A Hybrid Dropout Method for High-Precision Seafloor Topography Reconstruction and Uncertainty Quantification
Abstract
1. Introduction
- It introduces a hybrid Bayesian deep learning framework that integrates MC-Dropout with adaptive dropout, achieving the concurrent optimization of high-precision reconstruction and uncertainty quantification in seafloor topography reconstruction.
- It analyzes the comprehensive impact of various regularization and uncertainty quantification modules on seafloor topography reconstruction. Traditional models apply uniform regularization, whereas SE-guided adaptive dropout dynamically adjusts to local seabed complexity, enabling risk-sensitive decision-making in marine operations.
- It presents the design of a multi-scale feature extraction network that integrates residual blocks with SE modules and employs sub-pixel convolution and global residual connections during up-sampling, effectively enhancing low-frequency information transfer and recovering high-frequency details.
2. Materials and Methods
2.1. Overall Network Architecture
2.2. SE Channel Attention Module
2.3. Multi-Scale Residual Blocks
2.4. Sub-Pixel Convolution Module
2.5. Regularization and Uncertainty Quantification Module
3. Experiments
3.1. Dataset Selection and Preprocessing
3.2. Loss Function and Training Strategy
3.3. Evaluation Metrics
3.4. Test Set Selection
4. Discussion
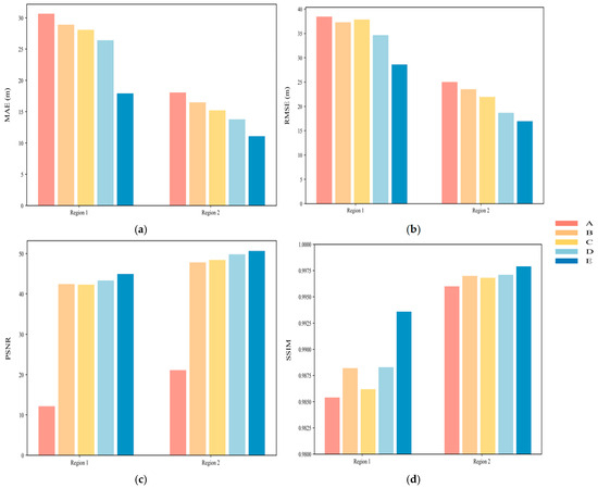
4.1. Reconstruction Accuracy Evaluation
4.2. Uncertainty Analysis
4.3. Impact of Dropout Positioning and Structure on the Networks
4.4. Uncertainty Reliability Analysis for Operational Deployment
5. Limitations
6. Conclusions
Author Contributions
Funding
Institutional Review Board Statement
Informed Consent Statement
Data Availability Statement
Conflicts of Interest
References
- Herkül, K.; Peterson, A.; Paekivi, S. Applying Multibeam Sonar and Mathematical Modeling for Mapping Seabed Substrate and Biota of Offshore Shallows. Estuar. Coast. Shelf Sci. 2017, 192, 57–71. [Google Scholar] [CrossRef]
- Helmlinger, K.R.; Kumar, P. On the Use of Digital Elevation Model Data for Hortonian and Fractal Analyses of Channel Networks. Water Resour. 1993, 29, 2599–2613. [Google Scholar] [CrossRef]
- Wang, S.; Zhang, K.; van Beek, L.P.; Tian, X.; Bogaard, T.A. Physically-Based Landslide Prediction over a Large Region: Scaling Low-Resolution Hydrological Model Results for High-Resolution Slope Stability Assessment. Environ. Model. 2020, 124, 104607. [Google Scholar] [CrossRef]
- Lurton, X. An Introduction to Underwater Acoustics: Principles and Applications, 2nd ed.; Springer: Berlin/Heidelberg, Germany, 2010. [Google Scholar]
- Cui, X.; Liu, H.; Fan, M.; Ai, B.; Ma, D.; Yang, F. Seafloor Habitat Mapping Using Multibeam Bathymetric and Backscatter Intensity Multi-Features SVM Classification Framework. Appl. Acoust. 2021, 174, 107728. [Google Scholar] [CrossRef]
