Impacts of Thermal Maturity on the Carbon Isotopes of Hopane Compounds in Lacustrine Shale During Compaction Pyrolysis Experiments
Abstract
1. Introduction
2. Samples and Experiments
2.1. Samples
2.2. Experiments
2.2.1. Compaction Pyrolysis Experiment

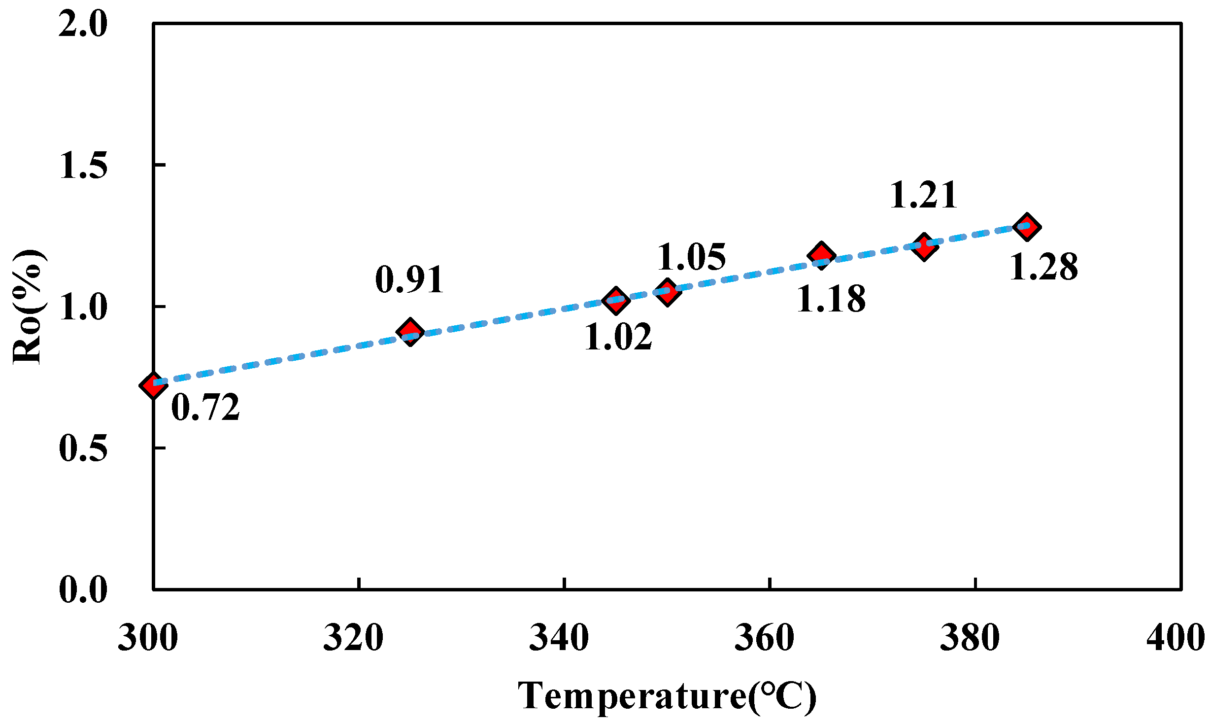
2.2.2. Vitrinite Reflectance
2.2.3. Soxhlet Extraction and Hopane Separation
2.2.4. GC-MS and GC-IRMS Analysis
3. Results and Discussion
3.1. Pyrolysis Experiment Hydrocarbon Yield
3.2. Composition Characteristics of Biomarkers
3.3. Hopane Isotope
3.3.1. Reliability of Experimental Results
3.3.2. Overall Variation Range of Carbon Isotopes of Hopane Monomers
3.3.3. Variation in Hopane Composition and Carbon Isotopes of Their Monomers with Temperature
3.3.4. Relationship Between Carbon Isotopes of Monomeric Hopane Hydrocarbons and Hydrocarbon Generation
3.4. Geological Significances
4. Conclusions
Author Contributions
Funding
Institutional Review Board Statement
Informed Consent Statement
Data Availability Statement
Acknowledgments
Conflicts of Interest
References
- Briggs, D.E.; Summons, R.E. Ancient biomolecules: Their origins, fossilization, and role in revealing the history of life. BioEssays 2014, 36, 482–490. [Google Scholar] [CrossRef] [PubMed]
- Tissot, B.P.; Pelet, R.; Roucache, J. Alkanes as geochemical fossils indicators of geological environments. In Advances in Organic Geochemistry 1975; Campos, R., Goni, J., Eds.; Enadimsa: Jakarta, Indonesia, 1977; pp. 117–154. [Google Scholar]
- Peters, K.E.; Walters, C.C.; Moldowan, J.M. The Biomarker Guide, Biomarkers and Isotopes in Petroleum Exploration and Earth History; Cambridge University Press: Cambridge, UK, 2005. [Google Scholar]
- Peters, K.E.; Moldowan, J.M. Effects of source, thermal maturity, and biodegradation on the distribution and isomerization of homohopanes in petroleum. Org. Geochem. 1991, 17, 47–61. [Google Scholar] [CrossRef]
- Bjorøy, M. Variation in stable carbon isotope ratios of individual hydrocarbons as a function of artificial maturity. Org. Geochem. 1992, 19, 89–105. [Google Scholar] [CrossRef]
- Shi, J.Y.; Xiang, M.J.; Zhou, Y.P. Study on carbon isotopic ratio of individual compound in hopanes. Acta Sedimentol. Sin. 2000, 2, 310–313. [Google Scholar]
- Oba, Y.; Naraoka, H. Carbon and hydrogen isotopic fractionation of low molecular weight organic compounds during ultraviolet degradation. Org. Geochem. 2008, 5, 501–509. [Google Scholar] [CrossRef]
- Lu, H.; Chai, P.X.; Sun, Y.G.; Peng, P.A. Study on stable carbon isotopic compositions of n-alkanes and isoprenoids for crude oils from Well Lunnan 14, Tarim Basin. Acta Sedimentol. Sin. 2002, 3, 477–481. [Google Scholar]
- Clayton, C.J.; Bjorøy, M. Effect of maturity on 13C/12C ratios of individual compounds in North Sea oils. Org. Geochem. 1994, 21, 737–750. [Google Scholar] [CrossRef]
