges as the most frequently studied frequency range, accounting for 47.4% of the reviewed literature. This predominance reflects the widespread availability of ambient signals in the 2.4 GHz ISM band (e.g., Wi-Fi, Bluetooth, and microwave communications), which are especially prevalent in urban and indoor environments. L band (1–2 GHz) follows with 18.4%, likely due to its relevance in satellite navigation (e.g., Global Positioning System (GPS)) and mobile communication systems. UHF band (300 MHz–1 GHz) and UHF/ISM sub-band around 900 MHz also show notable representation, with 14.5% and 8.6%, respectively, emphasizing their role in RFID, IoT, and low-power sensor networks. Other frequency ranges such as C band (8.6%), X band (1.3%), Ku band (0.7%), and HF band (0.7%) appear less frequently, suggesting their use in more specialized or high-frequency harvesting scenarios. Overall, the distribution reflects a strong research focus on frequency bands that balance compact antenna design, high signal availability, and regulatory accessibility.
To complement the quantitative distribution shown in Figure 14, Table 15 provides detailed classification of reviewed articles according to the frequency band addressed in each study. This breakdown enables precise traceability of the literature supporting each spectral category and facilitates more granular interpretation of technological focus within the field. By linking each frequency band to its corresponding references, this table strengthens the methodological transparency of the review and supports future comparative or meta-analytical studies.

4.2.2. Correlation Between Frequency Bands and Performance Metrics

Understanding the impact of frequency band selection on the performance of RF energy harvesting systems requires examining how spectral choices relate to key design metrics. In this subsection, we explore the correlation between frequency bands and three fundamental parameters: antenna surface area, radiation efficiency, and gain. Through statistical visualizations and comparative analysis, we aim to uncover patterns, trade-offs, and frequency-dependent constraints that influence the design and effectiveness of rectenna-based systems. This investigation provides a more comprehensive view of how electromagnetic spectrum allocation affects both the physical and functional behavior of energy harvesting antennas.
  • Area vs. frequency bands
This subsection examines the relationship between antenna surface area and frequency bands targeted for RF energy harvesting. Since antenna dimensions are inherently linked to the wavelength of operation, lower frequency bands typically require larger physical structures. By analyzing area distribution across different spectral ranges, this section highlights how frequency selection constrains or enables design miniaturization, with implications for integration in space-limited or wearable applications.
Figure 15 presents a boxplot analysis of antenna surface area across different frequency bands, revealing notable variations in the spatial requirements associated with each spectral range. The HF band shows a relatively low median area (≈2000 mm 2 ) with a narrow distribution and a low outlier, indicating low variability and compact designs suitable for long-range, low-frequency applications. The UHF and L bands display higher mean areas (≈2500–3000 mm 2 ) with broader distributions and several high outliers, suggesting greater variability and the potential for enhanced energy collection, particularly in systems such as mobile networks, radar, or satellite communication.
The UHF/ISM and S bands both present median areas around 2000 mm 2 with moderately narrow distributions, although the S band exhibits more pronounced high outliers, pointing to a wider range of design adaptations depending on application demands. In contrast, the C band maintains a slightly lower average area (≈1800 mm 2 ), with a relatively tight spread and a single high outlier, indicative of compact configurations typically used in wireless communication systems where a balance between size and performance is critical.
Higher frequency bands such as X and Ku show narrower distributions centered around smaller median values—approximately 1000 mm 2 and 3000 mm 2 , respectively—highlighting their potential for precise, low-variability designs. While the X band emphasizes miniaturization and stability, the Ku band, despite its narrow distribution, includes a single high outlier, suggesting its use in specialized high-frequency applications requiring both compactness and the option for increased collection area.
Overall, the analysis confirms that frequency selection imposes direct constraints on antenna size, with lower bands generally requiring larger structures, while higher bands enable more compact and consistent designs. This trade-off plays a critical role in determining the suitability of antennas for specific energy harvesting applications, ranging from wearable and IoT systems to large-scale satellite and radar deployments.
  • Efficiency vs. frequency bands
Figure 16 shows the distribution of radiation efficiency across various frequency bands used in RF energy harvesting applications. The HF band stands out with a high mean efficiency of approximately 85% and a very narrow distribution, indicating low variability and strong consistency—making it highly suitable for long-range, stable communication systems. In contrast, the UHF band presents a significantly lower mean efficiency (≈45%) and a broader distribution with low-end values, reflecting greater variability and reduced performance reliability, which may limit its effectiveness in scenarios demanding high energy conversion rates.
The UHF/ISM band shows a moderate average efficiency (≈65%) with a relatively wide spread and several high values, suggesting a good balance between performance and adaptability in diverse environments, particularly for IoT and short-range wireless systems. Similarly, the L and S bands exhibit mean efficiencies near 60%, but with wider distributions and the presence of low outliers, indicating high variability. This suggests that while high efficiency is achievable in these bands, performance may degrade significantly under suboptimal design or environmental conditions.
The C band also maintains a mean efficiency of approximately 65%, with most values concentrated at the higher end, although the presence of low outliers reveals the potential for performance degradation in specific implementations. Meanwhile, the X band demonstrates a higher mean efficiency (≈75%) and a very narrow distribution, indicating low variability and consistently high performance, which is desirable in high-frequency, precision-oriented applications. The Ku band, with a mean efficiency around 60% and a similarly narrow range, shows the potential for elevated performance under controlled conditions, further supporting its use in satellite and radar systems.
These findings suggest that higher frequency bands such as X and Ku are more likely to deliver consistent and efficient energy harvesting performance, making them ideal for applications requiring high reliability and spectral precision. In contrast, lower bands such as UHF, L, and S exhibit broader variability and may be better suited for cost-sensitive, less demanding implementations where design constraints permit performance trade-offs.
  • Gain vs. frequency bands
This subsection explores the relationship between antenna gain and the operating frequency bands used in RF energy harvesting systems. Gain, as a measure of directional amplification, plays a pivotal role in determining how effectively an antenna can capture ambient electromagnetic energy. Since gain performance can vary significantly across frequency bands due to propagation characteristics, wavelength constraints, and design trade-offs, this analysis aims to identify patterns in gain behavior associated with different spectral ranges. Understanding these correlations supports the optimization of antenna configurations for frequency-specific harvesting scenarios.
Figure 17 shows antenna gain distribution across different frequency bands in RF energy harvesting systems. The UHF band presents a mean gain of approximately 3 dBi, characterized by a narrow distribution featuring both high and low outliers. This observation indicates considerable variability and limited reliability for applications where stable gain is paramount. Similarly, the UHF/ISM band exhibits a comparable mean gain of 3 dBi and a similar distribution profile. However, it displays slightly lower median values and more pronounced low outliers, pointing to moderate but less predictable performance. These characteristics collectively render both bands more suitable for short-range, low-power applications where design simplicity and cost outweigh the need for stringent directional stability.
The L and S bands both show a higher mean gain (4 dBi), yet with broader distributions and notable outliers on both extremes. While this variability allows for potentially higher gain values, it also introduces the risk of performance degradation in less favorable configurations. These bands may therefore be appropriate for mobile or identification systems where some degree of gain fluctuation is tolerable. The C band reflects a similar trend, with a mean gain of approximately 3 dBi and a wide spread dominated by low outliers. This suggests high sensitivity to design and environmental factors, which must be carefully managed in applications that depend on consistent directional performance.
In contrast, the X band stands out with a substantially higher mean gain (9 dBi) and a very narrow distribution concentrated around elevated values. This indicates low variability and high directional efficiency, making it particularly well suited for precision-driven applications such as radar systems, satellite communications, and high-frequency line-of-sight links where predictable gain is essential.
Taken together, these results highlight how gain behavior is closely tied to frequency band selection. While higher frequency bands, such as the X band, offer greater stability and performance for directionally demanding applications, lower bands like UHF and UHF/ISM prioritize simplicity and integration flexibility at the expense of gain consistency. Intermediate bands, including L, S, and C, offer a compromise, with performance contingent on design tolerance and environmental conditions.
  • Comparative insights
Analysis of frequency bands reveals distinct trade-offs in antenna design in terms of area, efficiency, and gain. High-frequency bands such as X and Ku enable more compact designs (X: ≈ 1000 mm 2 , Ku: ≈ 3000 mm 2 ), consistently offering high efficiency (X: ≈ 75 % , Ku: ≈ 60 % ). In the case of the X band, they also deliver the highest and most stable gain (≈ 9 dBi ), making them ideal for precision applications.
In contrast, low-frequency bands such as UHF and UHF/ISM exhibit larger areas (≈2500– 3000 mm 2 ), while demonstrating notably lower and more variable efficiency and gain (UHF: ≈ 45 % , ≈ 3 dBi ; UHF/ISM: ≈ 65 % , ≈ 3 dBi ), making them more suitable for short-range and low-cost applications. The L and S bands occupy an intermediate position, with larger areas, moderate efficiencies (both ≈ 60 % ), and relatively higher gains (≈ 4 dBi ), albeit with considerable variability. The C band, in turn, maintains a relatively compact area (≈ 1800 mm 2 ) and moderate efficiency (≈ 65 % ), although its gain tends to be low and design sensitive. The HF band stands out for its high efficiency (≈ 85 % ) and compact design (≈ 2000 mm 2 ), making it suitable for long-range, low-frequency applications.

4.3. RQ3. What Are the Main Rectifier Systems Used in Converting Energy Captured by Antennas in Energy Harvesting Systems, and What Are the Key Characteristics That Influence Their Efficiency and Conversion Capacity?

To address the third research question—focused on identifying the main rectifier systems used in RF energy harvesting and key characteristics that influence their performance—this section provides a comprehensive analysis of the rectifier topologies employed in the reviewed literature. Discussion begins with a visual and categorical presentation of the most commonly used rectifier designs, offering a reference framework for classification. A statistical breakdown of rectifier type distribution is then presented, followed by a detailed technical evaluation of each configuration, including parameters such as output voltage or power, conversion efficiency, gain, and matching network used. To further understand how rectifier design affects system-level performance, correlation analyses are conducted between rectifier types and four critical variables: antenna area, radiation efficiency, operating frequency, and gain. This multi-dimensional approach enables deeper understanding of how rectifier selection impacts RF-to-DC conversion effectiveness in practical energy harvesting applications.

4.3.1. Rectifier Systems and Their RF Energy Harvesting Efficiency

Figure 18 showcases various rectifier types, each possessing unique strengths and inherent trade-offs. Optimizing energy harvesting performance hinges on selecting the rectifier that best aligns with an application’s specific operational requirements.
Analysis of the literature under review reveals the percentage distribution for each type of rectifier studied, as presented in Figure 19. Additionally, Table 16 offers a detailed classification of the articles included in this schematic review, providing further insight into the emphasis placed on different rectifier designs within energy harvesting applications. The results highlight that Schottky rectifiers dominate the research landscape, with a considerably higher presence in the literature compared to other rectifier types.
Rectifier design significantly impacts the performance of energy harvesting systems, with each type offering distinct advantages tailored to specific applications.
  • Schottky
Schottky rectifiers, characterized by their fast switching speeds and low forward voltage drop, are a cornerstone of high-efficiency energy conversion. These rectifiers excel in scenarios where minimizing power loss is crucial, such as in low-power wireless devices. Their performance is particularly advantageous in applications operating at high frequencies, where traditional diodes often fall short, as summarized in Table 17.
  • Multi-step
Multi-step rectifiers are renowned for converting high-frequency signals into usable DC power with exceptional efficiency. Their cascaded architecture allows for enhanced voltage conversion, making them particularly suitable for applications requiring high output voltage at moderate power levels. This design is ideal for systems where maintaining high efficiency across a range of operating conditions is paramount, as shown in Table 18.
  • Single-step
In contrast, single-step rectifiers offer a simpler and more compact solution. Although they typically exhibit lower efficiency compared to their multi-step counterparts, their straightforward design and reduced component count make them well suited for low-cost, low-power applications. These rectifiers are often used in devices with minimal power requirements and space constraints, such as sensors in IoT networks, as detailed in Table 19.
  • Full-wave
Full-wave rectifiers, rectifying both halves of an alternating current (AC) signal, offer improved efficiency and reduced ripple compared to half-wave designs. This makes them ideal for applications requiring stable, consistent DC output, such as battery charging systems or larger energy harvesting setups. Their superior performance ensures reliable operation even in demanding environments, as illustrated in Table 20.
  • Half-wave
Finally, half-wave rectifiers, while less efficient than full-wave designs, provide a simpler and more cost-effective solution for basic energy harvesting needs. Their minimal component requirements and ease of implementation make them suitable for low-power systems where simplicity and affordability take precedence over peak performance, as shown in Table 21.
  • Microwave
Conversely, microwave rectifiers are precisely engineered for high-frequency operation. Such rectifiers employ advanced materials and sophisticated design techniques to attain optimal performance at microwave frequencies, rendering them indispensable in applications like wireless power transfer and RF energy harvesting. Their inherent capacity for efficient operation in the GHz range underscores their significance in contemporary energy harvesting technologies, as detailed in Table 22.