- Lai, L.; Liu, Y.; Zhang, Y.; Cao, Z.; Yin, Y.; Chen, X.; Jin, J.; Wu, S. Long-Term Spatiotemporal Mapping in Lacustrine Environment by Remote Sensing: Review with Case Study, Challenges, and Future Directions. Water Res. 2024, 267, 122457. [Google Scholar] [CrossRef] [PubMed]
- Liu, X.; Hu, H.; Hu, P. Accuracy Assessment of LiDAR-Derived Digital Elevation Models Based on Approximation Theory. Remote Sens. 2015, 7, 7062–7079. [Google Scholar] [CrossRef]
- Goodale, C.; Aber, J.; Ollinger, S. Mapping Monthly Precipitation, Temperature, and Solar Radiation for Ireland with Polynomial Regression and a Digital Elevation Model. Clim. Res. 1998, 10, 35–49. [Google Scholar] [CrossRef]
- Aguilar, F.J.; Agüera, F.; Aguilar, M.A.; Carvajal, F. Effects of Terrain Morphology, Sampling Density, and Interpolation Methods on Grid DEM Accuracy. Photogramm. Eng. Remote Sens. 2005, 71, 805–816. [Google Scholar] [CrossRef]
- Kratzer, J.F.; Hayes, D.B.; Thompson, B.E. Methods for Interpolating Stream Width, Depth, and Current Velocity. Ecol. Model. 2006, 196, 256–264. [Google Scholar] [CrossRef]
- Unser, M.; Aldroubi, A.; Eden, M. Fast B-Spline Transforms for Continuous Image Representation and Interpolation. IEEE Trans. Pattern Anal. Mach. Intell. 1991, 13, 277–285. [Google Scholar] [CrossRef]
- Jiao, D.; Wang, D.; Lv, H.; Peng, Y. Super-Resolution Reconstruction of a Digital Elevation Model Based on a Deep Residual Network. Open Geosci. 2020, 12, 1369–1382. [Google Scholar] [CrossRef]
- Zhang, Y.; Yu, W.; Zhu, D. Terrain Feature-Aware Deep Learning Network for Digital Elevation Model Superresolution. ISPRS J. Photogramm. Remote Sens. 2022, 18, 143–162. [Google Scholar] [CrossRef]
- Dong, C.; Loy, C.C.; He, K.; Tang, X. Image Super-Resolution Using Deep Convolutional Networks. IEEE Trans. Pattern Anal. Mach. Intell. 2016, 38, 295–307. [Google Scholar] [CrossRef]
- Kim, J.; Lee, J.K.; Lee, K.M. Accurate Image Super-Resolution Using Very Deep Convolutional Networks. In Proceedings of the IEEE Conference on Computer Vision and Pattern Recognition, Las Vegas, NV, USA, 27–30 June 2016; pp. 1646–1654. [Google Scholar]
- Ledig, C.; Theis, L.; Huszár, F.; Caballero, J.; Cunningham, A.; Acosta, A.; Aitken, A.P.; Tejani, A.; Totz, J.; Wang, Z.; et al. Photo-Realistic Single Image Super-Resolution Using a Generative Adversarial Network. In Proceedings of the 2017 IEEE Conference on Computer Vision and Pattern Recognition (CVPR), Honolulu, HI, USA, 21–26 July 2017; pp. 105–114. [Google Scholar]
- Wang, H.; Liu, S.; Chen, Y. Underwater Image Super-Resolution via Multi-Scale Feature Fusion. IEEE Access 2020, 8, 123456–123465. [Google Scholar]
