Abstract
Chatbots, an automatic dialogue system empowered by deep learning-oriented AI technology, have gained increasing attention in healthcare e-services for their ability to provide medical information around the clock. A formidable challenge is that chatbot dialogue systems have difficulty handling queries with unknown intents due to the technical bottleneck and restricted user-intent answering scope. Furthermore, the wide variation in a user’s consultation needs and levels of medical knowledge further complicates the chatbot’s ability to understand natural human language. Failure to deal with unknown intents may lead to a significant risk of incorrect information acquisition. In this study, we develop an unknown intent detection model to facilitate chatbots’ decisions in responding to uncertain queries. Our work focuses on algorithmic innovation for high-risk healthcare scenarios, where asymmetric knowledge between patients and experts exacerbates intent recognition challenges. Given the multi-role context, we propose a novel query representation learning approach involving multiple views from chatbot users, medical experts, and system developers. Unknown intent detection is then accomplished through the transformed representation of each query, leveraging adaptive determination of intent decision boundaries. We conducted laboratory-level experiments and empirically validated the proposed method based on the real-world user query data from the Tianchi lab and medical information from the Xunyiwenyao website. Across all tested unknown intent ratios (25%, 50%, and 75%), our multi-view boundary learning method was proven to outperform all benchmark models on the metrics of accuracy score, macro F1-score, and macro F1-scores over known intent classes and over the unknown intent class.
1. Introduction
To emancipate productivity and reduce reliance on human labor, stakeholders in the Artificial Intelligence (AI) industry have increasingly invested in chatbot applications, driving the rapid growth of dialogue agents in recent years. Conversational chatbots can provide automated responses and interact with users via text, image, or voice. During the past pandemic, the proliferating demand for 24/7 online services underscored the importance of digital platforms in supporting global epidemic prevention efforts [1,2]. The debut of ChatGPT-3.5, an advanced dialogue application developed by OpenAI, has further promoted chatbot research and expanded discourse in the entire range [3]. These automated conversational services—equipped with human language understanding and analysis capabilities—have been applied in healthcare to help patients access medical information, explore treatment options, schedule appointments, and even manage aspects of patient care. Chatbots have become a significant foundational technology in the ongoing digital transformation of healthcare.
Despite chatbots’ potential to transform healthcare and improve patient outcomes, their deployment also raises important safety issues [4]. Recognizing the risks and limitations associated with these technologies [5] and approaching chatbot-generated responses with caution [6] is essential. Current AI technologies still fall short of fully understanding human language and often struggle to precisely infer user intent [7,8]. This limitation poses the risk of inappropriate or inaccurate responses, primarily due to the mismatch between the complexity of natural human language and persistent bottlenecks in natural language understanding. On the one hand, chatbots’ comprehension heavily depends on the dialogue corpus designed by system developers. Given the virtually limitless range of user queries, some intents will inevitably be overlooked. On the other hand, a healthcare chatbot is usually limited to responding within a specific scope [9,10], offering basic medical knowledge, advice, and solutions to common ailments. There exist intents that are not allowed to be answered. In such high-risk environments, it is unreasonable to anticipate and respond to every query intent. Designers would not expect a chatbot uncontrollably to address intents that are uncertain, inappropriate, or outside their authorized domain. Therefore, the ability to appropriately handle these queries is a crucial requirement in the design of healthcare chatbots.
Those uncertain or impermissible intents are unknown for chatbots to recognize because the intent information and utterance samples are absent from the corpus. In this study, we aim to design an unknown intent detection model that facilitates chatbots to identify and approximately respond to such queries, thereby alleviating the risk of medical errors in healthcare settings. Existing research has developed a paradigm that learns spatial transformations of query statements to construct intent decision boundaries, aiming to filter out queries lacking known intents [11,12]. However, these approaches primarily rely on intent-related textual features extracted from user queries [11,13,14,15], which may be insufficient in healthcare scenarios where conversations often require domain-specific expertise and deeper contextual understanding. Most users are unaware of dialogue system developers’ design logic and typically lack medical expertise. Hence, their queries may not accurately express their intent, making it more challenging for chatbots to respond reliably. We argue that user-generated descriptions alone often fail to provide sufficient intent information or define clear boundaries in the transformed representation space.
To address the above issue, we focus on algorithmic innovation for unknown intent detection. Including knowledge from multiple perspectives to enhance unknown intent detection in user queries may be a feasible direction. We can computationally model three scenario-related views, including chatbot users who make a query, system developers who design the Q&A workflow, and medical experts who provide medical expertise. This proposed model is expected to operate upstream of chatbot-based response generation. For queries within known intents, the original query is passed to the chatbot for answer generation. For detected unknown intents, the system may invoke a curated non-chatbot response or trigger human expert intervention protocols.
This study uses a multi-view decision boundary learning approach to fuse multiple pieces of knowledge and detect queries with unknown intents. Our approach assumes a high-dimensional space where queries with the same intent can be mapped and limited within a sphere. It aims to learn the centroid and radius of each sphere to outline the decision boundary. Specifically, we first obtained a medical knowledge base whose data were crawled from an authoritative medical website, Xunyiwenyao. A knowledge graph embedding technique was used to transfer the entities and relations to unique embeddings, identify related entities from a given query, and match them with the transferred entity embeddings. Then, the query itself was embedded, incorporating an attention mechanism guided by the intent label design. The query embedding and matched entity embeddings were further integrated to train an intent classification model. After training, the final classification layer was removed, allowing the model to generate transformed vector representations for new queries. These representations reside in a high-dimensional space. Finally, an unknown intent detection model was trained to learn the centroid and radius within this space. Queries with representations falling outside all known intent boundaries are identified as having unknown intents.
To evaluate the effectiveness of our method, we conducted a series of laboratory-level experiments using a real-world user query dataset from the Alibaba Quake Search Engine, made available through the Tianchi platform [16]. Each query in the dataset has been labeled with a known intent class. We assessed the model performance under varying conditions, with the proportion of unknown intents set to 25%, 50%, and 75%, respectively. Comparative evaluations against several benchmark methods showed that our approach outperformed existing baselines across all settings, confirming the robustness and effectiveness of the proposed design.
