The Inverted Swallow in Artistic Gymnastics and Its Related Preconditioning Strengthening Exercises: Electromyographic Analysis, Muscle Synergies and Training Implications
Abstract
1. Introduction
2. Materials and Methods
2.1. Participants
2.2. Procedures
2.3. Instruments and Data Analysis
| Image | Descriptions |
|---|---|
![]() | Inverted Swallow with cable pulley (ISCP) The athlete performs the IS using a counterweight system with two pulleys. One end of each cable is connected to an external weight, while the other ends of the cables are connected to the athlete’s body by a specific belt. |
![]() | Inverted Swallow with a counterweight system (ISCW) The athlete performs the IS using a counterweight system with two pulleys. One end of each cable is connected to an external weight, while the other ends of the cables are connected to the athlete’s body by a specific belt. |
![]() | Inverted Swallow with supported legs (ISSL) The ISSL consists of performing the Inverted Swallow on rings with the legs supported by a step at the same height as the shoulder line and with the hands to the side of the pelvic bones. |
![]() | Inverted Swallow at cable station (ISCS) In a supine position, the athlete holds two weights connected to the rings through a cable system with their hands at their side, in line with their pelvic bones. |
![]() | Dumbbells in standing position (ISD) In the DSD exercise, the athlete lays in a prone position with their arms straight at the side of their pelvis and abducted at 45°. The athlete holds two dumbbells with their hands to the side of their pelvic bones. |
2.4. Statistical Analysis
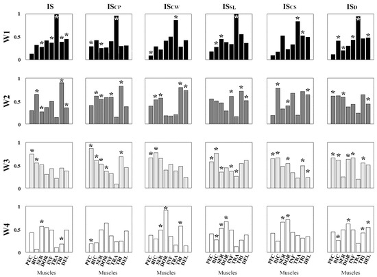
3. Results
3.1. Comparison Between Preconditioning Strengthening Exercises (PSEs)
3.2. Inverted Swallow with Cable Pulley (ISCP)
3.3. Inverted Swallow with Counterweight Pulley System (ISCW)
3.4. Inverted Swallow with Supported Legs (ISSL)
3.5. Inverted Swallow at Cable Station (ISCS)
3.6. Inverted Swallow with Dumbbells (ISD)
4. Discussion
5. Conclusions
Author Contributions
Funding
Institutional Review Board Statement
Informed Consent Statement
Data Availability Statement
Conflicts of Interest
Abbreviations
| IS | Inverted swallow |
| PSEs | Preconditioning strengthening exercises |
| ISCP | Inverted swallow at cable pulley |
| ISCW | Inverted swallow with counterweight |
| ISSL | Inverted swallow with supported legs |
| ISCS | Inverted swallow at cable station |
| ISD | Inverted swallow with dumbbells |
References
- Đorđević, D.; Paunović, M.; Veličković, S.; Veličković, P.; Stanković, M.; Radanović, D.; Mujanović, R.; Mujanović, D.; Jelaska, I.; Pezelj, L.; et al. Technical Elements on the Rings in Men’s Artistic Gymnastics—A Systematic Review. J. Men’s Health 2023, 19, 7–15. [Google Scholar]
- Lehmann, T.; Winter, A.; Seemann-Sinn, A.; Naundorf, F. Use of Objective Methods to Determine the Holding Time of Hold Elements on Still Rings. Sci. Gymnast. J. 2021, 13, 181–189. [Google Scholar] [CrossRef]
- Hübner, K.; Schärer, C. Relationship between the Elements Swallow, Support Scale and Iron Cross on Rings and Their Specific Preconditioning Strengthening Exercises. Sci. Gymnast. J. 2015, 7, 10. [Google Scholar] [CrossRef]
- Bernasconi, S.M.; Tordi, N.R.; Parratte, B.M.; Rouillon, J.-D.R. Can Shoulder Muscle Coordination during the Support Scale at Ring Height Be Replicated during Training Exercises in Gymnastics? J. Strength Cond. Res. 2009, 23, 2381–2388. [Google Scholar] [CrossRef]
- Bernasconi, S.; Tordi, N.; Parratte, B.; Rouillon, J.D.D.; Monnier, G. Surface Electromyography of Nine Shoulder Muscles in Two Iron Cross Conditions in Gymnastics. J. Sports Med. Phys. Fitness 2004, 44, 240–245. [Google Scholar]
- Carrara, P.; Irwin, G.; Exell, T.; Serrão, J.; Amadio, A.; Mochizuki, L. Kinematic Analysis of Cross on Training and Competition Rings: Comparison between Elite and International Level Gymnasts. Sci. Gymnast. J. 2024. [Google Scholar] [CrossRef]
- Rosaci, G.; Nigro, F.; Cortesi, M.; Ciacci, S.; Bartolomei, S.; Fantozzi, S. Electromyographic Analysis of the Support Scale in Gymnastics and Its Related Preconditioning Strengthening Exercises. J. Strength Cond. Res. 2025, 39, 680–686. [Google Scholar] [CrossRef]
- Fédération Internationale de Gymnastique Men’s Artistic Gymnastics Code of Points 2022–2024. Approved by the FIG Executive Committee. 2022. Available online: https://www.gymnastics.sport/publicdir/rules/files/en_%202022-2024%20MAG%20CoP.pdf (accessed on 1 July 2023).
