Single-Pixel Imaging Based on Enhanced Multi-Network Prior
Abstract
1. Introduction
- We propose an enhanced multi-network prior reconstruction method for SPI using SAE and Unet.
- The SAE network uses a four-layer network, which uses the dimension information of the measurement value, and the encoding matrix is obtained based on the training of the dataset, and the decoding matrix is obtained by using the group inverse instead of obtaining it through training.
- The Unet network uses three different sizes of convolutional kernels to obtain target features of different sizes and uses sub-pixel convolution and attention mechanism to improve the reconstruction quality.
- We apply the proposed methods in a single-pixel imaging system and verify the effectiveness and feasibility of the proposed methods.
2. Single-Pixel Imaging System
3. Multi-Network Prior Reconstruction Method
3.1. Compressed Sensing
3.2. Sparse Autoencoder Network
3.3. Unet Network
3.4. Single-Pixel Imaging Based on EMNP
| Algorithm 1. The algorithm steps for solving with the gradient method |
| 1: Initialization: 2: for do 3: 4: while the following equation is satisfied to stop iterating: 5: 6: end(while) 7: update 8: end(for) 9: Output: |
4. Result and Discussion
4.1. Select the Optimal Hyperparameters of EMNP-SPI
4.2. Simulation Experiment Results on Flower Dataset
4.3. Simulation Experiment Results on Natural Image Dataset
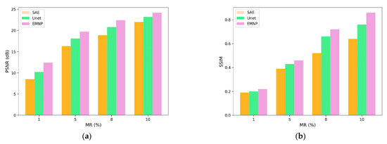
4.4. Results of Ablation Experiment
4.5. Results of EMNP on SPI System
5. Conclusions
Author Contributions
Funding
Institutional Review Board Statement
Informed Consent Statement
Data Availability Statement
Acknowledgments
Conflicts of Interest
References
- Duarte, M.F.; Davenport, M.A.; Takhar, D.; Laska, J.N.; Sun, T.; Kelly, K.F.; Baraniuk, R.G. Single-pixel imaging via compressive sampling. IEEE Signal Process. Mag. 2008, 25, 83–91. [Google Scholar] [CrossRef]
- Yu, W.; Yao, X.; Liu, X.; Zhai, G.; Zhao, Q. Compressed sensing for ultra-weak light counting imaging. Opt. Precis. Eng. 2012, 20, 2283–2292. [Google Scholar]
- Jiao, S.; Feng, J.; Gao, Y.; Lei, T.; Xie, Z.; Yuan, X. Optical machine learning with incoherent light and a single-pixel detector. Opt. Lett. 2019, 44, 5186–5189. [Google Scholar] [CrossRef]
- Bai, L.; Liang, Z.; Xu, Z. Study of single pixel imaging system based on compressive sensing. Comput. Eng. Appl. 2011, 47, 116–119. [Google Scholar]
- Edgar, M.P.; Gibson, G.M.; Bowman, R.W.; Sun, B.; Radwell, N.; Mitchell, K.J.; SWelsh, S.; Padgett, M.J. Simultaneous real-time visible and infrared video with single-pixel detectors. Sci. Rep. 2015, 5, 10669. [Google Scholar] [CrossRef]
- Sun, B.; Edgar, M.P.; Bowman, R.; Vittert, L.E.; Welsh, S.; Bowman, A.; Padgett, M.J. 3D computational imaging with single-pixel detectors. Science 2013, 340, 844–847. [Google Scholar] [CrossRef]
