Age-Related Cardiovascular Responses to Intermittent Back Muscle and Bicycle Ergometer Exercise in Healthy Adults
Abstract
1. Introduction
2. Materials and Methods
2.1. Trial Design
2.2. Participants
2.3. Assessments
2.3.1. Measures of Physical Activity
2.3.2. Body Composition
2.3.3. Oxygen Saturation
2.3.4. Arterial Blood Pressure Measurements
2.3.5. ECG Measurements
2.3.6. Statistical Analysis
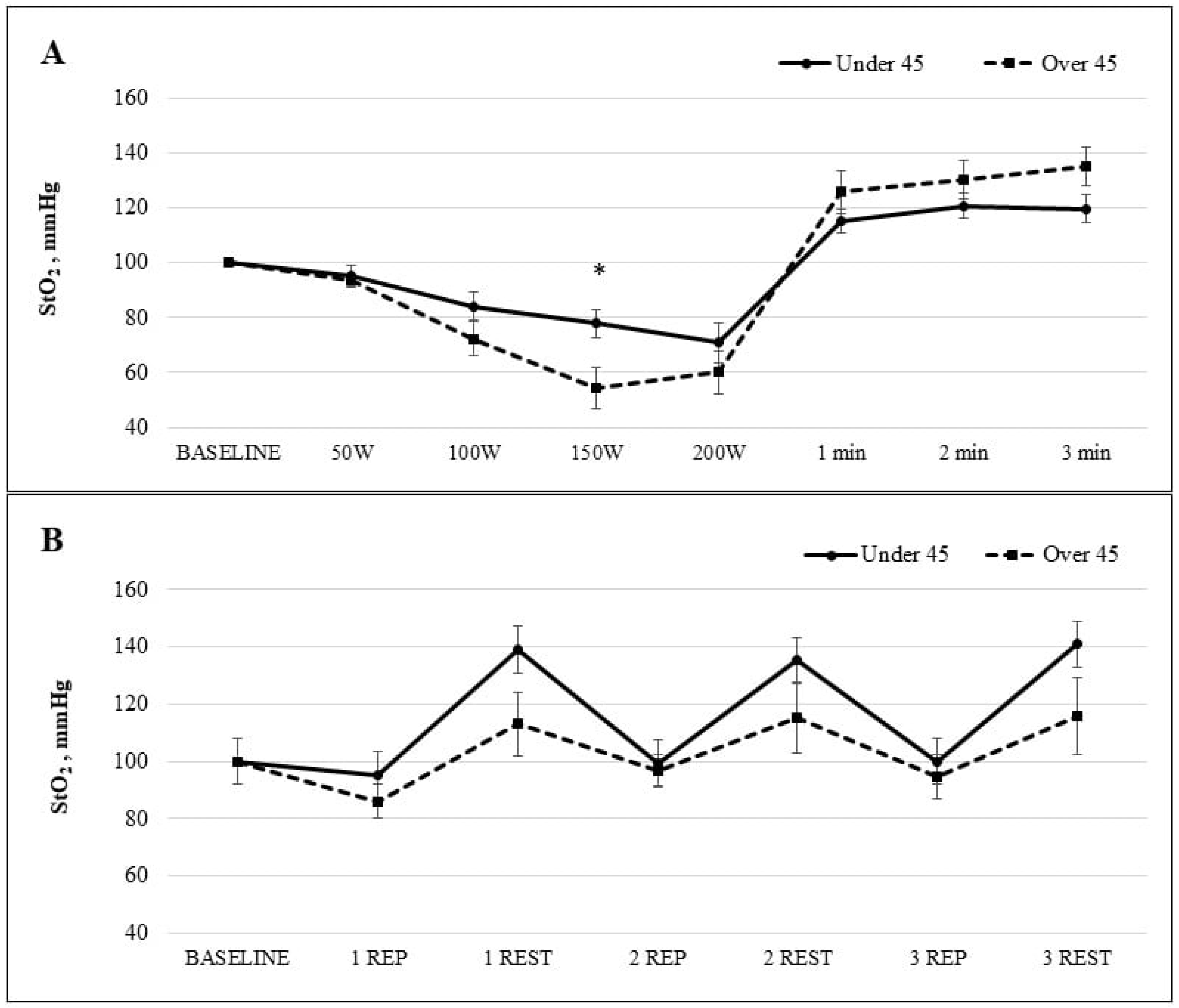
3. Results
4. Discussion
5. Conclusions
Author Contributions
Funding
Institutional Review Board Statement
Informed Consent Statement
Data Availability Statement
Conflicts of Interest
References
- Walther, O. New study reveals latest data on global burden of cardiovascular disease. J. Am. Coll. Cardiol. 2023. Available online: https://www.acc.org/About-ACC/Press-Releases/2023/12/11/18/48/New-Study-Reveals-Latest-Data-on-Global-Burden-of-Cardiovascular-Disease (accessed on 17 June 2025).