2. Literature Review and Design Theories
2.1. Challenges in Healthcare E-Services
The digital transformation of healthcare systems has become a significant trend among healthcare organizations, hospitals, and facilities worldwide [17]. The global objective is to provide 24/7 remote access to healthcare services, enhance doctor–patient interactions, improve health condition tracking, optimize repetitive processes, reduce healthcare costs, and make patient care delivery accessible to everyone. Traditionally, healthcare information was disseminated in a one-way direction; however, the advent of digital platforms has enabled both one-to-many and interactive one-to-one communication on a large scale. Chatbots play a key role in automating these dialogues to meet the growing demand for continuous service. Driven by the need for scalable and accessible care, particularly in areas like mental health support and chronic disease management [18,19], they are increasingly integrated into digital mental health interventions to support healthcare e-services such as diagnostics and screening, symptom management, behavior change, and content delivery [20]. However, the successful implementation of such tools in sensitive healthcare contexts requires careful consideration of clinical workflows, patient safety, and ethical guidelines, aspects extensively studied in medical informatics [21,22,23].
A chatbot’s ability to comprehend user queries largely depends on the conversation corpus provided by dialogue system designers. Since people’s query needs are non-enumerable and change over time, new queries appear regularly in real-world scenarios [11]. Some intents and their corresponding utterance samples are unavoidably neglected to consider. In addition, a healthcare chatbot is usually limited to serving a specific range of queries [10] as an accident-proof measure, reflecting crucial patient safety and risk mitigation principles in healthcare technology design [23,24]. Certain types of user intents are deliberately excluded from the scope of healthcare chatbots. These potentially harmful dialogues are omitted from the training data because designers do not intend for chatbots to respond to uncertain or high-risk medical queries without professional oversight. In developing healthcare e-services, chatbot designers carefully curate the training samples, which inherently limits the chatbot’s ability to fully understand or respond to human utterances.
On the other hand, a core challenge highlighted in user-centered design studies for health technologies is the mismatch between system design and real-world user needs and capabilities [25,26,27]. Users are usually unaware of the intent design framework established by dialogue system developers and often lack medical expertise. Most are unaware of what information needs to be mentioned or emphasized in healthcare e-services to effectively convey their query intent and receive an appropriate response. This lack of health literacy and difficulty in articulating medical concerns is a well-documented barrier in health informatics [28,29]. Their languages contain slang, dialects, emotional expressions, abbreviations, or informal expressions, all of which can obscure the intended meaning and make it more challenging for the chatbot to accurately interpret the user’s input. Also, people’s expertise reserves vary a lot. Users from different age groups, cultural contexts, and educational backgrounds express their health concerns in vastly different ways. Considering most individuals are unfamiliar with the specialized “healthcare vocabulary” required to convey information accurately [30], chatbots find it increasingly difficult to learn real-world language usage rules and accurately infer people’s true query intents.
In this context, the complexity of healthcare communication combined with the limitations of chatbot language comprehension can result in a crisis of unqualified or inappropriate responses in automated dialogue services [31]. Implementing intelligent intervention measures is necessary to proactively mitigate the risk of medical errors. Utterances with query intents that have not been considered or cannot be answered do not appear in the corpus. These intents are unknown for a healthcare chatbot. It is crucial to identify user intents that have never occurred and avoid performing wrong responses in downstream decisions [32], especially given the high stakes of potential harm in healthcare settings [33]. Hence, we need to design an unknown intent detection model that facilitates healthcare chatbots’ responses to queries with unknown intents, grounded in an understanding of both the technical challenges and the healthcare requirements for safety and usability [34].
2.2. Unknown Intent Detection Technologies and Decision Boundary Learning
To address utterances with unknown intent, researchers have developed a paradigm that utilizes advanced deep learning technology to obtain intent decision boundaries and exclude queries with unknown intents in a two-step learning method [35]. The design paradigm is free from dependence on utterance samples with unknown intents, so the efforts are mainly paid to exploring available semantic information and outlining intent decision boundaries. First, a K-class deep learning classifier is trained to classify user utterances into K known intents in a supervised learning manner, learning deep discriminative features that capture the relationship between utterances and their intents. The deep learning network removing the last classification layer can be used to transform a query into a new representation. The decision space we expect to obtain is the high-dimensional feature space in which these transformed query representations exist. Then, an unknown intent detection algorithm is designed to identify whether a given utterance relates to unknown intents. It functions by outlining decision boundaries based on corresponding transformed representations of each known intent class. A given representation beyond all known intent boundaries is regarded as involving an unknown intent.
The classifier’s feature extraction performance has proven effective for decision space construction with the Transformer architecture and pre-training techniques. For example, a Transformer variant named BERT [36] has become state-of-the-art in textual feature learning. Its architecture can handle a whole sentence parallelly and globally. The multi-head self-attention mechanism effectively captures long-range dependencies in medical dialogues, and positional encoding preserves word sequence information critical for intent detection. Pre-training further enhances BERT’s capabilities in contextual understanding and medical domain adaptation. These techniques make BERT-based large language models widely utilized for textual feature representation and decision space determination in recent unknown intent detection research [13,35,37,38,39,40]. To train the classifier, optional loss functions for capturing deep discriminative features include cross-entropy loss [13,37], large margin loss [11,32], and contrastive learning loss [38,40]. These loss designs mainly follow the computational principle of maximizing inter-class variance and minimizing intra-class variance [38].
In the decision space constructed from transformed representations, various detection methods have been proposed to determine boundary conditions and exclude utterances with unknown intents. Local Outlier Factor (LOF) is a classical density-based anomaly detection algorithm [41]. It was used to compute the local density deviation of a given utterance representation concerning its neighbors and determine the intent class boundaries in the decision space [11,32,38]. Maximum Softmax Probability is a detection method based on probability distribution [42]. It relied on a Softmax output to obtain the query sample’s Maximum Softmax Probability and determine the boundary [38,40]. Researchers have also developed distance-based designs to obtain decision boundaries. For example, Podolskiy, Lipin, Bout, Artemova, and Piontkovskaya [37] adopted the Mahalanobis distance to set the threshold and form the boundary. Zhang, Xu, Zhao, and Zhou [13] proposed an Adaptive Decision Boundary (ADB) framework based on Euclidean distance to enhance the distinguishing capability of intent representations and learn tight decision boundaries adaptive to the feature space. This strategy has proven effective in detecting unknown intent and obtaining the best performance in public datasets.
