Abstract
The Cuk power factor correction (PFC) converter with an input inductor operating discontinuous conduction mode (DCM) is widely utilized for its advantages of continuous input and output currents, low output voltage ripple, and simple control. However, the conventional Cuk PFC converter encounters issues such as the inability to achieve high power factor (PF) because of input current distortion and high intermediate capacitor voltage, especially at high input voltage. To achieve high PF, high efficiency, and low intermediate capacitor voltage simultaneously, by operating the output inductor at critical conduction mode (CRM) and adjusting input inductance from 170 µH to 930 µH within the half-line cycle dynamically with the transient rectified input voltage, a DCM-CRM Cuk PFC converter utilizing variable inductor control is proposed in this paper. The topology operational principle, control strategy, and key characteristics of the proposed converter have been studied. A 108 W experimental prototype was built and tested to validate the proposed converter. According to the comparative experimental results between the conventional converter and the proposed converter, it can be concluded that the proposed converter utilizing variable inductor control can enhance the PF and efficiency and reduce the intermediate capacitor voltage and total harmonic distortion (THD) of input current with universal 90~240 Vac input voltage range.
1. Introduction
With the rapid advancement of electronic devices, the demand for switching power supplies has surged significantly. Power factor correction (PFC) converters have been extensively utilized to mitigate input current distortion and ensure compliance with stringent harmonic standards. Certain commercial power supply products must comply with the IEC 61000-3-2 standard to mitigate the potential damage to the power grid caused by harmonic injection [1,2,3,4,5].
Among the various PFC converter topologies commonly used, the Boost converter is particularly favored because of its ability to achieve low input current ripple and maintain high efficiency. However, the Boost PFC converter faces several challenges, including high output voltage due to the need for the output voltage to exceed the peak input voltage, large input inrush current, and difficulty in achieving output short-circuit protection. These limitations restrict the applicability of the Boost PFC converter in certain scenarios [2,3,4]. The conventional Buck PFC converter offers advantages such as low voltage stress on the power switch and effective step-down conversion. Nevertheless, its operation is limited to lower voltage conditions. When the input voltage falls below the output voltage, a dead zone in the input current occurs, leading to a degraded power factor (PF) and increased total harmonic distortion (THD) of the input current. This restricted output voltage range further limits the applicability of the Buck PFC converter [5,6,7]. The Buck-Boost PFC converter offers inherent current shaping, cost-effectiveness, and the capability to perform both step-up and step-down conversions. However, compared to the traditional Boost and Buck converters, Buck-Boost PFC presents several drawbacks including low efficiency and high voltage stress of the main power switch due to the inductor only supplying energy to the load when the main switch is off, and the discontinuous input current leading to worse harmonic distortion in the power grid [8,9].
The Cuk converter, introduced by Slobodan Cuk in 1977 [10], features an input stage similar to a Boost converter, which provides the advantage of continuous input current and can be used for achieving PFC. The output stage of the Cuk converter resembles a Buck converter, enabling DC-DC conversion. Consequently, the Cuk converter generates minimal electromagnetic interference and output voltage ripple, which seems to be a better candidate in the basic PFC converter topology [11], leading to its widespread application in recent years. In [12], a Cuk PFC converter is used for driving brushless DC motors, which reduces system power consumption, achieves high efficiency, and also lowers costs. In [13], to improve the efficiency of the two-stage converters for electric bike battery charging, a switched inductor Cuk PFC converter was proposed. Compared to conventional two-stage converters, this topology offers advantages such as higher voltage gain, reduced current stress, and improved efficiency. In [14], a three-phase-isolated Cuk converter-based PFC rectifier is proposed. The converter operates in discontinuous output inductor current mode and requires only a simple voltage control loop to achieve PFC for the AC input. This design reduces the system cost while enhancing reliability and efficiency. Therefore, the Cuk PFC converter is widely used in many applications, but it still has some shortcomings.
In [15], the harmonic balance method and Floquet theory are used to study the influence of intermediate capacitance on the slow-scale instability of operating in discontinuous capacitor voltage mode with a Cuk PFC converter. The research results show that with the increase in intermediate capacitance, the stability of the converter will be reduced due to period-doubling bifurcation, thereby reducing PF. The bridgeless Cuk PFC converter, by reducing the number of semiconductors in the circuit, lowers conduction losses and finds widespread application in various fields. However, it is challenging for the converter to achieve both high PF and low intermediate capacitor voltage simultaneously during normal operation and the converter can only operate under low input voltage [16,17,18]. In [19], a Cuk PFC converter utilizing a variable inductor is proposed, which makes both output and input inductors operate in DCM. The implementation of variable inductor (VI) control effectively enhances the PF of the converter. However, at high input voltages, the peak current in the output inductor becomes significantly large, which increases the current stress on the switch, ultimately reducing the efficiency of the converter.
Variable inductor technology has changed the characteristics of inductor components, transforming the inductor from a fixed inductance component to a variable inductance component. VI technology can add an extra control variable to the switching power supply circuit, allowing the switching power supply to change from only adjusting the duty cycle to simultaneously adjusting both the duty cycle and power inductance. Therefore, VI technology has attracted considerable interest from many researchers.
Recent advancements in science and technology have spurred rapid development in magnetic materials, leading researchers to propose various types of variable inductors. Commonly used variable inductors include DC auxiliary winding types such as the toroid core VI, double-E core VI, and quad-U core VI [20,21,22,23,24]. These designs utilize DC magnetic flux to drive core saturation, thereby altering the core equivalent magnetic permeability to adjust the inductance value.
A variable inductor offers inherent flexibility of the inductance variation, which allows converters to handle more complex operating conditions. Variable inductors have been extensively applied in many cases such as PFC converters, electric vehicles, electronic ballasts, and LED drivers [24,25,26,27,28,29,30]. In order to improve the current handling ability and reduce the size of the magnetic component of the power inductor, a toroid core variable inductor, which enhances the inductance value by de-saturating the core with DC magnetic flux generated by a direct current, is proposed to replace the conventional power inductor in the bidirectional DC-DC converter in [24]. In [25], a double-E core type variable inductor is employed in a critical conduction mode (CRM) Boost PFC circuit proposed to change the inductance value, thereby increasing the switching period, minimizing switch turn-off losses, and enhancing system efficiency.
In [26], a new analog control method is utilized to improve the PF of Boost PFC operated at CRM. It has been pointed out that the poor PF is due to the input current phase lead caused by the presence of an input capacitor. It can increase PF by producing a lagging current utilizing a variable inductor to compensate for the input current phase lead. In [28], the power of the fluorescent lamp is adjusted by controlling the inductance value to achieve the purpose of dimming, thereby enhancing the linear dimming range and achieving high efficiency and high PF. A unidirectional resonant switched-capacitor step-up converter for OLED driving is proposed in [29]. This converter combines a variable inductor with a capacitor in series to control the OLED current and adjust the brightness.
Variable inductor technology is a technique that can change the magnitude of inductance by controlling the saturation level of the inductance core to operate the inductance in a nonlinear region, thereby changing the magnetic permeability of the magnetic circuit and achieving changes in inductance value. In recent years, some scholars have also conducted research on inductors working in nonlinear regions in switch-mode power supplies and proposed corresponding analysis methods to better understand their working characteristics and their effect on converter systems.
A method for estimating the current flowing through nonlinear power inductors in DC/DC converters was proposed in [31] and applied to Boost converters. The proposed method uses a polynomial third-order inductor model to estimate the current distribution at which the inductor reaches saturation, providing a complete evaluation of the current, including distribution, peak value, root mean square value, and spectrum. In [32], a dedicated measurement rig was developed to reflect the behavior of inductance during saturation and temperature rise. And it is pointed out that the saturation current and loss of the inductor decrease and increase respectively with the increase in temperature.
To achieve a high power factor while maintaining a low intermediate capacitor voltage and ensuring high efficiency with wide input voltages, by operating the input inductor at DCM and the output inductor at CRM, a DCM-CRM Cuk PFC converter utilizing variable inductor control is proposed in this paper, wherein the input inductance value is precisely regulated by DC magnetic flux bias. According to [33,34,35], when the inductor in a Boost converter operates in DCM, the converter can inherently realize PFC without the need for additional control circuitry. Furthermore, studies in [36,37] indicate that a Buck converter operating in CRM exhibits higher efficiency compared to its operation in DCM. Given that the input stage of a Cuk converter is analogous to a Boost converter and its output stage mirrors a Buck converter, the Cuk converter inherently benefits from these advantageous characteristics. Therefore, this paper configures the input inductor to operate in DCM and the output inductor in CRM.