4.3.2. Correlation Between Rectifiers and Performance Metrics

As part of the response to the third research question, this subsection explores the correlation between rectifier topologies and key performance metrics in RF energy harvesting systems. Given that the rectifier stage is responsible for converting captured RF signal into usable DC power, its design has a direct impact on system efficiency and functional performance. To assess this influence, statistical analyses were conducted to examine how different rectifier types relate to four critical variables: antenna surface area, radiation efficiency, operating frequency, and gain. By uncovering these relationships, the analysis provides valuable insight into how rectifier selection can be optimized in conjunction with overall system architecture to enhance energy conversion capabilities in practical applications.
  • Area vs. rectifier
Figure 20 presents the distribution of antenna surface area associated with different rectifier types, revealing notable variability that reflects design trade-offs and application-specific constraints. Multi-step rectifiers exhibit a median area of approximately 2000 mm 2 , with a relatively narrow distribution and high outliers. This suggests moderate variability and makes them suitable for systems requiring consistent dimensions with the capacity to support moderate energy collection. Schottky rectifiers, with a mean area near 2500 mm 2 , show a wider distribution spanning both low and high extremes, indicating greater flexibility but also the need for adaptable system designs where area may fluctuate depending on implementation.
Rectifier-less systems—those where rectifying stage is either external or unspecified—also cluster around a median of 2000 mm 2 , with a narrow spread and some high outliers, pointing to generally compact configurations. Single-step rectifiers present a considerably larger median area (≈4000 mm 2 ) and a wide distribution, suggesting they are best suited for applications demanding higher power collection, although at the cost of increased spatial requirements and variability. Full-wave rectifiers, in contrast, display a lower median area (≈1000 mm 2 ) with tight distribution and minimal outliers, indicating compact and consistent performance ideal for space-constrained scenarios.
Half-wave rectifiers stand out with the largest average area (≈6000 mm 2 ) and a broad range of values, reflecting their association with high-energy collection needs but also demanding more robust designs to accommodate spatial variability. Microwave rectifiers show the smallest median area (≈2500 mm 2 ) and a remarkably narrow distribution, suggesting consistent miniaturization, though this limited size inherently constrains their energy harvesting capacity—making them ideal for ultra-compact systems where spatial economy is prioritized over power density.
This subsection investigates the relationship between rectifier topology and antenna surface area in RF energy harvesting systems. Since rectifier design may impose specific impedance-matching and integration requirements, it can indirectly influence the overall size of antenna structure. By analyzing the distribution of antenna areas across different rectifier types, this section aims to identify whether certain topologies are more frequently associated with compact or large-scale configurations, providing insight into spatial constraints and design compatibility in integrated energy harvesting architectures.
These findings highlight the influence of rectifier topology on antenna area and system integration. While compact designs such as full-wave and microwave rectifiers are well-suited for miniaturized or embedded applications, larger-area configurations like half-wave or single-step rectifiers may be more appropriate for systems targeting higher energy output, provided that spatial flexibility is permitted.
  • Efficiency vs. rectifier
This subsection examines the relationship between rectifier topology and overall system efficiency in RF energy harvesting applications. As the rectifying stage directly governs the conversion of RF signals into usable DC power, its architecture and component characteristics play a central role in determining energy conversion efficiency. By analyzing the distribution of efficiency values across different rectifier types, this section aims to identify which configurations offer more consistent or higher conversion performance, and how these patterns inform rectifier selection based on application-specific energy requirements and design constraints.
Figure 21 illustrates the distribution of efficiency across different rectifier topologies used in RF energy harvesting systems. The Schottky rectifier exhibits a mean efficiency of approximately 60%, with a relatively wide distribution and the presence of low outliers. This pattern indicates moderate to high variability, suggesting that while high efficiency is achievable, performance may degrade under certain conditions. Nevertheless, the Schottky configuration remains a favorable choice when high conversion efficiency is prioritized, provided that some fluctuation can be tolerated.
Multi-step rectifiers show a similar average efficiency (≈60%), but with a broader distribution extending toward the lower end. This variability suggests that while the architecture offers flexibility and potential under certain conditions, the risk of low efficiency must be considered, especially in applications with stringent power requirements. Single-step rectifiers also average around 60% but stand out for their notably narrow distribution. This indicates low variability and stable performance, although their efficiency tends to remain at the lower end. Such stability may be desirable in systems where predictable behavior outweighs maximum energy conversion.
Full-wave and half-wave rectifiers exhibit comparable mean efficiencies—approximately 50% and 60%, respectively—but both display broad distributions with significant outliers. These configurations offer the potential for high efficiency in favorable scenarios but also show susceptibility to performance drops, underscoring the need for robust system design and impedance matching. Systems without a clearly defined rectifier (either external or unspecified) show a median efficiency of around 55%, with high variability and a tendency toward lower values, again suggesting the importance of considering rectifier integration in overall performance assessment.
Microwave rectifiers, in contrast, demonstrate a lower mean efficiency (≈50%) but with a narrow distribution, suggesting consistent and predictable performance, albeit at a moderate level. This topology may be best suited for compact systems where space and stability are critical, even if it limits maximum power conversion.
Overall, analysis confirms that rectifier selection significantly impacts system efficiency. While topologies such as Schottky and multi-step offer high performance potential, their variability must be managed through careful design. Conversely, configurations like single-step and microwave provide more stable behavior, making them preferable in scenarios where predictability and integration simplicity are prioritized over peak efficiency.
  • Operation frequency vs. rectifier
This subsection analyzes the relationship between rectifier topology and the operating frequency of RF energy harvesting systems. The rectifier circuit not only affects DC output but also interacts with the antenna’s impedance and matching network, influencing the system’s resonant behavior. Different rectifier designs may exhibit preferences or limitations across specific frequency ranges due to parasitic effects, diode switching characteristics, and impedance matching constraints. By examining the distribution of operating frequencies associated with each rectifier type, this analysis aims to identify design patterns, compatibility ranges, and potential trade-offs that guide the selection of rectifiers for specific spectral applications.
Figure 22 illustrates the distribution of operating frequencies across different rectifier configurations used in RF energy harvesting systems. Systems without an explicitly defined rectifier exhibit the widest variability, with a median operating frequency around 2.4 GHz and several high outliers. This broad range suggests a lack of spectral constraint, making such configurations less suitable for applications that demand frequency stability.
Schottky rectifiers show a tighter distribution, with a mean frequency also centered near 2.4 GHz but bounded by lower outliers. This limited variability indicates predictable performance and makes them well suited for applications requiring stable operation at relatively low frequencies. Multi-step rectifiers follow a similar pattern, with a median frequency of approximately 2.5 GHz and a narrow distribution containing both high and low outliers. Their frequency stability, combined with a tendency to operate in lower spectral bands, renders them advantageous in systems where consistent RF-to-DC conversion is critical.
Single-step rectifiers exhibit a slightly lower median frequency (≈2.0 GHz) with narrow variability and occasional extreme values. This suggests reliability for operation at moderate frequencies, which is particularly beneficial in applications where spectrum coordination and system synchronization are required. Full-wave rectifiers also demonstrate a central frequency around 2.4 GHz, though with a slightly wider spread and upper outliers, indicating moderate variability and potential for use in systems where controlled spectral deviation is tolerable.
Half-wave rectifiers show a median near 2.5 GHz with a very narrow range and low outliers, reflecting strong consistency and a tendency to operate in the lower part of spectrum. This makes them ideal for systems prioritizing frequency stability at sub-GHz or low-GHz ranges. Microwave rectifiers, while maintaining a similar average frequency (≈2.5 GHz), display a narrow distribution with high-end outliers, indicating a design orientation toward higher-frequency operation with minimal variability—an attractive feature for high-frequency applications such as millimeter-wave sensing or compact wireless power transfer systems.
Taken together, the results suggest that rectifier topology influences not only conversion performance but also spectral behavior. Configurations like Schottky, multi-step, single-step, and microwave rectifiers demonstrate stable frequency profiles that align well with systems requiring tight spectral control. In contrast, absence of a rectifier stage corresponds to greater variability, making such configurations less suitable for frequency-sensitive applications.
  • Gain vs. rectifier
This subsection explores the relationship between rectifier topology and antenna gain in RF energy harvesting systems. Although gain is primarily influenced by antenna geometry and operating frequency, rectifier design can impact the overall system’s electromagnetic behavior through impedance matching and loading effects. Certain rectifier configurations may be better suited to preserve or enhance directional performance, depending on their integration characteristics and coupling strategies. By analyzing the distribution of gain across different rectifier types, this section aims to identify patterns that inform design choices where both energy conversion and signal reception efficiency are critical.
Figure 23 shows the distribution of antenna gain across different rectifier configurations, revealing distinct patterns that reflect both design characteristics and application constraints. Schottky rectifiers exhibit a mean gain of approximately 5 dBi with a narrow distribution, indicating low variability and consistent directional performance. This makes them particularly suitable for applications that prioritize stable and predictable gain, such as low-power wireless communication systems. Similarly, Half-wave rectifiers demonstrate a comparable mean gain (≈5 dBi) and a tight distribution with minor low outliers, reinforcing their suitability for systems where gain uniformity is essential.
Single-step rectifiers present a median gain also near 5 dBi, though with occasional negative outliers, suggesting a generally stable behavior with limited high-end performance. These rectifiers may be preferred in scenarios where gain consistency is required, even if absolute values remain modest. In contrast, multi-step rectifiers show a slightly lower average gain (≈4 dBi) and a broader distribution with significant positive and negative outliers. This high variability implies that, while high gain may be achieved in some configurations, the system’s performance is more sensitive to implementation details—necessitating robust design strategies to mitigate signal loss.
Full-wave rectifiers display a mean gain of around 3 dBi and a wide distribution, reflecting substantial variability. Such variability suggests the potential for both high and low performance depending on conditions, again requiring careful system-level optimization. Microwave rectifiers are characterized by the lowest average gain (≈2 dBi) and the narrowest distribution, pointing to very low variability and consistent but limited directional capability. This configuration is best suited for space-constrained applications where gain uniformity is prioritized over amplification strength.
Systems without a clearly defined rectifier show the highest mean gain (≈6 dBi) but also the broadest distribution, indicating high variability and inconsistent performance. While these systems may yield high gain under favorable conditions, they lack the predictability required in applications demanding controlled and reliable reception.
Overall, the gain performance associated with each rectifier type offers useful insight into their optimal application domains. Topologies like Schottky, half-wave, and single-step rectifiers provide stable and predictable behavior ideal for communication-focused systems, while configurations such as multi-step and full-wave rectifiers, though more variable, offer flexibility for performance tuning in power-oriented designs.
  • Comparative insights
Analysis of rectifier topologies reveals a spectrum of trade-offs in rectenna design, directly impacting antenna area, conversion efficiency, operating frequency, and gain. Microwave rectifiers are characterized by requiring the smallest and most consistent antenna area (≈ 2500 mm 2 ), while offering low but predictable efficiency and gain (≈ 50 % and ≈ 2 dBi , respectively). They also operate stably at moderately high frequencies (≈ 2.5 GHz ), making them ideal for compact systems where spatial economy is paramount.
In contrast, half-wave and single-step rectifiers require the largest antenna areas (mean ≈ 6000 mm 2 and ≈ 4000 mm 2 , respectively), while offering consistent gain (≈ 5 dBi ) and moderate efficiency. Notably, half-wave rectifiers exhibit high frequency stability (≈ 2.5 GHz ). Schottky and multi-step rectifiers feature moderate antenna areas (≈ 2500 mm 2 and ≈ 2000 mm 2 ), average efficiency (≈ 60 % ), and stable gain (Schottky: ≈ 5 dBi ; multi-step: ≈ 4 dBi ), operating predictably at low to moderate frequencies (≈ 2.4 2.5 GHz ). Full-wave rectifiers, in turn, are characterized by a compact area (≈ 1000 mm 2 ), but show lower and more variable efficiency and gain (≈ 50 % and ≈ 3 dBi ). Meanwhile, systems with undefined rectifier topologies exhibit the highest average gain (≈ 6 dBi ) and the greatest variability across all metrics, particularly in operating frequency, rendering them less suitable for applications requiring strict spectral control.

