Next Article in Journal
Determination of Polycyclic Aromatic Hydrocarbons (PAHs) Transfer from Dried Medicinal Plants in Infusions for Therapeutic Purposes
Next Article in Special Issue
Influence of Polystyrene Molecular Weight on Semiconductor Crystallization, Morphology, and Mobility
Previous Article in Journal
Investigation of Flow Characteristics in Valveless Piezoelectric Pumps with Airfoil Baffles at Varying Angles of Attack
Previous Article in Special Issue
Towards Reliable ECG Analysis: Addressing Validation Gaps in the Electrocardiographic R-Peak Detection
 
 
Font Type:
Arial Georgia Verdana
Font Size:
Aa Aa Aa
Line Spacing:
Column Width:
Background:
Article

The Influence of Air Flow Rates and Voltage on the Plasma Emission Spectra and the Concentrations of Nitrogen Oxides Produced by Gliding Arc Discharge Plasma

by
Liutauras Marcinauskas
*,
Rolandas Uscila
and
Mindaugas Aikas
Plasma Processing Laboratory, Lithuanian Energy Institute, Breslaujos Str. 3, 44403 Kaunas, Lithuania
*
Author to whom correspondence should be addressed.
Appl. Sci. 2025, 15(1), 446; https://doi.org/10.3390/app15010446
Submission received: 20 November 2024 / Revised: 22 December 2024 / Accepted: 3 January 2025 / Published: 6 January 2025
(This article belongs to the Special Issue Applied Electronics and Functional Materials)

Abstract

In this work, gliding arc discharge (GAD) was used to produce air plasma and investigate the influence of the discharge parameters on the composition of the air plasma, vibrational temperatures, and the production of NOx. It was demonstrated that the main particles obtained in the GAD air plasma were N2*, N2+, N+, NOγ, and O. It was observed that the reduction in the discharge frequency increased the intensity of the excited nitrogen molecules lines and reduced the nitric oxide (NO) and nitrogen dioxide (NO2) gas concentrations. The increase in the output voltage prolonged the duration of arc discharge and enhanced the intensities of the emission lines of the N2+, O, and NOγ species and the concentrations of NO and NO2 gasses. It was shown that the increase in the air flow rate from 6.7 L/min to 15.6 L/min decreased the concentration of the produced NO gas by 24%. Additionally, the line intensities of all main species in air plasma were enhanced. Studies have shown that the NO and NO2 gas concentrations (selectivity of NO and NO2) can be controlled by varying the air flow, output voltage, and discharge frequency. The highest NOx concentration of 2380 ppm was produced at 250 V, when the direct air flow was 11.2 L/min.