A detailed analysis of the converter topological principle, control strategy, and operational characteristics is provided in this paper. To validate the probability of the proposed approach, a 108 W experimental prototype was built and tested. The test results confirmed the accuracy of the theoretical analysis and demonstrated the effectiveness of the proposed control method. The experimental results demonstrate that the proposed converter not only reduces the intermediate capacitor voltage but also enhances the PF and improves efficiency with wide input voltages.
This paper is organized into 5 sections. In Section 2, the characteristics and operating principles of the conventional DCM-CRM Cuk PFC converter are presented. In Section 3, the proposed DCM-CRM Cuk PFC converter with VI control is introduced, including a detailed explanation of its operational principles and analysis of key features. A comprehensive comparison of experimental results of the conventional and proposed Cuk PFC converters is also provided in Section 4, and the conclusions are summarized in Section 5.
2. Operation Principle of the Conventional DCM-CRM Cuk PFC
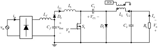
The main circuit configuration of the conventional DCM-CRM Cuk PFC converter is depicted in Figure 1. As illustrated, the main components include a rectifier bridge, an input LC filter Lf and Cf, two power diodes D0 and D1, a power switch S1, an input inductor L1, an output inductor L2 with auxiliary winding for zero current detection, an intermediate capacitor C1, and an output capacitor C2.
Figure 1.
Main power circuit of the conventional DCM-CRM Cuk PFC converter.
The operating waveforms of the conventional DCM-CRM Cuk PFC converter are depicted in Figure 2. From top to bottom, the waveforms illustrate the switching drive signal Vg, the input inductor current iL1, and the output inductor current iL2. The DCM-CRM Cuk PFC converter undergoes three distinct operating modes within each switching cycle.
Figure 2.
Key operation waveforms.
Mode I (0–t0): During this interval, the drive signal Vg activates the switch, causing the voltage at the left terminal of the intermediate storage capacitor C1 to drop rapidly to zero. And since the voltage at the two ends of the capacitor cannot be changed abruptly, the voltage at the right end of the capacitor becomes negative. This results in the diode D1 being subjected to reverse voltage, thereby turning it off. The AC power source charges the input inductor L1 through diode D0 and switch S1. Simultaneously, the intermediate energy storage capacitor C1 powers the output inductor L2, output capacitor C2, and load via the S1. The increasing slopes of the currents flowing through the input and output inductors can be expressed as
where vrec denotes the rectified voltage; VC1 represents the voltage across the intermediate capacitor C1; and Vo indicates the output voltage.
Mode II (t0–t1): In this mode, the driving signal Vg turns off the switch, while diode D0 remains in conduction. Diode D1 is subjected to a positive voltage, initiating conduction to provide access to the input circuit. The rectified voltage vrec and the input inductor L1 commence charging the intermediate capacitor C1 through D0 and D1. Meanwhile, the output capacitor C2 stores energy transferred from the output inductor L2. The rate of voltage decrease across both input and output inductors can be expressed as
Mode III (t1–t2): The input inductor current iL1 drops to zero, causing diode D0 to turn off, while diode D1 remains conducting. During this phase, the output inductor L2 supplies the load through D1, forming the output circuit, and the current iL2 continues to decrease. When the output inductor current iL2 reaches zero, it is detected by the zero-crossing detection (ZCD) module. This triggers the driving signal Vg to turn on the switch, transitioning L2 to CRM, and initiating the next operating cycle of the converter.
According to Equation (1), during one switching cycle, the peak current iL1_pk(t) through the input inductor L1 can be expressed as
where ton is the turn-on time of switch S1 within one switching period, it is critical for determining the peak current iL1_pk(t) through the input inductor L1. VM is the amplitude value of the AC input voltage. ω is the angular frequency of the AC input voltage. The discharge time toff1 of iL1 can be derived from the volt–second balance of the input inductor L1.
Thus, based on (5) and (6), the input current iin(t) is represented by the average current iL1(t) flowing through the input inductor during the switching cycle. Consequently, the input current can be given as
where Ts is the switching period and toff1 is the time for the input inductor current to drop to zero. According to (2), the peak current iL2_pk(t) of the output inductor L2 can be expressed as
The average output inductor current is equivalent to the output current; hence, the output current Io can be expressed as
where toff2 is the discharge time for the output inductor current to drop to zero. Based on the volt–second balance of inductor L2, the L2 discharge time toff2 formula can be expressed as
As shown in Figure 2, the output inductor operates in CRM mode, and from Equation (9), the peak current iL2_pk(t) of the inductor L2 can also be expressed as
Substituting Equation (10) into Equation (9) yields an expression for the conduction time ton of the switch as
Neglecting the voltage ripple of the intermediate capacitor, Equations (8) and (11) indicate that, when the converter is delivering energy to the load, the conduction time ton of S1 can also be expressed as
When the switch is turned off, by associating Equations (10) and (13), the turn-off time Toff of switch S1 is obtained as
From (5), it can be seen that the discharge time of the inductor L1 is the longest when iL1_pk(t) reaches the maximum at |sin(ωt)| = 1 in a half-line cycle, and the longest discharge time toffmax can be expressed as
Inductor L1 can be operated in DCM mode for the entire frequency cycle by making it operate in DCM mode at the peak input voltage. The conditions for the inductor L1 to operate in DCM mode can be expressed as
By associating (15) and (16), the condition under which the inductor L1 works in DCM can be obtained as
Without considering the converter losses, it can be obtained based on the conservation of input power and output power:
According to (7) and (12), Equation (18) can be rewritten as
where K = L2/L1. Based on Equation (7), the expression of PF can be expressed as
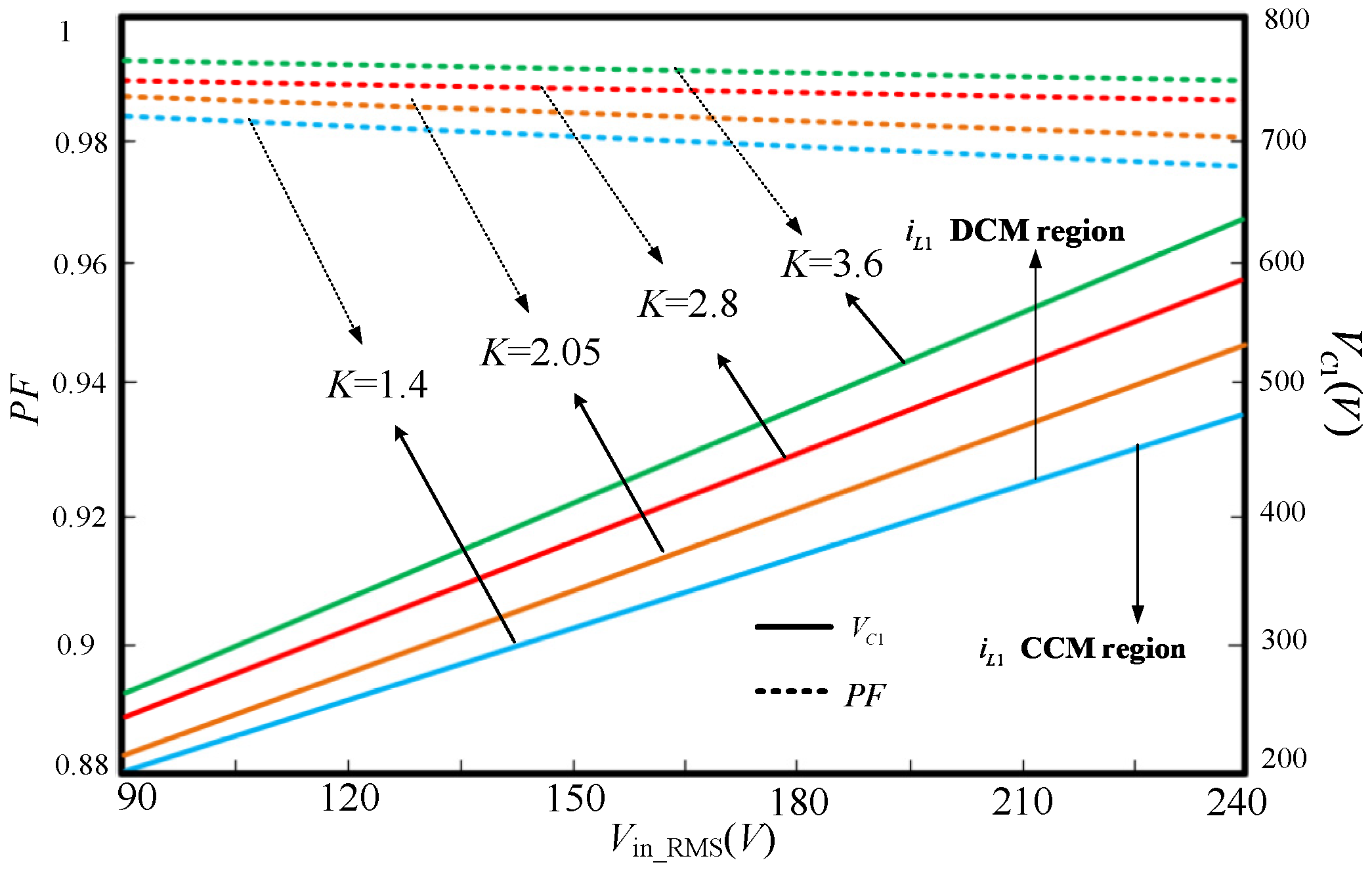
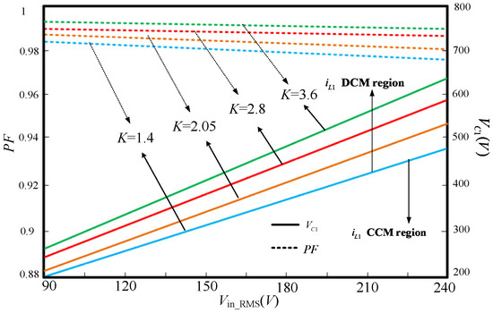
According to (19), the magnitude of VC1 can be computed using an iterative method once the load parameters are established. Figure 3 illustrates the variations in the PF and the intermediate capacitor voltage as functions of the effective input voltage Vin_RMS for different ratios of K. From Figure 3, it is evident that, for a constant K, VC1 increases with the increase in Vin_RMS. Concurrently, within the range of 90 Vac to 240 Vac, the PF experiences a slight decrease as Vin_RMS rises. Additionally, for a given Vin_RMS, VC1 rises with an increase in the ratio K, while the PF diminishes as K decreases.