- Zhang, A.; He, Y.; Wu, L.; Chen, L.; Wang, B. Tabletop X-ray ghost imaging with ultra-low radiation. Optica 2018, 5, 374–377. [Google Scholar] [CrossRef]
- Gong, W.; Zhao, C.; Yu, H.; Chen, M.; Xu, W.; Han, S. Three-dimensional ghost imaging lidar via sparsity constraint. Sci. Rep. 2016, 6, 26133. [Google Scholar] [CrossRef] [PubMed]
- Studer, V.; Bobin, J.; Chahid, M.; Mousavi, H.S.; Candes, E.; Dahan, M. Compressive fluorescence microscopy for biological and hyperspectral imaging. Proc. Natl. Acad. Sci. USA 2012, 109, E1679–E1687. [Google Scholar] [CrossRef]
- Chen, S.; Feng, Z.; Li, J.; Tan, W.; Du, L.; Cai, J.; Ma, Y.; He, K.; Ding, H.; Zhai, Z.; et al. Ghost spintronic THz-emitter-array microscope. Light Sci. Appl. 2020, 9, 99. [Google Scholar] [CrossRef]
- Li, W.; Qi, J.; Alu, A. Single-pixel super-resolution with a space-time modulated computational metasurface imager. Photonics Res. 2024, 12, 2311–2322. [Google Scholar] [CrossRef]
- Xu, Z.; Chen, W.; Penuelas, J.; Padgett, M.; Sun, M. 1000 FPS computational ghost imaging using LED-based structured illumination. Opt. Express 2018, 26, 2427–2434. [Google Scholar] [CrossRef] [PubMed]
- Hahamovich, E.; Monin, S.; Hazan, Y.; Rosenthal, A. Single pixel imaging at megahertz switching rates via cyclic Hadamard masks. Nat. Commun. 2021, 12, 4516. [Google Scholar] [CrossRef]
- Zhang, Y.; Li, M.; Zhao, Z.; Liu, X.; Lian, W.; Quan, B.; Wu, L. Robust real-time single-pixel imaging based on a spinning mask via differential detection. Opt. Express 2024, 32, 47216–47224. [Google Scholar] [CrossRef]
- Xie, X.; Wang, Y.; Shi, G.; Wang, C.; Du, J.; Han, X. Adaptive Measurement Network for CS Image Reconstruction. Comput. Vis. 2017, 772, 407–417. [Google Scholar]
- Mousavi, A.; Patel, A.B.; Baraniuk, R.G. A deep learning approach to structured signal recovery. In Proceedings of the 2015 53rd Annual Allerton Conference on Communication, Control, and Computing (Allerton), Monticello, IL, USA, 30 September–2 October 2015. [Google Scholar]
- Mousavi, A.; Baraniuk, R.G. Learning to invert: Signal recovery via Deep Convolutional Networks. In Proceedings of the 2017 IEEE International Conference on Acoustics, Speech and Signal Processing (ICASSP), New Orleans, LA, USA, 5–9 March 2017. [Google Scholar]
- Liu, Z.; Zhang, H.; Zhou, M.; Jiao, S.; Zhang, X.; Geng, Z. Adaptive Super-Resolution Networks for Single-Pixel Imaging at Ultra-Low Sampling Rates. IEEE Access 2024, 12, 78496–78504. [Google Scholar] [CrossRef]
- Wang, Z.; Wen, Y.; Ma, Y.; Peng, W.; Lu, Y. Optimizing Under-Sampling in Fourier Single-Pixel imaging using GANs and attention mechanisms. Opt. Laser Technol. 2025, 187, 112752. [Google Scholar] [CrossRef]
- Zhang, X.; Deng, C.; Wang, C.; Wang, F.; Situ, G. VGenNet: Variable Generative Prior Enhanced Single Pixel Imaging. ACS Photonics 2023, 10, 2363–2373. [Google Scholar] [CrossRef]
