Clinical Efficacy of a Topical Gel for the Treatment of Minor Oral Ulcers: A Triple-Blind Randomized Controlled Trial
Abstract
1. Introduction
2. Materials and Methods
2.1. Ethic Statement
2.2. Gel Device
2.3. Study Design
2.3.1. Randomization Protocol
2.3.2. Masking of Assignment
2.3.3. Blinded Assessment
2.3.4. Inclusion Criteria
- Patients with at least one well-defined ulcer;
- Any patient who was at least 18 years old and able to sign informed consent.
2.3.5. Exclusion Criteria
- Intolerance or allergy to the product;
- Patients with hematologic deficiency such as anemia, iron, vitamin B12 and/or folic acid deficiency; systemic diseases such as ulcerative colitis, Crohn’s disease, Behcet’s syndrome in which RAS is part of their clinical presentation; alcohol consumption and smoking; history of allergy; treatment of ulcers with systemic steroids, vitamins, antibiotics, antihistamines, oral retinoids, or immunomodulatory agents within three months prior to study entry; the use of nonsteroidal anti-inflammatory drugs or mouthwash for the treatment of ulcer prior to 72 h of study entry; and patients who were pregnant or breastfeeding.
2.4. Device Characteristics and Composition
2.5. Study Visits and Treatments
Screening and Baseline Visit (V1)
- Pain intensity. This was measured using the VAS consisting of a 10 cm line [13], where 0 indicates no pain and 10 indicates severe pain.
- Size of each ulcer. A sheet of clear plastic was applied directly to the ulcer, and using a permanent waterproof marker, the circumference of the ulcer was traced and then placed on graph paper, and the number of mm2 units included within the drawn area was counted.
- Thermography;
- Ulcer severity score (USS).
2.6. Thermography
2.6.1. 1-Week (V2) and 2-Week (V3) Visits
2.6.2. Summary of Procedures and Follow-Up
- Day 0: Patient recruitment, informed consent, pain intensity measurement (VAS), injury measurement, thermography, USS and gel application.
- Day 7: Pain intensity measurement (VAS), lesion measurement, thermography, USS, and recording of complications and adverse effects.
- Day 14: Pain intensity measurement (VAS), lesion measurement, thermography, USS, and recording of complications and adverse effects.
2.6.3. Drop-Out
2.6.4. Evaluation of the Primary Objectives
- Pain intensity. This was measured using the VAS consisting of a 10 cm line [13], where 0 indicates no pain and 10 indicates severe pain.
- Size of each ulcer. A sheet of transparent plastic was applied directly to the ulcer, and using a permanent waterproof marker, the circumference of the ulcer was traced and then placed on graph paper, counting the units of mm2 included within the drawn area. Treatment began on the same day with strict infection control measures.
2.6.5. Evaluation of Secondary Objectives
- Ulcer severity Score (USS) [22].
2.6.6. Primary Objectives
- Pain intensity. This was measured using the VAS consisting of a 10 cm line [13], where 0 indicates no pain and 10 indicates severe pain.
- Size of each ulcer. A sheet of transparent plastic was applied directly to the ulcer, and using a permanent waterproof marker, the circumference of the ulcer was traced and then placed on graph paper, counting the units of mm2 included within the drawn area. Treatment began on the same day with strict infection control measures.