5. Conclusions

This systematic review has explored the potential of microstrip antennas for RF energy harvesting applications, offering a detailed synthesis of antenna geometries, substrate materials, and rectifier system configurations. By analyzing 80 studies under the PRISMA methodology, the review identified dominant trends and design strategies across various RF harvesting contexts. Notably, fractal antennas demonstrated the highest efficiency among the geometries studied, while rectangular patch antennas remain the most prevalent due to their ease of fabrication and wide applicability. Substrates such as RT Duroid and Rogers consistently outperformed lower-grade materials like FR4 in high-frequency scenarios, confirming their critical role in achieving high-efficiency performance. Furthermore, Schottky-based rectifiers emerged as the most effective rectification topology, offering superior RF-to-DC conversion rates across multiple implementations.
Despite these contributions, this review acknowledges certain limitations. The reliance on a focused set of keywords such as rectenna and energy harvesting may have excluded relevant interdisciplinary innovations, particularly those emerging under alternative terminologies or frameworks. Additionally, due to the heterogeneous reporting standards and lack of unified testing conditions across studies, the meta-analysis was largely qualitative in nature.
Looking forward, several areas for further research have emerged. There is a clear need to deepen investigations into impedance matching techniques, particularly adaptive and broadband models that can improve energy capture under varying input conditions. Likewise, nonlinear rectifier modeling and circuit-level co-optimization strategies should be more explicitly explored to enhance overall system efficiency in low-power regimes. Integration of emerging modeling approaches, such as joint channel estimation and power transfer optimization, represents a promising direction to unify communication and energy transfer design frameworks, especially within advanced wireless systems like 6G and IoT. Moreover, future research should expand the analysis toward underrepresented domains such as near-field energy harvesting, polar-domain modeling, and mmWave/THz band operation, which are gaining traction in applications involving wearable sensors, implantable devices, and ultra-dense wireless environments. These areas remain largely unexplored in the current literature corpus and hold the potential to reshape the design principles of next-generation RF energy harvesting systems.
Future integration of RF energy harvesting systems with data-intensive industrial IoT platforms could benefit from joint optimization strategies, including sparse signal recovery and low-complexity channel estimation methods, such as MIMO-FBMC frameworks. These approaches would allow simultaneous energy transfer and reliable data decoding, particularly in high-density environments. See, for example, "Low Complexity MIMO-FBMC Sparse Channel Parameter Estimation for Industrial Big Data Communications".
By addressing these challenges and exploring advanced domains and modeling strategies, future developments can lead to more robust, compact, and scalable energy harvesting architectures, aligned with the growing demands of autonomous low-power systems, including wearable technology, smart environments, and distributed sensing networks.
To ensure methodological transparency and adherence to established reporting standards, we include the PRISMA 2020 Checklist in this Supplementary Materials. This checklist outlines the key components of the systematic review and meta-analysis conducted in this study, in accordance with the Preferred Reporting Items for Systematic Reviews and Meta-Analyses (PRISMA) guidelines.

Supplementary Materials

The following supporting information can be downloaded at: https://www.mdpi.com/article/10.3390/app15147773/s1, PRISMA 2020 Checklist. Reference [110] are cited in the supplementary materials.

Author Contributions

Conceptualization, L.F.G.-V., and S.D.T.-A.; methodology, L.F.G.-V., J.O.O.-O., and P.A.C.-P.; validation, L.F.G.-V., J.O.O.-O., and P.A.C.-P.; formal analysis, L.F.G.-V., S.D.T.-A., and N.A.C.-R.; investigation, N.A.C.-R. and S.D.T.-A.; data curation, L.F.G.-V., J.O.O.-O., and N.A.C.- R.; writing—original draft preparation, L.F.G.-V., J.O.O.-O., and S.D.T.-A.; writing—review and editing, L.F.G.-V., J.O.O.-O., P.A.C.-P., and N.A.C.-R.; visualization, L.F.G.-V., S.D.T.-A., and N.A.C.- R.; supervision, J.O.O.-O., and P.A.C.-P.; project administration, J.O.O.-O., and P.A.C.-P.; funding acquisition, L.F.G.-V., J.O.O.-O., and P.A.C.-P. All authors have read and agreed to the published version of the manuscript.

Funding

This research received no external funding.

Institutional Review Board Statement

Not applicable.

Informed Consent Statement

Not applicable.

Data Availability Statement

The data presented in this study are available on request from the corresponding author.

Conflicts of Interest

The authors declare no conflicts of interest.

Abbreviations

The following abbreviations are used in this manuscript:
RFRadio frequency
IoTInternet of Things
PRISMAPreferred Reporting Items for Systematic Reviews and Meta-Analyses
RSResearch string
RF-EHNRF energy harvesting capability
WSNWireless sensor networks
SWIPTSwift performance optimization techniques
MACMedium access control
MOSFETMetal-oxide-semiconductor field-effect transistor
RFEHRF energy harvesting
WPTWireless power transfer
CPWCoplanar waveguide
MHzMegahertz
GHzGigahertz
MIMOMultiple-input multiple-output
RFIDRadio frequency identification
EHEnergy harvesting
MDPIMultidisciplinary Digital Publishing Institute
IEEEInstitute of Electrical and Electronics Engineers
UHFUltra high frequency
ISMIndustrial, scientific, medical
BWBandwith
PLAPolylactic acid
UWBUltra-wideband
EBGElectromagnetic bandgap
dBDecibel
dBiDecibels relative to isotropic
Wi-FiWireless fidelity
CPCircularly polarized
DLPAADual-linear polarized antenna array
GSMGlobal System for Mobile Communications
3GThird generation
RO3010Rogers 3010
LTELong-term evolution
UMTSUniversal Mobile Telecommunication Service
RO4350BRogers 4350B
BFOBacterial foraging optimization
ANNArtificial neural network
ITUInternational Telecommunication Union
VHFVery high frequency
HFHigh frequency
GPSGlobal Positioning System
AMAmplitude modulation
FMFrequency modulation
2GSecond generation
4GQuarter generation
DCDirect current
ACAlternating current
LPFLow-pass filter
SRRSplit-ring resonators
FR4Flame retardant 4
RT DuroidRogers Technology Duroid