- Bartolomei, S.; Hoffman, J.R.; Stout, J.R.; Merni, F. Effect of Lower-Body Resistance Training on Upper-Body Strength Adaptation in Trained Men. J. Strength Cond. Res. 2018, 32, 13–18. [Google Scholar] [CrossRef]
- Hermens, H.J.; Freriks, B.; Disselhorst-Klug, C.; Rau, G. Development of Recommendations for SEMG Sensors and Sensor Placement Procedures. J. Electromyogr. Kinesiol. 2000, 10, 361–374. [Google Scholar] [CrossRef]
- Schick, E.E.; Coburn, J.W.; Brown, L.E.; Judelson, D.A.; Khamoui, A.V.; Tran, T.T.; Uribe, B.P. A Comparison of Muscle Activation between a Smith Machine and Free Weight Bench Press. J. Strength Cond. Res. 2010, 24, 779–784. [Google Scholar] [CrossRef]
- Park, S.-Y.; Yoo, W.-G. Selective Activation of the Latissimus Dorsi and the Inferior Fibers of Trapezius at Various Shoulder Angles during Isometric Pull-down Exertion. J. Electromyogr. Kinesiol. 2013, 23, 1350–1355. [Google Scholar] [CrossRef]
- Uga, D.; Endo, Y.; Nakazawa, R.; Sakamoto, M. Electromyographic Analysis of the Infraspinatus and Scapular Stabilizing Muscles during Isometric Shoulder External Rotation at Various Shoulder Elevation Angles. J. Phys. Ther. Sci. 2016, 28, 154–158. [Google Scholar] [CrossRef]
- Park, K.-M.; Cynn, H.-S.; Yi, C.-H.; Kwon, O.-Y. Effect of Isometric Horizontal Abduction on Pectoralis Major and Serratus Anterior EMG Activity during Three Exercises in Subjects with Scapular Winging. J. Electromyogr. Kinesiol. 2013, 23, 462–468. [Google Scholar] [CrossRef]
- Agostini, V.; Knaflitz, M. An Algorithm for the Estimation of the Signal-to-Noise Ratio in Surface Myoelectric Signals Generated during Cyclic Movements. IEEE Trans. Biomed. Eng. 2012, 59, 219–225. [Google Scholar] [CrossRef]
- Ghislieri, M.; Agostini, V.; Knaflitz, M. The Effect of Signal-to-Noise Ratio on Muscle Synergy Extraction. In Proceedings of the 2018 IEEE Life Sciences Conference (LSC), IEEE, Montreal, QC, Canada, 28–30 October 2018; pp. 227–230. [Google Scholar]
- Ghislieri, M.; Knaflitz, M.; Labanca, L.; Barone, G.; Bragonzoni, L.; Benedetti, M.G.; Agostini, V. Muscle Synergy Assessment During Single-Leg Stance. IEEE Trans. Neural Syst. Rehabil. Eng. 2020, 28, 2914–2922. [Google Scholar] [CrossRef]
- Ghislieri, M.; Lanotte, M.; Knaflitz, M.; Rizzi, L.; Agostini, V. Muscle Synergies in Parkinson’s Disease before and after the Deep Brain Stimulation of the Bilateral Subthalamic Nucleus. Sci. Rep. 2023, 13, 6997. [Google Scholar] [CrossRef]
- Cleophas, T.J.; Zwinderman, A.H. Non-Parametric Tests for Three or More Samples (Friedman and Kruskal-Wallis). In Clinical Data Analysis on a Pocket Calculator; Springer International Publishing: Cham, Switzerland, 2016; pp. 193–197. ISBN 9783319271033. [Google Scholar]
- Conover, W.J. Practical Nonparametric Statistics; John Wiley & Sons: Milton, QLD, Australia, 1999. [Google Scholar]
- Landin, D.; Thompson, M. The Shoulder Extension Function of the Triceps Brachii. J. Electromyogr. Kinesiol. 2011, 21, 161–165. [Google Scholar] [CrossRef]