2.6.7. Secondary Objectives
2.7. Statistical Analysis
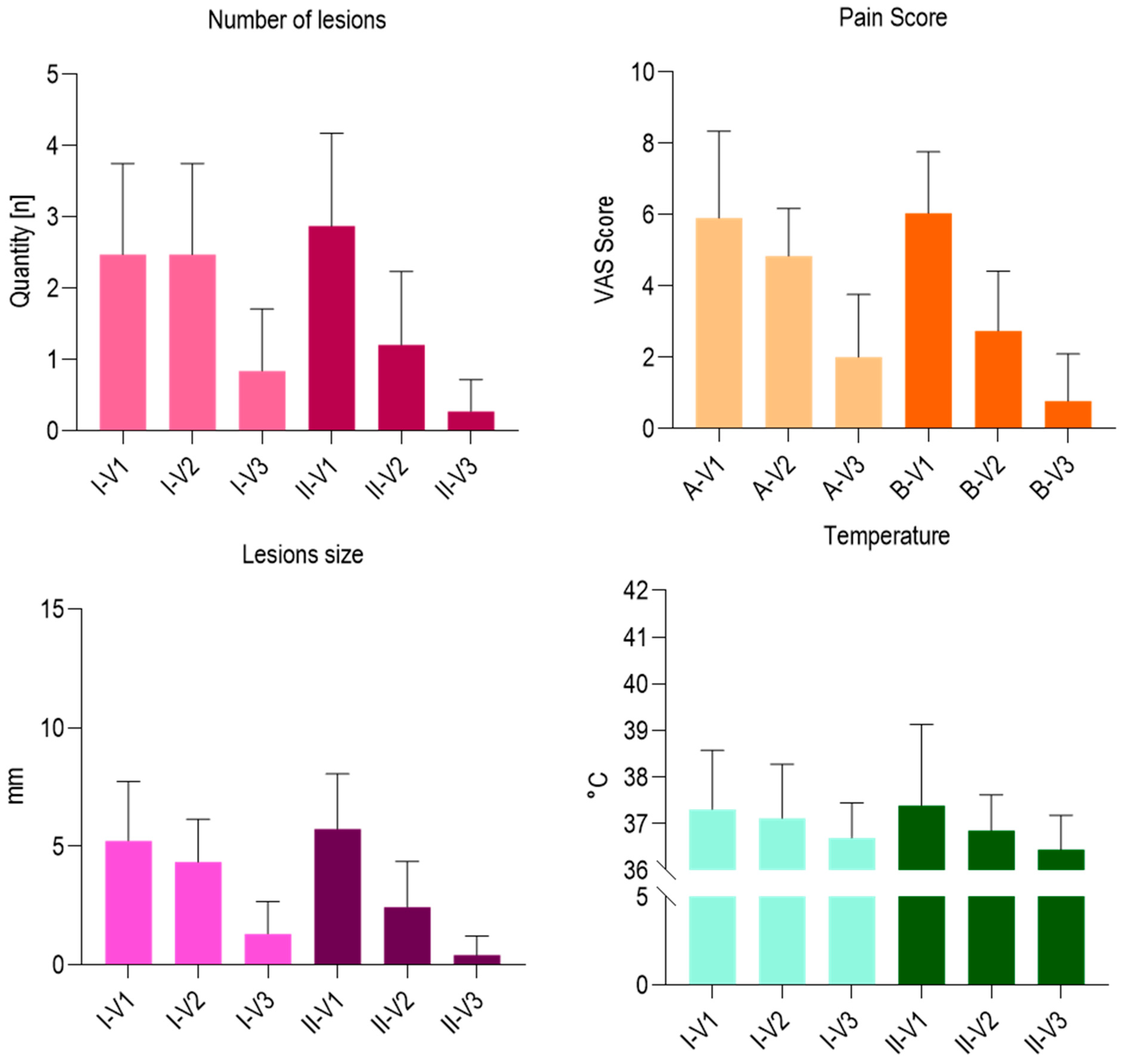
3. Results
3.1. Group I
3.1.1. V1—Baseline
3.1.2. V2—1st Week
3.1.3. V3—2nd Week
3.2. Group II
3.2.1. V1—Baseline
3.2.2. V2—1st Week
3.2.3. V3—2nd Week
3.3. Evaluation of Effectiveness
4. Discussion
Author Contributions
Funding
Institutional Review Board Statement
Informed Consent Statement
Data Availability Statement
Conflicts of Interest
References
- Baeza-Trinidad, R.; Mosquera-Lozano, J.D. Symptom alternatives in recurrent oral aphthosis. Med. Clin. 2016, 147, 133. [Google Scholar] [CrossRef] [PubMed]
- Orive Ochoa, J. Aphthae, aphthoid and aphthosis. Rev. Esp. Estomatol. 1975, 23, 447–456. [Google Scholar] [PubMed]
- Izquierdo, C.; Isanta, C.; Guillén, A.; Vecino, R.; Vallés, C. Recurrent oral aphthosis. Its treatment with colchicine. Aten. Primaria 1989, 6, 358–359. [Google Scholar]
- Riera Matute, G.; Riera Alonso, E. Recurrent aphthous stomatitis in Rheumatology. Reumatol. Clin. 2011, 7, 323–328. [Google Scholar] [CrossRef]
- Arguelles Casals, D. Generalized Touraine aphtosis (Behcet’s syndrome), the first Cuban case. Rev. Sifilogr. Leprol. Dermatol. 1948, 5, 228–234. [Google Scholar]
- Suárez-Díaz, S.; Núñez-Batalla, F.; Fernández-García, M.S.; Fernández-Llana, M.B.; Yllera-Gutiérrez, C.; Caminal-Montero, L. Aphthous Stomatitis and Laryngitis, Another Form of Presentation of an IgG4-Related Disease? Reumatol. Clin. 2020, 16, 416–418. [Google Scholar] [CrossRef]
- De La Cuesta Almonacid, L. Cutaneo-mucosal aphthosis. Actas Dermosifiliogr. 1954, 45, 671–675. [Google Scholar] [PubMed]
- Pizarro, A.; Herranz, P.; García-Tobaruelaa, A.; Casado, M. Pentoxifylline in the treatment of orogenital aphthosis and Behçet’s syndrome. Med. Clin. 2000, 115, 678. [Google Scholar] [CrossRef]
- Vilanova, X.; Pinol Aguade, J. Aphthosis; concept, etiology, nosological situation and trial of a new treatment; clinical contribution. Actas Dermosifiliogr. 1955, 46, 704–714. [Google Scholar] [PubMed]
- Allegue, F.; Sarriá Cepeda, C.; García Rodríguez, M. Aphthosis major treated with thalidomide in a patient with AIDS. Enferm. Infecc. Microbiol. Clin. 1991, 9, 133–134. [Google Scholar]
- Torras, H.; Lecha, M.; Mascaró/, J.M. Thalidomide in the treatment of aphthosis and Behçet’s disease. 4 years’ experience. Med. Cutan. Ibero. Lat. Am. 1982, 10, 103–112. [Google Scholar] [PubMed]
- Altay, D.U.; Korkmaz, M.; Ergun, S.; Korkmaz, H.; Noyan, T. Salivary Irisin: Potential Inflammatory Biomarker in Recurrent Apthous Stomatitis Patients. Eur. Rev. Med. Pharmacol. Sci. 2021, 25, 2252–2259. [Google Scholar] [CrossRef]