- Wang, X.; Zhang, C.; Zhang, Y. Multi-Scale Generative Adversarial Network for Underwater Image Restoration. In Proceedings of the CVPR Underwater Vision Workshop, Vancouver, BC, Canada, 17–24 June 2023; pp. 123–130. [Google Scholar]
- Kendall, A.; Gal, Y. What Uncertainties Do We Need in Bayesian Deep Learning for Computer Vision? In Proceedings of the Advances in Neural Information Processing Systems 30, Long Beach, CA, USA, 4–9 December 2017; pp. 5574–5584. [Google Scholar]
- Ma, J.; Huang, Z.; Wang, Y. Diverse Image Super-Resolution via Probabilistic Modeling. IEEE Trans. Image Process. 2021, 30, 3762–3774. [Google Scholar]
- Liu, Y.; Li, S.; Yan, W.; Suo, Y.; Wang, L.; Zou, Z.; Wu, L. High-Resolution Digital Bathymetric Model (DBM) with Uncertainty Reconstructed by Deep Learning with Dropout. IEEE Trans. Geosci. Remote Sens. 2024, 62, 5914717. [Google Scholar] [CrossRef]
- Gal, Y.; Ghahramani, Z. Dropout as a Bayesian Approximation: Representing Model Uncertainty in Deep Learning. In Proceedings of the 33rd International Conference on Machine Learning, New York, NY, USA, 20–22 June 2016; Volume 48, pp. 1050–1059. [Google Scholar]
- Gal, Y.; Hron, J.; Kendall, A. Concrete Dropout. arXiv 2017, arXiv:1705.07832. [Google Scholar]
- Kingma, D.P.; Salimans, T.; Welling, M. Variational Dropout and the Local Reparameterization Trick. In Proceedings of the Advances in Neural Information Processing Systems 28, Montreal, QC, Canada, 7–12 December 2015; pp. 2575–2583. [Google Scholar]
- Louizos, C.; Welling, M.; Kingma, D.P. Learning Sparse Neural Networks through L0 Regularization. arXiv 2017, arXiv:1712.01312. [Google Scholar]
- Molchanov, D.; Ashukha, A.; Vetrov, D.P. Variational Dropout Sparsifies Deep Neural Networks. In Proceedings of the 34th International Conference on Machine Learning, Sydney, Australia, 6–11 August 2017. [Google Scholar]
- Ghiasi, G.; Lin, T.; Le, Q.V. DropBlock: A Regularization Method for Convolutional Networks. In Proceedings of the Advances in Neural Information Processing Systems 31, Montreal, QC, Canada, 3–8 December 2018. arXiv:1810.12890. [Google Scholar]
- Fabbri, C.; Islam, M.J.; Sattar, J. Enhancing Underwater Imagery Using Generative Adversarial Networks. In Proceedings of the OCEANS 2018 MTS/IEEE Kobe Techno-Ocean, Kobe, Japan, 28–31 May 2018; pp. 1–5. [Google Scholar]
- Lakshminarayanan, B.; Pritzel, A.; Blundell, C. Simple and Scalable Predictive Uncertainty Estimation Using Deep Ensembles. In Proceedings of the Advances in Neural Information Processing Systems 30, Long Beach, CA, USA, 4–9 December 2017; pp. 6402–6413, arXiv:1612.01474. [Google Scholar]
- Li, Y.; Swersky, K.; Zemel, R. Dropout Inference in Bayesian Neural Networks with Alpha-Divergences. In Proceedings of the 35th International Conference on Machine Learning, Stockholm, Sweden, 10–15 July 2018; Volume 80, pp. 2882–2891, arXiv:1802.02538. [Google Scholar]
