Abstract
This study evaluates the potential of biomass fuels (10 wt% and 20 wt%) as partial coal replacements in combustion and their effects on clinker performance. Cement was produced by co-grinding clinker with gypsum, and hydration products were analyzed. Potassium and sodium carbonates were introduced to create highly alkaline conditions, thereby simulating the effect of alkali metals in biomass-derived fuel ash on the mineral phases of clinker under high substitution ratios. The results showed biomass fuels’ low ignition point and high volatile matter content improved mixed fuels combustion, increasing the average combustion rate by 0.52%~2.28% and reducing the ignition temperature by up to 56 °C. At low substitution levels, biomass ash did not adversely affect clinker mineral composition or cement properties. However, the highly alkaline environment suppressed the formation of tricalcium silicate (C3S) in the clinker, resulting in an increased content of free calcium oxide(f-CaO). Simultaneously, it promotes the formation of sulfates (K2SO4, Na2SO4) and sodium silicate (Na2Si2O5).
1. Introduction
The cement industry constitutes one of the major contributors to global carbon dioxide (CO2) emissions. According to the International Energy Agency (IEA), the global cement industry is responsible for approximately 7% to 8% of worldwide carbon emissions [1,2,3]. In traditional cement production, carbon emissions primarily originate from process emissions produced during the decomposition of raw materials and combustion emissions from fossil fuels (e.g., coal, petroleum coke). This process not only depletes substantial non-renewable resources but also emits significant quantities of greenhouse gases, particularly CO2 [4,5,6]. To address global climate change, reducing carbon emissions in the industrial sector has emerged as a central objective in the pursuit of sustainable development. An increasing number of countries and regions have explicitly introduced specific requirements for reducing emissions in the cement industry, with a particular emphasis on enhancing carbon emission controls during the cement production process. Simultaneously, the reliance of the cement production process on traditional fossil fuels faces significant challenges due to resource depletion and volatile price fluctuations [7,8,9].
To address these challenges, the adoption of alternative fuels has emerged as a pivotal solution for the cement industry [10,11,12]. A wide range of alternative fuels can be utilized, including municipal solid waste, industrial waste (e.g., waste plastics, rubber, and paper), agricultural and forestry residues (e.g., straw and wood chips), and biomass fuels (e.g., straw and wood residues). The utilization of alternative fuels not only facilitates resource reuse and alleviates environmental pressures caused by waste accumulation but also significantly reduces carbon emissions during the cement production process [13,14,15,16]. Globally, numerous countries and regions, including the European Union, the United States, Japan, and various developing nations, have implemented alternative fuels in cement production processes [17,18,19,20]. Initially, the high-temperature and alkaline environment of cement kilns provided an ideal setting for the disposal of hazardous waste [12,21,22,23]. However, this approach was primarily driven by regulatory compliance rather than a proactive pursuit of economic and environmental benefits. As understanding of alternative fuels deepened, cement companies began to reassess their energy strategies, transitioning from a stance of “passive acceptance” to one of “active acceptance” [18,24,25].
With the growing global emphasis on environmental protection, traditional cement production methods are facing increasing pressure. The cement industry must explore new energy alternatives that balance cost control and minimal environmental impact. Within this context, the adoption of biomass alternative fuels has emerged as a pivotal direction for sustainable development. Many countries and regions have accelerated the adoption of low-carbon fuels in the cement industry through policy incentives and regulatory frameworks, with a particular focus on biomass fuels [9,26,27,28]. As plants absorb atmospheric carbon dioxide through photosynthesis during growth, the CO2 emitted during combustion does not theoretically contribute to a net increase in atmospheric carbon concentration. In contrast, CO2 emissions from fossil fuel combustion directly contribute to an increase in atmospheric carbon concentration. Furthermore, biomass alternative fuels are characterized by low sulfur and nitrogen content, resulting in significantly lower emissions of SOx and NOx during combustion, thereby further reducing atmospheric pollution [29,30].
However, despite the theoretical advantages of biomass alternative fuels, their practical application is hindered by numerous technical and environmental challenges [17,31]. Firstly, the physical and chemical properties of biomass alternative fuels differ significantly from those of conventional fossil fuels. These fuels exhibit low calorific value and high volatility, leading to rapid combustion reactions and challenges in controlling the heat transfer rate. Most biomass fuels are characterized by high moisture content and low density, which significantly differ from conventional fossil fuels. These inherent instabilities can adversely impact combustion efficiency and disrupt the heat balance of cement kilns, ultimately increasing energy consumption in the cement production process. Consequently, investigating the combustion characteristics of alternative fuels is essential to understanding their potential applications and impacts. Furthermore, biomass alternative fuels exhibit complex compositions with high alkali content (e.g., potassium and sodium) in their ash, which can negatively affect cement clinker quality. Currently, most studies primarily focus on the feasibility of biomass as an alternative fuel, with limited attention given to the specific effects of excessive potassium and sodium on clinker mineral phases [32,33,34,35]. To address this gap, this study uniquely incorporates potassium carbonate and sodium carbonate to investigate the evolution trends of clinker mineral phases under excessive alkali content.
This study selected four types of biomass substitute fuels with representative ash compositions: rice straw (rich in silicon), corn cob (abundant in alkali and chlorine), pine sawdust (high in calcium), and sycamore leaves (high silicon and calcium). The combustion characteristics of biomass substitute fuels mixed with coal, along with their impacts on cement quality, were systematically analyzed. The experimental findings indicate that biomass substitute fuels markedly enhance the combustion performance of coal and exhibit minimal impact on cement clinker quality at low substitution levels, primarily evidenced by a slight reduction in the three-day flexural strength. However, as the substitution ratio increases, the introduction of additional alkali leads to progressively evident negative effects. At higher substitution ratios, the quality of cement clinker deteriorates significantly, particularly in terms of calcium oxide content and mineral composition.
2. Materials and Methods
2.1. Raw Materials
In this study, limestone and sandstone for clinker production were sourced from Nanjing Lishui Tianshan Cement Co., Ltd. (Nanjing, China), while bituminous coal and iron tailings were obtained from Zhejiang Xindu Cement Co., Ltd. (Jiaxing, China). Additionally, analytically pure dihydrate gypsum (CaSO4·2H2O, ≥99.0%) was from Xilong Chemical Co., Ltd.(Shenzhen, China). The chemical compositions of the milled raw materials were analyzed by X-ray fluorescence (XRF; Spectro, Bruker, Billerica, MA, USA), with the results summarized in Table 1. Mineralogical phases were identified through X-ray diffraction (XRD, Rigaku-2500, Rigaku, Japan) using Cu Kα radiation, and the corresponding diffractograms are shown in Figure 1.
Table 1.