References

  1. Golubev, V.A.; Verbnikova, V.A.; Lopyrev, I.A.; Voznesenskaya, D.D.; Alimov, R.N.; Novikova, O.V.; Konnikov, E.A. Energy Evolution: Forecasting the Development of Non-Conventional Renewable Energy Sources and Their Impact on the Conventional Electricity System. Sustainability 2021, 13, 12919. [Google Scholar] [CrossRef]
  2. Cansiz, M.; Altinel, D.; Kurt, G.K. Efficiency in RF energy harvesting systems: A comprehensive review. Energy 2019, 174, 292–309. [Google Scholar] [CrossRef]
  3. Zeadally, S.; Shaikh, F.K.; Talpur, A.; Sheng, Q.Z. Design architectures for energy harvesting in the Internet of Things. Renew. Sustain. Energy Rev. 2020, 128, 109901. [Google Scholar] [CrossRef]
  4. Tran, L.G.; Cha, H.K.; Park, W.T. RF power harvesting: A review on designing methodologies and applications. Micro Nano Syst. Lett. 2017, 5, 1–16. [Google Scholar] [CrossRef]
  5. Wagih, M.; Weddell, A.S.; Beeby, S. Rectennas for radio-frequency energy harvesting and wireless power transfer: A review of antenna design [Antenna Applications Corner]. IEEE Antennas Propag. Mag. 2020, 62, 95–107. [Google Scholar] [CrossRef]
  6. Sherazi, H.H.R.; Zorbas, D.; O’flynn, B. A Comprehensive Survey on RF Energy Harvesting: Applications and Performance Determinants. Sensors 2022, 22, 2990. [Google Scholar] [CrossRef]
  7. Agrawal, S.; Wani, Z.; Parihar, M.S. Patch Loaded Slot Antenna for Super Wideband Applications with Dual-Band Notch Characteristic. Wirel. Pers. Commun. 2022, 123, 3051–3064. [Google Scholar] [CrossRef]
  8. López, O.L.; Clerckx, B.; Latva-Aho, M. Dynamic RF Combining for Multi-Antenna Ambient Energy Harvesting. IEEE Wirel. Commun. Lett. 2022, 11, 493–497. [Google Scholar] [CrossRef]
  9. Zhu, J.; Hu, Z.; Song, C.; Yi, N.; Yu, Z.; Liu, Z.; Liu, S.; Wang, M.; Dexheimer, M.G.; Yang, J.; et al. Stretchable wideband dipole antennas and rectennas for RF energy harvesting. Mater. Today Phys. 2021, 18, 100377. [Google Scholar] [CrossRef]
  10. Bashri, M.S.R.; Ramli, N.A. Flexible milimeter-wave microstrip patch antenna array for wearable RF energy harvesting applications. Int. J. Electr. Comput. Eng. 2021, 11, 1976. [Google Scholar] [CrossRef]
  11. Paul, K. Development of Electromagnetic Vibration Energy Harvesters as Powering Solution for IoT Based Applications. Ph.D. Thesis, University College Cork, Cork, Ireland, 2022. [Google Scholar]
  12. Liu, L.; Guo, X.; Liu, W.; Lee, C. Recent progress in the energy harvesting technology—From self-powered sensors to self-sustained IoT, and new applications. Nanomaterials 2021, 11, 2975. [Google Scholar] [CrossRef] [PubMed]
  13. Peralta-Ochoa, A.M.; Chaca-Asmal, P.A.; Guerrero-Vásquez, L.F.; Ordoñez-Ordoñez, J.O.; Coronel-González, E.J. Smart healthcare applications over 5G networks: A systematic review. Appl. Sci. 2023, 13, 1469. [Google Scholar] [CrossRef]
  14. Gao, Z.; Zhou, Y.; Zhang, J.; Foroughi, J.; Peng, S.; Baughman, R.H.; Wang, Z.L.; Wang, C.H. Advanced energy harvesters and energy storage for powering wearable and implantable medical devices. Adv. Mater. 2024, 36, 2404492. [Google Scholar] [CrossRef]
  15. Khan, W.A.; Raad, R.; Tubbal, F.; Theoharis, P.I.; Iranmanesh, S. RF energy harvesting using rectennas: A comprehensive survey. IEEE Sens. J. 2024, 24, 18762–18790. [Google Scholar] [CrossRef]
  16. Odiamenhi, M.; Jahanbakhsh Basherlou, H.; Hwang See, C.; Ojaroudi Parchin, N.; Goh, K.; Yu, H. Advancements and challenges in antenna design and rectifying circuits for radio frequency energy harvesting. Sensors 2024, 24, 6804. [Google Scholar] [CrossRef] [PubMed]
  17. Jara-Quito, T.A.; Guerrero-Vásquez, L.F.; Ordoñez-Ordoñez, J.O.; Chasi-Pesantez, P.A.; Morocho-Maita, L.A.; Peralta, L.B. Design of a flame fractal patch antenna for uwb applications. In Proceedings of the 2020 IEEE ANDESCON, Quito, Ecuador, 13–16 October 2020; pp. 1–5. [Google Scholar] [CrossRef]
  18. Xu, Z.; Khalifa, A.; Mittal, A.; Nasrollahpourmotlaghzanjani, M.; Etienne-Cummings, R.; Sun, N.X.; Cash, S.S.; Shrivastava, A. Analysis and design methodology of RF energy harvesting rectifier circuit for ultra-low power applications. IEEE Open J. Circuits Syst. 2022, 3, 82–96. [Google Scholar] [CrossRef]
  19. Shrestha, S.; Noh, S.-K.; Choi, D.-Y. Comparative study of antenna designs for RF energy harvesting. Int. J. Antennas Propag. 2013, 2013. [Google Scholar] [CrossRef]
  20. Lu, X.; Wang, P.; Niyato, D.; Kim, D.I.; Han, Z. Wireless networks with RF energy harvesting: A contemporary survey. IEEE Commun. Surv. Tutor. 2014, 17, 757–789. [Google Scholar] [CrossRef]
  21. Shaikh, F.K.; Zeadally, S. Energy harvesting in wireless sensor networks: A comprehensive review. Renew. Sustain. Energy Rev. 2016, 55, 1041–1054. [Google Scholar] [CrossRef]
  22. Ku, M.L.; Li, W.; Chen, Y.; Liu, K.R. Advances in energy harvesting communications: Past, present, and future challenges. IEEE Commun. Surv. Tutor. 2015, 18, 1384–1412. [Google Scholar] [CrossRef]
  23. Divakaran, S.K.; Krishna, D.D. RF energy harvesting systems: An overview and design issues. Int. J. RF Microw. Comput. Aided Eng. 2019, 29, e21633. [Google Scholar] [CrossRef]
  24. Singh, J.; Kaur, R.; Singh, D. Energy harvesting in wireless sensor networks: A taxonomic survey. Int. J. Energy Res. 2021, 45, 118–140. [Google Scholar] [CrossRef]
  25. Ibrahim, H.H.; Singh, M.S.; Al-Bawri, S.S.; Islam, M.T. Synthesis, characterization and development of energy harvesting techniques incorporated with antennas: A review study. Sensors 2020, 20, 2772. [Google Scholar] [CrossRef] [PubMed]
  26. Ibrahim, H.H.; Singh, M.J.; Al-Bawri, S.S.; Ibrahim, S.K.; Islam, M.T.; Alzamil, A.; Islam, M.S. Radio frequency energy harvesting technologies: A comprehensive review on designing, methodologies, and potential applications. Sensors 2022, 22, 4144. [Google Scholar] [CrossRef]
  27. Ullah, M.A.; Keshavarz, R.; Abolhasan, M.; Lipman, J.; Esselle, K.P.; Shariati, N. A Review on Antenna Technologies for Ambient RF Energy Harvesting and Wireless Power Transfer: Designs, Challenges and Applications. IEEE Access 2022, 10, 17231–17267. [Google Scholar] [CrossRef]
  28. Moher, D.; Liberati, A.; Tetzlaff, J.; Altman, D.G.; The PRISMA Group. Preferred Reporting Items for Systematic Reviews and Meta-Analyses: The PRISMA Statement. PLoS Med. 2009, 6, e1000097. [Google Scholar] [CrossRef]
  29. Volakis, J.; Olgun, U.; Chen, C.C. Design of an efficient ambient WiFi energy harvesting system. IET Microw. Antennas Propag. 2012, 6, 1200–1206. [Google Scholar] [CrossRef]
  30. Broutas, P.; Contopanagos, H.; Kyriakis-Bitzaros, E.D.; Tsoukalas, D.; Chatzandroulis, S. A low power RF harvester for a smart passive sensor tag with integrated antenna. Sens. Actuators A Phys. 2012, 176, 34–45. [Google Scholar] [CrossRef]
  31. Nimo, A.; Grgić, D.; Reindl, L.M. Optimization of Passive Low Power Wireless Electromagnetic Energy Harvesters. Sensors 2012, 12, 13636–13663. [Google Scholar] [CrossRef]
  32. Ghadimi, N.; Ojaroudi, M. A Novel Design of Low Power Rectenna for Wireless Sensor and RFID Applications. Wirel. Pers. Commun. 2014, 78, 1177–1186. [Google Scholar] [CrossRef]
  33. Zhang, F.; Liu, X.; Meng, F.Y.; Wu, Q.; Lee, J.C.; Xu, J.F.; Wang, C.; Kim, N.Y. Design of a Compact Planar Rectenna for Wireless Power Transfer in the ISM Band. Int. J. Antennas Propag. 2014, 2014, 1–9. [Google Scholar] [CrossRef]
  34. Kim, S.; Vyas, R.; Bito, J.; Niotaki, K.; Collado, A.; Georgiadis, A.; Tentzeris, M.M. Ambient RF Energy-Harvesting Technologies for Self-Sustainable Standalone Wireless Sensor Platforms. Proc. IEEE 2014, 102, 1649–1666. [Google Scholar] [CrossRef]
  35. Fantuzzi, M.; Masotti, D.; Costanzo, A. A Novel Integrated UWB–UHF One-Port Antenna for Localization and Energy Harvesting. IEEE Trans. Antennas Propag. 2015, 63, 3839–3848. [Google Scholar] [CrossRef]
  36. Kamoda, H.; Kitazawa, S.; Kukutsu, N.; Kobayashi, K. Loop Antenna Over Artificial Magnetic Conductor Surface and Its Application to Dual-Band RF Energy Harvesting. IEEE Trans. Antennas Propag. 2015, 63, 4408–4417. [Google Scholar] [CrossRef]
  37. Pookkapund, K.; Phongcharoenpanich, C. Design of Planar Dipole Array Antenna Above Square Reflector for Energy Harvesting at 2.4 GHz Band. In Advanced Computer and Communication Engineering Technology; Sulaiman, H.A., Othman, M.A., Othman, M.F.I., Rahim, Y.A., Pee, N.C., Eds.; Springer International Publishing: Cham, Switzerland, 2016; Volume 362, pp. 1317–1325. [Google Scholar] [CrossRef]
  38. Lemey, S.; Agneessens, S.; Van Torre, P.; Baes, K.; Vanfleteren, J.; Rogier, H. Wearable Flexible Lightweight Modular RFID Tag With Integrated Energy Harvester. IEEE Trans. Microw. Theory Tech. 2016, 64, 2304–2314. [Google Scholar] [CrossRef]
  39. Almoneef, T.S.; Erkmen, F.; Ramahi, O.M. Harvesting the Energy of Multi-Polarized Electromagnetic Waves. Sci. Rep. 2017, 7, 14656. [Google Scholar] [CrossRef]
  40. Dhaliwal, B.S.; Pattnaik, S.S. BFO–ANN ensemble hybrid algorithm to design compact fractal antenna for rectenna system. Neural Comput. Appl. 2017, 28, 917–928. [Google Scholar] [CrossRef]
  41. Song, C.; Huang, Y.; Zhou, J.; Carter, P.; Yuan, S.; Xu, Q.; Fei, Z. Matching Network Elimination in Broadband Rectennas for High-Efficiency Wireless Power Transfer and Energy Harvesting. IEEE Trans. Ind. Electron. 2017, 64, 3950–3961. [Google Scholar] [CrossRef]
  42. Misran, M.H.; Rahim, S.K.A.; Eteng, A.A.; Vandenbosch, G.A.E. Assessment of Kapton-based Flexible Antenna for Near Field Wireless Energy Transfer. Appl. Comput. Electromagn. Soc. J. (ACES) 2021, 32, 31–36. [Google Scholar]
  43. Naresh, B.; Singh, V.K.; Bhargavi, V.; Garg, A.; Bhoi, A.K. Dual-Band Wearable Rectenna for Low-Power RF Energy Harvesting. In Advances in Power Systems and Energy Management; Garg, A., Bhoi, A.K., Sanjeevikumar, P., Kamani, K.K., Eds.; Springer: Singapore, 2018; Volume 436, pp. 13–21. [Google Scholar] [CrossRef]
  44. Singh, N.; Kanaujia, B.K.; Beg, M.T.; Mainuddin; Kumar, S.; Khandelwal, M.K. A dual band rectifying antenna for RF energy harvesting. J. Comput. Electron. 2018, 17, 1748–1755. [Google Scholar] [CrossRef]
  45. Kurvey, M.; Kunte, A. Tri-Stepped Rectangular Antenna for Efficient RF Energy Harvesting. J. Commun. Inf. Netw. 2018, 3, 86–90. [Google Scholar] [CrossRef]
  46. Chuma, E.L.; Rodríguez, L.D.L.T.; Iano, Y.; Roger, L.L.B.; Sanchez-Soriano, M. Compact rectenna based on a fractal geometry with a high conversion energy efficiency per area. IET Microwaves, Antennas Propag. 2018, 12, 173–178. [Google Scholar] [CrossRef]
  47. Assimonis, S.D.; Fusco, V.; Georgiadis, A.; Samaras, T. Efficient and Sensitive Electrically Small Rectenna for Ultra-Low Power RF Energy Harvesting. Sci. Rep. 2018, 8, 15038. [Google Scholar] [CrossRef]
  48. Khemar, A.; Kacha, A.; Takhedmit, H.; Abib, G. Design and experiments of a dual-band rectenna for ambient RF energy harvesting in urban environments. IET Microwaves Antennas Propag. 2018, 12, 49–55. [Google Scholar] [CrossRef]
  49. Ghaderi, B.; Nayyeri, V.; Soleimani, M.; Ramahi, O.M. Multi-polarisation electromagnetic energy harvesting with high efficiency. IET Microwaves Antennas Propag. 2018, 12, 2271–2275. [Google Scholar] [CrossRef]
  50. Shafique, K.; Khawaja, B.A.; Khurram, M.D.; Sibtain, S.M.; Siddiqui, Y.; Mustaqim, M.; Chattha, H.T.; Yang, X. Energy Harvesting Using a Low-Cost Rectenna for Internet of Things (IoT) Applications. IEEE Access 2018, 6, 30932–30941. [Google Scholar] [CrossRef]
  51. Sreelakshmy, R.; Vairavel, G. RF Energy Harvesting Using a Single Band Cuff Button Rectenna. In ICCCE 2018; Kumar, A., Mozar, S., Eds.; Springer: Singapore, 2019; Volume 500, pp. 367–374. [Google Scholar] [CrossRef]
  52. Das, T.T.; Vinayak, S.; Pai, S.N. Design of an Energy Harvesting System for Wireless Power Transmission Using Microstrip Antenna. In Engineering Vibration, Communication and Information Processing; Ray, K., Sharan, S.N., Rawat, S., Jain, S.K., Srivastava, S., Bandyopadhyay, A., Eds.; Springer: Singapore, 2019; Volume 478, pp. 481–494. [Google Scholar] [CrossRef]
  53. Lin, Y.S.; Lan, K.S. RF–DC converter and DC–DC converter for UHF and microwave wireless power transfer (UWPT/MWPT). Analog Integr. Circuits Signal Process. 2019, 101, 585–599. [Google Scholar] [CrossRef]
  54. Haerinia, M.; Noghanian, S. A Printed Wearable Dual-Band Antenna for Wireless Power Transfer. Sensors 2019, 19, 1732. [Google Scholar] [CrossRef]
  55. Abdi, A.; Aliakbarian, H. A Miniaturized UHF-Band Rectenna for Power Transmission to Deep-Body Implantable Devices. IEEE J. Transl. Eng. Health Med. 2019, 7, 1900311. [Google Scholar] [CrossRef]
  56. Sabban, A. Compact Wearable Meta Materials Antennas for Energy Harvesting Systems, Medical and IOT Systems. Electronics 2019, 8, 1340. [Google Scholar] [CrossRef]
  57. Elwi, T.A.; Abdul Hassain, Z.A.; Tawfeeq, O.A. Hilbert metamaterial printed antenna based on organic substrates for energy harvesting. IET Microwaves Antennas Propag. 2019, 13, 2185–2192. [Google Scholar] [CrossRef]
  58. Mendes, R.A.; Goncalves, S.T.M.; Silva, R.L.R.; Soares, I.V.; Rego, C.G.D.; Ramos, G.L. High Efficiency Double-band Printed Rectenna Model for Energy Harvesting. In Proceedings of the 2019 SBMO/IEEE MTT-S International Microwave and Optoelectronics Conference (IMOC), Aveiro, Portugal, 10–14 November 2019; pp. 1–3. [Google Scholar] [CrossRef]
  59. Diaz, G.G.; Peruzzi, V.M.; Masson, F.R.; Mandolesi, P.S. Substrate Material Impact on the Efficiency of RF Energy Harvesting Dipole Antennas. In Proceedings of the 2019 XVIII Workshop on Information Processing and Control (RPIC), Salvador, Brazil, 18–20 September 2019; pp. 71–75. [Google Scholar] [CrossRef]
  60. Awais, M.; Rehman, S.; Asif, M.; Usman, M.; Shin, S.Y. RF Energy Harvesting for Low Power Applications Using Rectenna Operating at 2.45 GHz. In Proceedings of the 2019 International Conference on Information and Communication Technology Convergence (ICTC), Jeju Island, Repubic of Korea, 16–18 October 2019; pp. 789–793. [Google Scholar] [CrossRef]
  61. Mansour, M.M.; Kanaya, H. Novel L-Slot Matching Circuit Integrated with Circularly Polarized Rectenna for Wireless Energy Harvesting. Electronics 2019, 8, 651. [Google Scholar] [CrossRef]
  62. Karampatea, A.; Siakavara, K. Synthesis of Rectenna for Powering Micro-Watt Sensors by Harvesting Ambient RF Signals’ Power. Electronics 2019, 8, 1108. [Google Scholar] [CrossRef]
  63. Eltresy, N.A.; Dardeer, O.M.; Al-Habal, A.; Elhariri, E.; Hassan, A.H.; Khattab, A.; Elsheakh, D.N.; Taie, S.A.; Mostafa, H.; Elsadek, H.A.; et al. RF Energy Harvesting IoT System for Museum Ambience Control with Deep Learning. Sensors 2019, 19, 4465. [Google Scholar] [CrossRef] [PubMed]
  64. Karampatea, A.; Siakavara, K. Hybrid rectennas of printed dipole type on Double Negative Dielectric Media for powering sensors via RF ambient energy harvesting. AEU—Int. J. Electron. Commun. 2019, 108, 242–250. [Google Scholar] [CrossRef]
  65. Elwi, T.A. Novel UWB printed metamaterial microstrip antenna based organic substrates for RF-energy harvesting applications. AEU—Int. J. Electron. Commun. 2019, 101, 44–53. [Google Scholar] [CrossRef]
  66. Amir, N.A.; Hamzah, S.A.; Ramli, K.N.; Shah, S.M.; Zainal, M.S.; Seman, F.C.; Adon, N.; Mustapa, M.S.; Esa, M.; Malik, N.N.N.A. A 2×1 Microstrip Patch Array Rectenna with Harmonic Suppression Capability for Energy Harvesting Application. In Computational Science and Technology; Alfred, R., Lim, Y., Haviluddin, H., On, C.K., Eds.; Springer: Singapore, 2020; Volume 603, pp. 373–382. [Google Scholar] [CrossRef]