Existing research mainly emphasizes on extracting discriminative semantic features from user utterances and constructing transformed representations to define intent boundaries within the decision space. They focus on user descriptions to distinguish intent categories, which actually implies that users can capture intent differences. However, scenarios that require professional domain knowledge might suffer from the potential knowledge asymmetry among users and experts. In healthcare e-services, users are often unaware of chatbot developers’ design logic and lack medical expertise, so we argue that the single view based on their descriptions cannot adequately contain intent information and explicitly represent the intent boundary, increasing the difficulty of detecting unknown intents. In this study, we aim to propose an approach to fuse multiple knowledge from chatbot users, medical experts, and system developers to design an informative query representation method, contributing to existing unknown intent detection research.
2.3. Design Theories and Multi-View Representation Learning
When facing uncertainty, humans will seek “fair” information to discover new knowledge and utilize the information for strategic purposes, according to uncertainty management theory [43]. In alignment with this theory, we aim to empower healthcare chatbots with a similar ability to access external information and mitigate the impact of uncertainty on decision-making. In a typical healthcare e-service setting, three different roles are involved as follows: chatbot users (who initiate queries), system developers (who design Q&A workflows and define intent categories), and medical experts (who provide medical expertise). From the developers’ view, they pre-define a series of intent categories to help chatbots understand user queries. As for the experts’ view, they provide medical information to help produce appropriate responses. This medical information is often stored and maintained as the data format of a knowledge base in an electronic medical system. To sum up, the developer view is encoded in intent labels, while the medical expert view is derived offline from the knowledge graph, avoiding reliance on real-time clinician input.
Existing methods only capture semantic information from a single user view, which is, as we argue, insufficient in a professional and demanding scenario. Following the abovementioned theory, we propose that a chatbot can be equipped with knowledge from two “fair” views of system developers and medical experts when processing user queries with uncertain intent. To support this approach, we develop a multi-view processing schema to guide our representation design based on the social information processing theory [44,45,46]. This theory explains how individuals process social information through a series of learning processes, such as selective attention [47,48], interpretation [48,49,50], and integration [47,48].
Figure 1 illustrates our conceptual design of multi-view representation learning, which aims to transform a user query into an informative representation that facilitates effective chatbot decision-making. In healthcare contexts, distinct perspectives—particularly those of system developers and medical experts—play a critical role. We notice that the intent category design and knowledge base can reflect how user queries are viewed from the perspectives of system developers and medical experts. System developers can enhance the chatbot response performance by pre-classifying a user query into an intent class to indicate the response-producing strategy. These intent label texts can be regarded as context information that helps emphasize the critical contents related to scene intents, so key information about known intents can be highlighted from the user query. This can better facilitate the model in unknown intent detection. We argue that the intent label texts play a “selective attention” role in human language understanding.
Figure 1.
Conceptual model of multi-view representation learning.
Furthermore, medical experts often maintain and structure their knowledge using knowledge bases designed to support information retrieval in electronic medical systems [51,52]. The knowledge base represents a network of real-world entities, such as objects, events, situations, or concepts, and illustrates their relationships. As a common technique in healthcare applications, knowledge bases promote the transfer and sharing of medical knowledge while improving service efficiency [53]. Thus, user queries can be interpreted with matched knowledge to form a more professional view, aligning user utterances with medical expertise to improve chatbots’ response-producing. This represents an “interpretation” role for the chatbot’s human language understanding. With the “selective attention” role of the system designer view and the “interpretation” role of the medical expert view, external knowledge is integrated into the user query, supporting a more comprehensive and context-aware “integration” of user queries.
3. A Multi-View Decision Boundary Learning Approach for Unknown Intent Detection
We illustrate our proposed design as a two-stage machine learning framework. The first stage is to train a model to classify a given user query into a known intent class, fusing knowledge from the views of system developers and medical experts. We can obtain a new representation method to transform the query with the byproduct of the classification model. The second stage is to train a model to exclude a query without a known intent class based on its transformed representation to achieve unknown intent detection.
3.1. Problem Setup
The unknown intent detection task is to identify whether a user query utterance has no known intent. Given a user query, the byproduct of the first-stage classification model transforms it into a new representation. The new semantic space where the transformed representations lie is the decision space. Suppose the query representations with the same intent are close to each other and form a cluster in the space. In the second stage, we aim to determine the boundaries, including centroid and radius, for each intent cluster to decide on a query with unknown intents. A query that does not fall within any known intent boundaries is regarded as containing an unknown intent.
3.2. First-Stage Training for Query Representation
In the first stage, we train an intent classification model and remove the last classification layer to obtain a multi-view representation transformation for user queries, as shown in Figure 2. The model includes three kinds of inputs, corresponding to three involved views in the scenario.
Figure 2.
First-stage training framework for new representation learning.
From the system designer’s view, the textual description of intent categories can reflect their design concepts. In our design, all the intent label phrases are connected by spaces to form a sentence. Then, this intent sentence is encoded into a vector using a state-of-the-art embedding technique, the “bert-base-chinese” model from Google’s team [36]. The chosen BERT-based model here has been pre-trained and is public. It contains a series of natural language processing (NLP) operations to tokenize the intent sentence and process tokens into a sequential set of word embedding vectors. Specifically, we calculate the average of all tokens’ word vectors extracted from the last hidden layer of the BERT model to obtain the intent embedding e.
The input of the user view is the query utterance and is processed with the same embedding model. The i-th query qi in the query dataset is tokenized and embedded into a sequential set of word embedding vectors using the parameters in the last hidden layer of the same BERT model. According to the conceptual model in Figure 1, the designer’s view plays an “attention” role in understanding the user query. Therefore, we adopt a scaled dot-production attention mechanism to aggregate word embedding vectors of the user query based on the intent embedding e that represents task information from the designer’s view. The aggregated calculation result is a sentence embedding vector of the user query, noted as si.