Chemical composition of raw materials (wt%).
Figure 1.
XRD diagram of raw materials: (a) limestone, (b) sandstone, (c) iron tailings, (d) gypsum.
The biomass alternative fuels, including rice straw (DG), corn cob (YMX), pine sawdust (JM), and sycamore leaves (SY), were sourced from Xuzhou Suining Shangyi New Material Co., Ltd. (Suining, China). while bituminous coal (C) was obtained from Zhejiang Xindu Cement Co., Ltd. (Jiaxing, China). Fuel analysis was conducted according to the Chinese national standard GB/T 28731-2012 [36] to determine the moisture, ash content, volatile matter, and fixed carbon. Total sulfur content was determined in accordance with the Chinese national standard GB/T 28732-2012 [37], while the calorific value was assessed based on GB/T 30727-2014 [38]. The results are presented in Table 2. The XRF component analysis of the aforementioned fuel ash was conducted using the melting method, with the results presented in Table 3.
Table 2.
Fuel analysis and calorific value determination (wt%).
Table 3.
Analysis of fuel ash composition (wt%).
The analytically pure anhydrous potassium carbonate (K2CO3, ≥99.8%) and analytically pure anhydrous sodium carbonate (Na2CO3, ≥99.8%,) used in this study were sourced from Sinopharm Chemical Reagent Co., Ltd. (Ningbo, China).
2.2. Method
The four biomass fuels were crushed to a maximum particle size of less than 5 mm and used to replace pulverized coal (C) at mass ratios of 10% and 20%. These were then mixed with coal to prepare eight distinct fuel samples, labeled as C+DG, C+YMX, C+JM, and C+SY. For example, C+DG1 represents a mixture of 90% coal and 10% DG, while C+DG2 represents 80% coal and 20% DG. A specific amount of pulverized coal and mixed fuel samples were weighed and analyzed by thermogravimetric analysis (TG/DTG) using a thermal analyzer (DZ-TGA103, Dazhan Testing Instrument Co., Ltd. Nanjing, China), with the temperature ramped from room temperature to 1000 °C at a heating rate of 20 °C/min. In accordance with the Chinese national standard GB/T 33304-2016 [39], the relevant combustion indices were determined to evaluate the combustion characteristics of the fuel at varying heating rates, including ignition temperature (Ti), burnout temperature (Tf), maximum volatile matter release rate ((dw/dt)max), and corresponding temperature (Tp), average combustion rate(Ṽ).
The cement raw materials were individually ground using a planetary ball mill (QM-3SP2, NJU-Instrument Co., Ltd. Nanjing, China), followed by drying in an oven at 105 °C to eliminate moisture. The dried samples were sieved using 200 μm and 80 μm square-hole sieves. The particle size distribution of the processed raw materials is presented in Figure 2.
Figure 2.
Particle size distribution of raw materials.
Typically, the modulus of cement clinker in China is regulated by adjusting the limestone saturation ratio (KH [40]: 0.88–0.92), silica ratio (SM [41]: 2.4–2.6), and alumina ratio (IM [42]: 0.9–1.9). The raw meal (i.e., the homogenized and finely ground mixture of raw materials used before clinker production) configuration is determined using EXCEL programming to ensure maximum accuracy. Under the following assumptions: the heat consumption per unit of clinker is 2926 kJ/kg, with the required clinker ratios being KH = 0.9, SM = 2.5, and IM = 1.6. The amount of fuel ash incorporation (Ga) is calculated according to Formula (1). To ensure the raw material fineness of 10%, the raw materials were mixed in the following proportions: 90% of the mass fraction passed through the 80 μm sieve, 9% fell within the 80 μm–200 μm range, and 1% was retained on the 200 μm sieve. The sample was mixed thoroughly to ensure uniform water distribution and shaped into a 50 × 50 × 10 mm specimen. The specimen was dried for at least 60 min in an electrothermal drying oven maintained at 100–110 °C. The specimen was subsequently pre-sintered at 950 °C for 30 min in a high-temperature chamber electric furnace (XD-1700M, Tianzong Electrical equipment Co., Ltd. Zhengzhou, China) with a heating rate of 10 °C/min, followed by calcination at target temperatures of 1350 °C, 1400 °C, and 1450 °C, each for 30 min. After calcination, the specimen was rapidly removed and cooled to room temperature (25 °C) using a fan, in preparation for subsequent experiments. Clinker was calcined using the raw material proportions specified in Table 4
Table 4.
Raw material ratio and clinker modulus of nine samples (wt%).
Ga—mixing amount of fuel ash in clinker, %;
—calorific value of fuel, kJ/kg;
—air dry basis ash content of fuel, %;
—heat consumption per unit clinker, kJ/kg;
—fuel ash deposition rate, %, choose100%.
K2CO3 and Na2CO3 were ground using an agate mortar and subsequently sieved through 80 μm and 200 μm square hole sieves for further processing. The particle size distribution is presented in Figure 3.
Figure 3.
Particle size distribution of K2CO3 and Na2CO3 powder.
The free calcium oxide content in two parallel groups of clinker samples at 1350 °C, 1400 °C, and 1450 °C was analyzed using the glycerol-ethanol method as specified in Chinese National Standard GB/T 176-2017 [43], and the optimum clinker calcination temperature was identified. The Cl− content in the clinker at the determined calcination temperature was evaluated, and the corresponding cement was synthesized for subsequent experiments [44].
Cement of grade 52.5 was prepared using 95 wt% clinker and 5 wt% dihydrate gypsum as raw materials, following the specifications outlined in the Chinese National Standard GB/T 175-2023 [45]. Cement mortar was prepared with a water-to-cement ratio of 0.5 and a cement-to-sand ratio of 1:3. 225 ± 1 g of water and 450 ± 2 g of cement were added in sequence and mixed for 30 s. Subsequently, the mechanical strength was measured using a strength tester (CDT1305-2, Mesiste Industrial Co., Ltd. Shenzhen, China) with loading rates set at 50 ± 10 N/s and 2400 ± 200 N/s. The strength values for each sample were determined based on the average of three sets of cement mortar measurements. Additionally, cement paste samples with a curing age of 28 days were crushed and immersed in anhydrous ethanol for 72 h to terminate hydration [46,47], then dried in a vacuum drying oven at 50 °C in preparation for subsequent XRD and TG analyses [48,49].
The crystalline phases of the clinker and hydration products were analyzed using XRD, operated at 30 kV and 60 mA, with a scanning speed of 10°/min and a step size of 0.02°. TG under N2 atmosphere was performed on the hydration products from 30 °C to 950 °C at a constant heating rate of 10 °C/min. For microstructural observation, a representative sample was coated with a thin layer of gold and examined using a scanning electron microscope (SEM, Nova NanoSEM 450, Fei, USA) at an accelerating voltage of 15 kV.