  67. Polaiah, G.; Krishnamoorthy, K.; Kulkarni, M. A Dual-Band Modified Quadrilateral Square Slotted Rectenna for RF Energy Harvesting. In Modelling, Simulation and Intelligent Computing; Goel, N., Hasan, S., Kalaichelvi, V., Eds.; Springer: Singapore, 2020; Volume 659, pp. 401–410. [Google Scholar] [CrossRef]
  68. Sheikh, A.M.; Mathur, R. A Tri-band Staircase Antenna for RF Energy Harvesting. In Information and Communication Technology for Sustainable Development; Tuba, M., Akashe, S., Joshi, A., Eds.; Springer: Singapore, 2020; Volume 933, pp. 33–41. [Google Scholar] [CrossRef]
  69. Silva, V.S.; Paz, H.P.; Cambero, E.V.; Araújo, H.X.; Casella, I.R.; Capovilla, C.E. Dual-output quasi-Yagi antenna for out-of-band RF energy harvesting. IET Microwaves Antennas Propag. 2020, 14, 1053–1060. [Google Scholar] [CrossRef]
  70. Chandravanshi, S.; Katare, K.K.; Akhtar, M.J. Broadband integrated rectenna using differential rectifier and hybrid coupler. IET Microwaves Antennas Propag. 2020, 14, 1384–1395. [Google Scholar] [CrossRef]
  71. Vu Ngoc Anh, H.; Thien, N.M.; Trinh, L.H.; Nguyen Vu, T.; Ferrero, F. Compact Dual-Band Rectenna Based on Dual-Mode Metal-Rimmed Antenna. Electronics 2020, 9, 1532. [Google Scholar] [CrossRef]
  72. Wang, M.; Yang, L.; Shi, Y. A dual-port microstrip rectenna for wireless energy harvest at LTE band. AEU—Int. J. Electron. Commun. 2020, 126, 153451. [Google Scholar] [CrossRef]
  73. Singh, V.; Pandey, V.S.; Shrivastava, V. A Wideband Star-Shaped Rectenna for RF Energy Harvesting in GSM Band. In Advances in Electromechanical Technologies; Pandey, V.C., Pandey, P.M., Garg, S.K., Eds.; Springer: Singapore, 2021; pp. 163–173. [Google Scholar] [CrossRef]
  74. Amer, A.A.G.; Sapuan, S.Z.; Nasimuddin; Zinal, N.B. Metasurface with Wide-Angle Reception for Electromagnetic Energy Harvesting. In Proceedings of the 11th National Technical Seminar on Unmanned System Technology 2019, Kuala Lumpur, Malaysia, 2–3 December 2019; Md Zain, Z., Ahmad, H., Pebrianti, D., Mustafa, M., Abdullah, N.R.H., Samad, R., Mat Noh, M., Eds.; Springer Nature: Singapore, 2021; Volume 666, pp. 693–700. [Google Scholar] [CrossRef]
  75. Quddious, A.; Zahid, S.; Tahir, F.A.; Antoniades, M.A.; Vryonides, P.; Nikolaou, S. Dual-Band Compact Rectenna for UHF and ISM Wireless Power Transfer Systems. IEEE Trans. Antennas Propag. 2021, 69, 2392–2397. [Google Scholar] [CrossRef]
  76. Lu, P.; Song, C.; Huang, K.M. Ultra-Wideband Rectenna Using Complementary Resonant Structure for Microwave Power Transmission and Energy Harvesting. IEEE Trans. Microw. Theory Tech. 2021, 69, 3452–3462. [Google Scholar] [CrossRef]
  77. Roy, S.; Tiang, J.J.; Roslee, M.B.; Ahmed, M.T.; Kouzani, A.Z.; Mahmud, M.A.P. Quad-Band Rectenna for Ambient Radio Frequency (RF) Energy Harvesting. Sensors 2021, 21, 7838. [Google Scholar] [CrossRef] [PubMed]
  78. Jung, E.M.; Lee, W.S.; Vyas, R.J.; Tentzeris, M.M. A Wideband, Quasi-Isotropic, Ambient RF Energy Harvester Combining UHF-TV and FM. IEEE Antennas Wirel. Propag. Lett. 2021, 20, 1854–1858. [Google Scholar] [CrossRef]
  79. Wagih, M.; Komolafe, A.; Weddell, A.S.; Beeby, S. Broadband Compact Substrate-Independent Textile Wearable Antenna for Simultaneous Near- and Far-Field Wireless Power Transmission. IEEE Open J. Antennas Propag. 2022, 3, 398–411. [Google Scholar] [CrossRef]
  80. Roy, S.; Tiang, R.J.J.; Roslee, M.B.; Ahmed, M.T.; Mahmud, M.A.P. Quad-Band Multiport Rectenna for RF Energy Harvesting in Ambient Environment. IEEE Access 2021, 9, 77464–77481. [Google Scholar] [CrossRef]
  81. Sidibe, A.; Takacs, A.; Loubet, G.; Dragomirescu, D. Compact Antenna in 3D Configuration for Rectenna Wireless Power Transmission Applications. Sensors 2021, 21, 3193. [Google Scholar] [CrossRef]
  82. Boursianis, A.D.; Papadopoulou, M.S.; Koulouridis, S.; Rocca, P.; Georgiadis, A.; Tentzeris, M.M.; Goudos, S.K. Triple-Band Single-Layer Rectenna for Outdoor RF Energy Harvesting Applications. Sensors 2021, 21, 3460. [Google Scholar] [CrossRef]
  83. Lopez-Garde, J.M.; Del-Rio-Ruiz, R.; Legarda, J.; Rogier, H. 2 × 2 Textile Rectenna Array with Electromagnetically Coupled Microstrip Patch Antennas in the 2.4 GHz WiFi Band. Electronics 2021, 10, 1447. [Google Scholar] [CrossRef]
  84. Lee, W.; Choi, S.i.; Kim, H.i.; Hwang, S.; Jeon, S.; Yoon, Y.K. Metamaterial-Integrated High-Gain Rectenna for RF Sensing and Energy Harvesting Applications. Sensors 2021, 21, 6580. [Google Scholar] [CrossRef]
  85. Abdelhady, E.M.; Dardeer, O.M. Performance Evaluation of Self-adaptive Rectenna for RF Energy Harvesting Applications. In Design, Operation and Evaluation of Mobile Communications; Salvendy, G., Wei, J., Eds.; Springer International Publishing: Cham, Switzerland, 2022; Volume 13337, pp. 391–398. [Google Scholar] [CrossRef]
  86. Dawood Butt, A.; Abrar, F.; Qasim, M.A.; Ahmad, S.; Sajawal, M.; Attiq, M.A. Design of an Efficient Rectenna for RF Energy Harvesting for IoT Medical Implants. In AI and IoT for Sustainable Development in Emerging Countries; Boulouard, Z., Ouaissa, M., Ouaissa, M., El Himer, S., Eds.; Springer International Publishing: Cham, Switzerland, 2022; Volume 105, pp. 487–503. [Google Scholar] [CrossRef]
  87. Yadav, K.K.; Joshi, T.; Patidar, K.; Yadav, D. Designing of Low-Cost Energy Harvesting Antenna System for 2.4 GHz ISM Band. In Optical and Wireless Technologies; Tiwari, M., Maddila, R.K., Garg, A.K., Kumar, A., Yupapin, P., Eds.; Springer: Singapore, 2022; Volume 771, pp. 359–367. [Google Scholar] [CrossRef]
  88. Anilkumar, T.; Mounika, M.; Lakshmi, P.R.; Raju, J.G.; Naidu, M.S.K.; Sridhar, B. Design and Analysis of Fractal Loop Antenna Array for Rectenna Applications. In Evolution in Signal Processing and Telecommunication Networks; Chowdary, P.S.R., Anguera, J., Satapathy, S.C., Bhateja, V., Eds.; Springer: Singapore, 2022; Volume 839, pp. 151–159. [Google Scholar] [CrossRef]
  89. Pandey, R.; Shankhwar, A.K.; Singh, A. Design of Dual-Band Printed Antenna for RF Energy Harvesting Applications. In Advances in VLSI, Communication, and Signal Processing; Dhawan, A., Mishra, R.A., Arya, K.V., Zamarreño, C.R., Eds.; Springer Nature: Singapore, 2022; Volume 911, pp. 241–247. [Google Scholar] [CrossRef]
  90. Gordón, C.; Criollo, W.; Cumbajín, M.; Peñafiel, C. Multiband Microstrip Antennas for Energy Harvesting Systems. In Recent Advances in Electrical Engineering, Electronics and Energy; Botto-Tobar, M., Cruz, H., Díaz Cadena, A., Eds.; Springer International Publishing: Cham, Switzerland, 2022; Volume 931, pp. 149–161. [Google Scholar] [CrossRef]
  91. Cumbajín, M.; Valle, M.; Gordón, C.; Peñafiel, C. Hybrid Storage System Based on Rectenna and Photovoltaic Cells for Low Power IoT Wireless Devices. In Applied Technologies; Botto-Tobar, M., Zambrano Vizuete, M., Montes León, S., Torres-Carrión, P., Durakovic, B., Eds.; Springer Nature: Cham, Switzerland, 2023; Volume 1756, pp. 326–339. [Google Scholar] [CrossRef]
  92. Liu, C.; Lin, H.; He, Z.; Chen, Z. Compact Patch Rectennas Without Impedance Matching Network for Wireless Power Transmission. IEEE Trans. Microw. Theory Tech. 2022, 70, 2882–2890. [Google Scholar] [CrossRef]
  93. Wagih, M.; Weddell, A.S.; Beeby, S. Omnidirectional Dual-Polarized Low-Profile Textile Rectenna With Over 50% Efficiency for Sub-μ W/cm2 Wearable Power Harvesting. IEEE Trans. Antennas Propag. 2021, 69, 2522–2536. [Google Scholar] [CrossRef]
  94. Saravanan, M.; Priya, A. Design of Tri-Band Microstrip Patch Rectenna for Radio Frequency Energy Harvesting System. IETE J. Res. 2022, 68, 2410–2415. [Google Scholar] [CrossRef]
  95. Assogba, O.; Mbodji, A.K.; Bréard, A.; Diallo, A.K.; Duroc, Y. Tri-Band Rectenna Dedicated to UHF RFID, GSM-1800 and UMTS-2100 Frequency Bands. Sensors 2022, 22, 3565. [Google Scholar] [CrossRef] [PubMed]
  96. Muttlak, S.G.; Sadeghi, M.; Ian, K.; Missous, M. Low-Cost Compact Integrated Rectenna for Implantable Medical Receivers. IEEE Sens. J. 2022, 22, 16938–16944. [Google Scholar] [CrossRef]
  97. Zheng, C.; Hu, J.; Jiang, J. Effect of fabric structure on the performance of screen-printed ultra-high frequency radio frequency identification tag antenna for wireless radio frequency energy harvesting. J. Ind. Text. 2022, 52, 152808372211096. [Google Scholar] [CrossRef]
  98. Wei, Y.; Duan, J.; Jing, H.; Yang, H.; Deng, H.; Song, C.; Wang, J.; Qu, Z.; Zhang, B. Scalable, Dual-Band Metasurface Array for Electromagnetic Energy Harvesting and Wireless Power Transfer. Micromachines 2022, 13, 1712. [Google Scholar] [CrossRef]
  99. Xu, C.; Fan, Y.; Liu, X. A Circularly Polarized Implantable Rectenna for Microwave Wireless Power Transfer. Micromachines 2022, 13, 121. [Google Scholar] [CrossRef]
  100. Fan, Y.; Liu, X.; Xu, C. A Broad Dual-Band Implantable Antenna for RF Energy Harvesting and Data Transmitting. Micromachines 2022, 13, 563. [Google Scholar] [CrossRef]
  101. Li, J.; Li, Z.; Jiang, C.; Wei, T.; Liu, Z. Designing and Modeling of a Dual-Band High-Efficiency Rectenna Using Dielectric Resonant Antenna Array. Appl. Sci. 2022, 12, 10081. [Google Scholar] [CrossRef]
  102. Cumbajin, M.; Sánchez, P.; Pillajo, D.; Gordón, C. RF Energy Harvesting System Based on Spiral Logarithmic Dipole Rectenna Array. In CSEI: International Conference on Computer Science, Electronics and Industrial Engineering (CSEI); Garcia, M.V., Gordón-Gallegos, C., Eds.; Springer Nature: Cham, Switzerland, 2023; Volume 678, pp. 351–365. [Google Scholar] [CrossRef]
  103. Elshaekh, D.N.; Mohamed, H.A.; Shawkey, H.A.; Kayed, S.I. Printed circularly polarized spilt ring resonator monopole antenna for energy harvesting. Ain Shams Eng. J. 2023, 14, 102182. [Google Scholar] [CrossRef]
  104. Kaim, V.; Singh, N.; Kanaujia, B.K.; Matekovits, L.; Esselle, K.P.; Rambabu, K. Multi-Channel Implantable Cubic Rectenna MIMO System With CP Diversity in Orthogonal Space for Enhanced Wireless Power Transfer in Biotelemetry. IEEE Trans. Antennas Propag. 2023, 71, 200–214. [Google Scholar] [CrossRef]
  105. Prashad, L.; Mohanta, H.C.; Mohamed, H.G. A Compact Circular Rectenna for RF-Energy Harvesting at ISM Band. Micromachines 2023, 14, 825. [Google Scholar] [CrossRef] [PubMed]
  106. Linge, P.U.; Gerges, T.; Bevilacqua, P.; Duchamp, J.M.; Benech, P.; Verdier, J.; Lombard, P.; Cabrera, M.; Tsafack, P.; Mieyeville, F.; et al. Evaluation of Polylactic Acid Polymer as a Substrate in Rectenna for Ambient Radiofrequency Energy Harvesting. J. Low Power Electron. Appl. 2023, 13, 34. [Google Scholar] [CrossRef]
  107. Wang, Y.; Lu, N.; Sun, H.; Ren, R. A Dual-Polarized Omnidirectional Rectenna Array for RF Energy Harvesting. Micromachines 2023, 14, 1071. [Google Scholar] [CrossRef]
  108. Jalali, Z.; Hasani, P.; Mohammad Hashemi, S.; Ghalamkari, B. A multiband coplanar based circularly polarized rectenna with high efficiency for IOT energy harvesting Applications. AEU—Int. J. Electron. Commun. 2023, 170, 154796. [Google Scholar] [CrossRef]
  109. Guerrero-Vásquez, L.F.; Chacón-Reino, N.A.; Sigüenza-Jiménez, B.S.; Zeas-Loja, F.T.; Ordoñez-Ordoñez, J.O.; Chasi-Pesantez, P.A. Design, Algorithms, and Applications of Microstrip Antennas for Image Acquisition: Systematic Review. Electronics 2025, 14, 1063. [Google Scholar] [CrossRef]
  110. Page, M.J.; McKenzie, J.E.; Bossuyt, P.M.; Boutron, I.; Hoffmann, T.C.; Mulrow, C.D.; Shamseer, L.; Tetzlaff, J.M.; Akl, E.A.; Brennan, S.E.; et al. The PRISMA 2020 statement: An updated guideline for reporting systematic reviews. BMJ 2021, 372, n71. [Google Scholar] [CrossRef]
Figure 1. Stages of the PRISMA method.
Figure 1. Stages of the PRISMA method.
Applsci 15 07773 g001
Figure 2. Distribution of included articles by country.
Figure 2. Distribution of included articles by country.
Applsci 15 07773 g002
Figure 3. Types of antenna designs, including array antennas (a), bow-tie (b), circular patch (c), spiral (d), slot insertion (e), rectangular patch (f), array antenna and (g) fractal. Each design has unique characteristics related to energy harvesting applications. These are representative figures of antennas, which are intended as a visual reference for the design type but not necessarily functional with the current dimensions.
Figure 3. Types of antenna designs, including array antennas (a), bow-tie (b), circular patch (c), spiral (d), slot insertion (e), rectangular patch (f), array antenna and (g) fractal. Each design has unique characteristics related to energy harvesting applications. These are representative figures of antennas, which are intended as a visual reference for the design type but not necessarily functional with the current dimensions.
Applsci 15 07773 g003
Figure 4. Percentage distribution of reviewed bibliography according to antenna type analyzed.
Figure 4. Percentage distribution of reviewed bibliography according to antenna type analyzed.
Applsci 15 07773 g004
Figure 5. Boxplot showing the area distribution of different antenna designs for energy harvesting.
Figure 5. Boxplot showing the area distribution of different antenna designs for energy harvesting.
Applsci 15 07773 g005
Figure 6. Boxplot showing efficiency distribution of different antenna designs for energy harvesting.
Figure 6. Boxplot showing efficiency distribution of different antenna designs for energy harvesting.
Applsci 15 07773 g006
Figure 7. Boxplot showing frequency distribution of different antenna designs for energy harvesting.
Figure 7. Boxplot showing frequency distribution of different antenna designs for energy harvesting.
Applsci 15 07773 g007
Figure 8. Boxplot showing gain distribution of different antenna designs for energy harvesting.
Figure 8. Boxplot showing gain distribution of different antenna designs for energy harvesting.
Applsci 15 07773 g008
Figure 9. Percentage distribution of reviewed bibliography according to type of antenna analyzed.
Figure 9. Percentage distribution of reviewed bibliography according to type of antenna analyzed.
Applsci 15 07773 g009
Figure 10. Boxplot showing area distribution of different substrates for energy harvesting.
Figure 10. Boxplot showing area distribution of different substrates for energy harvesting.
Applsci 15 07773 g010
Figure 11. Boxplot showing efficiency distribution of different substrates for energy harvesting.
Figure 11. Boxplot showing efficiency distribution of different substrates for energy harvesting.
Applsci 15 07773 g011
Figure 12. Boxplot showing frequency distribution of different substrates for energy harvesting.
Figure 12. Boxplot showing frequency distribution of different substrates for energy harvesting.
Applsci 15 07773 g012
Figure 13. Boxplot showing gain distribution of different substrates for energy harvesting.
Figure 13. Boxplot showing gain distribution of different substrates for energy harvesting.
Applsci 15 07773 g013
Figure 14. Percentage distribution of reviewed bibliography according to the type of frequency bands.
Figure 14. Percentage distribution of reviewed bibliography according to the type of frequency bands.
Applsci 15 07773 g014
Figure 15. Boxplot showing area distribution of band frequency for energy harvesting.
Figure 15. Boxplot showing area distribution of band frequency for energy harvesting.
Applsci 15 07773 g015
Figure 16. Boxplot showing efficiency distribution of band frequency for energy harvesting.
Figure 16. Boxplot showing efficiency distribution of band frequency for energy harvesting.