- Breck, D.W. Zeolite molecular sieves: Structure, chemistry and use: Interscience-Wiley, New York. Anal. Chim. Acta 1975, 75, 493. [Google Scholar]
- Xie, S.C.; Nott, C.J.; Avsejs, L.A.; Volders, F.; Maddy, D.; Chambers, F.M.; Gledhill, A.R.; Carter, J.F.; Evershed, R.P. Palaeoclimate records in compound-specific δD values of a lipid biomarkers in ombrotrophic peat. Org. Geochem. 2000, 31, 1053–1057. [Google Scholar] [CrossRef]
- Huang, Y.S.; Street-Perrott, F.A.; Perrott, R.A.; Metzger, P.; Eglinton, G. Glacial-interglacial environment changes inferred from molecular and compound-specific δ13C analyses of sediments from Sacred Lake, Mt. Kenya. Geochim. Cosmochim. Acta 1999, 63, 1383–1404. [Google Scholar] [CrossRef]
- Eglinton, G.; Hamilton, R.J. Leaf epicuticular waxes. Science 1967, 156, 1322–1335. [Google Scholar] [CrossRef] [PubMed]
- Rielley, G.; Collier, R.J.; Jones, D.M.; Eglinton, G. The biogeochemistry of Ellesmere Lake, UK: Source correlation of leaf wax inputs to the sedimentary lipid record. Org. Geochem. 1991, 17, 901–912. [Google Scholar] [CrossRef]
- Yamada, K.; Ishiwatari, R. Carbon isotopic compositions of long-chain n-alkanes in the Japan Sea sediments: Implication for paleoenvironmental changes over the past 85 kyr. Org. Geochem. 1990, 30, 367–377. [Google Scholar] [CrossRef]
- Kiepper, A.P.; Casilli, A.; Azevedo, D.A. Depositional paleoenvironment of Brazilian crude oils from unusual biomarkers revealed using comprehensive two dimensional gas chromatography coupled to time of flight mass spectrometry. Org. Geochem. 2014, 70, 62–75. [Google Scholar] [CrossRef]
- Zhang, Y.D.; Sun, Y.G.; Chen, J.P. Geochemical evidence of lake environments favorable for the formation of excellent source rocks: A case study from the third member of the Eocene Shahejie Formation in the Qikou Sag, Bohai Bay Basin, eastern China. Mar. Pet. Geol. 2022, 136, 105435. [Google Scholar] [CrossRef]
- Volkman, J.K.; Zhang, Z.; Xie, X.; Qin, J.; Borjigin, T. Biomarker evidence for Botryococcus and a methane cycle in the Eocene Huadian oil shale, NE China. Org. Geochem. 2015, 78, 121–134. [Google Scholar] [CrossRef]
- Sun, F.N.; Hu, W.X.; Cao, J.; Wang, X.L.; Zhang, Z.R.; Ramezani, J.; Shen, S.Z. Sustained and intensified lacustrine methane cycling during Early Permian climate warming. Nat. Commun. 2022, 13, 4856. [Google Scholar] [CrossRef]
- Duan, Y.; Ma, L.H. Several problems concerned with stable carbon isotopic geochemistry of biomarker compounds. Adv. Earth Sci. 1996, 11, 356–361. [Google Scholar]
- Guo, Z.; Yang, Z.; Lin, T.; Li, J. Compound-specific carbon isotope compositions of individual n-alkanes in the East China Sea mud areas. Q. Sci. 2006, 3, 384–390. [Google Scholar]
- Hofreiter, M.; Collins, M.; Stewart, J.R. Ancient biomolecules in quaternary palaeoecology. Q. Sci. Rev. 2012, 33, 1–13. [Google Scholar] [CrossRef]