Figure 3.
The relation curves of Vin_RMS and PF, VC1 with different ratios K.
The critical value of the K value when the inductor operates in DCM mode under the entire AC input voltage range and given load can be determined by the limiting condition Equation (17) for the input inductor operating in DCM mode and the relationship Equation (19) for the intermediate capacitor voltage under the conventional control method. When K equals or exceeds this threshold, the inductor operates in DCM mode; if K is below this threshold, the inductor operates in CCM mode. Therefore, the variation curve can be obtained from the obtained K value and Equation (19), as shown in Figure 3. It can be seen that VC1 is only related to the value of K under a certain load condition. In the region of K < 1.4, L1 operates in CCM mode, and in the region of K ≥ 1.4, L1 operates in DCM mode.
To ensure that the input inductor L1 operates within the DCM mode constraints, and based on the analysis from Figure 3, it was observed that when 1.4 < K< 3.6, the PF remains above 0.96. As the input voltage is fixed, the intermediate capacitor voltage VC1 increases with the rise in the K value, necessitating a higher withstanding voltage rating for the intermediate storage capacitor C1.
According to the above derivation of the VC1 and PF value of the conventional converter, it can be known that both the PF and the intermediate capacitor voltage are influenced by the ratio K = L2/L1. An increase in the ratio K leads to a higher PF, however, it simultaneously results in an elevation of the VC1. Based on the comprehensive comparison of PF and the intermediate capacitor voltage, K = 2.05 was selected in this paper. However, Capacitors rated above 450 V are expensive and offer lower cost-effectiveness. Consequently, achieving both a high PF and a low intermediate capacitor voltage becomes challenging. To address this problem, a DCM-CRM Cuk PFC converter based on variable inductor control which dynamically adjusts the input inductor in response to variations in the transient rectified input voltage is proposed in this paper. Since both the PF and VC1 are related to the ratio K, it is possible to change the inductance of L1 during the half-line cycle and change the ratio K in real time. In contrast to the conventional Cuk PFC converter, the converter proposed in this paper utilizes a variable inductor as the input inductor. The inductance is dynamically adjusted according to a specific control strategy to achieve a high power factor while effectively reducing the voltage of the intermediate capacitor. Concurrently, the output inductor current remains constant, leading to a reduction in peak inductor current compared to the approach. This decrease in current stress and switching losses subsequently enhances the overall efficiency of the converter.
3. Operating Principle and Performance of DCM-CRM Cuk PFC Converter Utilizing VI Control
3.1. Operating Principle of VI
The principle of the variable inductor is based on the core structure characteristics, wherein a bias winding is integrated with the main winding of the power inductor. By injecting DC current through the bias winding, the saturation level of certain sections of the magnetic circuit can be controlled. This, in turn, alters the magnetic permeability of those sections, thereby allowing the overall inductance value to be adjusted. The variable inductor employed in this study utilizes an EI core, with its basic schematic diagram presented in Figure 4. The main winding of the input inductor is wound with n3 turns on the center leg of the EI core, while an air gap of l0 is introduced. To control the inductance, auxiliary windings are symmetrically wound on both outer legs of the EI core. Each auxiliary winding consists of an equal number of turns, denoted as n1 and n2, respectively. An air gap is introduced in the center leg of the EI core, altering its permeability. The relative permeability of the center leg is denoted as µ3, while the permeability of the air gap is represented by µ0. To minimize the induced electromotive force in the auxiliary windings caused by changes in the main winding current, the auxiliary windings are wound with an equal number of turns on the left and right outer legs of the core. These windings are connected in series with opposite polarities. The relative permeabilities of the left and right outer legs are denoted as µ1 and µ2, respectively.
Figure 4.
Variable inductor LV with EI core.
In Figure 4, l3, l1, l2, and l0 represent the lengths of the center leg, the left outer leg, the right outer leg, and the air gap, respectively, where l1 = l2. The areas of the center leg, left outer leg, and right outer leg are denoted as A3, A1, and A2, respectively. The cross-sectional area of the air gap is represented as A0, with A1 = A2, A3 = A0. The magnetic fluxes in the center leg, left outer leg, and right outer leg are denoted as Φ3, Φ1, and Φ2, respectively.
According to Kirchhoff’s second law, the relationship between the magnetomotive force F and magnetoresistance R can be obtained.
According to the formula derived from the variable inductance flux theory in [22], the magnetic flux of the main winding of the variable inductance of the EI magnetic core can be obtained as follows
According to Equation (22), the fundamental expression for the variable inductor model depicted in Figure 4 can be derived as follows
When selecting the magnetic core, the number of winding turns, the effective length of the magnetic circuit, and the effective cross-sectional area for magnetic flux are predetermined. Once the air gap l0 is determined, only the core permeability, µvar =µ1= µ2, is variable, and it changes in response to the bias current ibias.
When ibias is applied to n1 and n2, a bias magnetic flux Φbias is established along the outer legs of the EI core. As Φbias increases, the permeability of the core along this path decreases, and the magnetic flux Φbias shifts the operating point on the B-H curve toward the nonlinear saturation region. Concurrently, the passage of iLV through n3 induces a main magnetic flux ΦLV.
The primary inductor LV, as shown in Equation (23), is influenced by the permeability of both the center and outer legs, since ΦLV flows through both legs. As a result, the bias current ibias reduces the effective permeability of the outer legs, leading to a decrease in the main inductor LV.
3.2. Operation Principle of DCM-CRM Cuk PFC Converter Based on Variable Inductor Control
Observing the input current Equation (7), if the input inductor of the DCM-CRM Cuk PFC converter can be a variable inductor whose inductance varies according to the following Formula (24), the input current will be an ideal sinusoid.
where Linitial is a constant value.