The chloride ion content in cement was quantified in accordance with the Chinese national standard GB/T 176-2017, using the ammonium sulfate volumetric method. Two parallel samples were analyzed to determine the chloride ion content of each cement sample with enhanced accuracy.
The consistency, setting time, and stability of the produced cement were evaluated in compliance with the Chinese national standard GB/T 1346-2011 [50], utilizing the Vicat apparatus for consistency and setting time tests, and the Le Chatelier method for stability measurements.
3. Results and Discussion
3.1. Combustion Analyzing
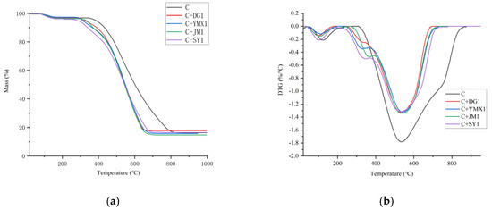
Based on the TG and DTG profiles presented in Figure 4 and Table 5, the following comprehensive conclusions are drawn. The high volatile content of biomass fuels notably lowers the ignition temperature of the mixed fuel. This effect is particularly pronounced in sample C + JM2, with a temperature reduction of 54 °C, triggering the combustion reaction earlier and exhibiting an accelerated pyrolysis rate. The incorporation of biomass fuel significantly lowers the burnout temperature of the blended fuel by approximately 62 °C to 93 °C, thereby reducing unburned particles and promoting more efficient combustion. Additionally, the peak combustion rate temperature of the mixed fuel is slightly increased, enabling more intense combustion at higher temperatures and maximizing heat release. The average combustion rate of the mixed fuel increased by 0.52% to 2.28%. which enhances overall combustion efficiency. The TG curve indicates that the combustion process mainly consists of two stages: volatile matter release in the low-temperature region and fixed carbon combustion in the high-temperature region. Compared to single pulverized coal fuel, the blended fuel demonstrates a lower residual carbon content, especially in C+JM, signifying enhanced burnout performance, which contributes to improved thermal efficiency. Furthermore, as shown by the DTG curve, compared to coal, the mixed fuel exhibits a narrower peak width during combustion, indicating a more concentrated combustion process. This observation further confirms that the incorporation of biomass fuels can markedly enhance the combustion characteristics of coal.

Figure 4.
TG and DTG diagrams of mixed fuels at varying substitution ratios: (a) TG−10 wt%, (b) DTG−10 wt%, (c) TG−20 wt%, (d) DTG−20 wt%.
Table 5.
The combustion characteristic index of mixed fuel under different substitution ratios.
3.2. Clinker Characterization
3.2.1. f-CaO Content Analysis of Clinkers
Free calcium oxide (f-CaO) denotes the unreacted or uncombined calcium oxide remaining after high-temperature calcination of cement raw materials and serves as a key indicator for assessing cement clinker quality [51]. Excessive free calcium oxide can compromise volume stability due to delayed hydration reactions, potentially causing expansion and cracking in hardened cement. According to the Chinese national standard GB/T 21372-2024 [52], the maximum permissible f-CaO content in cement clinker is set at 1.5 wt%.
Figure 5 illustrates the f-CaO content of nine types of cement clinker synthesized at 1350 °C, 1400 °C, and 1450 °C, respectively. As depicted in Figure 5, the f-CaO content in cement clinker exhibits significant variation at 1350 °C, 1400 °C, and 1450 °C, decreasing substantially as the calcination temperature increases. At 1350 °C, with an increasing biomass fuel blending ratio, the f-CaO content in clinker samples shows a rising trend. At this temperature, the incomplete decomposition of CaCO3, combined with the slow reaction rate of CaO with SiO2, Al2O3, and Fe2O3, limits the formation of C3S and C2S minerals, leaving residual free calcium oxide [53]. Conversely, at calcination temperatures of 1400 °C and 1450 °C, the incorporation of rice straw, corncob, and sawdust significantly reduced the f-CaO content in the clinker. This effect can be attributed to the presence of alkali metal oxides (e.g., K2O and Na2O) in biomass fuel ash, which lowers the liquid phase formation temperature, facilitates the reaction between CaO and SiO2, accelerates the formation of C2S and C3S mineral phases, and minimizes f-CaO residue. As observed in Figure 5, the f-CaO content of all clinker samples at 1450 °C remains below 1.5 wt%, confirming that complete calcination has been achieved, thereby meeting the specifications of the Chinese national standard.
Figure 5.
f-CaO content of clinker produced at 1350, 1400, and 1450 °C.
3.2.2. XRD Analysis of Clinker
The mineral phases of clinkers prepared with four biomass alternative fuels at a 20 wt% blending ratio were analyzed using XRD, with the corresponding patterns presented in Figure 6. As shown in Figure 6, the predominant mineral phases in the clinker samples include alite (C3S), belite (C2S), aluminate (C3A), and ferrite (C4AF). In the H0 sample, C3S and C2S are identified as the dominant mineral phases, characterized by prominent peaks and a normal distribution. Following the addition of biomass alternative fuels, the clinker samples HSY2, HJM2, and HYMX2 exhibit a weakened characteristic peak for C3S and an enhanced peak for C2S. This phenomenon occurs because alkali metal oxides in the alternative fuel ash either promote the decomposition of C3S or inhibit its formation, leading to the fixation of more SiO2 in C2S [54]. In the H0 sample, the peaks of C3A and C4AF are more pronounced, suggesting that aluminate and aluminoferrite are formed under normal conditions. Following the incorporation of biomass fuel, a reduction in peak intensity for the HSY2, HJM2, and HYMX2 samples was observed, suggesting that some Al2O3 was consumed by alkali sulfates or other by-products. f-CaO and f-MgO are residual phases resulting from incomplete calcination or alkali-induced interference reactions. In the HYMX2 sample, the characteristic peak of f-CaO is markedly weaker compared to the other four samples, suggesting that an appropriate amount of alkali reduces the formation of free calcium oxide and enhances the burnability of raw meal, a result further corroborated by the free calcium oxide content data presented earlier. In the HDG2 sample, a prominent characteristic peak for CaSiO3 was observed, attributed to the high content of siliceous components in rice straw ash, which led to the formation of more inert CaSiO3.
Figure 6.
XRD of clinker mixed with 20wt% biomass fuel. 1: C3S, 2: C2S, 3: C3A, 4: C4AF, 5: f-CaO, 6: f-MgO, 7: CaSiO3.