- Blanch Falp, J.; García Pont, X.; Torne Cachot, J.; Moner Coromina, L.; Baucells Azcona, J.M. Pentoxifylline and oral aphthosis in patients with HIV infection. An. Med. Interna 1997, 14, 102. [Google Scholar] [PubMed]
- Sánchez-Bernal, J.; Conejero, C.; Conejero, R. Recurrent Aphthous Stomatitis. Actas Dermosifiliogr. 2020, 111, 471–480. [Google Scholar] [CrossRef]
- Pizarro, A.; Herranz, P.; Ferrer, M.; Casado, M. Recurrent oral aphthosis: Treatment with pentoxifylline. Med. Clin. 1993, 101, 237. [Google Scholar]
- D’Amario, M.; Foffo, G.; Grilli, F.; Capogreco, M.; Pizzolante, T.; Rastelli, S. Treatments for Recurrent Aphthous Stomatitis: A Literature Review. Dent. J. 2025, 13, 66. [Google Scholar] [CrossRef]
- Camacho, F.; Ortega, M.; Elorza, F. Glycophosphopeptical in the treatment of recurrent oral aphthae (a reply). An. Med. Interna 1995, 12, 204. [Google Scholar] [PubMed]
- Casalá, A.; Delmar, O.; Bianchi, O.J.; Bianchi, C.A. Touraine’s great aphthosis. Apropos of a case with severe digestive hemorrhage. Arch. Argent. Dermatol. 1965, 15, 87–90. [Google Scholar]
- Liu, H.; Tan, L.; Fu, G.; Chen, L.; Tan, H. Efficacy of Topical Intervention for Recurrent Aphthous Stomatitis: A Network Meta-Analysis. Medicina 2022, 58, 771. [Google Scholar] [CrossRef]
- Scarano, A.; Inchingolo, F.; Lorusso, F. Facial Skin Temperature and Discomfort When Wearing Protective Face Masks: Thermal Infrared Imaging Evaluation and Hands Moving the Mask. Int. J. Environ. Res. Public Health 2020, 17, 4624. [Google Scholar] [CrossRef]
- Antonio, S.; Felice, L.; Merla, A.; Camillo, D.; Renato, C.; Santos, O.P. Lateral Sinus Floor Elevation Performed with Trapezoidal and Modified Triangular Flap Designs: A Randomized Pilot Study of Post-Operative Pain Using Thermal Infrared Imaging. Int. J. Environ. Res. Public Health 2018, 15, 1277. [Google Scholar] [CrossRef]
- Tappuni, A.R.; Kovacevic, T.; Shirlaw, P.J.; Challacombe, S.J. Clinical Assessment of Disease Severity in Recurrent Aphthous Stomatitis. J. Oral Pathol. Med. 2013, 42, 635–641. [Google Scholar] [CrossRef] [PubMed]
- Scully, C.; Gorsky, M.; Lozada-Nur, F. The Diagnosis and Management of Recurrent Aphthous Stomatitis: A Consensus Approach. J. Am. Dent. Assoc. 2003, 134, 200–207. [Google Scholar] [CrossRef] [PubMed]
- D’Accardi, E.; Ammannato, L.; Giannasi, A.; Pieri, M.; Masciopinto, G.; Ancona, F.; Santonicola, G.; Palumbo, D.; Galietti, U. Infrared Thermography for Non-Destructive Testing of Cooling Hole Integrity and Flow Evaluation in Specimens Made with Innovative Technologies. Eng. Proc. 2025, 85, 15. [Google Scholar] [CrossRef]