Based on the variable inductance in Expression (24), a DCM-CRM Cuk PFC converter utilizing variable inductor control is proposed as illustrated in Figure 5. This converter replaces the conventional input inductor with a variable inductor and integrates a calculation unit and a control unit to dynamically adjust the input inductance of the converter. The main power circuit components of the proposed DCM-CRM Cuk PFC converter are almost identical to the conventional DCM-CRM Cuk converter, except for replacing the constant input inductor with a variable input inductor.
Figure 5.
Control circuit for DCM-CRM Cuk PFC Converter with variable inductor.
The control circuit of the proposed converter primarily comprises an output regulation circuit, a calculation unit of the variable inductor to obtain the value of input variable inductor LV, and a variable inductor control circuit to control the bias current flowing through the bias winding of outer legs. The output regulation circuit utilizes voltage mode control, while the calculation unit of the variable inductor is achieved by a digital control board with an STM32 microcontroller. The variable inductor control circuit primarily includes an operational amplifier, a power Mosfet S2, and a bias resistor Rbias.
The output error signal is generated by amplifying the difference between the feedback signal of the output voltage sampling circuit and the reference voltage Vref. This error signal is then fed to the negative input of the comparator. When the output inductor current drops to zero moment, ZCD auxiliary winding voltage experiences a high to low jump variation. At this time, the RS flip-flop detects the level variation of ZCD auxiliary winding at this moment, then S1 is turned on, and then the current source Idc by charging the capacitor C3 so that the capacitor voltage continues to rise until it exceeds the error signal. Furthermore, the RS flip-flop output is low level to make the switch off, so the output inductor current iL2 is linearly down, and so on. The inductance of the input variable inductor LV is determined by the calculation result of the calculation unit of the variable inductor with the input signal of the sampled rectified input voltage and the calculated intermediate capacitor voltage. The bias voltage of the input signal of the variable inductor control circuit is converted from the digital output signal of the calculation unit of the variable inductor unit to an analog signal by the DAC block. This bias voltage Vbias is then converted into a bias current ibias by a voltage-controlled current source comprising an operational amplifier, a bias resistor Rbias, and a MOSFET S2 operating in saturation mode. The resulting bias current ibias is subsequently injected into the auxiliary winding of the variable input inductor LV through the variable inductor control circuit, thereby achieving the desired inductance value.
The proposed converter is operated in DCM-CRM mode. Figure 6 shows the key waveforms of the output inductor current iL2 and the input inductor current iLV as well as the timing of the switch drive signal during the half-line cycle. The LV operates in the DCM mode and the output inductor L2 operates in the CRM mode.
Figure 6.
Key waveforms in half-line cycle.
3.3. Input Inductor Variation Range
Based on the condition that the input inductor operates in DCM and the subsequent analysis, coupled with the circuit parameters detailed in Table 1, an initial value Linitial of 170 µH was chosen for the variable inductor LV. According to (24) and considering the relationship between the intermediate capacitor voltage VC1 and the input voltage, the variation range of the inductor LV over a half-line cycle can be depicted as illustrated in Figure 7.
Table 1.
Key Circuit Parameters.
Figure 7.
The variation range of the input inductor LV.
It can be seen from Figure 7 that when the input voltage varies from 90 Vac to 240 Vac, the variable inductor varies from about 170 µH to 930 µH. The LV varies with the rectifier input voltage within the half-line cycle.
To verify the relationship between the bias current and the inductance of the input variable inductor prototype, a DC bias current, which is created by connecting a DC voltage source in series with an electronic load operating in constant current mode, is applied to the bias winding of the variable inductor, then the real inductance of input variable inductor is measured by the Chroma 3302 component analyzer. According to measurement data, the relationship curve of the bias current and the variable inductance is shown in Figure 8. When the bias current increases from 0 A to 1 A, the variation range of the variable inductor is from 170 µH to 1050 µH. When the DC current injected into the bias winding is 0, the permeability of the left and right outer leg µvar is not affected, and the inductance value is about 1050 μH. With the gradual increase in the bias current, the permeability of the left and right outer leg µvar decreases, and the variable inductance also decreases. When the bias current reaches the designed maximum of 1 A. The minimum variable inductance is 170 μH. Therefore, the desired input inductance can be controlled by the bias current according to the control curve shown in Figure 8.
Figure 8.
The relationship of the bias current and the variable inductance.
3.4. Input Current and Peak Current of Input Inductor Analysis
According to (7) and (24), the input current for the proposed converter can be expressed as
By substituting Equations (13) and (24) into Equation (5), the peak value of the input inductor current for the proposed converter can be derived as
According to (7) and (25), the theoretical waveforms of input current iin_VI(t) with variable inductor control and input current iin(t) with conventional control are shown in Figure 9 for 110 V and 220 V input voltages. Figure 9 shows that the input current under conventional control is severely distorted, and the input current of the proposed converter with variable inductor control is a standard sinusoidal waveform. In theory, the proposed DCM-CRM Cuk PFC converter with variable inductor control can achieve unit PF.
Figure 9.
Theoretical waveform of input current at 110 V and 220 V input voltage for both conventional and proposed converters.
From Equations (5) and (26), the envelope curves of the peak input inductor current iLV_pk(t) with variable inductor control and peak input inductor current iL1_pk(t) with conventional control are shown in Figure 10 for a half-line cycle at 110 V and 220 V input voltages. As shown in Figure 10, the peak input inductor current of the proposed converter is significantly reduced, which is conducive to reducing the current stress on the switch and thus improving the efficiency of the converter.
Figure 10.
Envelope curves of input inductor peak currents iL1_pk(t) and iLV_pk(t) at 110 V and 220 V input voltages.
3.5. Intermediate Capacitor Voltage Analysis
Due to the conservation of power, by substituting Equation (25) into Equation (18), the relationship between the input voltage of the converter and the intermediate capacitor voltage can be derived as
To compare the variation of the intermediate capacitor voltage with the input voltage after adopting the variable inductor with L2/Linitial = K = 2.05. By applying Equations (19) and (27), the comparison curves for the intermediate capacitor voltage of both the conventional and proposed converters are illustrated in Figure 11. From Figure 11, it is evident that the intermediate capacitor voltage of the proposed converter is lower across the input voltage range of 90 V to 240 V, in contrast to the conventional Cuk PFC converter.
Figure 11.
The relationship curves between RMS input voltage Vin_RMS and VC1.