As for incorporating the medical expert view, we introduce a knowledge base as external medical knowledge to provide a professional view as an “interpretation” role according to the theory described in Section 2.3. The knowledge is stored in a triple format to indicate a relation between two entities. A knowledge base composed of triples can be visualized as a knowledge graph; hence, we adopt a knowledge graph embedding method, RotatE [54], to transfer entities to vector representations that contain medical information of a graphic structure view. The RotatE method defines each relation as a rotation from the source entity to the target entity in a complex vector space. It can model various relation patterns, including (anti)symmetry, inversion, and composition, ensuring the capture of complicated relations. Through this process, we can map each entity to a unique embedding containing graph structure information. In addition, all the entities in the knowledge base constitute a dictionary for subsequent entity recognition from user queries.
For a given query sentence qi in a textual format, we apply HanLP, a multilingual NLP library [55], to identify matched entities from the query based on the entity dictionary mentioned above. The library can be used to handle Chinese NLP tasks, such as tokenization, part-of-speech tagging, named entity recognition, and others. The recognized entity set of the query qi is represented by the corresponding knowledge graph embeddings of the entities, noted as , where mi is the number of distinct entities.
Following the “integration” concept in Figure 1, we concatenate the knowledge graph embedding with the query embedding si to form the complete input vector for the intent classification model of a fully connected network structure. The knowledge graph embedding ki corresponding to query qi is the average of all entity embeddings in the embedding set Ki. This intent classification model is trained using the cross-entropy loss function. The last hidden layer of the trained model is the new representation learned for the query, noted as zi. Each query will be mapped to this new representation for subsequent second-stage training.
3.3. Second-Stage Training for Unknown Intent Detection
We adopt a decision boundary learning strategy to outline the boundary of each intent based on the transformed query representations obtained in Section 3.2. Assume that the decision space is the high-dimensional feature space where the new representations lie. In this feature space, we aim to determine the decision boundaries, the irregular sphere corresponding to each intent, to enclose query representations with the same intent label. With an adaptive mechanism [13], boundary-based decision methods have proven effective in unknown intent detection tasks.
Here, we first calculate the centroid for each intent category. The query dataset is N query samples with their intent labels. Let Sj denote the set of known-intent query representations labeled with the class j. Its centroid cj is computed as follows:
Let denote the radius of the spherical decision boundary concerning centroid cj. It is obtained through the second-stage model training. For each query representation zi, the strategy aims to satisfy the following constraint:
where is the adaptive boundary parameter, learned using a machine-learning optimization method proposed by Zhang, Xu, Zhao, and Zhou [13]. This optimization method can approximate a balanced decision boundary with the boundary loss function as follows:
where is defined as follows:
The boundary parameter is updated with regard to as follows:
where is the learning rate. In our context, this learning rate is set to 0.05, and the training epoch is set to 100. The batch sizes for the training, validation, and test sets are 128, 64, and 64.
After the end-to-end training, this model can be used to detect whether a query includes an unknown intent. For a given query representation zi, it can be classified as follows:
where Y is the intent category set.
4. Context and Materials
4.1. Query Data
Our real-world healthcare query dataset was in the Chinese context. It was provided by the Alibaba QUAKE Search Engine and released on the Tianchi platform [16]. The numbers of query samples in the training, validation, and test datasets are 5314, 780, and 780, respectively. Each query sample in the dataset has a unique known intent label, and there are 10 categories of known intent labels in total. The statistics of the datasets are shown in Table 1. A query sample is shown in Table 2. The English translation of texts is in parentheses.
Table 1.
Query data statistics.
Table 2.
Query data example.
We randomly set 25%, 50%, or 75% proportions of intents in the training dataset as unknown and used the remaining query samples to train the first-stage known intent classification model. All intent classes of the test dataset were included in the second stage to simulate the unknown intent detection task and test the performance, following the processing procedure by Lin and Xu [11] and Zhang, Xu, Zhao, and Zhou [13].
4.2. Knowledge Base Data
We leveraged DiseaseKG, a publicly available medical knowledge base from the Chinese knowledge graph platform OpenKG.cn [56], as our external knowledge source. Its data, from the authoritative medical platform Xunyiwenyao, was systematically curated to provide comprehensive disease-related information, such as causes, symptoms, treatments, and other aspects. For knowledge base construction, the data were stored as structured triples (head entity, relation, and tail entity) to explicitly represent relationships between medical entities. There were 44,656 entities and 312,159 relation triples in the knowledge base. The RotatE method was used to map each entity to a unique embedding.
5. Performance Evaluation and Result Analysis
5.1. Baseline Models
To present the performance of our model, we selected various state-of-the-art baseline models to conduct a comprehensive evaluation process. The benchmarks include the following: (1) LOF [41], which is a density-based method to detect the low-density outliers as the open-class samples; (2) DOC [14], which rejects the open-class samples by calculating different probability thresholds of each known class; (3) DeepUnk [11], which improves the margin loss to learn deep features; and (4) ADB [13], which designs the adaptive mechanism for discriminative boundary learning. To ensure fair comparisons, all benchmark methods adopt identical BERT-encoded input queries, the same datasets, fixed random seeds and hardware environment, and consistent evaluation metrics.
5.2. Comparative Experiment
We follow the experiment design by Lin and Xu [11] and Zhang, Xu, Zhao, and Zhou [13] to conduct laboratory-level experiments and compare model performance. The detection results of different models under the unknown intent ratio of 25%, 50%, and 75% are illustrated in Table 3, Table 4 and Table 5. Every group of results is an average of ten times running results using different random seeds to select categories as the unknown intents. The evaluation metrics include the accuracy score (Accuracy), macro F1-score (F1), and macro F1-scores over known intent classes (F1-known) and over the unknown intent class (F1-unknown). Accuracy mainly serves as a baseline measure of overall prediction correctness but proves insufficient for imbalanced class distributions. F1 compensates for this limitation by equally weighting all classes through the mean of macro precision and macro recall. Most critically, the separate calculation of F1-scores for known and unknown intent classes provides granular insight into model performance. F1-known evaluates the stability in classifying permitted queries amidst interference from unknown intent samples, while F1-unknown directly quantifies the detection capability for queries without known intents.