- Xie, X.M.; Borjigin, T.; Zhang, Q.Z.; Zhang, Z.R.; Qin, J.Z.; Bian, L.Z.; Volkman, J.K. Intact microbial fossils in the Permian Lucaogou Formation oil shale, Junggar Basin, NW China. Int. J. Coal Geol. 2015, 146, 166–178. [Google Scholar] [CrossRef]
- Liu, B.; Bechtel, A.; Sachsenhofer, R.F.; Gross, D.; Gratzer, R.; Chen, X. Depositional environment of oil shale within the second member of Permian Lucaogou Formation in the Santanghu Basin, Northwest China. Int. J. Coal Geol. 2017, 175, 10–25. [Google Scholar] [CrossRef]
- Wang, L.; Song, Z.G.; Cao, X.Z.; Li, Y. Compound specific carbon isotope study on the hydrocarbon biomarkers in la-custrine source rocks from Songliao Basin. Org. Geochem. 2015, 87, 68–77. [Google Scholar] [CrossRef]
- Li, E.T.; Jin, J.; Chen, J.; Wang, M.; Mi, J.L.; Gao, X.W. Study on biomarkers and carbon isotopic compositions of monomer hydrocarbons in asphaltene pyrolysis products from biodegraded heavy oil. Geochimica 2019, 3, 284–292. [Google Scholar]
- Zhao, M.J.; Huang, D.P.; Zhang, S.C. An on-line carbon isotope study of hydrocarbon monomers in crude oils from Tarim Basin. Pet. Explor. Dev. 1994, 3, 52–59. [Google Scholar]
- Grice, K.; Audino, M.; Boreham, C.J.; Alexander, R.; Kagi, R.I. Distributions and stable carbon isotopic compositions of biomarkers in torbanites from different palaeogeographical locations. Org. Geochem. 2001, 32, 1195–1210. [Google Scholar] [CrossRef]
- Ding, W.J.; Hou, D.J.; Li, L.; Jiang, L.; Zhang, Z.M.; Jiang, Y.H.; George, S.C. Reconstructing the palaeoecology of a middle Permian alkaline lake using molecular fossils, case study of the Lucaogou Formation in the Junggar Basin, NW China. Org. Geochem. 2024, 193, 104791. [Google Scholar] [CrossRef]
- Lu, Z.D.; Chen, Z.L.; Liu, Y.; Xu, Y.H.; Wen, Z.G.; Ding, K.L.; Tian, Y.J. A small-scale neutral alumina column chromatography method for carbon isotope determination of hopanes in crude oils or rock extracts. J. Chromatogr. A 2023, 1689, 463729. [Google Scholar] [CrossRef]
- Bao, J.; Liu, Y.; Fan, Y.P.; Xu, Y.H.; Ding, K.L.; Wen, Z.G.; Li, Y.; Gao, Y.; Zhang, C.Y.; Li, L. Influence of thermal maturity on carbazole distributions in coal source rocks during compaction pyrolysis experiments. Sci. Rep. 2024, 14, 6848. [Google Scholar] [CrossRef]
- Zheng, L.J.; Heng, S.; Qin, J.Z.; Ma, Z.L. Formation water of near-critical properties and its effects on the processes of hydrocarbon generation and expulsion. Earth Sci. 2011, 36, 83–92. [Google Scholar]
- Zhao, H.; Ma, Z.L.; Zheng, L.J.; Tan, J.Q.; Li, Q.; Wang, Z.H.; Ning, C.X. Geochemical characteristics of hydrocarbon products under thermal simulation of temperature and pressure co-control in finite space. Nat. Gas. Geosci. 2020, 31, 73–83. [Google Scholar]
- Li, Z.M.; Zheng, L.J.; Ma, Z.L.; Xu, E.S.; Yu, X.L.; Jin, G.X.; Mu, X.S. Simulation of source rock for hydrocarbon generation and expulsion in finite space and its significance. Pet. Geol. Exp. 2011, 33, 447–451+459. [Google Scholar]