- Di Cesare, M.; Bixby, H.; Gaziano, T.; Hadeed, L.; Kabudula, C.; McGhie, D.V.; Mwangi, J.; Pervan, B.; Perel, P.; Piñeiro, D.; et al. World Heart Report 2023: Confronting the World’s Number One Killer; World Heart Federation: Geneva, Switzerland, 2023. [Google Scholar]
- Albalak, G.; Stijntjes, M.; van Bodegom, D.; Jukema, J.W.; E Atsma, D.; van Heemst, D.; Noordam, R. Setting your clock: Associations between timing of objective physical activity and cardiovascular disease risk in the general population. Eur. J. Prev. Cardiol. 2023, 30, 232–240. [Google Scholar] [CrossRef] [PubMed]
- Arnett, D.K.; Blumenthal, R.S.; Albert, M.A.; Buroker, A.B.; Goldberger, Z.D.; Hahn, E.J.; Himmelfarb, C.D.; Khera, A.; Lloyd-Jones, D.; McEvoy, J.W.; et al. 2019 ACC/AHA guideline on the primary prevention of cardiovascular disease: A report of the American College of Cardiology/American Heart Association Task Force on Clinical Practice Guidelines. Circulation 2019, 140, e596–e646. [Google Scholar] [CrossRef] [PubMed]
- Lavie, C.J.; Ozemek, C.; Carbone, S.; Katzmarzyk, P.T.; Blair, S.N. Sedentary behavior, exercise, and cardiovascular health. Circ. Res. 2019, 124, 799–815. [Google Scholar] [CrossRef]
- Pelliccia, A.; Sharma, S.; Gati, S.; Bäck, M.; Börjesson, M.; Caselli, S.; Collet, J.P.; Corrado, D.; Drezner, J.A.; Halle, M.; et al. 2020 ESC Guidelines on sports cardiology and exercise in patients with cardiovascular disease: The Task Force on sports cardiology and exercise in patients with cardiovascular disease of the European Society of Cardiology (ESC). Eur. Heart J. 2021, 42, 17–96. [Google Scholar] [CrossRef]
- World Health Organization. WHO Guidelines on Physical Activity and Sedentary Behaviour 2020; World Health Organization: Geneva, Switzerland, 2020. [Google Scholar]
- Abou Sawan, S.; Nunes, E.A.; Lim, C.; McKendry, J.; Phillips, S.M. The health benefits of resistance exercise: Beyond hypertrophy and big weights. Exerc. Sport Mov. 2023, 1, e00001. [Google Scholar] [CrossRef]
- De Bosscher, R.; Dausin, C.; Claus, P.; Bogaert, J.; Dymarkowski, S.; Goetschalckx, K.; Ghekiere, O.; Van De Heyning, C.M.; Van Herck, P.; Paelinck, B.; et al. Lifelong endurance exercise and its relation with coronary atherosclerosis. Eur. Heart J. 2023, 44, 2388–2399. [Google Scholar] [CrossRef]
- Mcleod, J.C.; Currier, B.S.; Lowisz, C.V.; Phillips, S.M. The influence of resistance exercise training prescription variables on skeletal muscle mass, strength, and physical function in healthy adults: An umbrella review. J. Sport Health Sci. 2024, 13, 47–60. [Google Scholar] [CrossRef]
- Daanen, H.A.M.; Lamberts, R.P.; Kallen, V.L.; Jin, A.; Van Meeteren, N.L.U. A systematic review on heart-rate recovery to monitor changes in training status in athletes. Int. J. Sports Physiol. Perform. 2012, 7, 251–260. [Google Scholar] [CrossRef]
- Matabuena, M.; Vidal, J.C.; Hayes, P.R.; Huelin Trillo, F. A 6-minute sub-maximal run test to predict VO2 max. J. Sports Sci. 2018, 36, 2531–2536. [Google Scholar] [CrossRef]
- Borisovskaya, A.; Chmelik, E.; Karnik, A. Exercise and Chronic Pain. In Physical Exercise for Human Health; Springer: Singapore, 2020; pp. 233–253. [Google Scholar] [CrossRef]
- Peng, M.S.; Wang, R.; Wang, Y.Z.; Chen, C.C.; Wang, J.; Liu, X.C.; Song, G.; Guo, J.B.; Chen, P.J.; Wang, X.Q. Efficacy of therapeutic aquatic exercise vs physical therapy modalities for patients with chronic low back pain: A randomized clinical trial. JAMA Netw. Open 2022, 5, e2142069. [Google Scholar] [CrossRef] [PubMed]
- Abiri, B.; Vafa, M. Dietary restriction, cardiovascular aging and age-related cardiovascular diseases: A review of the evidence. Rev. Biomark. Stud. Aging Anti-Aging Res. 2019, 1178, 113–127. [Google Scholar]