Table 3.
Detection results under the unknown intent ratio of 25%.
Table 4.
Detection results under the unknown intent ratio of 50%.
Table 5.
Detection results under the unknown intent ratio of 75%.
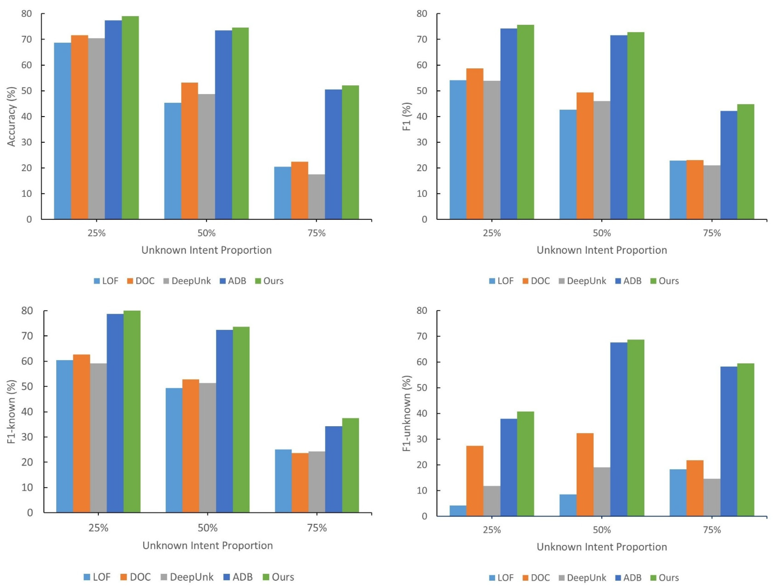
In terms of accuracy and F1, our method achieves the highest values across all unknown intent ratios, as shown in Figure 3. For example, at a 50% ratio, our method achieves an accuracy of 0.7457 and an F1 of 0.7279, outperforming the second-best method, ADB (0.7346 and 0.7161), demonstrating its superior ability to detect unknown intents. This advantage persists in both the 25% and 75% scenarios, highlighting our method’s robustness under extreme data distributions. As for the LOF, DOC, and DeepUnk methods, they demonstrate comparable performance at the 25% unknown intent ratio, particularly in terms of accuracy. However, as the proportion of unknown intents increases, their performance gap with our method widens sharply.
Figure 3.
Comparative model performance across evaluation metrics.
The F1-unknown metric provides a more specific measure of unknown intent detection performance. Our method outperforms all baselines across all three ratios, particularly at the 25% ratio (0.4082 vs. ADB’s 0.3799, a 7.4% improvement), indicating that our method captures unknown intent features more effectively. Interestingly, when the unknown intent ratio increases to 75%, all methods exhibit a significant drop in F1 and F1-known, while F1-unknown improves. This suggests that a high unknown intent ratio harms known intent recognition, although the model can compensate by refining its decision boundaries to enhance unknown intent detection.
5.3. Ablation Study
We conducted an ablation study using the same unknown intent ratio setting to evaluate the performance of different views with consistent indicators. The experiments involved the user view (UV), system developer view (SDV), and medical expert view (MEV). Table 6, Table 7 and Table 8 illustrate the effectiveness of multi-view representation learning for decision boundary determination.
Table 6.
Ablation study under the unknown intent ratio of 25%.
Table 7.
Ablation study under the unknown intent ratio of 50%.
Table 8.
Ablation study under the unknown intent ratio of 75%.
In the 25% unknown intent ratio scenario, Figure 4 shows that the full multi-view combination achieves the highest scores across all evaluation metrics, demonstrating that multi-view fusion outperforms single-view or dual-view cases when the unknown intent proportion is relatively low. For the 50% and 75% ratios, the combination of UV and SDV performs comparably to the full multi-view approach, with both configurations surpassing other cases in every metric. The incorporation of SDV yields consistent improvements in F1-unknown across all ratios, which verifies that intent label design information effectively enhances unknown intent detection. MEV shows its most pronounced impact at the 25% ratio. However, its contribution diminishes at higher unknown intent ratios, suggesting that knowledge graph constraints may become less effective in high-noise environments.
Figure 4.
Ablation study on multi-view combinations across evaluation metrics.
6. Conclusions
In this study, we developed a theory-guided representation learning approach that integrates multiple views—including chatbot users, system developers, and medical experts—to generate informative query representation for unknown intent detection. Our experiments on a real-world healthcare query dataset from the Tianchi laboratory demonstrated the effectiveness and robustness of the proposed method. While the performance of all methods declined as the unknown intent ratio increased, our approach consistently outperformed benchmark models despite some degradation. By integrating diverse perspectives, we solve the problem from the perspective of inconsistent public expertise reserves. Future work could explore dynamic strategies for adjusting the view combination to further facilitate unknown intent detection.
While our method demonstrates strong performance in Chinese healthcare scenarios, its extension to other languages or professional domains requires careful linguistic adaptation and localization of expert knowledge. The model’s effectiveness depends on maintaining linguistic consistency across user queries, intent labels, and knowledge base to ensure proper attention computation and entity matching. This framework can be adapted to other specialized domains where structured knowledge bases exist, provided that domain-specific query corpora are collected and corresponding intent classification schemes are designed. For non-Chinese implementations, language-specific pre-trained models and localized knowledge graphs would need to be integrated while preserving the multi-view learning architecture. The core boundary learning mechanism remains fundamentally transferable, providing both conceptual and methodological insights for unknown intent detection and domain-specific chatbot deployment.
Author Contributions
Conceptualization, Y.Z.; methodology, Y.Z.; formal analysis, Y.Z.; investigation, Y.Z.; data curation, Y.Z.; writing—original draft preparation, Y.Z.; writing—review and editing, Y.Z. and R.Y.K.L.; visualization, Y.Z.; supervision, R.Y.K.L.; funding acquisition, R.Y.K.L. All authors have read and agreed to the published version of the manuscript.
Funding
This research was partially funded by a grant from the Research Grants Council of the Hong Kong Special Administrative Region, Grant No. CityU 11507323.
Institutional Review Board Statement
Not applicable.