3.6. Operating Frequency Analysis
From Figure 6, the switching frequency of the proposed converter can be derived as
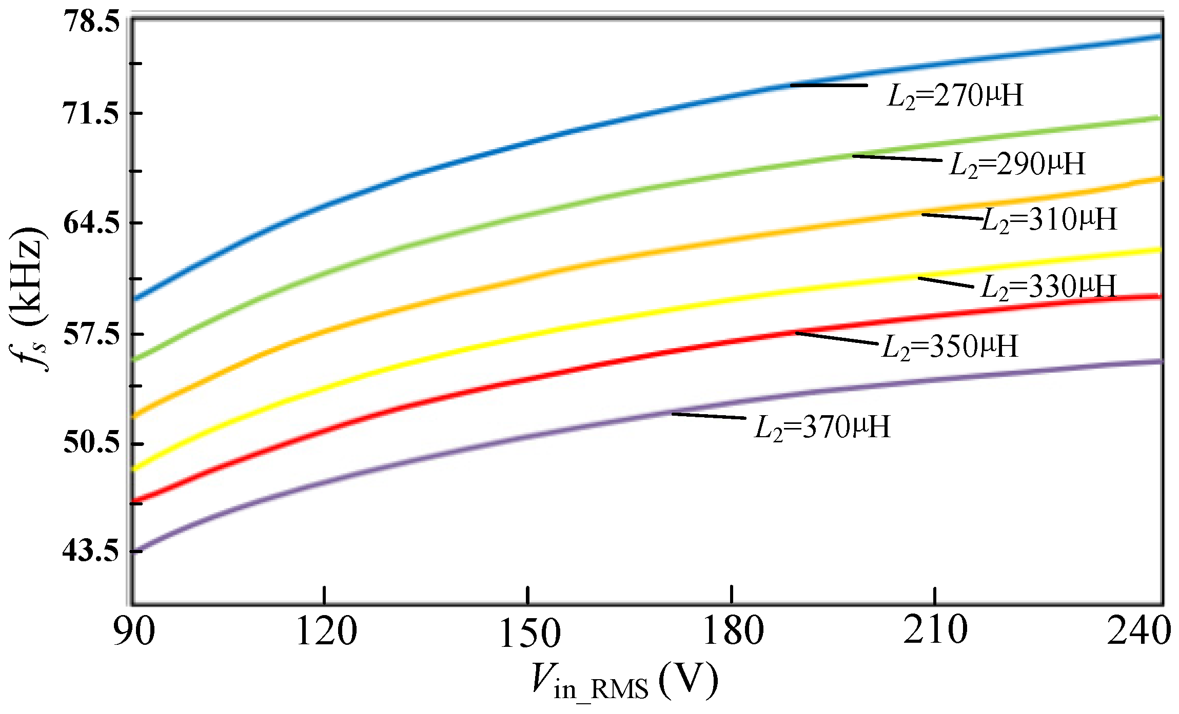
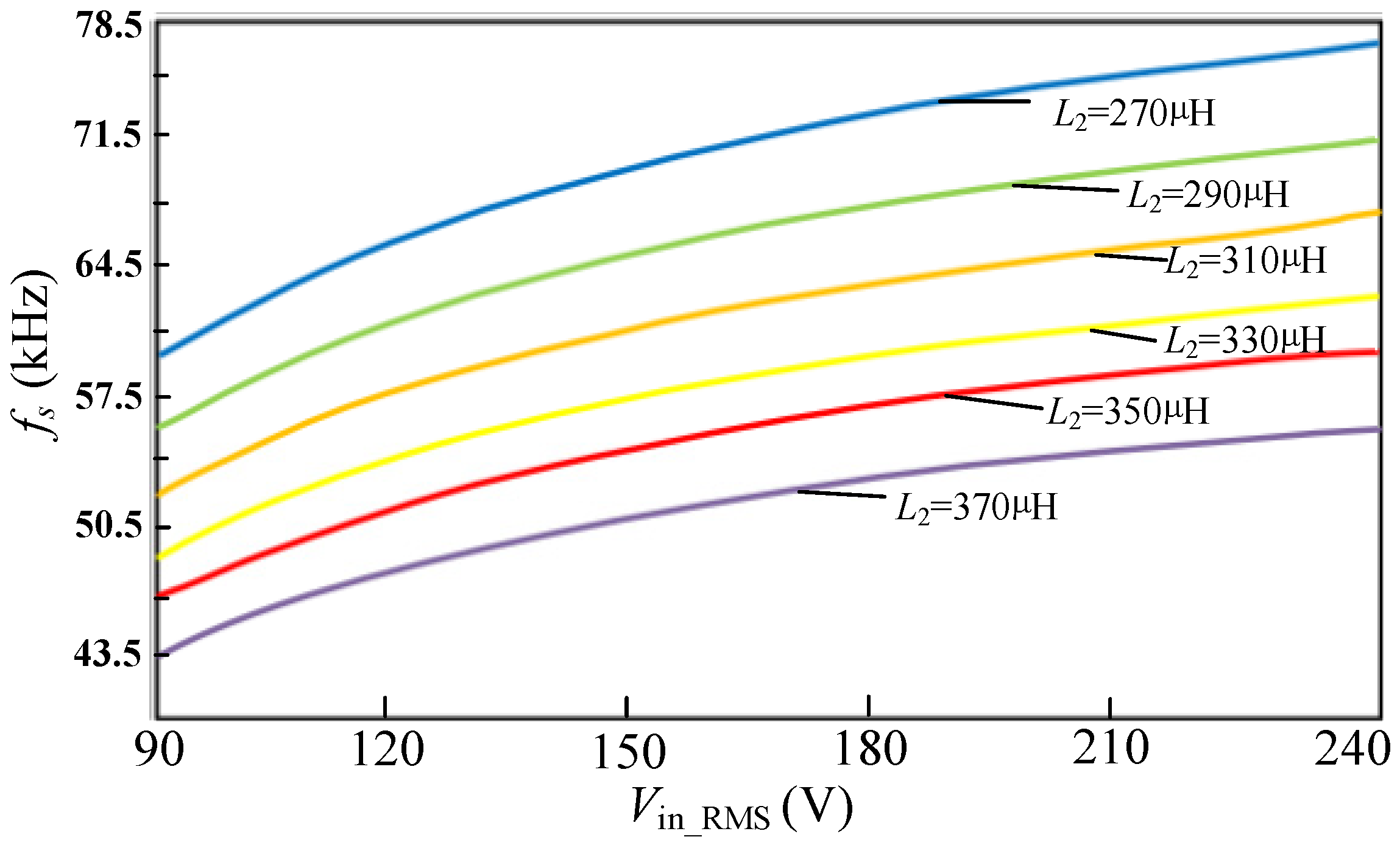
Based on (28), under certain output load conditions, the frequency change curve of the conventional Cuk PFC converter can be plotted as shown in Figure 12. As illustrated in Figure 13, the switching frequency of the conventional converter is solely dependent on the inductor L2. For a constant value of the input voltage Vin_RMS, an increase in L2 leads to a decrease in the switching frequency. Conversely, when L2 is fixed, the switching frequency increases with a rise in Vin_RMS. Too high a switching frequency can lead to high power losses, while too low a switching frequency can increase the size of the magnetic core. In this paper, L2 is set at 350 µH, and the switching frequency range of the conventional converter is 46 kHz to 60 kHz.
Figure 12.
The relationship between fs of the conventional converter and Vin_RMS at different inductance of L2.
Figure 13.
The relationship of fs and Vin_RMS.
According to Equations (27) and (28) and Figure 12, with the condition L2 = 350 µH and L1 = Linitial = 170 µH, the relationship curves of fs and Vin_RMS for both the conventional converter and the proposed converter are shown in Figure 13. It is evident that the proposed converter significantly reduces the switching frequency compared to the conventional converter. This reduction in frequency leads to decreased turn-off and turn-on losses in the switch, which contributes to an improvement in overall system efficiency.
4. Experimental Results
To verify the correctness of the analytical results of the proposed DCM-CRM Cuk PFC converter utilizing variable inductor control, a 108 W experimental prototype was constructed. Comparative experimental results between the conventional and proposed converters were obtained. Detailed specifications and key circuit parameters are provided in Table 1. Figure 14 and Figure 15 depict the experimental prototype and the experimental setup respectively. Figure 14a–c show the main board, control board, and digital control board for variable inductor calculation of the experimental prototype. As the control board shares the same control board with other CRM isolated converter prototypes, some components on the control board were not soldered when used for this DCM-CRM Cuk PFC converter. The digital control board for variable inductor calculation in Figure 14c uses STM32F103RCT6 as the controller, the main program code for variable inductor calculation unit is shown in Appendix A.
Figure 14.
Experimental prototype picture. (a) main board; (b) control board; (c) digital control board for variable inductor calculation.
Figure 15.
Experimental platform.
The experimental results for the input voltage Vin, input current iin, intermediate capacitor voltage Vc1, and output voltage Vo of both the conventional Cuk PFC converter and the proposed converter are presented in Figure 16. These figures illustrate the performance of the converters at input voltages of 110 Vac and 220 Vac, respectively.

Figure 16.
Experimental waveform of Vin, Iin, Vo, and VC1. (a) Conventional Cuk PFC converter at 110 V input; (b) Proposed Cuk PFC converter at 110 V input; (c) Conventional Cuk PFC converter at 220 V input; (d) Proposed Cuk PFC converter at 220 V input.
As illustrated in Figure 16a–d, the output voltage of both the conventional Cuk PFC converter and the proposed converter is stable at 72 V. However, under conventional control, the input current exhibits harmonic distortion at 110 V and 220 V input voltage. In contrast, the proposed converter effectively mitigates this harmonic distortion, the input current of the proposed converter is closer to sinusoid wave. Furthermore, the intermediate capacitor voltage of the conventional converter is around 270 V and 500 V at 110 V and 220 V input voltage, respectively; the intermediate capacitor voltage of the proposed converter is reduced to around 230 V and 400 V at 110 V and 220 V input voltage, respectively. This demonstrates that the proposed converter effectively reduces the intermediate capacitor voltage.