3.2.3. Cl− Contents Analysis of Clinkers
Based on the previous analysis of clinker XRD and f-CaO content, nine types of clinker calcined at 1450 °C were selected, with 5 wt% dihydrate gypsum added to produce cement, followed by the detection of Cl− content. Detecting Cl− in cement is crucial in the construction industry to ensure the safety and longevity of concrete structures. Excessive Cl− content can lead to the corrosion of reinforcing steel bars. As the use of alternative fuels increases, more chlorine is introduced compared to conventional fossil fuels. Consequently, it is essential to detect the Cl− content in cement. According to China’s national standard GB/T 176-2017, the Cl− content in cement should not exceed 0.06 wt%.
As shown in Figure 7, The Cl− content in cement produced with various biomass alternative fuels and clinker calcined at different substitution ratios ranges from 0.0021% to 0.0028%, which is significantly below China’s national standard limit. This occurs because, on one hand, the basic oxides (K2O and Na2O) in the clinker react with chloride ions at elevated temperatures to form volatile KCl and NaCl. On the other hand, according to the study by Wang et al., it was found that Cl− in cement raw meal reacts with oxides, such as SiO2 and CaO, to form calcium chlorosilicate [Ca3(SiO4)Cl2] [55].
Figure 7.
Cl− content of clinker under different dosage of biomass alternative fuel.
3.2.4. Effect of High Alkali Content on Mineral Phase of Clinker
Figure 8 illustrates the effects of elevated alkali conditions on the mineralogical phases of cement clinker. As shown in Figure 8, in the samples with low potassium content (K1) and low sodium content (N1), the peak intensities of C3S and C2S are notably pronounced, suggesting that the dominant mineral phase in the clinker is calcium silicate. However, as the alkali content increases, the diffraction peaks of C3S weaken progressively, indicating that higher alkali content inhibits the formation of C3S. This occurs because, in a highly alkaline environment, the addition of alkalis significantly lowers the melting point of the liquid phase, facilitating its early formation. This process encapsulates partially reacted C2S particles, thereby impeding their further interaction with CaO. Furthermore, it reduces the melt concentration, enhances ion diffusion, and alters the relative concentration ratio of Ca2⁺ and SiO44− in the melt [56,57]. Consequently, the reaction shifts toward the stable formation of C2S, thereby suppressing the production of C₃S. Concurrently, the diffraction peak of free calcium oxide (f-CaO) becomes more pronounced. Clinker samples with elevated potassium and sodium content exhibit significantly higher f-CaO levels, underscoring the detrimental effect of excessive alkali on the sintering process. Alkalis react with other constituents in the clinker, such as SiO2 and Al2O₃, to form by-products, such as alkali silicates. This process indirectly reduces the consumption of CaO, leading to a higher proportion of free CaO remaining. Additionally, as the alkali content increases, the diffraction peaks of K2SO4, Na2SO4, and Na2Si2O5 emerge and intensify, indicating that alkali facilitates the formation of sulfates and Na2Si2O5.
Figure 8.
XRD analysis of clinker with different alkali content: (a) Different potassium content, (b) Different sodium content. 1: C3S, 2: C2S, 3: C3A, 4: C4AF, 5: f-CaO, 6: Na2SO4, 7: K2SO4, 8: Na2Si2O5.
3.2.5. Cement Physical Property
The flexural and compressive strengths of nine types of cement cured for 3 and 28 days are presented in Table 6. According to China’s national standard GB/T 175-2023, the flexural and compressive strengths of 52.5 Portland cement at 3 and 28 days of curing are 4.5 MPa and 22.0 MPa, and 7.0 MPa and 52.5 MPa, respectively.
Table 6.
Mechanical properties of cement samples at different ages.
- (1)
- As shown in Table 6, within the same curing period, the addition of biomass alternative fuels led to a decrease in the 3-day flexural and compressive strength of the cement, Notably, this effect is particularly pronounced in the cement samples mixed with corncob alternative fuel. As the substitution ratio increases, the flexural strength after three days decreases by approximately 5%. However, after 28 days of curing, the flexural and compressive strengths were comparable to those of the cement without biomass fuel ash. Based on the conclusions drawn in the previous chapter of this study, on the one hand, high alkali content hinders the formation of C3S. On the other hand, when biomass alternative fuels are incorporated, some intermediate products, such as CaSiO3 formed during calcination, cannot be fully converted into C3S or C2S. This observation aligns well with the results obtained from the aforementioned clinker XRD analysis. These minerals, which are crucial for providing cement strength in the middle and late stages, exhibit a slower hydration rate in the early stage. However, after 28 days of continuous hydration, the primary hydration products (e.g., C-S-H gel and Ca(OH)2) stabilize, compensating for the lack of early strength. This further demonstrates that the ash deposited by biomass fuels at lower substitution ratios has a negligible impact on the long-term performance of clinker;
- (2)
- The setting time, standard consistency, specific surface area, and stability are key indicators for assessing the physical properties of cement [58]. As shown in Table 7, the incorporation of biofuel ash reduces the initial setting time of cement, the maximum reduction observed is 13 min. The effect on the final setting time is relatively minor. Furthermore, as the blending ratio of biomass alternative fuels increases, the standard consistency of the cement paste also increases. This is attributed to the rapid dissolution of alkali ions in water, which raises the ion concentration in the paste, thereby altering the hydration reaction rate and necessitating additional water to maintain the paste’s fluidity. Regarding volume stability, certain biomass fuels, such as HDG samples, exhibit slight expansion, primarily attributed to the presence of higher free lime (f-CaO), a finding consistent with the previously discussed XRD analysis of clinker. No significant abnormalities were observed in other aspects.
Table 7. Physical properties of nine cement samples.
3.3. Characterization of Hydration Products
To elucidate the observed mechanical properties of cement comprising 95 wt% clinker (produced at 1450 °C) and 5 wt% dihydrate gypsum, the hydration products and their microstructure were analyzed using XRD, TG, and SEM techniques.
3.3.1. XRD Results
Based on the XRD patterns of the 28-day hydration products of the cement samples shown in Figure 9, the evolution of cement reactivity is consistent across all cases, and comparable hydration products are observed. The diffraction peak of calcium hydroxide(Ca(OH)2) is clearly evident. Silicate is the primary product of calcium silicate hydration, with hydrated calcium silicate forming concurrently. Its presence further confirms that the reaction rate of the cement samples correlates with the reduced intensity of the corresponding clinker peak. This further substantiates the reliability of the data presented in Table 6. Although C-S-H gel is the predominant product after hydration, it does not produce a distinct diffraction peak in the XRD spectrum due to its amorphous nature or its presence in the form of semi-crystalline needles. After 28 days of curing, the hydration of C4AF remains incomplete. In the XRD diffraction patterns of all samples, a minor peak corresponding to the unreacted C4AF is observed at approximately 44.5°. Unlike H0, the other four samples exhibited distinct Na2SO4 diffraction peaks at approximately 32°, attributed to the higher alkali content in the ash of biomass alternative fuels compared to coal ash. The presence of alkali promotes sulfate formation, further corroborating the conclusion drawn in Section 3.2.4.