- Scarano, A.; Inchingolo, F.; Amuso, D.; Scogna, G.; Amore, R.; Lorusso, F. Static Crow’s Feet Treated with Voltaic Arc Dermabrasion (Atmospheric Plasma): Post-Operative Pain Assessment by Thermal Infrared Imaging. J. Clin. Med. 2021, 10, 3074. [Google Scholar] [CrossRef]
- Lorusso, F.; Tartaglia, G.; Inchingolo, F.; Scarano, A. Peri-Implant Mucositis Treatment with a Chlorexidine Gel with A.D.S. 0.5%, PVP-VA and Sodium DNA vs a Placebo Gel: A Randomized Controlled Pilot Clinical Trial. Front. Biosci. Elite Ed. 2022, 14, 30. [Google Scholar] [CrossRef]
- Mahapatra, A.; Panda, S.; Tumedei, M.; Panda, S.; Das, A.C.; Kumar, M.; Del Fabbro, M. Clinical and Microbiological Evaluation of 0.2% Tea Tree Oil Mouthwash in Prevention of Dental Biofilm-Induced Gingivitis. Dent. J. 2025, 13, 149. [Google Scholar] [CrossRef]
- Tumedei, M.; Piattelli, A.; Degidi, M.; Mangano, C.; Iezzi, G. A 30-Year (1988–2018) Retrospective Microscopical Evaluation of Dental Implants Retrieved for Different Causes: A Narrative Review. Int. J. Periodontics Restor. Dent. 2020, 40, e211–e227. [Google Scholar] [CrossRef]
- Biazussi, B.R.; Perrotti, V.; D’Arcangelo, C.; Elias, C.N.; Bianchini, M.A.; Tumedei, M.; de Vasconcellos, D.K. Evaluation of the Effect of Air Polishing With Different Abrasive Powders on the Roughness of Implant Abutment Surface: An In Vitro Study. J. Oral Implantol. 2019, 45, 202–206. [Google Scholar] [CrossRef]
- Ionescu, A.C.; Vezzoli, E.; Conte, V.; Sartori, P.; Procacci, P.; Brambilla, E. Activity of Experimental Mouthwashes and Gels Containing DNA-RNA and Bioactive Molecules against the Oxidative Stress of Oral Soft Tissues: The Importance of Formulations. A Bioreactor-Based Reconstituted Human Oral Epithelium Model. Molecules 2021, 26, 2976. [Google Scholar] [CrossRef]
- Ionescu, A.C.; Vezzoli, E.; Conte, V.; Procacci, P.; Garcia-Godoy, F.; Brambilla, E. Effects of Na-DNA Mouthwash Solutions on Oral Soft Tissues. A Bioreactor-Based Reconstituted Human Oral Epithelium Model. Am. J. Dent. 2020, 33, 277–284. [Google Scholar] [PubMed]

| Visits | Screening/Baseline (V1) | 1 Week (V2) | 2 Weeks (V3) |
|---|---|---|---|
| Day 0 | Day 7 | Day 14 | |
| Inclusion/exclusion criteria | ✓ | ||
| Informed consent | ✓ | ||
| First treatment | ✓ | ||
| Pain evaluation (VAS) | ✓ | ✓ | ✓ |
| Ulcers assessment | ✓ | ✓ | ✓ |
| Thermography | ✓ | ✓ | ✓ |
| Ulcer severity score (USS) | ✓ | ✓ | ✓ |
| Complications assessment | ✓ | ✓ |
| Demographic Characteristics of the Study Population | |