- Zheng, L.J.; Guan, D.F.; Guo, X.W.; Ma, Z.L. Key geological conditions affecting pyrolysis experiments of marine source rocks for hydrocarbon generation. Earth Sci. 2015, 40, 909–917. [Google Scholar]
- Ma, Z.L.; Zheng, L.J.; Li, Z.M. The thermocompression simulation experiment of source rock hydrocarbon generation and expulsion in formation porosity. Acta Sedimentol. Sin. 2012, 30, 955–963. [Google Scholar]
- He, C.; Zheng, L.J.; Wang, Q.; Ma, Z.L.; Ma, J.F. Experimental development and application of source rock thermal simulation for hydrocarbon generation and expulsion. Pet. Geol. Exp. 2021, 43, 862–870. [Google Scholar]
- Craig, H. Isotopic standards for carbon and oxygen and correction factors for mass-spectrometric analysis of carbon dioxide, Geochim. Cosmochim. Acta 1957, 12, 133–149. [Google Scholar] [CrossRef]
- Freeman, K.H.; Hayes, J.M.; Trendel, J.M.; Albrecht, P. Evidence from carbon isotope measurements for diverse origins of sedimentary hydrocarbons. Nature 1990, 343, 254–256. [Google Scholar] [CrossRef]
- Peters, K.E.; Moldowan, J.M.; Schoell, M. Petroleum isotopic and biomarker composition related to source rock organic matter and depositional environment. Org. Geochem. 1986, 10, 17–27. [Google Scholar] [CrossRef]
- Tan, X.F.; Wang, J.; Lei, L.D.; Kuang, H.; Gao, H.C.; Wang, W.Q. Material differentiation and its response to the “PETM” events in continental fault lake during the early Paleogene period: A case study of Kongdian Formation in Jiyang Depression. Earth Sci. 2016, 41, 1893–1908. [Google Scholar]
- Hayes, J.M.; Freeman, K.H.; Popp, B.N.; Christopher, H.H. Compound-specific isotopic analyses: A novel tool for reconstruction of ancient biogeochemical processes. Org. Geochem. 1990, 16, 1115–1128. [Google Scholar] [CrossRef]
- Huang, L.; Chernyak, S.M.; Batterman, S.A. PAHs (polycyclic aromatic hydrocarbons), nitro-PAHs, and hopane andterane biomarkers in sediments of southern Lake Michigan, USA. Sci. Total Environ. 2014, 487, 173–186. [Google Scholar] [CrossRef] [PubMed]
- Wang, W.C.; Xu, Y.C.; Manfred, S.; Eckhard, F.; Wolfgang, S. The Geochemical Characteristics of Carbon and Hydrogen Isotopes of Kerogens of Various Maturity and Depositional Environments. Acta Sedimentol. Sin. 1997, 15, 133–137. [Google Scholar]
- Zhang, M.; Li, J.; Chen, Z.L. Thermal Effect on the Distribution of Rearranged Hopanes in Hydrocarbon Source Rocks. Acta Sedimentol. Sin. 2018, 36, 1033–1039. [Google Scholar] [CrossRef]
- Tocqué, E.; Behar, F.; Budzinski, H.; Lorant, F. Carbon isotopic balance of kerogen pyrolysis effluents in a closed system. Org. Geochem. 2005, 36, 893–905. [Google Scholar] [CrossRef]
- Li, Z.G.; Sun, J.; Fang, W.; Xu, C.L.; Huang, C.Y. Characteristics of the carbon isotopes of the biomarkers in member qing-1 mudstones in songliao basin. Pet. Geol. Oilfield Dev. Daqing 2012, 31, 19–23. [Google Scholar]