Informed Consent Statement
Not applicable.
Data Availability Statement
The original contributions presented in this study are included in the article. Further inquiries can be directed to the corresponding authors.
Acknowledgments
This research work was partially supported by a grant from the Research Grants Council of the Hong Kong Special Administrative Region (Project: CityU 11507323).
Conflicts of Interest
The authors declare no conflicts of interest.
Abbreviations
The following abbreviations are used in this manuscript:
| AI | Artificial Intelligence |
| NLP | Natural Language Processing |
| UV | User View |
| SDV | System Developer View |
| MEV | Medical Expert View |
References
- Parviainen, J.; Rantala, J. Chatbot Breakthrough in the 2020s? An Ethical Reflection on the Trend of Automated Consultations in Health Care. Med. Health Care Philos. 2022, 25, 61–71. [Google Scholar] [CrossRef] [PubMed]
- Zhang, Y.X.; Lau, R.Y.K.; Xu, J.D.; Rao, Y.H.; Li, Y.F. Business Chatbots with Deep Learning Technologies: State-of-the-Art, Taxonomies, and Future Research Directions. Artif. Intell. Rev. 2024, 57, 113. [Google Scholar] [CrossRef]
- Javaid, M.; Haleem, A.; Singh, R.P. ChatGPT for Healthcare Services: An Emerging Stage for an Innovative Perspective. BenchCouncil Trans. Benchmarks Stand. Eval. 2023, 3, 100105. [Google Scholar] [CrossRef]
- Laranjo, L.; Dunn, A.G.; Tong, H.L.; Kocaballi, A.B.; Chen, J.; Bashir, R.; Surian, D.; Gallego, B.; Magrabi, F.; Lau, A.Y.S.; et al. Conversational Agents in Healthcare: A Systematic Review. J. Am. Med. Inform. Assoc. 2018, 25, 1248–1258. [Google Scholar] [CrossRef]
- King, M.R. The Future of AI in Medicine: A Perspective from a Chatbot. Ann. Biomed. Eng. 2023, 51, 291–295. [Google Scholar] [CrossRef]
- Aggarwal, A.; Tam, C.C.; Wu, D.Z.; Li, X.M.; Qiao, S. Artificial Intelligence-Based Chatbots for Promoting Health Behavioral Changes: Systematic Review. J. Med. Internet Res. 2023, 25, e40789. [Google Scholar] [CrossRef]
- Fjelland, R. Why general artificial intelligence will not be realized. Humanit. Soc. Sci. Commun. 2020, 7. [Google Scholar] [CrossRef]
- Xu, Z.; Jain, S.; Kankanhalli, M. Hallucination is Inevitable: An Innate Limitation of Large Language Models. arXiv 2024. [Google Scholar] [CrossRef]
- Miles, O.; West, R.; Nadarzynski, T. Health Chatbots Acceptability Moderated by Perceived Stigma and Severity: A Cross-sectional Survey. Digit. Health 2021, 7, 20552076211063012. [Google Scholar] [CrossRef]
- Fenza, G.; Orciuoli, F.; Peduto, A.; Postiglione, A. Healthcare Conversational Agents: Chatbot for Improving Patient-Reported Outcomes. In Advanced Information Networking and Applications; Springer International Publishing: Cham, Switzerland, 2023; pp. 137–148. [Google Scholar] [CrossRef]
- Lin, T.E.; Xu, H. A Post-Processing Method for Detecting Unknown Intent of Dialogue System via Pre-Trained Deep Neural Network Classifier. Knowl.-Based Syst. 2019, 186, 104979. [Google Scholar] [CrossRef]
- Zhang, H.L.; Xu, H.; Lin, T.E. Deep Open Intent Classification with Adaptive Decision Boundary. In Proceedings of the 35th AAAI Conference on Artificial Intelligence/33rd Conference on Innovative Applications of Artificial Intelligence/11th Symposium on Educational Advances in Artificial Intelligence, Virtual Conference, 2–9 February 2021; pp. 14374–14382. [Google Scholar]
- Zhang, H.L.; Xu, H.; Zhao, S.J.; Zhou, Q.R. Learning Discriminative Representations and Decision Boundaries for Open Intent Detection. IEEE/ACM Trans. Audio Speech Lang. Process. 2023, 31, 1611–1623. [Google Scholar] [CrossRef]
- Lei, S.; Hu, X.; Bing, L. DOC: Deep Open Classification of Text Documents. In Proceedings of the 2017 Conference on Empirical Methods in Natural Language Processing, Copenhagen, Denmark, 9–11 September 2017. [Google Scholar]
- Chen, G.Y.; Peng, P.X.; Wang, X.Q.; Tian, Y.H. Adversarial Reciprocal Points Learning for Open Set Recognition. IEEE Trans. Pattern Anal. Mach. Intell. 2022, 44, 8065–8081. [Google Scholar] [CrossRef] [PubMed]
- Zhang, N.; Chen, M.; Bi, Z.; Liang, X.; Li, L.; Shang, X.; Yin, K.; Tan, C.; Xu, J.; Huang, F.; et al. CBLUE: A Chinese Biomedical Language Understanding Evaluation Benchmark. In Proceedings of the 60th Annual Meeting of the Association for Computational Linguistics, Dublin, Ireland, 22–27 May 2022; pp. 7888–7915. [Google Scholar]
- Hermes, S.; Riasanow, T.; Clemons, E.K.; Böhm, M.; Krcmar, H. The Digital Transformation of the Healthcare Industry: Exploring the Rise of Emerging Platform Ecosystems and their Influence on the Role of Patients. Bus. Res. 2020, 13, 1033–1069. [Google Scholar] [CrossRef]
- Anisha, S.A.; Sen, A.; Bain, C. Evaluating the Potential and Pitfalls of AI-Powered ConversationalAgents as Humanlike Virtual Health Carers in the RemoteManagement of Noncommunicable Diseases:Scoping Review. J. Med. Internet Res. 2024, 26, e56114. [Google Scholar] [CrossRef]
- Kurniawan, M.H.; Handiyani, H.; Nuraini, T.; Hariyati, R.T.S.; Sutrisno, S. A Systematic Review of Artificial Intelligence-Powered (AI-powered) Chatbot Intervention for Managing Chronic Illness. Ann. Med. 2024, 56, 2302980. [Google Scholar] [CrossRef]
- Boucher, E.M.; Harake, N.R.; Ward, H.E.; Stoeckl, S.E.; Vargas, J.; Minkel, J.; Parks, A.C.; Zilca, R. Artificially Intelligent Chatbots in Digital Mental Health Interventions: A Review. Expert Rev. Med. Dev. 2021, 18, 37–49. [Google Scholar] [CrossRef]