- Dai, Q.; Yan, Q.; Zou, Q.; Li, Y.; Yan, J. Generative adversarial network with the discriminator using measurements as an auxiliary input for single-pixel imaging. Opt. Commun. 2024, 560, 130485. [Google Scholar] [CrossRef]
- Lim, J.Y.; Chiew, Y.H.; Phan, R.; Chong, E.; Wang, X. Enhancing single-pixel imaging reconstruction using hybrid transformer network with adaptive feature refinement. Opt. Express 2024, 32, 32370–32386. [Google Scholar] [CrossRef]
- Woo, B.H.; Tham, M.L.; Chua, S.Y. Adaptive Coarse-to-Fine Single Pixel Imaging with Generative Adversarial Network Based Reconstruction. IEEE Access 2023, 11, 31024–31035. [Google Scholar] [CrossRef]
- Song, X.; Liu, X.; Luo, Z.; Dong, J.; Zhong, W.; Wang, G.; He, b.; Li, Z.; Liu, Q. High-resolution iterative reconstruction at extremely low sampling rate for Fourier single-pixel imaging via diffusion model. Opt. Express 2024, 32, 3138–3156. [Google Scholar] [CrossRef]
- Huang, C.; Yan, Q.; Yan, J.; Li, Y.; Luo, X.; Wang, H. Diffusion Model with Gradient Descent Module Guiding Reconstruction for Single-Pixel Imaging. IEEE Photonics J. 2024, 16, 1–10. [Google Scholar] [CrossRef]
- Dong, J.; Zeng, H.; Dong, S.; Chen, W.; Li, Q.; Cao, J.; Yan, Q.; Wang, H. Enhanced Single Pixel Imaging by Using Adaptive Jointly Optimized Conditional Diffusion. IEEE Trans. Comput. Imaging 2025, 11, 289–304. [Google Scholar] [CrossRef]
- Geng, Z.; Sun, Z.; Chen, Y.; Lu, X.; Tian, T.; Cheng, G.; Li, X. Multi-input mutual supervision network for single-pixel computational imaging. Opt. Express 2024, 32, 13224–13234. [Google Scholar] [CrossRef] [PubMed]
- Wang, F.; Wang, C.; Deng, C.; Han, S.; Situ, G. Single-pixel imaging using physics enhanced deep learning. Photonics Res. 2022, 10, 104–110. [Google Scholar] [CrossRef]
- Bian, Y.; Wang, F.; Wang, Y.; Fu, Z.; Liu, H.; Yuan, H.; Situ, G. Passive imaging through dense scattering media. Photonics Res. 2024, 12, 134–140. [Google Scholar] [CrossRef]
- Wang, Q.; Chen, L.; Shi, H.; Li, H.; Huang, J. Single-pixel imaging with untrained network using fourier transform at low sampling rates. Opt. Lasers Eng. 2025, 186, 108764. [Google Scholar] [CrossRef]
- Li, Z.; Huang, J.; Shi, D.; Chen, Y.; Yuan, K.; Hu, S.; Wang, Y. Single-pixel imaging with untrained convolutional autoencoder network. Opt. Laser Technol. 2023, 167, 109710. [Google Scholar] [CrossRef]
- Wang, F.; Wang, C.; Chen, M.; Gong, W.; Zhang, Y.; Han, S.; Situ, G. Far-field super-resolution ghost imaging with a deep neural network constraint. Light Sci. Appl. 2022, 11, 1–11. [Google Scholar]
- Lei, G.; Lai, W.; Jia, H.; Wang, W.; Wang, Y.; Liu, H.; Cui, W.; Han, K. Low-sampling and noise-robust single-pixel imaging based on the untrained attention U-Net. Opt. Express 2024, 32, 29678–29692. [Google Scholar] [CrossRef]
- Dong, W.; Wang, P.; Yin, W.; Shi, G.; Wu, F.; Lu, X. Denoising Prior Driven Deep Neural Network for Image Restoration. IEEE Trans. Pattern Anal. Mach. Intell. 2019, 41, 2305–2318. [Google Scholar] [CrossRef] [PubMed]