- Lee, J.; Cho, S. Bayesian Uncertainty Estimation for Batch Normalized Deep Networks with MC Dropout. arXiv 2018, arXiv:1802.06455. [Google Scholar]
- Frick, T.; Antognini, D.; Giurgiu, I.; Grewe, B.F.; Malossi, C.; Zhu, R.J.B.; Rigotti, M. MC Layer Normalization for Calibrated Uncertainty in Deep Learning. Trans. Mach. Learn. Res. 2024. [Google Scholar] [CrossRef]
- Zhang, R.; Li, Z.; Sun, H. Image Super-Resolution Using Very Deep Residual Channel Attention Networks. arXiv 2018, arXiv:1807.02758. [Google Scholar]
- Zhou, A.; Chen, Y.; Wilson, J.P.; Su, H.; Xiong, Z.; Cheng, Q. An Enhanced Double-Filter Deep Residual Neural Network for Generating Super Resolution DEMs. Remote Sens. 2021, 13, 30–89. [Google Scholar] [CrossRef]
- Zhu, D.; Cheng, X.; Zhang, F.; Yao, X.; Gao, Y.; Liu, Y. Spatial Interpolation Using Conditional Generative Adversarial Neural Networks. Int. J. Geogr. Inf. Sci. 2020, 34, 735–758. [Google Scholar] [CrossRef]
- Hu, J.; Shen, L.; Sun, G. Squeeze-and-Excitation Networks. In Proceedings of the IEEE Conference on Computer Vision and Pattern Recognition (CVPR), Salt Lake City, UT, USA, 18–23 June 2018; pp. 7132–7141. [Google Scholar]
- He, K.; Zhang, X.; Ren, S.; Sun, J. Deep Residual Learning for Image Recognition. In Proceedings of the Conference on Computer Vision and Pattern Recognition, Las Vegas, NV, USA, 30 June 2016; pp. 770–778. [Google Scholar]
- Shi, W.; Caballero, J.; Huszár, F.; Totz, J.; Aitken, A.P.; Bishop, R.; Rueckert, D.; Wang, Z. Real-Time Single Image and Video Super-Resolution Using an Efficient Sub-Pixel Convolutional Neural Network. In Proceedings of the IEEE Conference on Computer Vision and Pattern Recognition (CVPR), Las Vegas, NV, USA, 27–30 June 2016; pp. 1874–1883. [Google Scholar]
- Keys, R.G. Cubic Convolution Interpolation for Digital Image Processing. IEEE Trans. Acoust. Speech Signal Process. 1981, 29, 1153–1160. [Google Scholar] [CrossRef]
- Kong, X.; Liu, X.; Gu, J.; Qiao, Y.; Dong, C. Reflash Dropout in Image Super-Resolution. In Proceedings of the IEEE/CVF Conference on Computer Vision and Pattern Recognition (CVPR), New Orleans, LA, USA, 18–24 June 2022; pp. 5992–6002. [Google Scholar]
- Chen, Y.; Yi, Z. Adaptive Sparse Dropout: Learning the Certainty and Uncertainty in Deep Neural Networks. Neurocomputing 2021, 450, 354–361. [Google Scholar] [CrossRef]
- Dusenberry, M.; Jerfel, G.; Wen, Y.; Ma, Y.; Snoek, J.; Heller, K.; Lakshminarayanan, B.; Tran, D. Efficient and Scalable Bayesian Neural Nets with Rank-1 Factors. In Proceedings of the 37th International Conference on Machine Learning, Online, 12–18 July 2020; pp. 2782–2792. [Google Scholar]
- Tomar, D.; Lortkipanidze, M.; Vray, G.; Bozorgtabar, B.; Thiran, J.-P. Self-Attentive Spatial Adaptive Normalization for Cross-Modality Domain Adaptation. IEEE Trans. Med. Imaging 2021, 40, 2926–2938. [Google Scholar] [CrossRef]