- Nystoriak, M.A.; Bhatnagar, A. Cardiovascular effects and benefits of exercise. Front. Cardiovasc. Med. 2018, 5, 408204. [Google Scholar] [CrossRef] [PubMed]
- Papageorgiou, V.E.; Zegkos, T.; Efthimiadis, G.; Tsaklidis, G. Analysis of digitalized ECG signals based on artificial intelligence and spectral analysis methods specialized in ARVC. Int. J. Numer. Method. Biomed. Eng. 2022, 38, e3644. [Google Scholar] [CrossRef]
- Lollgen, H.; Leyk, D. Exercise Testing in Sports Medicine. Dtsch. Arztebl. Int. 2018, 115, 409–416. [Google Scholar] [CrossRef]
- Weakley, J.; Schoenfeld, B.J.; Ljungberg, J.; Halson, S.L.; Phillips, S.M. Physiological responses and adaptations to lower load resistance training: Implications for health and performance. Sports Med. Open 2023, 9, 28. [Google Scholar] [CrossRef]
- Lee, B.A.; Oh, D.J. The effects of long-term aerobic exercise on cardiac structure, stroke volume of the left ventricle, and cardiac output. J. Exerc. Rehabil. 2016, 12, 37. [Google Scholar] [CrossRef]
- Armstrong, T.; Bull, F. Development of the world health organization global physical activity questionnaire (GPAQ). J. Public Health 2006, 14, 66–70. [Google Scholar] [CrossRef]
- Onofre, T.; Oliver, N.; Carlos, R.; Felismino, A.; Corte, R.C.; Silva, E.; Bruno, S.; Barbosa, T.M. Oxygen uptake efficiency slope as a useful measure of cardiorespiratory fitness in morbidly obese women. PLoS ONE 2017, 12, e0172894. [Google Scholar] [CrossRef]
- Olsson, K.; Salier Eriksson, J.; Rosdahl, H.; Schantz, P. Are heart rate methods based on ergometer cycling and level treadmill walking interchangeable? PLoS ONE 2020, 15, e0237388. [Google Scholar] [CrossRef]
- Torrents, C.; Balague, N. Dynamic Systems Theory and Sports Training. Educ. Phys. Train. Sport 2006, 60, 72–88. [Google Scholar] [CrossRef]
- Lambert, E.V.; St Clair Gibson, A.; Noakes, T.D. Complex systems model of fatigue: Integrative homoeostatic control of peripheral physiological systems during exercise in humans. Br. J. Sports Med. 2005, 39, 52–62. [Google Scholar] [CrossRef] [PubMed]
- Hammami, A.; Kasmi, S.; Farinatti, P.; Fgiri, T.; Chamari, K.; Bouhlel, E. Blood pressure, heart rate and perceived enjoyment after small-sided soccer games and repeated sprint in untrained healthy adolescents. Biol. Sport 2017, 34, 219–225. [Google Scholar] [CrossRef] [PubMed]
- Javorka, M.; Zila, I.; Balharek, T.; Javorka, K. Heart rate recovery after exercise: Relations to heart rate variability and complexity. Braz. J. Med. Biol. Res. 2002, 35, 991–1000. [Google Scholar] [CrossRef]
- Giunta, S.; Xia, S.; Pelliccioni, G.; Olivieri, F. Autonomic nervous system imbalance during aging contributes to impair endogenous anti-inflammaging strategies. Geroscience 2024, 46, 113–127. [Google Scholar] [CrossRef]
- Aponte-Becerra, L.; Novak, P. Tilt Test: A Review. J. Clin. Neurophysiol. 2021, 38, 279–286. [Google Scholar] [CrossRef]
- Raju, S.; Fredericks, R.; Lishman, P.; Neglén, P.; Morano, J. Observations on the calf venous pump mechanism: Determinants of postexercise pressure. J. Vasc. Surg. 1993, 17, 459–469. [Google Scholar] [CrossRef]
- Baev, V.M.; Kudryavtseva, E.N. Adaptation to physical load and the state of the autonomic nervous system in young women with low blood pressure. Patol. Fiziol. Eksp. Ter. 2015, 59, 97–100. [Google Scholar]
- Singam, N.S.V.; Fine, C.; Fleg, J.L. Cardiac changes associated with vascular aging. Clin. Cardiol. 2020, 43, 92–98. [Google Scholar] [CrossRef]
- Hopenfeld, B. ST segment depression: The possible role of global repolarization dynamics. Biomed. Eng. Online 2007, 6, 6. [Google Scholar] [CrossRef]