Applsci 15 07773 g016
Figure 17. Boxplot showing gain distribution of band frequency for energy harvesting.
Figure 17. Boxplot showing gain distribution of band frequency for energy harvesting.
Applsci 15 07773 g017
Figure 18. Types of rectifier designs: (a) schematic half-wave rectifier, (b) half-wave rectifier, (c) ground half-wave rectifier; (d) schematic microwave rectifier, (e) microwave rectifier, (f) ground microwave rectifier; (g) schematic Schottky rectifier, (h) Schottky rectifier, (i) ground Schottky rectiifer; (j) schematic single-step rectifier, (k) single-step rectifier, (l) ground single-step rectifier; (m) schematic full-wave rectifier, (n) full-wave rectifier, (o) ground full-wave rectifier; (p) schematic multi-step rectifier, (q) multi-step rectifier, and (r) ground multi-step rectifier. Each design has unique characteristics related to energy harvesting applications. These are representative figures of rectifiers, intended as a visual reference for design type but not necessarily functional with current dimensions.
Figure 18. Types of rectifier designs: (a) schematic half-wave rectifier, (b) half-wave rectifier, (c) ground half-wave rectifier; (d) schematic microwave rectifier, (e) microwave rectifier, (f) ground microwave rectifier; (g) schematic Schottky rectifier, (h) Schottky rectifier, (i) ground Schottky rectiifer; (j) schematic single-step rectifier, (k) single-step rectifier, (l) ground single-step rectifier; (m) schematic full-wave rectifier, (n) full-wave rectifier, (o) ground full-wave rectifier; (p) schematic multi-step rectifier, (q) multi-step rectifier, and (r) ground multi-step rectifier. Each design has unique characteristics related to energy harvesting applications. These are representative figures of rectifiers, intended as a visual reference for design type but not necessarily functional with current dimensions.
Applsci 15 07773 g018
Figure 19. Percentage distribution of reviewed bibliography according to the type of rectifier analyzed.
Figure 19. Percentage distribution of reviewed bibliography according to the type of rectifier analyzed.
Applsci 15 07773 g019
Figure 20. Boxplot showing area distribution of different rectifier designs for energy harvesting.
Figure 20. Boxplot showing area distribution of different rectifier designs for energy harvesting.
Applsci 15 07773 g020
Figure 21. Boxplot showing efficiency distribution of different rectifier designs for energy harvesting.
Figure 21. Boxplot showing efficiency distribution of different rectifier designs for energy harvesting.
Applsci 15 07773 g021
Figure 22. Boxplot showing frequency distribution of different rectifier designs for energy harvesting.
Figure 22. Boxplot showing frequency distribution of different rectifier designs for energy harvesting.
Applsci 15 07773 g022
Figure 23. Boxplot showing gain distribution of different rectifier designs for energy harvesting.
Figure 23. Boxplot showing gain distribution of different rectifier designs for energy harvesting.
Applsci 15 07773 g023
Table 1. Summary of related works on advances in antenna and rectifier systems for RF energy harvesting.
Table 1. Summary of related works on advances in antenna and rectifier systems for RF energy harvesting.
Ref.ApproachEmployed TechniqueLimitations
[19]Comparative analysis of microstrip patch antenna designs for rectennas used in RF energy harvesting.Review of microstrip patch antennas considering slot variations, dielectric properties, rectifier circuits, and reconfigurability. Compiled efficiency and harmonic suppression data. Comparative evaluation of antenna geometry and performance.No experimental validation or simulation results presented in this work. Focused on qualitative comparison rather than quantitative benchmarking. Limited to microstrip antenna technology; does not include other antenna types or broader energy harvesting systems.
[20]Comprehensive survey on wireless networks with RF energy harvesting capability (RF-EHN).Categorized receiver architectures (time-switching, power-splitting), propagation models (Friis, Rayleigh), and communication scheduling. Reviewed energy sources, matching networks, and circuit efficiency with experimental data.Does not include performance meta-analysis or unified benchmarking across implementations. Hardware circuit designs are referenced but not deeply reviewed. Primarily conceptual and qualitative.
[21]Comprehensive review of energy harvesting techniques and prediction models for wireless sensor n networks (WSNs).Extensive review of energy sources (RF, solar, thermal, etc.) and predictive models. Presented case studies and analyzed energy forecasting models for WSN implementations.Does not include statistical meta-analysis; lacks unified metrics for quantitative comparison across energy harvesting systems. Focuses on survey and taxonomy, with limited benchmarking data or performance synthesis.
[22]Comprehensive survey on energy harvesting communications from energy sources to network protocols.Reviewed energy sources, harvesting models, scheduling techniques (offline, online), and networking frameworks. Explored optimization strategies and hybrid energy systems across layers.No statistical meta-analysis or benchmarking tables provided. High technical breadth may reduce depth in specific sections. Focus is conceptual and modeling oriented; lacks experimental validation.
[23]Overview and analysis of design issues in RF energy harvesting systems, especially for IoT sensor applications.Comparative analysis of antenna topologies (patch, metamaterial), matching networks (L, Pi), and rectifier architectures (diode-based, MOSFET-based). Presented trade-offs in miniaturization, reconfigurability, and rectifier efficiency.Review lacks quantitative meta-analysis and experimental benchmarking. Focused primarily on design issues and component-level discussion. Does not integrate real-world performance across varying environmental and load conditions.
[24]Taxonomic survey of energy harvesting systems for wireless sensor networks.Systematic review of 137 research articles (1998–2020). Classified EH systems into types (solar, RF, thermal, etc.) and provided further breakdown by transducer type and storage method. Conducted bibliometric and thematic mapping analysis.Focus is mainly on classification and taxonomies. Does not present meta-analytical statistics. Limited to WSN applications and lacks detailed performance benchmarking across all compared methods.
[5]Comprehensive review of rectenna antenna design techniques for RF energy harvesting (RFEH) and wireless power transfer (WPT).Categorized rectennas by topologies (single-band, multiband, broadband), impedance matching (lumped, hybrid), and radiation characteristics (gain, polarization). Comparative analysis of bandwidth trade-offs for various applications (WPT vs. RFEH).Survey focuses on antenna design; does not include rectifier circuitry in depth. Lacks experimental validation or unified benchmarking. Does not provide a meta-analytical synthesis of performance across frequency bands or application contexts.
[25]Review of synthesis, characterization, and development of energy harvesting techniques integrated with antennas.Explored antenna types (patch, coplanar waveguide (CPW)-fed), matching networks, rectifier configurations, and hybrid harvesting techniques (thermoelectric, piezoelectric, RF). Proposed rectenna architectures and hybrid harvester circuits with performance metrics.Lacks experimental meta-analysis and performance standardization across case studies. High technical breadth may limit practical deployment focus. Does not explore long-term performance in real-world sensor networks.
[26]Comprehensive review of RF energy harvesting technologies with emphasis on design techniques and potential applications.Analyzed antenna configurations (broadband, multiband), rectifier types (Dickson, Greinacher), and frequency bands (200 MHz to 5.8 GHz). Provided taxonomy-based assessments of efficiency, gain, and multiband configurations.Review is largely qualitative without unified statistical meta-analysis. High technical breadth may limit depth in some aspects such as fabrication constraints. Focuses more on architecture and taxonomy than on end-to-end system deployment or real-time validation.
[27]Comprehensive review of antenna technologies for ambient RF energy harvesting and wireless power transfer.Taxonomy-based review of antenna designs categorized by profile (low-profile, multiband), radiation performance, and fabrication methods (e.g., inkjet printing). Evaluated performance metrics (gain, efficiency) and design strategies (slotting, stacking).Lacks statistical meta-analysis and does not include detailed rectifier or full-system performance benchmarks. Focuses primarily on antenna-side design and architectural considerations.
Table 2. Articles included in the review.
Table 2. Articles included in the review.
Ref.AuthorSourceYearCountry
[29]Volakis et al.Web of Science2012USA
[30]Broutas et al.Web of Science2012Greece
[31]Nimo et al.MDPI2012Germany
[32]Ghadimi and OjaroudiSpringer2014Iran
[33]Zhang et al.Web of Science2014China
[34]Kim et al.Web of Science2014USA
[35]Fantuzzi et al.Web of Science2015Italy
[36]Kamoda et al.Web of Science2015Japan
[37]Pookkapund and PhongcharoenpanichSpringer2016Thailand
[38]Lemey et al.Web of Science2016Belguium
[39]Almoneef et al.Springer2017Saudi Arabia
[40]Dhaliwal and PattnaikSpringer2017India
[41]Song et al.Web of Science2017United Kingdom
[42]Mohamad et al.Web of Science2017Malaysia
[43]Naresh et al.Springer2018India
[44]Singh et al.Springer2018India
[45]Kurvey and KunteSpringer2018India
[46]Chuma et al.Web of Science2018Brazil
[47]Assimonis et al.Web of Science2018United Kingdom
[48]Khemar et al.Web of Science2018Algeria
[49]Ghaderi et al.Web of Science2018Iran
[50]Shafique et al.IEEE2018Pakistan
[51]Sreelakshmy and VairavelSpringer2019India
[52]Das et al.Springer2019India
[53]Lin and LanSpringer2019Taiwan
[54]Haerinia and NoghanianWeb of Science2019USA
[55]Abdi and AliakbarianWeb of Science2019Iran
[56]SabbanWeb of Science2019Israel
[57]Elwi et al.Web of Science2019Iran
[58]Mendes et al.IEEE2019Brazil
[59]Diaz et al.IEEE2019Argentina
[60]Awais et al.IEEE2019Pakistan
[61]Mansour and KanayaMDPI2019Japan
[62]Karampatea and SiakavaraMDPI2019Greece
[63]Eltresy et al.MDPI2019Egypt
[64]Karampatea and SiakavaraScienceDirect2019Greece
[65]ElwiScienceDirect2019Iraq
[66]Amir et al.Springer2020Malaysia
[67]Polaiah et al.Springer2020India
[68]Sheikh and MathurSpringer2020India
[69]Silva et al.Web of Science2020Brazil
[70]Chandravanshi et al.Web of Science2020India
[71]Vu Ngoc Anh et al.MDPI2020Vietnam
[72]Wang et al.ScienceDirect2020China
[73]Singh et al.Springer2021India
[74]Amer et al.Springer2021Malaysia
[75]Quddious et al.Web of Science2021Chipre
[76]Lu et al.Web of Science2021China
[77]Roy et al.Web of Science2021Malaysia
[78]Jung et al.Web of Science2021USA
[79]Wagih et al.Scopus2021United Kingdom
[80]Roy et al.IEEE2021Malaysia
[81]Sidibe et al.MDPI2021France
[82]Boursianis et al.MDPI2021Greece
[83]Lopez-Garde et al.MDPI2021Spain
[84]Lee et al.MDPI2021USA
[85]Abdelhady and DardeerSpringer2022Egypt
[86]Dawood Butt et al.Springer2022Pakistan
[87]Yadav et al.Springer2022India
[88]Anilkumar et al.Springer2022India
[89]Pandey et al.Springer2022India
[90]Gordón et al.Springer2022Ecuador
[91]Cumbajín et al.Springer2022Ecuador
[92]Liu et al.Scopus2022China
[93]Wagih et al.Scopus2022United Kingdom
[94]Saravanan and PriyaTaylor and Francis2022India
[95]Assogba et al.Web of Science2022Senegal
[96]Muttlak et al.Web of Science2022United Kingdom
[97]Zheng et al.SAGE2022China
[98]Wei et al.MDPI2022China
[99]Xu et al.MDPI2022China
[100]Fan et al.MDPI2022China
[101]Li et al.MDPI2022China
[102]Cumbajin et al.Springer2023Ecuador
[103]Elshaekh et al.Web of Science2023Egypt
[104]Kaim et al.IEEE2023India
[105]Prashad et al.MDPI2023India
[106]Linge et al.MDPI2023France
[107]Wang et al.MDPI2023China
[108]Jalali et al.ScienceDirect2023Iran
Table 3. Classification of reviewed articles based on key analytical variables related to rectenna-based energy harvesting systems.
Table 3. Classification of reviewed articles based on key analytical variables related to rectenna-based energy harvesting systems.
Ref.AntennaRectifierBands Frequency
[66]ArrayMulti-stepS band
[60]ArraySchottkyUltra high frequency (UHF), S band
[82]Rectangular patchSchottkyUHF, L band, L band
[29]FractalSingle-stepS band
[30]Slot insertionMulti-stepUHF
[31]Rectangular patchSchottkyUHF
[32]Rectangular patchSchottkyS band
[33]OtherSchottkyS band
[34]OtherSchottkyUHF/industrial, scientific, and medical (ISM), S band, UHF
[35]SpiralMulti-stepS band–C band, UHF
[36]Rectangular patchSchottkyUHF, UHF
[37]ArrayMulti-stepS band
[38]Circular patchWithoutS band
[39]ArraySchottkyS band
[40]FractalSingle-stepS band
[41]Bow-tieSingle-stepUHF–L band, L band–S band
[42]SpiralWithoutHF
[43]Slot insertionSchottkyS band, C band
[44]Slot insertionSchottkyL band, C band
[45]Rectangular patchMulti-stepUHF, UHF/ISM, L band, S band
[46]FractalSingle-stepS band
[47]OtherSchottkyUHF
[48]Slot insertionSchottkyL band, L band
[49]ArrayWithoutS band
[50]Rectangular patchSingle-stepS band
[51]Circular patchSchottkyS band
[52]Rectangular patchSchottkyS band
[53]ArrayMulti-stepX band
[54]Rectangular patchWithoutS band, C band
[55]SpiralSchottkyUHF
[56]OtherFull-waveUHF
[57]ArrayMulti-stepS band, C band
[58]Rectangular patchSchottkyL band, S band
[59]Rectangular patchWithoutS band
[61]Slot insertionSchottkyS band
[62]OtherFull-waveUHF, UHF/ISM, L band
[63]ArraySchottkyL band, L band, S band, S band, S band
[64]Bow-tieFull-waveL band, S band
[65]ArrayFull-waveS band, C band
[67]Slot insertionSchottkyS band
[68]Rectangular patchWithoutS band, C band, C band
[69]OtherHalf-waveL band
[70]Slot insertionMulti-stepL band, S band, S band
[71]Rectangular patchFull-waveUHF/ISM, S band
[72]Slot insertionMulti-stepL band, S band, S band
[73]Slot insertionMulti-stepUHF/ISM
[74]Circular patchWithoutS band
[75]Rectangular patchSchottkyL band, UHF, UHF/ISM, S band
[76]Circular patchSchottkyL band, S band
[77]Bow-tieSingle-stepUHF, L band, S band, S band
[78]Rectangular patchSchottkyS band, C band
[79]Circular patchSingle-stepUHF, UHF/ISM, S band
[80]ArrayMicrowaveUHF/ISM, L band, S band, S band
[81]Rectangular patchSchottkyUHF
[83]ArrayMulti-stepS band
[84]ArrayHalf-waveS band, S band
[85]Slot insertionWithoutS band
[86]Rectangular patchFull-waveUHF/ISM, S band
[87]Rectangular patchSchottkyS band
[88]ArrayWithoutL band, L band, S band
[89]Rectangular patchWithoutS band, S band
[90]OtherWithoutUHF/ISM, L band
[91]ArrayMulti-step and SchottkyS band
[92]Rectangular patchSchottkyS band
[93]OtherSchottkyUHF
[94]Rectangular patchSchottkyS band, C band
[95]SpiralSchottkyUHF, L band, S band
[96]SpiralMulti-stepS band
[97]Rectangular patchWithoutUHF, UHF/ISM, S band, UHF
[98]OtherSingle-stepS band, Ku band
[99]Slot insertionMulti-stepS band
[100]Rectangular patchSchottkyUHF/ISM, S band
[101]Circular patchMulti-stepS band, C band
[102]FractalMulti-stepUHF/ISM, L band, L band, S band, S band, S band
[103]Circular patchSchottkyS band, S band–X band
[104]Circular patchMulti-stepS band, C band
[105]Circular patchMulti-stepS band
[106]Rectangular patchHalf-waveS band
[107]Circular patchSchottkyS band
[108]Slot insertionMulti-stepL band, L band, L band, S band