Figure 9.
XRD patterns of hydration products of produced cement at 28 days. 1: Ca(OH)2, 2: C2S/C3S, 3: C3A, 4: C4AF, 5: Na2SO4.
3.3.2. TG-DTG Analysis
The TG/DTG analysis of 28-day hydration products confirmed that incorporating 20 wt% biomass alternative fuel does not significantly affect the hydration process, consistent with the physical and mechanical test results. As shown in Figure 10, the first weight loss range, occurring between 20 °C and 200 °C, is attributed to the dehydration of adsorbed water in the C-S-H gel layer and the decomposition of ettringite [59,60]. The sub-peaks observed between 200 °C and 400 °C correspond to the decomposition of Friedel’s salt [61,62], while the weight loss between 450 °C and 520 °C is attributed to the dehydroxylation of Ca(OH)2 [63,64]. In the range of 650 °C to 730 °C, significant decomposition of the carbonate phase was detected [65,66,67]. This phenomenon is attributed to the carbonation of hydration products exposed to air. Although the presence of the carbonate phase is undesirable, it remains unavoidable. According to Šavija and Luković, the carbonation of ettringite, C-S-H gels, and portlandite accounts for 70~80% of the total carbonation, while the remaining carbonation is attributed to incomplete hydration of clinkers [68].
Figure 10.
TG-DTG curves for hydration products of the cement pastes at a curing age of 28 days.
3.3.3. SEM Analysis
At the 28-day curing age, the SEM image of the hydration products from the cement paste (HYMX2) is presented in Figure 11. The samples primarily consist of Friedel’s salt, ettringite, portlandite, as well as C-S-H and C-A-S-H gel phases [69,70]. At high magnification, it is observed that Friedel’s salt exhibits a typical layered sheet structure, suggesting that Cl− may react with cement hydration products to form the AFm phase [71]. Ettringite forms columnar crystals as an early hydration product, demonstrating the completeness of the reaction between C3S and gypsum. Ca(OH)2 is distributed as regular flake crystals, and the formation of by-products during the hydration process indicates that the hydration reaction of the sample is more complete [72]. As the primary binding products, C-S-H and C-A-S-H gels exhibit an irregular gel structure, filling pores and demonstrating high compactness, indicating the completeness of the hydration reaction and the effective pore filling [73]. The low magnification image reveals the distribution characteristics of hydration products at the macro scale. The widespread presence of the gel phase suggests that the internal structure of the sample becomes denser after hydration, thereby enhancing the strength of the material. This observation is consistent with the excellent mechanical properties of the cement samples mentioned above. This further confirms that biomass fuels have minimal impact on cement hydration at low substitution ratios.
Figure 11.
SEM analysis of hydration products from cement paste (HYMX2) at a curing age of 28 days.
4. Conclusions
This study investigated the potential of biomass fuels to replace coal during clinker calcination, examined their combustion characteristics, and explored the effects of their ash on clinker formation. The insights gained provide guidance for selecting suitable alternative fuels and optimizing kiln operations, which can improve energy efficiency and clinker quality in cement manufacturing while promoting sustainable fuel use. The following conclusions were drawn:
- (1)
- The co-combustion of biomass fuel and coal can significantly reduce the ignition point of the mixed fuel by up to 54 °C, initiating the combustion reaction earlier and lowering the combustion temperature by approximately 62~93 °C. This facilitates efficient combustion and enhances the overall combustion rate;
- (2)
- High alkaline conditions, introduced by K2CO3 and Na2CO3, stabilized C2S and inhibited its conversion to C₃S. Alkalis also reacted with SiO2, Al2O₃, and Fe2O₃ to form alkali silicates and sulfates, consuming SiO2 and CaO needed for C₃S, thus reducing its content and increasing f-CaO in clinker. However, alkalis do not always have adverse effects. In this study, at a 20 wt% substitution level, the high-alkali ash from corn cobs promoted free CaO dissolution and reaction, likely due to improved combustion uniformity induced by moderate alkali content;
- (3)
- At the studied substitution ratios, all biomass fuels affected clinker mineral phases but had little impact on mechanical strength and hydration products. High-silicon fuels like rice straw promoted calcium silicate intermediate formation. Although 3-day flexural strength was slightly lower (within 5% fluctuation), longer hydration led to formation of C2S, Ca(OH)2, and C-S-H, compensating early strength loss.
Author Contributions
Conceptualization, S.H.; methodology, Z.W.; software, Y.Z.; validation, Z.W., Y.Z. and D.Z.; formal analysis, Z.W.; investigation, Z.W.; resources, S.H.; data curation, Z.W.; writing—original draft preparation, Z.W.; writing—review and editing, Z.W.; visualization, D.Z.; supervision, Z.W.; project administration, D.Z.; funding acquisition, S.H. All authors have read and agreed to the published version of the manuscript.
Funding
The authors are grateful to the support of the Social Development of Science and Technology Department of Jiangsu Province-Major Science and Technology Demonstration Project (BE2022608).
Institutional Review Board Statement
Not applicable.
Informed Consent Statement
Not applicable.
Data Availability Statement
The data presented in this study are available on request from the corresponding author. The data are not publicly available due to privacy.
Conflicts of Interest
The authors declare no conflicts of interest.