- Alosaim, S.S.A.; Al-Qathmi, N.N.M.; Mamail, A.H.O.; Alotiby, A.A.F.; Mueeni, F.M.J.; Almutairi, A.H.H.; Alqahtani, H.F.; Alzaid, S.A.; Alotaibi, H.F.M.; Alqahtani, N.A.; et al. Leveraging Health Informatics to Enhance the Efficiency and Accuracy of Medical Secretaries in Healthcare Administration. Egypt. J. Chem. 2024, 67, 1597–1601. [Google Scholar] [CrossRef]
- Meeks, D.W.; Takian, A.; Sittig, D.F.; Singh, H.; Barber, N. Exploring the Sociotechnical Intersection of Patient Safety and Electronic Health Record Implementation. J. Am. Med. Inform. Assoc. 2014, 21, E28–E34. [Google Scholar] [CrossRef]
- Sittig, D.F.; Wright, A.; Coiera, E.; Magrabi, F.; Ratwani, R.; Bates, D.W.; Singh, H. Current Challenges in Health Information Technology-Related Patient Safety. Health Inform. J. 2020, 26, 181–189. [Google Scholar] [CrossRef]
- Singh, H.; Sittig, D.F. Measuring and Improving Patient Safety Through Health Information Technology: The Health IT Safety Framework. BMJ Qual. Saf. 2016, 25, 226–232. [Google Scholar] [CrossRef]
- van Velsen, L.; Ludden, G.; Grünloh, C. The Limitations of User-and Human-Centered Design in an eHealth Context and How to Move Beyond Them. J. Med. Internet Res. 2022, 24, e37341. [Google Scholar] [CrossRef] [PubMed]
- Duffy, A.; Christie, G.J.; Moreno, S. The Challenges Toward Real-World Implementation of Digital Health Design Approaches: Narrative Review. JMIR Hum. Factors 2022, 9, e35693. [Google Scholar] [CrossRef] [PubMed]
- Cornet, V.P.; Toscos, T.; Bolchini, D.; Ghahari, R.R.; Ahmed, R.; Daley, C.; Mirro, M.J.; Holden, R.J. Untold Stories in User-Centered Design of Mobile Health: Practical Challenges and Strategies Learned From the Design and Evaluation of an App for Older Adults With Heart Failure. JMIR mHealth uHealth 2020, 8, e17703. [Google Scholar] [CrossRef]
- Chan, C.V.; Kaufman, D.R. A Framework for Characterizing eHealth Literacy Demands and Barriers. J. Med. Internet Res. 2011, 13, e94. [Google Scholar] [CrossRef]
- Rudd, R.E.; Anderson, J.E.; Oppenheimer, S.; Nath, C. Health Literacy: An Update of Medical and Public Health Literature. In Review of Adult Learning and Literacy; Routledge: Oxfordshire, UK, 2023; Volume 7, pp. 175–204. [Google Scholar]
- Malamas, N.; Papangelou, K.; Symeonidis, A.L. Upon Improving the Performance of Localized Healthcare Virtual Assistants. Healthcare 2022, 10, 99. [Google Scholar] [CrossRef]
- Babu, A.; Boddu, S.B. BERT-Based Medical Chatbot: Enhancing Healthcare Communication through Natural Language Understanding. Explor. Res. Clin. Soc. Pharm. 2024, 13, 100419. [Google Scholar] [CrossRef]
- Yan, G.F.; Fan, L.; Li, Q.M.; Liu, H.; Zhang, X.T.; Wu, X.M.; Lam, A.Y.S. Unknown Intent Detection Using Gaussian Mixture Model with an Application to Zero-shot Intent Classification. In Proceedings of the 58th Annual Meeting of the Association-for-Computational-Linguistics (ACL), Virtual Conference, 5–10 July 2020; pp. 1050–1060. [Google Scholar]
- Coghlan, S.; Leins, K.; Sheldrick, S.; Cheong, M.; Gooding, P.; D’Alfonso, S. To Chat or Bot to Chat: Ethical Issues with Using Chatbots in Mental Health. Digit. Health 2023, 9, 20552076231183542. [Google Scholar] [CrossRef]
- Ratwani, R.M.; Reider, J.; Singh, H. A Decade of Health Information Technology Usability Challenges and the Path Forward. JAMA 2019, 321, 743–744. [Google Scholar] [CrossRef]
- Cheng, Z.F.; Jiang, Z.W.; Yin, Y.F.; Wang, C.; Gu, Q. Learning to Classify Open Intent via Soft Labeling and Manifold Mixup. IEEE/ACM Trans. Audio Speech Lang. Process. 2022, 30, 635–645. [Google Scholar] [CrossRef]
- Devlin, J.; Chang, M.-W.; Lee, K.; Toutanova, K. BERT: Pre-Training of Deep Bidirectional Transformers for Language Understanding. In Proceedings of the 2019 Conference of the North American Chapter of the Association for Computational Linguistics: Human Language Technologies, Minneapolis, MN, USA, 2–7 June 2019; pp. 4171–4186. [Google Scholar]
- Podolskiy, A.; Lipin, D.; Bout, A.; Artemova, E.; Piontkovskaya, I. Revisiting Mahalanobis Distance for Transformer-Based Out-of-Domain Detection. In Proceedings of the 35th AAAI Conference on Artificial Intelligence/33rd Conference on Innovative Applications of Artificial Intelligence/11th Symposium on Educational Advances in Artificial Intelligence, Virtual Conference, 2–9 February 2021; pp. 13675–13682. [Google Scholar]
- Zeng, Z.Y.; He, K.Q.; Yan, Y.M.; Liu, Z.J.; Wu, Y.A.; Xu, H.; Jiang, H.X.; Xu, W.R. Modeling Discriminative Representations for Out-of-Domain Detection with Supervised Contrastive Learning. In Proceedings of the Joint Conference of 59th Annual Meeting of the Association-for-Computational-Linguistics (ACL)/11th International Joint Conference on Natural Language Processing (IJCNLP)/6th Workshop on Representation Learning for NLP (RepL4NLP), Virtual Conference, 1–6 August 2021; pp. 870–878. [Google Scholar]
- Zhan, L.M.; Liang, H.W.; Liu, B.; Fan, L.; Wu, X.M.; Lam, A.Y.S. Out-of-Scope Intent Detection with Self-Supervision and Discriminative Training. In Proceedings of the Joint Conference of 59th Annual Meeting of the Association-for-Computational-Linguistics (ACL)/11th International Joint Conference on Natural Language Processing (IJCNLP)/6th Workshop on Representation Learning for NLP (RepL4NLP), Virtual Conference, 1–6 August; pp. 3521–3532.