Table 4. Article classification by geometry design.
Table 4. Article classification by geometry design.
Geometric DesignReferences
Rectangular patch[31,32,36,45,50,52,54,58,59,68,71,75,78,81,82,86,87,89,92,94,97,100,106]
Array[37,39,49,53,57,60,63,65,66,80,83,84,88,91]
Slot insertion[30,43,44,48,61,67,70,72,73,85,99,108]
Circular patch[38,51,74,76,79,101,103,104,105,107]
Spiral[35,42,55,90,95,96]
Bow-tie[41,64,77]
Fractal[29,40,46,102]
Other[33,34,47,56,62,69,93,98]
Table 5. Construction characteristics of antennas within the rectangular geometry classification. Resonant frequencies, bandwidth (BW) at each frequency, substrate used, and antenna width are included.
Table 5. Construction characteristics of antennas within the rectangular geometry classification. Resonant frequencies, bandwidth (BW) at each frequency, substrate used, and antenna width are included.
Ref.Frequency (GHz)BW (MHz)SubstrateThickness (mm)
[82]0.863, 1.84, 1.9535, 35, 35FR41.6
[86]0.9 2.45300, 50Rogers 3010, RT Duroid 5880
[89]2.1, 2.6FR41.6
[59]2.45FR41.6
[100]0.915, 2.45380, 850Rogers 32100.635
[32]2.4≈200FR40.8
[54]2.5, 4.5FR4, not conventional1.5, 0.69
[78]2.5, 4.5420, 20FR41.6
[36]0.5 0.87550, 100Not conventional0.8
[45]0.85, 0.9, 1.8, 2.41500FR41.6
[106]2.4560Not conventional1.5
[92]2.45≈100Not conventional1
[58]1.8, 2.45650FR41.6
[31]0.434200RT Duroid 58801.57
[75]0.878, 0.937, 1, 2.4550RT Duroid 58800.787
[52]2.45100RT Duroid 58801.57
[94]2.4, 4, 5100, 150FR41.6
[50]2.425FR41.6
[81]0.86832, 26FR40.8
[87]2.40.10FR41.6
[68]2.53, 4.46,5.584, 300, 550FR41.6
[71]0.925, 2.457, 80FR40.3
[97]0.868, 0.915, 2.4, 0.86–0.96407, 407, 407, 464Textil0.252, 0.322, 0.372
Table 6. Construction characteristics of antennas within the array geometry classification. Resonant frequencies, bandwidth at each frequency, substrate used, and antenna width are included.
Table 6. Construction characteristics of antennas within the array geometry classification. Resonant frequencies, bandwidth at each frequency, substrate used, and antenna width are included.
Ref.Frequency (GHz)BW (MHz)SubstrateThickness (mm)
[66]2.45FR41.6
[39]2.4≈200RT Duroid 58803.175
[60]0.8, 2.451650FR41.5
[91]2.497FR41.6
[88]1.42, 1.92, 2.4270, 70, 60FR41.6
[63]1.8, 1.9, 2.1, 2.4, 2.6FR4, Rogers1.6, 1.525
[57]2.45, 5.8≈7500Not conventional0.8
[65]2.45, 5.8>7600Not conventional0.8
[49]2.45100Rogers RT/duroid 60062.54
[84]2.479, 2.46544, 61RO5880, FR41.57, 1.6
[53]9.9600RO4003C0.81
[83]2.424.54, 14.02Textil0.08
[80]0.95, 1.81, 2.42, 2.902200FR41.6
[37]2.4320FR41.6
Table 7. Construction characteristics of antennas within the slot geometry classification. Resonant frequencies, bandwidth at each frequency, substrate used, and antenna width are included.
Table 7. Construction characteristics of antennas within the slot geometry classification. Resonant frequencies, bandwidth at each frequency, substrate used, and antenna width are included.
Ref.Frequency (GHz)BW (MHz)SubstrateThickness (mm)
[30]0.4360FR41.6
[70]1.81, 2.08, 2.451050FR41.6
[43]2.45, 5.81100, 2730Textile1
[67]2.1150, 500FR41.6
[108]1.71, 1.84, 1.94, 2.14FR41.6
[48]1.98, 1.88≈2250FR41.6
[61]2.45600FR40.8
[73]0.9513.9FR40.508
[85]2.45220FR41.6
[44]2.1, 5.8170, 400FR41.6
[72]1.73, 2.47, 2.53200FR41.6
[99]2.4–2.48680, 400RO30100.635
Table 8. Construction characteristics of antennas within the circular geometry classification. Resonant frequencies, bandwidth at each frequency, substrate used, and antenna width are included.
Table 8. Construction characteristics of antennas within the circular geometry classification. Resonant frequencies, bandwidth at each frequency, substrate used, and antenna width are included.
Ref.Frequency (GHz)BW (MHz)SubstrateThickness (mm)
[103]2.3–2.5, 3.5–>9200, >6000FR40.8
[104]2.45, 5.81000, 500RT Duroid 58800.508
[51]2.4Not conventional3.18
[38]2.45150Textil3.94
[101]2.45, 5.8100, 250Rogers 58800.254
[76]1.8, 3.32200Rogers 58800.787
[74]2.4Rogers TMM10i3.81
[105]2.4546.2FR40.8
[79]0.868, 0.915, 2.43200Textil1, 0.4
[107]2.45410RO4350B0.762
Table 9. Construction characteristics of antennas within the spiral geometry classification. Resonant frequencies, bandwidth at each frequency, substrate used, and antenna width are included.
Table 9. Construction characteristics of antennas within the spiral geometry classification. Resonant frequencies, bandwidth at each frequency, substrate used, and antenna width are included.
Ref.Frequency (GHz)BW (MHz)SubstrateThickness (mm)
[55]0.67510FR41.6
[95]0.85, 1.8, 2.1>80FR41.6
[35]3.1–4.8, 0.8861700, 35FR41.5
[42]0.013564Not conventional0.025
[96]2.4100Not conventional0.625
Table 10. Construction characteristics of antennas within the bow-tie geometry classification. Resonant frequencies, bandwidth at each frequency, substrate used, and antenna width are included.
Table 10. Construction characteristics of antennas within the bow-tie geometry classification. Resonant frequencies, bandwidth at each frequency, substrate used, and antenna width are included.
Ref.Frequency (GHz)BW (MHz)SubstrateThickness (mm)
[64]1.9, 2.2Not conventional14.78
[77]0.89, 1.83, 2.19, 2.452900FR41.6
[41]0.9–1.1, 1.8–2.5200, 700Rogers RT60021.92
Table 11. Construction characteristics of antennas within the fractal geometry classification. Resonant frequencies, bandwidth at each frequency, substrate used, and antenna width are included.
Table 11. Construction characteristics of antennas within the fractal geometry classification. Resonant frequencies, bandwidth at each frequency, substrate used, and antenna width are included.
Ref.Frequency (GHz)BW (MHz)SubstrateThickness (mm)
[46]2.45≈40.9FR42.5
[40]2.45152RT Duroid3.175
[102]0.9, 1.2, 1.83, 2.4, 2.6, 3FR41.6
[29]2.45≈180Rogers RO60100.5
Table 12. Construction characteristics of antennas within the other geometry classification. Resonant frequencies, bandwidth at each frequency, substrate used, and antenna width are included.
Table 12. Construction characteristics of antennas within the other geometry classification. Resonant frequencies, bandwidth at each frequency, substrate used, and antenna width are included.
Ref.Frequency (GHz)BW (MHz)SubstrateThickness (mm)
[47]0.86813.5, 14.3Not conventional
[90]0.9, 1.17FR41.6
[62]0.868, 0.92–0.96, 1.8500, 680FR41.6
[34]0.915, 2.45, 0.45FR4, not conventional1.57, 0.76, 1.6
[56]0.4165RT Duroid 58800.8
[69]1.8FR41.6
[93]0.822700Textil0.2
[98]2.4, 12.6Not conventional3
[33]2.4400Not conventional0.5
Table 13. Article classification by substrate.
Table 13. Article classification by substrate.
SubstratesReferences
FR4[30,31,32,34,35,44,46,48,50,53,54,55,57,58,59,60,61,64,66,67,68,69,70,71,72,73,77,78,80,81,82,85,87,88,89,90,91,94,95,99,102,103,105,107,108]
Not conventional[33,36,37,38,42,47,51,62,65,92,98,101,106]
Rogers[29,41,49,63,74,84,86,100,104]
RT Duroid[39,40,52,56,75,76,96]
Textile[43,45,79,83,93,97]
Table 14. Classification of RF frequency bands relevant to energy harvesting applications, including standard ITU/IEEE designations, typical use cases, and associated energy harvesting methods. This taxonomy supports the contextual analysis of frequency selection in ambient RF energy harvesting systems.
Table 14. Classification of RF frequency bands relevant to energy harvesting applications, including standard ITU/IEEE designations, typical use cases, and associated energy harvesting methods. This taxonomy supports the contextual analysis of frequency selection in ambient RF energy harvesting systems.
Frequency RangeITU/IEEE ClassificationApplication AreaEnergy Harvesting Method
10–30 MHzHF (high frequency)AM radio, maritime and emergency communicationsLong-range radiofrequency energy harvesting antennas
30–300 MHzVHF (very high frequency)FM radio, analog television, amateur radioEnergy harvesting from digital radio and broadband communications
300 MHz–1 GHzUHF (ultra high frequency)Digital television, RFID, 2G/3G mobile communicationsHarvesting of mobile signals and passive sensors
900 MHz–1 GHzUHF/ISM bandCellular telephony, RFID, IoTPowering wireless sensors and IoT devices
1–2 GHzL bandGPS, satellite communications, 3G/4G mobile telephonyHarvesting of GPS signals and mobile communications for autonomous sensors
2–4 GHzS bandWi-Fi (2.4 GHz), bluetooth, microwavesEnergy harvesting from wireless networks in urban environments
4–8 GHzC bandSatellite communications, weather radarsAntennas for energy harvesting in aerospace applications
8–12 GHzX bandMilitary and satellite radarsApplications in defense and industrial environments
12–15 GHzKu bandHigh-frequency satellite communicationsEnergy harvesting from satellite signals for telecommunications
Table 15. Article classification by frequency bands.
Table 15. Article classification by frequency bands.
Frequency BandsReferences
S band[29,32,33,34,35,37,38,39,40,41,43,45,46,49,50,51,52,54,57,58,59,60,61,63,64,65,66,67,68,70,71,72,74,75,76,77,78,79,80,83,84,85,86,87,88,89,91,92,94,96,97,98,99,100,101,102,103,104,105,106,107,108]
L band[41,44,45,48,58,62,63,64,69,70,72,75,76,77,80,82,88,90,95,102,108]
UHF[30,31,34,35,36,41,45,47,55,56,60,62,75,77,79,81,82,93,95,97]
UHF/ISM band[34,45,62,71,73,75,79,80,86,90,97,100,102]
C band[35,43,44,54,57,65,68,78,94,101,104]
X band[53,103]
HF[42]
Ku band[98]
Table 16. Article classification by rectifier.
Table 16. Article classification by rectifier.
RectifiersReferences
Schottky[31,32,33,34,36,39,43,44,47,48,51,52,55,58,60,61,63,67,75,76,78,81,82,87,91,92,93,94,95,100,103,107]
Multi-step[30,35,37,45,53,57,66,70,72,73,83,91,96,99,101,104,105,108]
Without[38,42,49,54,59,68,74,85,88,89,90,97]
Single-step[29,40,41,46,50,77,79,98]
Full-wave[56,62,64,65,71,86]
Half-wave[69,84,106]
Microwave[80]
Table 17. Constructive characteristics of rectifiers within Schottky classification. These include the coupling network, efficiency, and power or voltage generated by the rectifier.
Table 17. Constructive characteristics of rectifiers within Schottky classification. These include the coupling network, efficiency, and power or voltage generated by the rectifier.
Ref.Output Power or VoltageGain in (dBm)Efficiency (%)Matching Network
[60]
[82]>0.5 V652.6Shunted and shorted stubs and transmission line
[31]0.5, 5.4 V22, 54PI-matching and L-matching network
[32]2.9 V1074
[33]2 V, 3 mW872.9Short RF chip capacitor and coplanar line with super-strip lines
[34]1.8–3.3 V, 100 μ W<−1521Cascaded impedance-matching circuit with load stages
[36]28 μ W−2045
[39]−1080ELC resonator array
[43]0.8 V−550–60
[44]3.3, 4.52 V579, 86Shunted stub and microstrip lines
[47]2.85 V, 172 μ W22.5
[48]366 mV−745Parallel inductors and transmission line
[51]4 V060
[52]1.8078 V1359.9Matching microstrip line, a λ / 4 microstrip line
[55]0.2 V 20 40
[58]<60 mV950Inductive coupling
[61]59.5L-slot matching circuit
[63]1 V603PI-section matching circuit
[67]2.1 V−9.865.7T-shape dual-band matching network
[75]0.7 V65Dual-branch configuration for impedance matching
[76]1.71 V−373.4Complementary LC resonant structure for impedance matching
[78]330 mV, 15 μ W−20 to 040Two-stage impedance matching
[81]788 mV−1573.88LC circuit for impedance matching
[87]10
[91]3.7 V14
[92]5.6, 7.3 V−3077
[93]1 V2341.8Compact inductive coupling
[94]298 mV554
[95]0.94 V2535.5Multiband matching with radial stubs
[100]168.3 mV−552
[103]0.94 V260Impedance-matching circuit
[107]1.46 V−6.970.5Wilkinson power divider and a hybrid coupler
Table 18. Constructive characteristics of rectifiers within the multi-step classification. These include the coupling network, efficiency, and power or voltage generated by the rectifier.
Table 18. Constructive characteristics of rectifiers within the multi-step classification. These include the coupling network, efficiency, and power or voltage generated by the rectifier.
Ref.Output Power or VoltageGain in (dBm)Efficiency (%)Matching Network
[66]0.3 VSeven-stage Villard voltage multiplier circuit
[30]2.63 V−5.822
[35]1.5 V−1550Standard RFID chips and diplexer
[37]200 mV, 2 mW340Input open stub matching
[45]3 V, 14.4 mW11.6
[53]1.92 V, 0.2 W−1592.2Impedance-matching network
[57]2, 2.5 V−1580, 91Impedance-matching circuit
[70]3.6 V470Four-port hybrid integrated with a differential rectifier
[72]0.5, 0.9, 1.1 V0 to 1045, 42, 40Dual radial stub and transmission line
[73]2 V−861.7L-type matching and LPF
[83]1.42 V, 1.1 mW−3 and 038Parallel stub coupling and transmission line
[91]3.7 V5
[96]0.8, 1.6 V02.6
[99]63.7 mV−545
[101]3.09 V66Impedance regulating stub
[102]1186 mV39
[104]1.64 mW070Stub and dual matching
[105]2.17 V, 0.48 mW−8.552L-section matching network
[108]0.35, 0.17, 0.155, 0.085 V−6.996Coupled impedance network
Table 19. Constructive characteristics of rectifiers within the single-step classification. These include coupling network, efficiency, and power or voltage generated by the rectifier.
Table 19. Constructive characteristics of rectifiers within the single-step classification. These include coupling network, efficiency, and power or voltage generated by the rectifier.
Ref.Output Power or VoltageGain in (dBm)Efficiency (%)Matching Network
[29]1.8 V < 20 50
[40]
[41]≈2 V0 to 2375
[46]1.811 V262Series inductor and shunt capacitor
[50] 3.98 · 10 7 mW−1997.5Stubs.
[77]191 mV−2048L-network with short and open stubs
[79]1 V2040, 80Integrated inductive coil
[98]3 and 1464, 55Direct matching network
Table 20. Constructive characteristics of rectifiers within the full-wave classification. These include the coupling network, efficiency, and power or voltage generated by the rectifier.
Table 20. Constructive characteristics of rectifiers within the full-wave classification. These include the coupling network, efficiency, and power or voltage generated by the rectifier.
Ref.Output Power or VoltageGain in (dBm)Efficiency (%)Matching Network
[56]2081.2Split-ring resonators (SRR) and metallic strips
[62]900 mV, 150 μ W−2068Matching networks
[64]172 mV, 65 μ W27.558
[65]17.5 mV−20 to −1091T-stub in metamaterial, exponential wave coplanar transmission line
[71]1.43 V−2.5 and −164Double-stub matching network
[86]1.8 V2163.5
Table 21. Constructive characteristics of rectifiers within the half-wave classification. These include the coupling network, efficiency, and power or voltage generated by the rectifier.
Table 21. Constructive characteristics of rectifiers within the half-wave classification. These include the coupling network, efficiency, and power or voltage generated by the rectifier.
Ref.Output Power or VoltageGain in (dBm)Efficiency (%)Matching Network
[69]≈ 270 mV−3 and 049Frequency divider with impedance coupling network
[84]6.27 mW978.9Open stub to impedance matching circuit
[106]420 mV, 28.75 µW 64 28.75T-matching topology
Table 22. Constructive characteristics of rectifiers within the microwave classification. These include the coupling network, efficiency, and power or voltage generated by the rectifier.
Table 22. Constructive characteristics of rectifiers within the microwave classification. These include the coupling network, efficiency, and power or voltage generated by the rectifier.
Ref.Output Power or VoltageGain in (dBm)Efficiency (%)Matching Network
[80]797 mV−2766.5Multi stubs microstrip
Disclaimer/Publisher’s Note: The statements, opinions and data contained in all publications are solely those of the individual author(s) and contributor(s) and not of MDPI and/or the editor(s). MDPI and/or the editor(s) disclaim responsibility for any injury to people or property resulting from any ideas, methods, instructions or products referred to in the content.