The experimental waveforms for the input inductor current and output inductor current at 110 V and 220 V input voltage are presented in Figure 17 and Figure 18. From Figure 17, it is noted that the peak current of the input inductor is reduced from 6 A in the conventional converter to 4.8 A in the proposed converter at 110 V input voltage. From Figure 18, it is illustrated that, at 220 Vac, the peak current value of the input inductor decreases from 5 A of the conventional converter to 3.4 A of the proposed converter. The peak output inductor current remains consistently at 3 A. Consequently, the proposed converter effectively reduces the current stress on the switch and enhances the overall efficiency of the converter, which is the same as the theoretical analysis result.
Figure 17.
Experimental waveforms of iL1, iL2, and iLV at 110 V input voltage. (a) Conventional converter; (b) Proposed converter; (c) Zoomed in waveform of (a); (d) Zoomed in waveform of (b).
Figure 18.
Experimental waveforms of iL1, iL2, and iLV at 220 V input voltage. (a) Conventional converter; (b) Proposed converter; (c) Zoomed in waveform of (a); (d) Zoomed in waveform of (b).
As depicted in Figure 17d and Figure 18d, the current through the variable inductor iLV exhibits slight distortion. This distortion arises because the inductor design includes a margin for variation, and the actual operational range of the variable inductor is narrower than anticipated. Consequently, a stable DC current must be continuously applied to the bias winding to maintain the calculated inductance value. When the DC current is applied, the operating point of the magnetic core characteristic curve shifts toward the saturation region [30], leading to a reduction in the inductance during actual operation and resulting in a curved waveform for the inductor current. This shift results in the actual inductance value of the variable inductor being lower than the theoretical calculation, thereby causing the inductor current to exceed the theoretically predicted value.
Figure 19 shows the experimental data of the PF and efficiency. It is obvious that the PF of the proposed converters is improved in the range of input voltage variation, from 0.986 to 0.998 at 110 Vac and from 0.981 to 0.992 at 220 Vac. As illustrated in Figure 19, the efficiency is markedly enhanced with the use of the variable inductor, achieving values exceeding 90% at 90 V input voltage. At the same time, the efficiency of the proposed converter reached 86.8% which is higher than 81.1% of the conventional converter at 240 V input voltage. It can be seen that compared to the conventional converter, the PF and efficiency of the proposed converter are obviously enhanced.
Figure 19.
Test data of efficiency and PF.
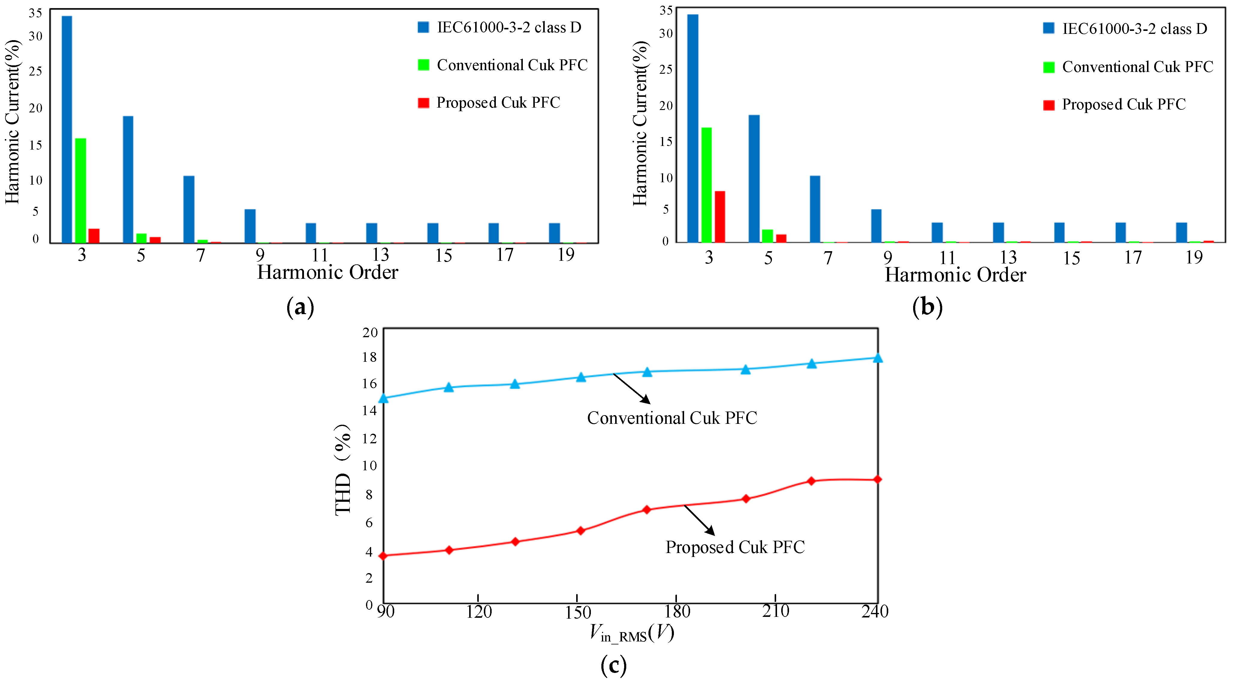
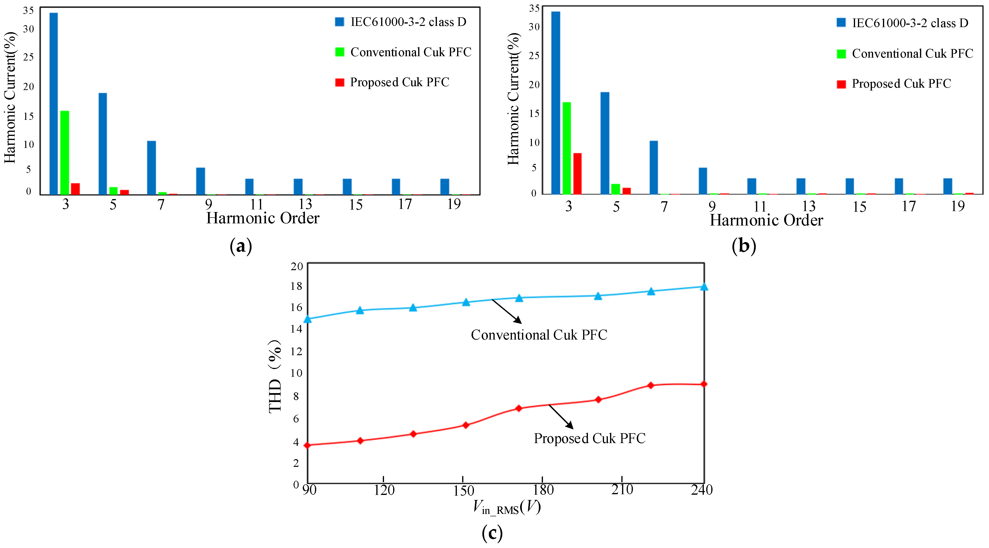
The test data of input current harmonic content and THD of the conventional and proposed converter are compared in Figure 20. It can be seen that compared with the conventional one, the proposed converter can more easily meet the requirements of IEC61000-3-2 class D. The proposed converter greatly reduces THD and the harmonic current content, especially the 3rd harmonic current.
Figure 20.
Test data of input current harmonics and THD. (a) Input current harmonics at 110 V input voltage; (b) Input current harmonics at 220 V input voltage; (c) THD.
From Figure 5, it can be seen that the main power losses of the conventional and the proposed converter include the losses of the rectifier bridge, input filter, input inductor LV or L1, a power switch S1, a diode D0, a free-wheeling diode D1, and an output inductor L2. The power loss distribution diagram is presented in Figure 21. These figures illustrate the power loss of the converters at input voltages of 110 Vac and 220 Vac, respectively. From the figure, it can be seen that the proposed converter mainly reduces the losses of the power switch and input inductor, thereby increasing the efficiency of the converter.
Figure 21.
Power loss analysis. (a) 110 Vac input voltage; (b) 220 Vac input voltage.
Table 2 shows that compared to the conventional DCM-DCM Cuk PFC converter, which is mentioned in [19], and the traditional DCM-CRM Cuk PFC converter, the proposed DCM-CRM Cuk PFC converter enhances the PF, reduces the THD, decreases the intermediate capacitor voltage, and improves efficiency.
Table 2.
Performance comparison.