- Hussain, A.; Ullah, W.; Khan, N.; Khan, A.Z.; Kim, M.J. TDS-Net: Transformer enhanced dual-stream network for video Anomaly Detection. Expert Syst. Appl. 2024, 256, 124846. [Google Scholar] [CrossRef]
- Ullah, W.; Hussain, T.; Ullah, F.U.; Muhammad, K.; Hassaballah, M.; Rodrigues, J.J.P.C.; Baik, S.W.; de Albuquerque, V.H.C.; Prakash, S. AD-Graph: Weakly Supervised Anomaly Detection Graph Neural Network. Int. J. Intell. Syst. 2023, 2023, 7868415. [Google Scholar] [CrossRef]
- Yuan, H.; Song, H.; Sun, X.; Guo, K.; Ju, Z. Compressive sensing measurement matrix construction based on improved size compatible array LDPC code. IET Image Process 2015, 9, 993–1001. [Google Scholar] [CrossRef]
- Xiang, J.; Zang, Y.; Jiang, H.; Wang, L.; Liu, Y. Soft threshold iteration-based anti-noise compressed sensing image reconstruction network. Signal Image Video Process 2023, 17, 4523–4531. [Google Scholar] [CrossRef]
- Hu, J.; Min, L.; Guo, Y. Enhancing single-pixel imaging by improving one-dimensional signal through encoded image similarity. Opt. Laser Technol. 2025, 188, 112951. [Google Scholar] [CrossRef]
- Zhao, H.; Wu, H.; Wang, X. OIAE: Overall Improved Autoencoder with Powerful Image Reconstruction and Discriminative Feature Extraction. Cogn. Comput. 2023, 15, 1334–1341. [Google Scholar] [CrossRef]
- Zeng, H.; Dong, J.; Li, Q.; Chen, W.; Dong, S.; Guo, H.; Wang, H. Compressive Reconstruction Based on Sparse Autoencoder Network Prior for Single-Pixel Imaging. Photonics 2023, 10, 1109. [Google Scholar] [CrossRef]
- Feng, W.; Yi, Y.; Li, S.; Xiong, Z.; Xie, B.; Zeng, Z. High turbidity underwater single-pixel imaging based on Unet++ and attention mechanism at a low sampling. Opt. Commun. 2024, 552, 322–336. [Google Scholar] [CrossRef]
- Tropp, J.A.; Gilbert, A.C. Signal recovery from random measurements via orthogonal matching pursuit. IEEE Trans. Info. Theory 2007, 53, 4655–4666. [Google Scholar] [CrossRef]
- Alain, G.; Bengio, Y. What Regularized Auto-Encoders Learn from the Data Generating Distribution. J. Mach. Learn. Res. 2014, 15, 3563–3593. [Google Scholar]
- Liu, Q.; Yang, Q.; Cheng, H.; Wang, S.; Zhang, M.; Liang, D. Highly undersampled magnetic resonance imaging reconstruction using autoencoding priors. Magn. Reson. Med. 2019, 83, 322–336. [Google Scholar] [CrossRef] [PubMed]
- Hestenes, M.R. Multiplier and gradient methods. J. Optim. Theory Appl. 1969, 4, 303–320. [Google Scholar] [CrossRef]
- Liu, Q.H.; Shen, X.Y.; Gu, Y.T. Linearized ADMM for Nonconvex Nonsmooth Optimization with Convergence Analysis. IEEE Access 2019, 7, 76131–76144. [Google Scholar] [CrossRef]
- Kivinen, J.; Warmuth, M.K. Exponentiated gradient versus gradient descent for linear predictors. Inf. Comput. 1997, 132, 1–63. [Google Scholar] [CrossRef]












| b | 0.1 | 0.2 | 0.3 | 0.4 | 0.5 |