Share and Cite

MDPI and ACS Style

Guerrero-Vásquez, L.F.; Chacón-Reino, N.A.; Tenezaca-Angamarca, S.D.; Chasi-Pesantez, P.A.; Ordoñez-Ordoñez, J.O. Advancements in Antenna and Rectifier Systems for RF Energy Harvesting: A Systematic Review and Meta-Analysis. Appl. Sci. 2025, 15, 7773. https://doi.org/10.3390/app15147773

AMA Style

Guerrero-Vásquez LF, Chacón-Reino NA, Tenezaca-Angamarca SD, Chasi-Pesantez PA, Ordoñez-Ordoñez JO. Advancements in Antenna and Rectifier Systems for RF Energy Harvesting: A Systematic Review and Meta-Analysis. Applied Sciences. 2025; 15(14):7773. https://doi.org/10.3390/app15147773

Chicago/Turabian Style

Guerrero-Vásquez, Luis Fernando, Nathalia Alexandra Chacón-Reino, Segundo Darío Tenezaca-Angamarca, Paúl Andrés Chasi-Pesantez, and Jorge Osmani Ordoñez-Ordoñez. 2025. "Advancements in Antenna and Rectifier Systems for RF Energy Harvesting: A Systematic Review and Meta-Analysis" Applied Sciences 15, no. 14: 7773. https://doi.org/10.3390/app15147773

APA Style

Guerrero-Vásquez, L. F., Chacón-Reino, N. A., Tenezaca-Angamarca, S. D., Chasi-Pesantez, P. A., & Ordoñez-Ordoñez, J. O. (2025). Advancements in Antenna and Rectifier Systems for RF Energy Harvesting: A Systematic Review and Meta-Analysis. Applied Sciences, 15(14), 7773. https://doi.org/10.3390/app15147773

Note that from the first issue of 2016, this journal uses article numbers instead of page numbers. See further details here.

Article Metrics

Back to TopTop