- Lilaonitkul, M.; Robinson, K.; Roberts, M. Wellens’ syndrome: Significance of ECG pattern recognition in the emergency department. Emerg. Med. J. 2009, 26, 750–751. [Google Scholar] [CrossRef] [PubMed]
- Lim, Y.C.; Teo, S.-G.; Poh, K.-K. ST-segment changes with exercise stress. Singap. Med. J. 2016, 57, 347–353. [Google Scholar] [CrossRef] [PubMed]
- Wu, L.; Zhang, J.; Shao, G. A comparative study on coronary angiography and exercise ECG testing. Zhonghua Nei Ke Za Zhi 1996, 35, 107–109. [Google Scholar] [PubMed]
- Lanza, G.A.; Mustilli, M.; Sestito, A.; Infusino, F.; Sgueglia, G.A.; Crea, F. Diagnostic and prognostic value of ST segment depression limited to the recovery phase of exercise stress test. Heart 2004, 90, 1417–1421. [Google Scholar] [CrossRef]
- Campero Jurado, I.; Fedjajevs, A.; Vanschoren, J.; Brombacher, A. Interpretable assessment of ST-segment deviation in ECG time series. Sensors 2022, 22, 4919. [Google Scholar] [CrossRef]
- Hnatkova, K.; Johannesen, L.; Vicente, J.; Malik, M. Heart rate dependency of JT interval sections. J. Electrocardiol. 2017, 50, 814–824. [Google Scholar] [CrossRef]
- Joyner, M.J.; Casey, D.P. Regulation of increased blood flow (hyperemia) to muscles during exercise: A hierarchy of competing physiological needs. Physiol. Rev. 2015, 95, 549–601. [Google Scholar] [CrossRef]
- Sarelius, I.; Pohl, U. Control of muscle blood flow during exercise: Local factors and integrative mechanisms. Acta Physiol. 2010, 199, 349–365. [Google Scholar] [CrossRef]
- Pfeifer, M.A.; Weinberg, C.R.; Cook, D.; Best, J.D.; Reenan, A.; Halter, J.B. Differential changes of autonomic nervous system function with age in man. Am. J. Med. 1983, 75, 249–258. [Google Scholar] [CrossRef]
- Green, D.J.; Hopman, M.T.E.; Padilla, J.; Laughlin, M.H.; Thijssen, D.H.J. Vascular adaptation to exercise in humans: Role of hemodynamic stimuli. Physiol. Rev. 2017, 97, 495–528. [Google Scholar] [CrossRef]





Disclaimer/Publisher’s Note: The statements, opinions and data contained in all publications are solely those of the individual author(s) and contributor(s) and not of MDPI and/or the editor(s). MDPI and/or the editor(s) disclaim responsibility for any injury to people or property resulting from any ideas, methods, instructions or products referred to in the content. |
© 2025 by the authors. Licensee MDPI, Basel, Switzerland. This article is an open access article distributed under the terms and conditions of the Creative Commons Attribution (CC BY) license (https://creativecommons.org/licenses/by/4.0/).
Share and Cite
Brazdzionyte, R.; Motiejunaite, K.; Poderiene, K.; Trinkunas, E.; Kairiukstiene, Z. Age-Related Cardiovascular Responses to Intermittent Back Muscle and Bicycle Ergometer Exercise in Healthy Adults. Appl. Sci. 2025, 15, 6985. https://doi.org/10.3390/app15136985
Brazdzionyte R, Motiejunaite K, Poderiene K, Trinkunas E, Kairiukstiene Z. Age-Related Cardiovascular Responses to Intermittent Back Muscle and Bicycle Ergometer Exercise in Healthy Adults. Applied Sciences. 2025; 15(13):6985. https://doi.org/10.3390/app15136985
Chicago/Turabian StyleBrazdzionyte, Ruta, Kristina Motiejunaite, Kristina Poderiene, Eugenijus Trinkunas, and Zivile Kairiukstiene. 2025. "Age-Related Cardiovascular Responses to Intermittent Back Muscle and Bicycle Ergometer Exercise in Healthy Adults" Applied Sciences 15, no. 13: 6985. https://doi.org/10.3390/app15136985
APA StyleBrazdzionyte, R., Motiejunaite, K., Poderiene, K., Trinkunas, E., & Kairiukstiene, Z. (2025). Age-Related Cardiovascular Responses to Intermittent Back Muscle and Bicycle Ergometer Exercise in Healthy Adults. Applied Sciences, 15(13), 6985. https://doi.org/10.3390/app15136985