- Ioffe, S.; Szegedy, C. Batch Normalization: Accelerating Deep Network Training by Reducing Internal Covariate Shift. arXiv 2015, arXiv:1502.03167. [Google Scholar]
- Han, Y.; Huang, G.; Song, S.; Yang, L.; Wang, H.; Wang, Y. Dynamic Neural Networks: A Survey. IEEE Trans. Pattern Anal. Mach. Intell. 2022, 44, 7436–7456. [Google Scholar] [CrossRef]
- Cho, K.; Merrienboer, B.V.; Gülçehre, Ç.; Bahdanau, D.; Bougares, F.; Schwenk, H.; Bengio, Y. Learning Phrase Representations Using RNN Encoder–Decoder for Statistical Machine Translation. In Proceedings of the 2014 Conference on Empirical Methods in Natural Language Processing (EMNLP), Doha, Qatar, 25–29 October 2014. [Google Scholar]
- Smith, L.; Gal, Y. Understanding Measures of Uncertainty for Adversarial Example Detection. arXiv 2018, arXiv:1803.08533. [Google Scholar]
- Nix, D.A.; Weigend, A.S. Estimating the Mean and Variance of the Target Probability Distribution. In Proceedings of the 1994 IEEE International Conference on Neural Networks (ICNN’94), Orlando, FL, USA, 28 June–2 July 1994; Volume 1, pp. 55–60. [Google Scholar]
- Zhou, W.; Bovik, A.C.; Sheikh, H.R.; Simoncelli, E.P. Image Quality Assessment: From Error Visibility to Structural Similarity. IEEE Trans. Image Process. 2004, 13, 600–612. [Google Scholar] [CrossRef]
- Amante, C.; Eakins, B.W. ETOPO1 1 Arc-Minute Global Relief Model: Procedures, Data Sources and Analysis; Technical Report; NOAA, National Geophysical Data Center, Marine Geology and Geophysics Division Boulder: Boulder, CO, USA, 2009. [Google Scholar]
- Tozer, B.; Sandwell, D.T.; Smith, W.H.F.; Olson, C.; Beale, J.R.; Wessel, P. Global Bathymetry and Topography at 15 Arc Sec: SRTM15+. Earth Space Sci. 2019, 6, 1847–1864. [Google Scholar] [CrossRef]
- Agarwal, S. Data Mining: Data Mining Concepts and Techniques. In Proceedings of the 2013 International Conference on Machine Intelligence and Research Advancement, Katra, India, 21–23 December 2013; pp. 203–207. [Google Scholar]
- Guo, C.; Pleiss, G.; Sun, Y.; Weinberger, K.Q. On Calibration of Modern Neural Networks. arXiv 2017, arXiv:1706.04599. [Google Scholar]
- Srivastava, N.; Hinton, G.E.; Krizhevsky, A.; Sutskever, I.; Salakhutdinov, R. Dropout: A Simple Way to Prevent Neural Networks from Overfitting. J. Mach. Learn. Res. 2014, 15, 1929–1958. [Google Scholar]
- Blundell, C.; Cornebise, J.; Kavukcuoglu, K.; Wierstra, D. Weight Uncertainty in Neural Networks. arXiv 2015, arXiv:1505.05424. [Google Scholar]
- Ovadia, Y.; Fertig, E.; Ren, J.; Nado, Z.; Sculley, D.; Nowozin, S.; Dillon, J.; Lakshminarayanan, B.; Snoek, J. Can You Trust Your Model’s Uncertainty? Evaluating Predictive Uncertainty under Dataset Shift. In Proceedings of the Advances in Neural Information Processing Systems 32, Vancouver, BC, Canada, 8–14 December 2019; pp. 13969–13980. [Google Scholar]