|---|---|
| Mean age of subjects | 41.6 ± 7.2 years, |
| Range | 18–46 years |
| Group I | 14 males (46.7%); 16 females (53.3%) |
| Group II | 8 males (26.7%); 22 females (73.3%) |
| USS Score | Number | Size | Duration [*] | Free Period [*] | Pain | Site | Temperature | |
|---|---|---|---|---|---|---|---|---|
| Mean | 26.07 | 2.467 | 5.233 | 3.400 | 4.233 | 5.900 | 4.833 | 37.31 |
| Std. deviation | 5.729 | 1.279 | 2.501 | 0.6747 | 1.716 | 2.440 | 2.479 | 1.263 |
| Std. error of mean | 1.046 | 0.2336 | 0.4566 | 0.1232 | 0.3132 | 0.4455 | 0.4525 | 0.2305 |
| Lower 95% CI of mean | 23.93 | 1.989 | 4.300 | 3.148 | 3.593 | 4.989 | 3.908 | 36.84 |
| Upper 95% CI of mean | 28.21 | 2.944 | 6.167 | 3.652 | 4.874 | 6.811 | 5.759 | 37.78 |
| USS Score | Number | Size | Duration [**] | Free Period [**] | Pain | Site | Temperature | |
|---|---|---|---|---|---|---|---|---|
| Mean | 28.17 | 2.464 | 4.333 | 2.000 | 10.00 | 4.833 | 4.533 | 37.12 |
| Std. deviation | 4.488 | 1.279 | 1.807 | 0.000 | 0.000 | 1.341 | 2.193 | 1.157 |
| Std. error of mean | 0.8194 | 0.2336 | 0.3299 | 0.000 | 0.000 | 0.2449 | 0.4004 | 0.2112 |
| Lower 95% CI of mean | 26.49 | 1.989 | 3.659 | 2.000 | 10.00 | 4.333 | 3.714 | 36.68 |
| Upper 95% CI of mean | 29.84 | 2.944 | 5.008 | 2.000 | 10.00 | 5.334 | 5.352 | 37.55 |
| USS Score | Number | Size | Duration [**] | Free Period [**] | Pain | Site | Temperature | |
|---|---|---|---|---|---|---|---|---|
| Mean | 19.30 | 0.8333 | 1.300 | 3.783 | 9.783 | 2.000 | 1.600 | 36.70 |
| Std. deviation | 5.820 | 0.8743 | 1.368 | 0.3130 | 0.3130 | 1.762 | 1.868 | 0.7504 |
| Std. error of mean | 1.063 | 0.1596 | 0.2498 | 0.05715 | 0.05715 | 0.3216 | 0.3411 | 0.1370 |
| Lower 95% CI of mean | 17.13 | 0.5069 | 0.7890 | 3.666 | 9.666 | 1.342 | 0.9025 | 36.42 |
| Upper 95% CI of mean | 21.47 | 1.160 | 1.811 | 3.900 | 9.900 | 2.658 | 2.298 | 36.98 |
| USS Score | Number | Size | Duration [*] | Free Period [*] | Pain | Site | Temperature | |
|---|---|---|---|---|---|---|---|---|
| Mean | 29.80 | 2.867 | 5.733 | 3.567 | 6.433 | 6.033 | 5.167 | 37.39 |
| Std. deviation | 5.567 | 1.306 | 2.318 | 1.040 | 1.888 | 1.732 | 2.230 | 1.736 |
| Std. error of mean | 1.016 | 0.2384 | 0.4233 | 0.1899 | 0.3447 | 0.3162 | 0.4071 | 0.3170 |
| Lower 95% CI of mean | 27.72 | 2.379 | 4.868 | 3.178 | 5.728 | 5.387 | 4.334 | 36.75 |
| Upper 95% CI of mean | 31.88 | 3.354 | 6.599 | 3.955 | 7.138 | 6.680 | 5.999 | 38.04 |
| USS Score | Number | Size | Duration [**] | Free Period [**] | Pain | Site | Temperature | |
|---|---|---|---|---|---|---|---|---|