References
- Amran, M.; Makul, N.; Fediuk, R.; Lee, Y.H.; Vatin, N.I.; Lee, Y.Y.; Mohammed, K. Global carbon recoverability experiences from the cement industry. Case Stud. Constr. Mater. 2022, 17, e01439. [Google Scholar] [CrossRef]
- Wang, Z.; Huang, W.; Wang, H.; Gao, J.; Zhang, R.; Xu, G.; Wang, Z. Research on the improvement of carbon neutrality by utilizing agricultural waste: Based on a life cycle assessment of biomass briquette fuel heating system. J. Clean. Prod. 2024, 434, 140365. [Google Scholar] [CrossRef]
- Gebreslassie, M.G.; Bahta, S.T.; Mihrete, A.S. Development of alternative fuel for cement industries: The case of Messebo cement factory in Ethiopia. Waste Manag. Bull. 2023, 1, 58–70. [Google Scholar] [CrossRef]
- Rasheed, R.; Tahir, F.; Afzaal, M.; Ahmad, S.R. Decomposition analytics of carbon emissions by cement manufacturing—A way forward towards carbon neutrality in a developing country. Environ. Sci. Pollut. Res. 2022, 29, 49429–49438. [Google Scholar] [CrossRef] [PubMed]
- Balestra, C.E.T.; Dragunski, D.C.; Neckel, R.M.; Silvestro, L.; Savaris, G.; Schneider, R. Fresh Properties of Low-Carbon Cement Pastes Incorporating Industrial By-Products. J. Mater. Civ. Eng. 2025, 37, 04024443. [Google Scholar] [CrossRef]
- Bramantiyo, R.; Lestianingrum, E.; Cahyono, R.B. Industrial Application of Rice Husk as an Alternative Fuel in Cement Production for CO2 Reduction. ASEAN J. Chem. Eng. 2022, 22, 364–372. [Google Scholar] [CrossRef]
- Bahnasawy, N.; Al Anany, S.; Allam, N.K. Electrochemical catalysis for the production of green cement: Towards decarbonizing the cement industry. Catal. Sci. Technol. 2024, 14, 4087–4105. [Google Scholar] [CrossRef]
- Oguntola, O.; Boakye, K.; Simske, S. Towards Leveraging Artificial Intelligence for Sustainable Cement Manufacturing: A Systematic Review of AI Applications in Electrical Energy Consumption Optimization. Sustainability 2024, 16, 4798. [Google Scholar] [CrossRef]
- Barbhuiya, S.; Das, B.B.; Adak, D. Roadmap to a net-zero carbon cement sector: Strategies, innovations and policy imperatives. J. Environ. Manag. 2024, 359, 121052. [Google Scholar] [CrossRef]
- Liu, W.H.; Liu, Y.; Wang, S.Y.; Lei, F.; Liu, X.Y.; Wan, Y.F.; Zhou, Z.Y.; Li, H. Hazardous waste alternative fuels to novel ecological energy: Combustion characteristics and effects on clinker’s environmental safety. Ceram. Int. 2024, 50, 48736–48754. [Google Scholar] [CrossRef]
- Sambataro, L.; Bre, F.; Ukrainczyk, N.; Koenders, E.A.B. Environmental benchmarks for the European cement industry. Sustain. Prod. Consum. 2024, 45, 429–449. [Google Scholar] [CrossRef]
- Yu, B.; Fu, L.L.; Chen, T.B.; Zheng, G.D.; Yang, J.X.; Cheng, Y.; Liu, Y.; Huang, X. Environmental impacts of cement kiln co-incineration sewage sludge biodried products in a scale-up trial. Waste Manag. 2024, 177, 24–33. [Google Scholar] [CrossRef] [PubMed]
- Sgarbossa, A.; Boschiero, M.; Pierobon, F.; Cavalli, R.; Zanetti, M. Comparative Life Cycle Assessment of Bioenergy Production from Different Wood Pellet Supply Chains. Forests 2020, 11, 1127. [Google Scholar] [CrossRef]
- Hashem, F.S.; Razek, T.A.; Mashout, H.A. Rubber and plastic wastes as alternative refused fuel in cement industry. Constr. Build. Mater. 2019, 212, 275–282. [Google Scholar] [CrossRef]
- Huang, M.R.; Ying, X.B.; Shen, D.S.; Feng, H.J.; Li, N.; Zhou, Y.Y.; Long, Y.Y. Evaluation of oil sludge as an alternative fuel in the production of Portland cement clinker. Constr. Build. Mater. 2017, 152, 226–231. [Google Scholar] [CrossRef]
- Recko, K. Production of Alternative Fuels Based on Sewage Sludge. Energies 2024, 17, 48. [Google Scholar] [CrossRef]
- Luo, Z.F.; Song, H.T.; Huang, Y.J.; Jin, B.S. Recent Advances on the Uses of Biomass Alternative Fuels in Cement Manufacturing Process: A Review. Energy Fuels 2024, 38, 7454–7479. [Google Scholar] [CrossRef]
- Çankaya, S. Investigating the environmental impacts of alternative fuel usage in cement production: A life cycle approach. Environ. Dev. Sustain. 2020, 22, 7495–7514. [Google Scholar] [CrossRef]
- Mandal, S.; Adhikari, A.; Chaulagain, A.; Thapa, A.; Gautam, S.M.; Lohani, S.P.; Uprety, B. Techno-enviro-economic assessment of hydropower-driven decarbonization pathways for Nepalese cement industry. J. Environ. Chem. Eng. 2024, 12, 114729. [Google Scholar] [CrossRef]
- Li, T.; Li, W.; Lou, Z.Y.; Wang, L.C. Comprehensive Analysis of Industrial Solid-Waste-to-Energy by Refuse-Derived Fuel Technology: A Case Study in Shanghai. Sustainability 2024, 16, 4234. [Google Scholar] [CrossRef]
- Conversano, A.; Sogni, D.; Lombardelli, G.; Di Bona, D.; Viganò, F.; Consonni, S. Energy and environmental assessment of solid recovered fuels valorisation: Waste-to-Chemicals options vs co-combustion in cement plants. Waste Manag. 2024, 190, 432–442. [Google Scholar] [CrossRef] [PubMed]
- Liao, K.L.L.; Feng, Z.S.; Wu, J.; Liang, H.; Wang, Y.H.; Zeng, W.F.; Wang, Y.C.; Tian, J.P.; Liu, R.; Chen, L.Y.J. Cement kiln geared up to dispose industrial hazardous wastes of megacity under industrial symbiosis. Resour. Conserv. Recycl. 2024, 202, 107358. [Google Scholar] [CrossRef]
- Tihin, G.L.; Mo, K.H.; Onn, C.C.; Ong, H.C.; Taufiq-Yap, Y.H.; Lee, H.V. Overview of municipal solid wastes-derived refuse-derived fuels for cement co-processing. Alex. Eng. J. 2023, 84, 153–174. [Google Scholar] [CrossRef]
- Uliasz-Bochenczyk, A.; Deja, J.; Mokrzycki, E. The use of alternative fuels in the cement industry as part of circular economy. Arch. Environ. Prot. 2021, 47, 109–117. [Google Scholar]