- Ma, X.; Li, H.; Chen, Z. Feature-Enhanced Deep Learning Network for Digital Elevation Model Super-Resolution. IEEE J. Sel. Top. Appl. Earth Observ. Remote Sens. 2023, 16, 5670–5685. [Google Scholar] [CrossRef]
- Lin, X.; Zhang, Q.; Wang, H.; Yao, C.; Chen, C.; Cheng, L.; Li, Z. A DEM Super-Resolution Reconstruction Network Combining Internal and External Learning. Remote Sens. 2022, 14, 2181. [Google Scholar] [CrossRef]
- Zhang, R.; Bian, S.; Li, H. RSPCN: Super-Resolution of Digital Elevation Model Based on Recursive Sub-Pixel Convolutional Neural Networks. ISPRS Int. J. Geo-Inf. 2021, 10, 501. [Google Scholar] [CrossRef]








| Number | Grid Spacing | Additional Information | Data Access |
|---|---|---|---|
| 1 | 1 arcsecond | Bass Strait Bathymetry, 2022, 30 m | http://pid.geoscience.gov.au/dataset/ga/147043 (accessed on 23 November 2024) |
| 2 | 1 arcsecond | Australian Bathymetry Topography (Torres Strait), 2023, 30 m | https://pid.geoscience.gov.au/dataset/ga/144348 (accessed on 23 November 2024) |
| 3 | 1 arcsecond | Great Barrier Reef A, 2020, 30 m, 10–17° S, 143–147° E Great Barrier Reef B, 2020, 30 m, 16–23° S, 144–149° E Great Barrier Reef C, 2020, 30 m, 18–24° S, 148–154° E Great Barrier Reef D, 2020, 30 m, 23–29° S, 150–156° E | https://pid.geoscience.gov.au/dataset/ga/115066 (accessed on 23 November 2024) |
| Methods | Region | RMSE (m) | MAE (m) | PSNR | SSIM | Uncertainty Support? |
|---|---|---|---|---|---|---|
| Bicubic | 1 | 34.5594 | 21.2502 | 43.3237 | 0.9779 | × |
| SRCNN | 1 | 32.1561 | 21.0215 | 43.8784 | 0.9801 | × |
| TfaSR | 1 | 28.7836 | 18.8731 | 45.0951 | 0.9837 | × |
| A | 1 | 38.4642 | 30.6453 | 42.1614 | 0.9854 | √ |
| B | 1 | 34.6503 | 26.4019 | 43.3009 | 0.9853 | √ |
| C | 1 | 38.8842 | 29.079 | 42.2996 | 0.9862 | √ |
| D | 1 | 38.3193 | 29.9445 | 42.4276 | 0.9902 | √ |
| E | 1 | 28.6333 | 17.9121 | 44.9576 | 0.9836 | √ |
| Bicubic | 2 | 24.4517 | 14.3723 | 47.1467 | 0.9945 | × |
| SRCNN | 2 | 22.2462 | 13.5474 | 48.0248 | 0.9951 | × |
| TfaSR | 2 | 17.4057 | 12.3447 | 49.5074 | 0.9969 | × |
| A | 2 | 25.0381 | 18.0733 | 21.1249 | 0.9969 | √ |
| B | 2 | 18.8816 | 13.7713 | 49.9433 | 0.9759 | √ |
| C | 2 | 21.9648 | 15.2127 | 48.4265 | 0.9972 | √ |
| D | 2 | 23.5467 | 16.4875 | 47.8225 | 0.9974 | √ |
| E | 2 | 16.9891 | 11.0828 | 50.6577 | 0.9969 | √ |
| Methods | Region | Error Variance (m2) | Entropy (Nats) | ECE (%) |
|---|---|---|---|---|
| A | 1 | 1480.9277 | 1.368 | 30.6711 |
| B | 1 | 1467.23027 | 0.6491 | 11.4844 |
| C | 1 | 1353.9114 | 0.6027 | 25.2278 |
| D | 1 | 1179.5446 | 0.611 | 8.201 |
| E | 1 | 793.4338 | 0.6062 | 7.9098 |
| A | 2 | 614.3796 | 1.1005 | 18.2485 |
| B | 2 | 552.3226 | 0.5114 | 6.4101 |