| PSNR | 19.8245 | 19.8544 | 19.9447 | 19.9263 | 19.9212 |
| b | 0.6 | 0.7 | 0.8 | 0.9 | 1 |
| PSNR | 19.8925 | 19.7244 | 19.6404 | 19.6163 | 19.7862 |
| a | 0.1 | 0.2 | 0.3 | 0.4 | 0.5 |
| PSNR | 19.8425 | 20.0116 | 20.1404 | 20.1263 | 19.9712 |
| a | 0.6 | 0.7 | 0.8 | 0.9 | 1 |
| PSNR | 19.8225 | 19.7244 | 19.4404 | 19.4163 | 19.5712 |
| Image | Method | MR = 0.01 | MR = 0.05 | MR = 0.1 | MR = 0.2 |
|---|---|---|---|---|---|
| PSNR/SSIM | PSNR/SSIM | PSNR/SSIM | PSNR/SSIM | ||
| “光” | TVAL3 | 11.97/0.42 | 13.97/0.62 | 19.54/0.77 | 24.61/0.82 |
| Norm-1 | 10.46/0.39 | 13.49/0.59 | 18.94/0.75 | 23.39/0.79 | |
| DDPM | 11.89/0.41 | 18.86/0.64 | 23.86/0.79 | 27.91/0.85 | |
| EMNP-SPI | 12.04/0.43 | 19.84/0.68 | 23.98/0.80 | 27.94/0.86 | |
| “UCAS” | TVAL3 | 11.68/0.34 | 13.54/0.63 | 19.95/0.74 | 24.87/0.83 |
| Norm-1 | 10.46/0.36 | 13.49/0.59 | 18.94/0.72 | 23.91/0.84 | |
| DDPM | 11.97/0.38 | 19.56/0.65 | 23.91/0.78 | 27.86/0.86 | |
| EMNP-SPI | 12.24/0.40 | 19.96/0.67 | 24.12/0.79 | 28.32/0.87 |
| Image | Method | MR = 3% | MR = 5% | MR = 8% | MR = 10% |
|---|---|---|---|---|---|
| PSNR/SSIM | PSNR/SSIM | PSNR/SSIM | PSNR/SSIM | ||
| baby | EMNP-SPI | 16.23/0.42 | 20.47/0.56 | 22.34/0.76 | 24.68/0.84 |
| bird | EMNP-SPI | 15.96/0.39 | 19.48/0.52 | 21.74/0.72 | 23.88/0.82 |
| butterfly | EMNP-SPI | 16.14/0.41 | 20.67/0.57 | 22.67/0.78 | 25.24/0.85 |
| head | EMNP-SPI | 15.93/0.40 | 20.27/0.54 | 22.04/0.74 | 24.82/0.84 |
| lenna | EMNP-SPI | 16.43/0.43 | 20.87/0.58 | 22.64/0.79 | 24.91/0.87 |
Disclaimer/Publisher’s Note: The statements, opinions and data contained in all publications are solely those of the individual author(s) and contributor(s) and not of MDPI and/or the editor(s). MDPI and/or the editor(s) disclaim responsibility for any injury to people or property resulting from any ideas, methods, instructions or products referred to in the content. |
© 2025 by the authors. Licensee MDPI, Basel, Switzerland. This article is an open access article distributed under the terms and conditions of the Creative Commons Attribution (CC BY) license (https://creativecommons.org/licenses/by/4.0/).
Share and Cite
Feng, J.; Li, Q.; Dong, J.; Zhao, Q.; Wang, H. Single-Pixel Imaging Based on Enhanced Multi-Network Prior. Appl. Sci. 2025, 15, 7717. https://doi.org/10.3390/app15147717
Feng J, Li Q, Dong J, Zhao Q, Wang H. Single-Pixel Imaging Based on Enhanced Multi-Network Prior. Applied Sciences. 2025; 15(14):7717. https://doi.org/10.3390/app15147717
Chicago/Turabian StyleFeng, Jia, Qianxi Li, Jiawei Dong, Qing Zhao, and Hao Wang. 2025. "Single-Pixel Imaging Based on Enhanced Multi-Network Prior" Applied Sciences 15, no. 14: 7717. https://doi.org/10.3390/app15147717
APA StyleFeng, J., Li, Q., Dong, J., Zhao, Q., & Wang, H. (2025). Single-Pixel Imaging Based on Enhanced Multi-Network Prior. Applied Sciences, 15(14), 7717. https://doi.org/10.3390/app15147717