- de Oliveira, A.D.; Ducom, G.; de Castilhos, A.B., Jr.; Peres, S.; Juca, J.F.T.; Perier-Camby, H.; Bayard, R. Refuse derived fuel produced in Brazil: Physico-chemical analysis, standards and opportunities for energy recovery. J. Mater. Cycles Waste Manag. 2025, 27, 666–683. [Google Scholar] [CrossRef]
- Kusuma, R.T.; Hiremath, R.B.; Rajesh, P.; Kumar, B.; Renukappa, S. Sustainable transition towards biomass-based cement industry: A review. Renew. Sustain. Energy Rev. 2022, 163, 112503. [Google Scholar] [CrossRef]
- Park, S.; Ki, D.; Kang, S.Y. Standard operating procedures for utilizing household combustible waste as an alternative fuel for the cement industry. J. Mater. Cycles Waste Manag. 2024, 26, 2853–2863. [Google Scholar] [CrossRef]
- Turakulov, Z.; Kamolov, A.; Norkobilov, A.; Variny, M.; Fallanza, M. Techno-economic and environmental analysis of decarbonization pathways for cement plants in Uzbekistan. Chem. Eng. Res. Des. 2024, 210, 625–637. [Google Scholar] [CrossRef]
- Deng, J.J.; Wang, X.C.; Wei, Z.L.; Wang, L.; Wang, C.Y.; Chen, Z.B. A review of NOx and SOx emission reduction technologies for marine diesel engines and the potential evaluation of liquefied natural gas fuelled vessels. Sci. Total Environ. 2021, 766, 144319. [Google Scholar] [CrossRef]
- Shah, I.A.; Gou, X.; Zhang, Q.; Wu, J.; Wang, E.; Liu, Y. Experimental study on NOx emission characteristics of oxy-biomass combustion. J. Clean. Prod. 2018, 199, 400–410. [Google Scholar] [CrossRef]
- Tosti, L.; van Zomeren, A.; Pels, J.R.; Comans, R.N.J. Evaluating Biomass Ash Properties as Influenced by Feedstock and Thermal Conversion Technology towards Cement Clinker Production with a Lower Carbon Footprint. Waste Biomass Valorization 2021, 12, 4703–4719. [Google Scholar] [CrossRef]
- Hossain, M.U.; Poon, C.S.; Wong, M.Y.K.; Khine, A. Techno-environmental feasibility of wood waste derived fuel for cement production. J. Clean. Prod. 2019, 230, 663–671. [Google Scholar] [CrossRef]
- Pitre, V.; La, H.; Bergerson, J.A. Impacts of alternative fuel combustion in cement manufacturing: Life cycle greenhouse gas, biogenic carbon, and criteria air contaminant emissions. J. Clean. Prod. 2024, 475, 143717. [Google Scholar] [CrossRef]
- Pargar, F.; Talukdar, S.; Pal, K.; Zanotti, C. Hemp Waste Valorization as Biofuel and Cement Replacement in Cement and Concrete Production. Waste Biomass Valorization 2021, 12, 913–923. [Google Scholar] [CrossRef]
- Tsakiridis, P.E.; Samouhos, M.; Perraki, M. Valorization of Dried Olive Pomace as an alternative fuel resource in cement clinkerization. Constr. Build. Mater. 2017, 153, 202–210. [Google Scholar] [CrossRef]
- GB/T 28731-2012; Proximate Analysis of Solid Biofuels. Standardization Administration of China: Beijing, China, 2012.
- GB/T 28732-2012; Determination of Total Sulfur in Solid Biofuels. Standardization Administration of China: Beijing, China, 2012.
- GB/T 28727-2014; Determination of Calorific Value for Solid Biofuels. Standardization Administration of China: Beijing, China, 2014.
- GB/T 33304-2016; Testing Method of Combustion Characteristics of Coal—Thermogravimetric Analysis. Standardization Administration of China: Beijing, China, 2016.
- Cao, H.H.; Liu, W.; Xu, J.C.; Liu, J.; Huang, J.W.; Huang, X.F.; Li, G.M. Utilization of lime-dried sludge for eco-cement clinker production: Effects of different feeding points. Water Sci. Technol. 2018, 77, 960–970. [Google Scholar] [CrossRef]
- Wu, Q.S.; Wu, Y.; Tong, W.H.; Ma, H. Utilization of nickel slag as raw material in the production of Portland cement for road construction. Constr. Build. Mater. 2018, 193, 426–434. [Google Scholar] [CrossRef]
- Huang, M.R.; Feng, H.J.; Li, N.; Shen, D.S.; Zhou, Y.Y.; Jia, Y.F. Addition of large amount of municipal sewage sludge as raw material in cement clinker production. Environ. Sci. Pollut. Res. 2017, 24, 27862–27869. [Google Scholar] [CrossRef]
- GB/T 176-2017; Methods for Chemical Analysis of Cement. Standardization Administration of China: Beijing, China, 2017.
- Pei, T.R.; Zheng, Y.; Wang, Y.L.; Zhang, D.J.; Zhang, P.; Cui, S.P.; Zheng, Y.C.; Zhao, S.X. Utilization of copper tailings in the preparation of low-calcium Portland cement clinker and carbonation-hardening mechanism. Constr. Build. Mater. 2024, 457, 139362. [Google Scholar] [CrossRef]
- GB/T 175-2023; Common Portland Cement. Standardization Administration of China: Beijing, China, 2023.
- Yao, G.; Wang, Q.; Wang, Z.M.; Wang, J.X.; Lyu, X.J. Activation of hydration properties of iron ore tailings and their application as supplementary cementitious materials in cement. Powder Technol. 2020, 360, 863–871. [Google Scholar] [CrossRef]
- Wang, Q.; Yao, G.; Zhu, X.N.; Wang, J.X.; Wu, P.; Lyu, X.J. Preparation of Portland Cement with Gold Ore Tailings. Adv. Mater. Sci. Eng. 2019, 2019, 1324065. [Google Scholar] [CrossRef]
- Yao, G.; Wang, Q.; Su, Y.W.; Wang, J.X.; Qiu, J.; Lyu, X.J. Mechanical activation as an innovative approach for the preparation of pozzolan from iron ore tailings. Miner. Eng. 2020, 145, 106068. [Google Scholar] [CrossRef]
- Lv, T.; Zhang, J.R.; Hou, D.S.; Long, W.J.; Dong, B.Q. Mechanical properties and microstructural characteristics of seawater-mixed sintered sludge cement paste. Constr. Build. Mater. 2024, 414, 134996. [Google Scholar] [CrossRef]
- GB/T 1346-2011; Test Methods for Water Requirement of Normal Consistency, Setting Time and Soundness of the Portland Cement. Standardization Administration of China: Beijing, China, 2011.
- Liu, Y.P.; Yang, C.; Wang, F.Z.; Hu, S.G.; Zhu, M.; Hu, C.L.; Lu, L.N. Performance evaluation of regenerated clinker from completely recyclable mortar. Constr. Build. Mater. 2021, 309, 125184. [Google Scholar] [CrossRef]
- GB/T 21732-2024; Portland Cement Clinker. Standardization Administration of China: Beijing, China, 2024.