| C | 2 | 477.3412 | 0.5043 | 10.7168 |
| D | 2 | 309.480927 | 0.506536 | 5.91834 |
| E | 2 | 242.1961 | 0.5021 | 4.0804 |
| Sampling Counts (N) | R 1 ECE (%) | R 2 ECE (%) | Inference Time (s) | R 1 PSNR | R 2 PSNR |
|---|---|---|---|---|---|
| 10 | 12.34 | 7.45 | 0.35 | 44.85 | 50.58 |
| 20 | 8.12 | 5.23 | 0.70 | 44.91 | 50.61 |
| 50 | 7.91 | 4.08 | 1.25 | 44.96 | 50.66 |
| 100 | 5.92 | 3.56 | 2.50 | 44.95 | 50.65 |
| Methods | SNR (dB) | Region | RMSE (m) ↓ | PSNR (dB) ↑ | SSIM ↑ | Error Variance (m2) | ECE (%) ↓ |
|---|---|---|---|---|---|---|---|
| TfaSR | 10 | 1 | 41.27 | 38.52 | 0.931 | 2154.39 | 22.17 |
| E | 10 | 1 | 33.15 | 42.86 | 0.962 | 1276.55 | 14.05 |
| TfaSR | 20 | 1 | 32.16 | 43.88 | 0.975 | 1480.27 | 15.34 |
| E | 20 | 1 | 28.89 | 46.21 | 0.981 | 832.74 | 8.93 |
| TfaSR | 30 | 1 | 28.78 | 45.10 | 0.984 | 1353.91 | 12.45 |
| E | 30 | 1 | 28.63 | 44.96 | 0.984 | 793.43 | 7.91 |
| TfaSR | 10 | 2 | 29.45 | 40.27 | 0.945 | 1783.22 | 19.83 |
| E | 10 | 2 | 23.18 | 45.12 | 0.971 | 1042.17 | 11.24 |
| TfaSR | 20 | 2 | 19.54 | 48.02 | 4.08 | 921.45 | 10.55 |
| E | 20 | 2 | 17.32 | 50.15 | 0.993 | 489.33 | 5.89 |
| TfaSR | 30 | 2 | 17.41 | 49.51 | 0.997 | 477.34 | 8.92 |
| E | 30 | 2 | 16.99 | 50.66 | 0.997 | 242.20 | 4.08 |
Disclaimer/Publisher’s Note: The statements, opinions and data contained in all publications are solely those of the individual author(s) and contributor(s) and not of MDPI and/or the editor(s). MDPI and/or the editor(s) disclaim responsibility for any injury to people or property resulting from any ideas, methods, instructions or products referred to in the content. |
© 2025 by the authors. Licensee MDPI, Basel, Switzerland. This article is an open access article distributed under the terms and conditions of the Creative Commons Attribution (CC BY) license (https://creativecommons.org/licenses/by/4.0/).
Share and Cite
Cui, X.; Li, H.; Yu, Y.; Bian, S.; Zhai, G. A Hybrid Dropout Method for High-Precision Seafloor Topography Reconstruction and Uncertainty Quantification. Appl. Sci. 2025, 15, 6113. https://doi.org/10.3390/app15116113
Cui X, Li H, Yu Y, Bian S, Zhai G. A Hybrid Dropout Method for High-Precision Seafloor Topography Reconstruction and Uncertainty Quantification. Applied Sciences. 2025; 15(11):6113. https://doi.org/10.3390/app15116113
Chicago/Turabian StyleCui, Xinye, Houpu Li, Yanting Yu, Shaofeng Bian, and Guojun Zhai. 2025. "A Hybrid Dropout Method for High-Precision Seafloor Topography Reconstruction and Uncertainty Quantification" Applied Sciences 15, no. 11: 6113. https://doi.org/10.3390/app15116113
APA StyleCui, X., Li, H., Yu, Y., Bian, S., & Zhai, G. (2025). A Hybrid Dropout Method for High-Precision Seafloor Topography Reconstruction and Uncertainty Quantification. Applied Sciences, 15(11), 6113. https://doi.org/10.3390/app15116113