5. Conclusions
To realize low intermediate capacitor voltage, high PF, and high efficiency simultaneously, an improved DCM-CRM Cuk PFC converter utilizing an input inductor that varies in response to transient rectified input voltage has been proposed in this paper. The operational principles of the proposed converter, along with its control strategies, have been thoroughly analyzed, with a focus on the intermediate capacitor voltage, input current, input inductor current, and switching frequency. To validate the proposed method, a 108 W experimental prototype was built and tested. The test data demonstrate that the proposed converter, operating in DCM-CRM mode in a wide input voltage range, significantly enhances the PF, reduces the THD, decreases the intermediate capacitor voltage, and improves efficiency.
In the future, to improve the power density of the proposed converter, the authors will study how to combine the variable inductor control strategy and coupled inductor technology, which would replace both the input and output inductors of the Cuk converter with a coupled inductor at a magnetic core. Due to the verification of the feasibility of the variable inductor in this paper, inductance has become a circuit parameter that can be adjusted simultaneously with the duty cycle. The authors will also study variable inductor control strategies for Boost PFC and Flyback PFC converters to improve their performance.
Author Contributions
Conceptualization, T.Y. and R.L.; methodology, T.Y., R.L. and H.W.; formal analysis, T.Y., R.L., H.W. and G.Z.; validation, T.Y., R.L. and H.W.; investigation, T.Y., R.L., H.W. and G.Z.; writing—original draft preparation, T.Y., R.L. and H.W.; writing—review and editing, T.Y., R.L., H.W. and G.Z. All authors have read and agreed to the published version of the manuscript.
Funding
This work was supported by the Chengdu Science and Technology Bureau under Grant No. 2024-YF08-00082-GX and the National Natural Science Foundation of China under Grant No. 62271417.
Institutional Review Board Statement
Not applicable.
Informed Consent Statement
Not applicable.
Data Availability Statement
Data from this study are contained within the article. For further inquiries, please contact the corresponding author.
Conflicts of Interest
The authors declare no conflict of interest.
Appendix A
Fragment of Code for Variable Inductor Calculation Unit
#include “delay.h”
#include “sys.h”
#include “usart.h”
#include “adc.h”
#include “key.h”
#include “dac.h”
#include “timer.h”
int main(void)
{
float Vpp = 0;
float Um = 0;
float Uc = 0;
float Lv = 0;
float V = 0;
float max_data = 0;
float Umsinwt = 0;
u8 V_dac_flag = 0;
u16 adcx = 0;
u8 first_start = 1;
u16 dacval = 621;
u16 dacval_last = 621;
u8 adc_max_flag = 0;
NVIC_PriorityGroupConfig(NVIC_PriorityGroup_2);
delay_init();
Adc_Init();
Dac1_Init();
TIM3_Int_Init(199, 7199);
DAC_SetChannel1Data(DAC_Align_12b_R, dacval);
while(1)
{
adcx = Get_Adc_Average(ADC_Channel_1, 5);
Umsinwt = (float)adcx ∗ (3.3/4096) ∗ 133;
if (Umsinwt > max_data)
{
max_data = Umsinwt;
}
if (adc_max_flag == 1)
{
V_dac_flag = 1;
Vpp = (float)max_data;
max_data = 0;
Um = Vpp;
Uc = 1.52587f ∗ Um + 27.71569f;
Vpp = 0;
adc_max_flag = 0;
}
if (V_dac_flag == 1)
{
if (Uc ! = 0 && (Umsinwt/Uc) < 1)
{
Lv = 170/(1 − (Umsinwt/Uc));
if (600 <= Lv && Lv < 930)
{
V = −0.0003 ∗ Lv + 0.4234f;
}
else if (440 <= Lv && Lv < 600)
{
V = −0.0006f ∗ Lv + 0.6286f;
}
else if (220 <= Lv && Lv < 440)
{
V = −0.0014f ∗ Lv + 0.9409f;
}
else if (200 <= Lv && Lv < 220)
{
V = −0.0057 ∗ Lv + 1.9212f;
}
else if (170 <= Lv && Lv < 200)
{
V = −0.016f ∗ Lv + 3.9362f;
}
else
{
dacval = dacval_last;
}
dacval = V ∗ 4096/3.3;
if (dacval > 4095)
{
dacval = 4095;
}
else if (dacval < 0)
{
dacval = 0;
}
dacval_last = dacval;
}
DAC_SetChannel1Data(DAC_Align_12b_R, dacval);
}
}
}
References
- Ghazali, M.; Adib, E. Integrated Boost and Dual-Switch Forward Converters as Soft-Switching Single-Stage PFC Converter. IEEE Trans. Ind. Electron. 2024, 71, 12165–12172. [Google Scholar] [CrossRef]
- Yao, K.; Liu, J.; Zhu, D.; Jin, Z. High Power Factor CRM Boost PFC Converter with Optimum Switching Frequency Variation Range Control Based on Variable Inductor. IEEE Trans. Power Electron. 2021, 36, 11019–11025. [Google Scholar] [CrossRef]
- Lee, M.; Lai, J.-S. Spread-Spectrum Frequency Modulation with Adaptive Three-Level Current Scheme to Improve EMI and Efficiency of Three-Level Boost DCM PFC. IEEE Trans. Power Electron. 2020, 36, 2476–2480. [Google Scholar] [CrossRef]
- Lin, X.; Wang, F. A Novel Single-Phase AC–DC Bridgeless Boost Converter for PFC Application. Int. J. Electron. Lett. 2017, 6, 98–113. [Google Scholar] [CrossRef]
- Liu, X.; Wan, Y.; He, M.; Zhou, Q.; Meng, X. Buck-Type Single-Switch Integrated PFC Converter with Low Total Harmonic Distortion. IEEE Trans. Ind. Electron. 2020, 68, 6859–6870. [Google Scholar] [CrossRef]
- Chen, Z.; Xu, J.; Liu, Y.; Liu, C. High Power Factor Buck-Type Bridgeless Topology Family with Hybrid Converter Cells. IEEE Trans. Power Electron. 2024, 39, 8024–8039. [Google Scholar] [CrossRef]
- Yao, K.; Zhou, X.; Yang, F.; Yang, S.; Cao, C.; Mao, C. Optimum Third Current Harmonic during Nondead Zone and Its Control Implementation to Improve PF for DCM Buck PFC Converter. IEEE Trans. Power Electron. 2017, 32, 9238–9248. [Google Scholar] [CrossRef]
- Liu, X.; Xu, J.; Chen, Z.; Wang, N. Single-Inductor Dual-Output Buck–Boost Power Factor Correction Converter. IEEE Trans. Ind. Electron. 2014, 62, 943–952. [Google Scholar] [CrossRef]
- Siu, K.K.M.; Ho, C.N.M. Manitoba Rectifier—Bridgeless Buck–Boost PFC. IEEE Trans. Power Electron. 2019, 35, 403–414. [Google Scholar] [CrossRef]
- Cuk, S.; Middlebrook, R.D. A New Optimum Topology Switching DC-to-DC Converter. In Proceedings of the 1977 IEEE Power Electronics Specialists Conference, Palo Alto, CA, USA, 14–16 June 1977; IEEE: Palo Alto, CA, USA, 1977; pp. 160–179. [Google Scholar]
- Brkovic, M.; Cuk, S. Input Current Shaper Using Cuk Converter. In Proceedings of the Fourteenth International Telecommunications Energy Conference—INTELEC ’92, Washington, DC, USA, 4–8 October 1992; IEEE: Washington, DC, USA, 1992; pp. 532–539. [Google Scholar]
- Bist, V.; Singh, B. PFC Cuk Converter-Fed BLDC Motor Drive. IEEE Trans. Power Electron. 2014, 30, 871–887. [Google Scholar] [CrossRef]
- Ananthapadmanabha, B.R.; Maurya, R.; Arya, S.R. Improved Power Quality Switched Inductor Cuk Converter for Battery Charging Applications. IEEE Trans. Power Electron. 2018, 33, 9412–9423. [Google Scholar] [CrossRef]