- Castillo, J.A.; Brostroem, M.; Eriksson, M. Phase evolution and burnability of cement raw meal. Adv. Cem. Res. 2023, 35, 577–587. [Google Scholar] [CrossRef]
- Huang, L.; Yan, P.Y. Effect of alkali content in cement on its hydration kinetics and mechanical properties. Constr. Build. Mater. 2019, 228, 116833. [Google Scholar] [CrossRef]
- Wang, Q.; Li, J.J.; Yao, G.; Zhu, X.N.; Hu, S.G.; Qiu, J.; Chen, P.; Lyu, X.J. Characterization of the mechanical properties and microcosmic mechanism of Portland cement prepared with soda residue. Constr. Build. Mater. 2020, 241, 117994. [Google Scholar] [CrossRef]
- Sánchez-Herrero, M.J.; Fernández-Jiménez, A.; Palomo, A. Alkaline Hydration Of C2S and C3S. J. Am. Ceram. Soc. 2016, 99, 604–611. [Google Scholar] [CrossRef]
- Sánchez-Herrero, M.J.; Fernández-Jiménez, A.; Palomo, A. C3S and C2S hydration in the presence of Na2CO3 and Na2SO4. J. Am. Ceram. Soc. 2017, 100, 3188–3198. [Google Scholar] [CrossRef]
- Cui, S.H.; Fan, K.J.; Yao, Y. Preparation and characterization of quaternary clinker-free cementitious materials containing phosphorus slag, calcium carbide slag, desulfurization gypsum, and metakaolin. Constr. Build. Mater. 2024, 411, 134602. [Google Scholar] [CrossRef]
- Adu-Amankwah, S.; Douglas, B.; Arkless, L.; Cardinal, N.; Zajac, M. Mixed hydrogen and biofuels cement clinker: Characterisation, microstructure, and performance. Cem. Concr. Compos. 2025, 155, 105814. [Google Scholar] [CrossRef]
- Bhagat, T.S.; Pancharathi, R.K. Performance, microstructure and carbon sequestration potential of agro biochar based cement mortars. Cem. Concr. Compos. 2025, 156, 105867. [Google Scholar] [CrossRef]
- Xue, J.W.; Li, S.M.; Liu, S.H.; Guan, X.M. Effect of Ferrite Phase Content on Hydration Reaction, Mechanical Properties, and Chloride-Binding Behavior of Ordinary Portland Cement. J. Mater. Civ. Eng. 2025, 37, 04024527. [Google Scholar] [CrossRef]
- Si, W.; Ming, X.; Cao, M.L. Time-dependent rheological behavior of hydrating cement paste containing calcium carbonate whiskers. Cem. Concr. Compos. 2024, 154, 105775. [Google Scholar] [CrossRef]
- Liu, Y.; Lyu, H.; Zhu, L.; Hao, L.C.; Zhang, S.P.; Poon, C.S. Rapid CO2 catalytic activation of binary cementing system of CSA and Portland cement. Cem. Concr. Compos. 2024, 154, 105771. [Google Scholar] [CrossRef]
- Yao, J.W.; Song, H.; Ling, W.J.; Yang, Z.X. Effects of municipal solid waste incineration bottom ash on corrosion resistance of cement mortar. Constr. Build. Mater. 2024, 453, 139088. [Google Scholar] [CrossRef]
- Wang, D.Z.; Jin, K.R.; Wang, N.; Zhang, H.W.; Wang, J.H.; Zhou, X.M. Compressive strength and water resistance of magnesium oxysulfate (MOS) cement incorporating magnesium slag. Constr. Build. Mater. 2024, 453, 139053. [Google Scholar] [CrossRef]
- Zhou, M.; Chen, J.Q.; Huang, W.J.; Chao, H.Y.; Yu, L.; Ma, X.; Ouyang, X.W. Multiscale study on the effect of Seashell powder on rheology, hydration and strength development of cement paste. Constr. Build. Mater. 2024, 456, 139257. [Google Scholar] [CrossRef]
- Wang, Z.X.; Sang, G.C.; Yu, H.K.; Zhang, Y.K.; Guo, T.; Cui, X.L.; Cai, P.Y. Preparation of green and durable magnesium oxysulfate cement using sewage sludge ash: Physical properties, microstructure, and leaching behavior. Constr. Build. Mater. 2024, 452, 138951. [Google Scholar] [CrossRef]
- Savija, B.; Lukovic, M. Carbonation of cement paste: Understanding, challenges, and opportunities. Constr. Build. Mater. 2016, 117, 285–301. [Google Scholar] [CrossRef]
- Ahmad, M.R.; Medepalli, S.; Wang, T.; Dai, J.G.; Zheng, Y.Q.; Ishida, T. Effect of alkali-hydroxide on hydration kinetics and microstructure of high-volume fly ash blended cement pastes. Cem. Concr. Res. 2024, 185, 107641. [Google Scholar] [CrossRef]
- Li, K.X.; Yao, J.; Li, X.M.; Li, S.Q.; Li, Z.H.; Li, X.L.; Ling, H. All-solid-waste cementitious materials for grouting: Effects of alkali content and elemental ratios on performance and sustainability. J. Environ. Chem. Eng. 2025, 13, 115000. [Google Scholar] [CrossRef]
- Li, H.W.; Liu, F.; Zhen, H.; Xiong, Z.; Song, Y.Y.; Wang, J.H.; Li, L.J. Evaluating strength, hydration characteristics, microstructure evolution, and sustainability of seawater-sea sand cement-based materials containing iron ore tailings. Constr. Build. Mater. 2024, 457, 139163. [Google Scholar] [CrossRef]
- Gao, Q.W.; Jiu, S.; Chen, Y.X.; Zhao, S.J.; Chen, C.; Jia, R.Q. Modification of low-quality calcined coal gangue and its effect on mechanical properties and microstructure. Constr. Build. Mater. 2025, 458, 139433. [Google Scholar] [CrossRef]
- Ying, J.W.; Li, C.Y.; Tian, J.S.; Chen, B.X.; Tian, Z.Q.; Liang, L.Z.; Liu, Y.; Yan, Z.G. Experimental study on the effect of polycarboxylate-modified three-dimensional porous graphene on the microstructure and properties of ground granulated blast furnace slag-cement based materials. Constr. Build. Mater. 2024, 457, 139492. [Google Scholar] [CrossRef]
Disclaimer/Publisher’s Note: The statements, opinions and data contained in all publications are solely those of the individual author(s) and contributor(s) and not of MDPI and/or the editor(s). MDPI and/or the editor(s) disclaim responsibility for any injury to people or property resulting from any ideas, methods, instructions or products referred to in the content. |
© 2025 by the authors. Licensee MDPI, Basel, Switzerland. This article is an open access article distributed under the terms and conditions of the Creative Commons Attribution (CC BY) license (https://creativecommons.org/licenses/by/4.0/).