| Formation | Depth (m) | TOC (%) | S1 (mg/g) | S2 (mg/g) | Tmax (°C) | HI (mg/g TOC) | Ro (%) |
|---|---|---|---|---|---|---|---|
| Ek2 | 2090.5–2105.6 | 4.38 | 0.67 | 35.88 | 444 | 819 | 0.31 |
| Compound Name | Temperature (°C) | ||||||
|---|---|---|---|---|---|---|---|
| 300 | 325 | 345 | 350 | 365 | 375 | 385 | |
| Ts | −47.95 | −48.98 | −48.05 | −46.22 | −58.24 | −52.83 | −50.79 |
| Tm | −49.06 | −50.81 | −52.12 | −49.94 | −58.20 | −59.15 | −58.98 |
| C29αβ | −57.47 | −54.82 | −65.19 | −60.21 | −55.69 | −60.63 | −64.41 |
| C29 Ts | −55.80 | −54.93 | −69.74 | −72.24 | −58.22 | −59.26 | −69.67 |
| C29βα | −61.82 | −59.37 | −62.04 | −62.37 | −61.70 | −60.25 | −59.65 |
| C30αβ | −68.63 | −67.97 | −67.26 | −65.81 | −66.52 | −62.15 | −68.00 |
| C30βα | −64.75 | −70.54 | −67.08 | −67.00 | −67.02 | −66.70 | −67.70 |
| 22S-homohopane | −66.38 | −66.77 | −58.16 | −52.00 | −73.31 | −63.65 | −61.18 |
| 22R-homohopane | −59.59 | −60.78 | −56.29 | −53.56 | −66.95 | −62.65 | −61.06 |
| Gammacerane | −27.80 | −26.16 | −26.45 | −26.73 | −26.16 | −28.92 | −29.53 |
Disclaimer/Publisher’s Note: The statements, opinions and data contained in all publications are solely those of the individual author(s) and contributor(s) and not of MDPI and/or the editor(s). MDPI and/or the editor(s) disclaim responsibility for any injury to people or property resulting from any ideas, methods, instructions or products referred to in the content. |
© 2025 by the authors. Licensee MDPI, Basel, Switzerland. This article is an open access article distributed under the terms and conditions of the Creative Commons Attribution (CC BY) license (https://creativecommons.org/licenses/by/4.0/).
Share and Cite
Li, L.; Liu, Y.; Wang, X.; Xu, Y.; Wen, Z.; Chen, H.; Yan, G.; Lu, Z.; Chen, Z.; Guo, Z. Impacts of Thermal Maturity on the Carbon Isotopes of Hopane Compounds in Lacustrine Shale During Compaction Pyrolysis Experiments. Appl. Sci. 2025, 15, 5469. https://doi.org/10.3390/app15105469
Li L, Liu Y, Wang X, Xu Y, Wen Z, Chen H, Yan G, Lu Z, Chen Z, Guo Z. Impacts of Thermal Maturity on the Carbon Isotopes of Hopane Compounds in Lacustrine Shale During Compaction Pyrolysis Experiments. Applied Sciences. 2025; 15(10):5469. https://doi.org/10.3390/app15105469
Chicago/Turabian StyleLi, Lu, Yan Liu, Xing Wang, Yaohui Xu, Zhigang Wen, Haowei Chen, Gang Yan, Zhongdeng Lu, Zulin Chen, and Zeyang Guo. 2025. "Impacts of Thermal Maturity on the Carbon Isotopes of Hopane Compounds in Lacustrine Shale During Compaction Pyrolysis Experiments" Applied Sciences 15, no. 10: 5469. https://doi.org/10.3390/app15105469
APA StyleLi, L., Liu, Y., Wang, X., Xu, Y., Wen, Z., Chen, H., Yan, G., Lu, Z., Chen, Z., & Guo, Z. (2025). Impacts of Thermal Maturity on the Carbon Isotopes of Hopane Compounds in Lacustrine Shale During Compaction Pyrolysis Experiments. Applied Sciences, 15(10), 5469. https://doi.org/10.3390/app15105469