- Gangavarapu, S.; Rathore, A.K.; Fulwani, D.M. Three-Phase Single-Stage-Isolated Cuk-Based PFC Converter. IEEE Trans. Power Electron. 2018, 34, 1798–1808. [Google Scholar] [CrossRef]
- Zhou, Q.; Liu, C.; Liu, X.; Zhang, X.; Xu, J.; Cao, K. Effect of Intermediate Capacitance on Slow-scale Instability of Cuk Power Factor Correction Converter Operating in Discontinuous Capacitor Voltage Mode. IET Power Electron. 2017, 10, 1975–1981. [Google Scholar] [CrossRef]
- Shameli, A.; Maghsoudi, M.; Farzanehfard, H. Bridgeless Cuk PFC Converter with Soft Switching in Full Input Voltage and Load Range. IEEE Trans. Ind. Electron. 2023, 71, 6938–6945. [Google Scholar] [CrossRef]
- Patil, R.; Saravana Prakash, P. A Bridgeless Cuk-Derived Voltage Doubler-Based Power Factor Correction Rectifier. IEEE J. Emerg. Sel. Top. Ind. Electron. 2024, 5, 985–993. [Google Scholar] [CrossRef]
- Lin, X.; Jin, Z.; Wang, F.; Luo, J. A Novel Bridgeless Cuk PFC Converter with Further Reduced Conduction Losses and Simple Circuit Structure. IEEE Trans. Ind. Electron. 2020, 68, 10699–10708. [Google Scholar] [CrossRef]
- Yan, T.; Chen, T.; Huang, A.; Chen, W.; Cao, T. Cuk PFC Converter Based on Variable Inductor. Electronics 2023, 12, 2245. [Google Scholar] [CrossRef]
- Kislovski, A.S. Quasi-Linear Controllable Inductor. Proc. IEEE 1987, 75, 267–269. [Google Scholar] [CrossRef]
- Perdigao, M.S.; Menke, M.F.; Seidel, A.R.; Pinto, R.A.; Alonso, J.M. A Review on Variable Inductors and Variable Transformers: Applications to Lighting Drivers. IEEE Trans. Ind. Appl. 2015, 52, 531–547. [Google Scholar] [CrossRef]
- Medini, D.; Ben-Yaakov, S. A Current-Controlled Variable-Inductor for High Frequency Resonant Power Circuits. In Proceedings of the 1994 IEEE Applied Power Electronics Conference and Exposition—ASPEC’94, Orlando, FL, USA, 13–17 February 1994; IEEE: Orlando, FL, USA, 1994; pp. 219–225. [Google Scholar]
- Alonso, J.M.; Perdigão, M.; Dalla Costa, M.A.; Zhang, S.; Wang, Y. Analysis and Experimentation of the quad-U Variable Inductor for Power Electronics Applications. IET Power Electron. 2018, 11, 2330–2337. [Google Scholar] [CrossRef]
- Beraki, M.W.; Trovao, J.P.F.; Perdigao, M.S.; Dubois, M.R. Variable Inductor Based Bidirectional DC–DC Converter for Electric Vehicles. IEEE Trans. Veh. Technol. 2017, 66, 8764–8772. [Google Scholar] [CrossRef]
- Lim, C.-Y.; Kim, J.-H.; Jeong, Y.; Kim, D.-K.; Youn, H.-S.; Moon, G.-W. A High Efficiency Critical Mode Boost PFC Using a Variable Inductor. In Proceedings of the 2016 IEEE 8th International Power Electronics and Motion Control Conference (IPEMC-ECCE Asia), Hefei, China, 22–26 May 2016; IEEE: Hefei, China, 2016; pp. 2792–2797. [Google Scholar]
- Lim, C.-Y.; Jeong, Y.; Moon, G.-W. Phase Leading Input Capacitor Compensation Using Variable Inductor with High Efficiency in a CRM Boost PFC. In Proceedings of the 2017 IEEE 3rd International Future Energy Electronics Conference and ECCE Asia (IFEEC 2017—ECCE Asia), Kaohsiung, Taiwan, 3–7 June 2017; IEEE: Kaohsiung, Taiwan, 2017; pp. 852–856. [Google Scholar]
- Choi, S.; Shin, J.-W.; Imaoka, J.; Yamamoto, M. Voltage-Controlled Variable Inductor for Fixed-Frequency Critical Conduction Mode Operation. IEEE Trans. Ind. Electron. 2022, 70, 5707–5716. [Google Scholar] [CrossRef]
- Menke, M.F.; Da Silva, M.F.; Seidel, A.R.; Perdigao, M.S.; Alonso, J.M. High Power Factor Dimmable Self-Oscillating Electronic Ballast with Variable Inductor Control. In Proceedings of the 2015 IEEE Applied Power Electronics Conference and Exposition (APEC), Charlotte, NC, USA, 15–19 March 2015; IEEE: Charlotte, NC, USA, 2015; pp. 3314–3321. [Google Scholar]
- Martinez, G.; Alonso, J.M.; Osorio, R. Analysis and Design of a Unidirectional Resonant Switched-Capacitor Step-Up Converter for OLED Lamp Driving Based on Variable Inductor. IEEE J. Emerg. Sel. Top. Power Electron. 2018, 6, 1106–1115. [Google Scholar] [CrossRef]
- Yao, K.; Zhang, Z.; Yang, J.; Liu, J.; Li, J.; Shao, F. Quasi-Fixed Switching Frequency Control of CRM Boost PFC Converter Based on Variable Inductor in Wide Input Voltage Range. IEEE Trans. Power Electron. 2020, 36, 1814–1827. [Google Scholar] [CrossRef]
- Scirè, D.; Lullo, G.; Vitale, G. Assessment of the Current for a Non-Linear Power Inductor Including Temperature in DC-DC Converters. Electronics 2023, 12, 579. [Google Scholar] [CrossRef]
- Scirè, D.; Vitale, G.; Ventimiglia, M.; Lullo, G. Non-Linear Inductors Characterization in Real Operating Conditions for Power Density Optimization in SMPS. Energies 2021, 14, 3924. [Google Scholar] [CrossRef]
- Chan, C.H.; Pong, M.H. Interleaved Boost Power Factor Corrector Operating in Discontinuous-Inductor-Current Mode. In Proceedings of the Power Conversion Conference—PCC ’97, Nagaoka, Japan, 3–6 August 1997; Volume 1, pp. 405–410. [Google Scholar]
- Li, S.; Ron Hui, S.Y. Self-Configurable Current-Mirror Circuit with Short-Circuit and Open-Circuit Fault Tolerance for Balancing Parallel Light-Emitting Diode (LED) String Currents. IEEE Trans. Power Electron. 2013, 29, 5498–5507. [Google Scholar] [CrossRef]
- Huber, L.; Jovanovic, M.M. Single-Stage, Single-Switch, Isolated Power Supply Technique with Input-Current Shaping and Fast Output-Voltage Regulation for Universal Input-Voltage-Range Applications. In Proceedings of the APEC 97—Applied Power Electronics Conference, Atlanta, GA, USA, 23–27 February 1997; IEEE: Atlanta, GA, USA, 1997; Volume 1, pp. 272–280. [Google Scholar]
- Liu, D.; Wang, Y.; Chen, Z.; Li, B. A Buck Converter with Cost-Effective GaN/Si Hybrid Switches and CRM Operation for High-Efficiency and High-Power-Density Applications. In Proceedings of the 2018 IEEE 4th Southern Power Electronics Conference (SPEC), Singapore, 10–13 December 2018; IEEE: Singapore, 2018; pp. 1–6. [Google Scholar]
- Yang, J.; Zhang, J.; Wu, X.; Qian, Z.; Xu, M. Performance Comparison between Buck and Boost CRM PFC Converter. In Proceedings of the 2010 IEEE 12th Workshop on Control and Modeling for Power Electronics (COMPEL), Boulder, CO, USA, 28–30 June 2010; IEEE: Boulder, CO, USA, 2010; pp. 1–5. [Google Scholar]
Disclaimer/Publisher’s Note: The statements, opinions and data contained in all publications are solely those of the individual author(s) and contributor(s) and not of MDPI and/or the editor(s). MDPI and/or the editor(s) disclaim responsibility for any injury to people or property resulting from any ideas, methods, instructions or products referred to in the content. |
© 2025 by the authors. Licensee MDPI, Basel, Switzerland. This article is an open access article distributed under the terms and conditions of the Creative Commons Attribution (CC BY) license (https://creativecommons.org/licenses/by/4.0/).





