- De Azevedo Franke, R.; Ehlers Botton, C.; Rodrigues, R.; Silveira Pinto, R.; Silveira Lima, C. Analysis of Anterior, Middle and Posterior Deltoid Activation during Single and Multijoint Exercises. J. Sports Med. Phys. Fitness 2015, 55, 714–721. [Google Scholar]
- Tortora, G.J. Principles of Human Anatomy; Wiley: Hoboken, NJ, USA, 1999. [Google Scholar]
- Bitter, N.L.; Clisby, E.F.; Jones, M.A.; Magarey, M.E.; Jaberzadeh, S.; Sandow, M.J. Relative Contributions of Infraspinatus and Deltoid during External Rotation in Healthy Shoulders. J. Shoulder Elb. Surg. 2007, 16, 563–568. [Google Scholar] [CrossRef]
- Furlani, J. Electromyographic Study of the m. Biceps Brachii in Movements at the Glenohumeral Joint. Acta Anat. 1976, 96, 270–284. [Google Scholar] [CrossRef]
- Behm, D.G.; Leonard, A.M.; Young, W.B.; Bonsey, W.A.C.; MacKinnon, S.N. Trunk Muscle Electromyographic Activity with Unstable and Unilateral Exercises. J. Strength Cond. Res. 2005, 19, 193–201. [Google Scholar]
- Wattanaprakornkul, D.; Halaki, M.; Cathers, I.; Ginn, K.A. Direction-Specific Recruitment of Rotator Cuff Muscles during Bench Press and Row. J. Electromyogr. Kinesiol. 2011, 21, 1041–1049. [Google Scholar] [CrossRef]



Disclaimer/Publisher’s Note: The statements, opinions and data contained in all publications are solely those of the individual author(s) and contributor(s) and not of MDPI and/or the editor(s). MDPI and/or the editor(s) disclaim responsibility for any injury to people or property resulting from any ideas, methods, instructions or products referred to in the content. |
© 2025 by the authors. Licensee MDPI, Basel, Switzerland. This article is an open access article distributed under the terms and conditions of the Creative Commons Attribution (CC BY) license (https://creativecommons.org/licenses/by/4.0/).
Share and Cite
Rosaci, G.; Bartolomei, S.; Fantozzi, S.; Schärer, C. The Inverted Swallow in Artistic Gymnastics and Its Related Preconditioning Strengthening Exercises: Electromyographic Analysis, Muscle Synergies and Training Implications. Appl. Sci. 2025, 15, 7537. https://doi.org/10.3390/app15137537
Rosaci G, Bartolomei S, Fantozzi S, Schärer C. The Inverted Swallow in Artistic Gymnastics and Its Related Preconditioning Strengthening Exercises: Electromyographic Analysis, Muscle Synergies and Training Implications. Applied Sciences. 2025; 15(13):7537. https://doi.org/10.3390/app15137537
Chicago/Turabian StyleRosaci, Giuseppe, Sandro Bartolomei, Silvia Fantozzi, and Christoph Schärer. 2025. "The Inverted Swallow in Artistic Gymnastics and Its Related Preconditioning Strengthening Exercises: Electromyographic Analysis, Muscle Synergies and Training Implications" Applied Sciences 15, no. 13: 7537. https://doi.org/10.3390/app15137537
APA StyleRosaci, G., Bartolomei, S., Fantozzi, S., & Schärer, C. (2025). The Inverted Swallow in Artistic Gymnastics and Its Related Preconditioning Strengthening Exercises: Electromyographic Analysis, Muscle Synergies and Training Implications. Applied Sciences, 15(13), 7537. https://doi.org/10.3390/app15137537