| Mean | 20.42 | 1.200 | 2.433 | 1.900 | 9.850 | 2.733 | 2.300 | 36.86 |
| Std. deviation | 5.893 | 1.031 | 1.924 | 0.2034 | 0.2980 | 1.680 | 1.878 | 0.7614 |
| Std. error of mean | 1.076 | 0.1882 | 0.3513 | 0.03714 | 0.05440 | 0.3068 | 0.3429 | 0.1390 |
| Lower 95% CI of mean | 18.22 | 0.8152 | 1.715 | 1.824 | 9.739 | 2.106 | 1.599 | 36.57 |
| Upper 95% CI of mean | 22.62 | 1.585 | 3.152 | 1.976 | 9.961 | 3.361 | 3.001 | 37.14 |
| USS Score | Number | Size | Duration [**] | Free Period [**] | Pain | Site | Temperature | |
|---|---|---|---|---|---|---|---|---|
| Mean | 14.72 | 0.2667 | 0.4000 | 3.383 | 9.367 | 0.7667 | 0.5333 | 36.44 |
| Std. deviation | 4.068 | 0.4498 | 0.8137 | 0.6390 | 0.6940 | 1.331 | 0.8996 | 0.7398 |
| Std. error of mean | 0.7427 | 0.08212 | 0.1486 | 0.1167 | 0.1267 | 0.2430 | 0.1642 | 0.1351 |
| Lower 95% CI of mean | 13.20 | 0.09872 | 0.09617 | 3.145 | 9.108 | 0.2697 | 0.1974 | 36.17 |
| Upper 95% CI of mean | 16.24 | 0.4346 | 0.7038 | 3.622 | 9.626 | 1.264 | 0.8692 | 36.72 |
Disclaimer/Publisher’s Note: The statements, opinions and data contained in all publications are solely those of the individual author(s) and contributor(s) and not of MDPI and/or the editor(s). MDPI and/or the editor(s) disclaim responsibility for any injury to people or property resulting from any ideas, methods, instructions or products referred to in the content. |
© 2025 by the authors. Licensee MDPI, Basel, Switzerland. This article is an open access article distributed under the terms and conditions of the Creative Commons Attribution (CC BY) license (https://creativecommons.org/licenses/by/4.0/).
Share and Cite
Lorusso, F.; Gianluca, N.; Scarano, A. Clinical Efficacy of a Topical Gel for the Treatment of Minor Oral Ulcers: A Triple-Blind Randomized Controlled Trial. Appl. Sci. 2025, 15, 7347. https://doi.org/10.3390/app15137347
Lorusso F, Gianluca N, Scarano A. Clinical Efficacy of a Topical Gel for the Treatment of Minor Oral Ulcers: A Triple-Blind Randomized Controlled Trial. Applied Sciences. 2025; 15(13):7347. https://doi.org/10.3390/app15137347
Chicago/Turabian StyleLorusso, Felice, Nicolai Gianluca, and Antonio Scarano. 2025. "Clinical Efficacy of a Topical Gel for the Treatment of Minor Oral Ulcers: A Triple-Blind Randomized Controlled Trial" Applied Sciences 15, no. 13: 7347. https://doi.org/10.3390/app15137347
APA StyleLorusso, F., Gianluca, N., & Scarano, A. (2025). Clinical Efficacy of a Topical Gel for the Treatment of Minor Oral Ulcers: A Triple-Blind Randomized Controlled Trial. Applied Sciences, 15(13), 7347. https://doi.org/10.3390/app15137347