- Wu, Y.A.; He, K.Q.; Yan, Y.M.; Gao, Q.X.; Zeng, Z.Y.; Zheng, F.J.; Zhao, L.L.; Jiang, H.X.; Wu, W.; Xu, W.R.; et al. Revisit Overconfidence for OOD Detection: Reassigned Contrastive Learning with Adaptive Class-dependent Threshold. In Proceedings of the 2022 Conference of the North American Chapter of the Association for Computational Linguistics: Human Language Technologies, Seattle, WA, USA, 10–15 July 2022; pp. 4165–4179. [Google Scholar]
- Breunig, M.M.; Kriegel, H.P.; Ng, R.T.; Sander, J. LOF: Identifying Density-Based Local Outliers. ACM SIGMOD Rec. 2000, 29, 93–104. [Google Scholar] [CrossRef]
- Hendrycks, D.; Gimpel, K. A Baseline for Detecting Misclassified and Out-of-Distribution Examples in Neural Networks. In Proceedings of the 5th International Conference on Learning Representations, ICLR 2017, Toulon, France, 24–26 April 2017. [Google Scholar]
- Brashers, D.E. Communication and Uncertainty Management. J. Commun. 2001, 51, 477–497. [Google Scholar] [CrossRef]
- Salancik, G.R.; Pfeffer, J. An Examination of Need-Satisfaction Models of Job Attitudes. Adm. Sci. Q. 1977, 22, 427–456. [Google Scholar] [CrossRef]
- Salancik, G.R.; Pfeffer, J. A Social Information Processing Approach to Job Attitudes and Task Design. Adm. Sci. Q. 1978, 23, 224–253. [Google Scholar] [CrossRef] [PubMed]
- Simon, H.A. Motivational and Emotional Controls of Cognition. Psychol. Rev. 1967, 74, 29–39. [Google Scholar] [CrossRef] [PubMed]
- Zalesny, M.D.; Ford, J.K. Extending the Social Information Processing Perspective: New Links to Attitudes, Behaviors, and Perceptions. Organ. Behav. Human Decis. Process. 1990, 47, 205–246. [Google Scholar] [CrossRef]
- Dodge, K.A. A Social Information Processing Model of Social Competence in Children. In Cognitive Perspectives on Children’s Social and Behavioral Development; Psychology Press: London, UK, 1986; pp. 77–125. [Google Scholar]
- Dodge, K.A.; Crick, N.R. Social Information-Processing Bases of Aggressive Behavior in Children. Personal. Soc. Psychol. Bull. 1990, 16, 8–22. [Google Scholar] [CrossRef]
- Crick, N.R.; Dodge, K.A. Social Information-Processing Mechanisms in Reactive and Proactive Aggression. Child Dev. 1996, 67, 993–1002. [Google Scholar] [CrossRef]
- Xiu, X.L.; Qian, Q.; Wu, S.Z. Construction of a Digestive System Tumor Knowledge Graph Based on Chinese Electronic Medical Records: Development and Usability Study. JMIR Med. Inf. 2020, 8, e18287. [Google Scholar] [CrossRef]
- Yan, H.M.; Jiang, Y.T.; Zheng, J.; Fu, B.M.; Xiao, S.Z.; Peng, C.L. The Internet-Based Knowledge Acquisition and Management Method to Construct Large-Scale Distributed Medical Expert Systems. Comput. Meth. Prog. Biomed. 2004, 74, 1–10. [Google Scholar] [CrossRef]
- Booth, A.; Carroll, C. How to Build Up the Actionable Knowledge Base: The Role of ‘Best Fit’ Framework Synthesis for Studies of Improvement in Healthcare. BMJ Qual. Saf. 2015, 24, 700–708. [Google Scholar] [CrossRef]
- Sun, Z.; Deng, Z.-H.; Nie, J.-Y.; Tang, J. RotatE: Knowledge Graph Embedding by Relational Rotation in Complex Space. In Proceedings of the 7th International International Conference on Learning Representations, New Orleans, LA, USA, 6–9 May 2019. [Google Scholar]
- He, H.; Choi, J.D. The Stem Cell Hypothesis: Dilemma Behind Multi-Task Learning with Transformer Encoders. In Proceedings of the 2021 Conference on Empirical Methods in Natural Language Processing, Online and Punta Cana, Dominican Republic, 7–11 November 2021; pp. 5555–5577. [Google Scholar]
- Peng, C.; Zhang, J.; Xu, Y.; Yang, J. DiseaseKG: Knowledge Graph of Common Disease Information Based on cnSchma. Available online: http://data.openkg.cn/dataset/disease-information (accessed on 22 June 2025).
Disclaimer/Publisher’s Note: The statements, opinions and data contained in all publications are solely those of the individual author(s) and contributor(s) and not of MDPI and/or the editor(s). MDPI and/or the editor(s) disclaim responsibility for any injury to people or property resulting from any ideas, methods, instructions or products referred to in the content. |
© 2025 by the authors. Licensee MDPI, Basel, Switzerland. This article is an open access article distributed under the terms and conditions of the Creative Commons Attribution (CC BY) license (https://creativecommons.org/licenses/by/4.0/).