1. Introduction

In recent years, research on developing novel atmospheric plasma systems—both non-thermal and thermal—has surged significantly. Plasma applications in medicine, environmental, energy sectors, and agriculture are expanding, including wound treatment, wastewater treatment, the creation of synthetic gas, waste utilization, treatments for seeds and plants, the creation of plasma-activated water, etc. [1,2,3,4,5,6,7,8,9,10]. Various thermal and non-thermal plasma sources are used to produce NOx from air, air–nitrogen, or oxygen–nitrogen gas mixtures [8,9,10,11]. The most popular non-thermal plasma sources used for the formation of nitric oxide are dielectric barrier discharge (DBD), glow discharge, gliding arc discharge (GAD), spark discharges, etc. [8,9,10,11,12,13,14,15,16].
It should be noted that the chemical reaction pathways in the production of NOx are very complex and strongly depend not only on the used non-thermal plasma type but also on the configuration of the plasma device and process parameters [9,10,11]. Wang et al. [17] developed a chemical kinetics model for nitrogen oxide synthesis using the GAD plasma. The authors observed that the creation of the vibrational excited nitrogen molecules in plasma are the most important species for the formation of NO [10]. It was demonstrated that the concentrations of NO2 and NO decreased with the increase in the used air flow rate when DBD plasma was used [11]. Several researchers have indicated that the concentration of the NO produced in DC arc plasma is higher compared to the NO2 gas concentrations [18,19]. M. A. Malik et al. [9] obtained that the concentrations of the produced NO, NO2, and O3 strongly depended not only on the discharge voltage values but also on the temperature of the air. E. Matejka et al. [12] observed that the increase in the NO and NO2 concentrations in plasma lead to the production of plasma-activated water with a higher fraction of NO3 and NO2. Additionally, it was observed that the concentrations of NO and NO2 gasses depend on the intensity of the N and N2 lines in the air emission spectra. V. Rathore et al. [5] determined that the increase in the discharge power increased the conductivity and NO3 and NO2 concentrations in the PAW. Such an increase is related to the formation of higher densities of N2, N, N+, N2+, and NO reactive species in air plasma. The concentrations of various species in air plasma and the amount of reactive species formed in water decrease with the enhancement of the air flow rate during the gliding arc discharge [20]. S. Dhungana et al. [21] observed that the excited nitrogen molecules and NO are the dominant species in the gliding arc discharge when air plasma was used. Dahle et al. [22] observed that the enhancement in the discharge voltage led to higher intensities of the N2* and N2+ particles in air plasma produced by DBD. Our previous investigations [23] indicated that the degree of air plasma ionization and the densities of N2+, N+, O, and NOγ particles in the plasma increased with increasing voltage. This resulted in an increase in the concentrations of NO2, NO3, and hydrogen peroxide in BG-11 medium. Z. Bo et al. [24] demonstrated that the increase in supply voltage in GAD plasma enhanced the NO2 concentration due to an increase in plasma temperature, but the concentrations of the produced NO2 were very low. The increase in the discharge voltage or reduction in air flow rates enhanced the density of the nitrogen or oxygen reactive species in plasma [25,26]. I. Muzammil et al. [27] determined that the decrease in the reduction in air flow rate enhanced the densities of NO, N2+, and N2 particles in air plasma. P. Terebun et al. [28] observed that the properties of the PAW depend on the treatment time when the GAD air plasma was used. In summary, it can be stated that with the increase in the discharge power, the densities of the atomic oxygen, molecular nitrogen ion, and nitrogen ion in air plasma increases. As a result, this will stipulate the formation of higher concentrations of nitrates and nitrates in plasma-activated waters [6,12,23,25,27]. Additionally, the production of the higher concentrations of NO and NO2 in the gasses will lead to the formation of the plasma-activated water/medium with higher NO3 and NO2 concentrations [5,12,23,28].
Many researchers have analyzed, investigated, and compared various types of plasma devices to produce plasma-activated water or uses for nitrogen fixation [3,4,5,9,10,11,12,13,14]. However, it is very difficult to compare different discharges or even compare discharges of the same type, which is problematic as different discharge characteristics (pulse duration, power, discharge mode, etc.) are used, and the configuration or geometry of the devices are varied in a broad range [9,10,11,12,13,14,15,16,17]. Therefore, the densities of reactive particles produced in the air plasma can vary significantly, which will lead to different concentrations of nitrogen oxides and physicochemical properties of the PAW. In order to properly apply plasma in various fields, it is important not only to determine the composition of air plasma but also to investigate the influence of discharge parameters (voltage, frequency, pulse duration, etc.) on the densities of reactive species and the concentration of the produced nitrogen oxides. Although there are many studies on the application fields of gliding arc discharge, detailed studies on the relationship between the air plasma composition and the produced NO and NO2 concentration values are still lacking.
The main aims of this work were to investigate the variation in the main species produced in air plasma at various air flow rates, output voltages, and frequencies, and to determine the influence of the air flow and output voltage on the concentrations of the NO and NO2 gasses produced in GAD plasma. Additionally, a relationship was investigated between the intensity of the emission bands and the produced concentrations of NO and NO2 gasses.

2. Materials and Methods

A gliding arc discharge plasma setup was constructed at the Lithuanian Energy Institute, and a detailed schematic view of the GAD plasma setup can be found in ref. [23]. The GAD plasma system consisted of a power supply (AC power generator and high-voltage transformer) and gas flow control and supply system. A G2000 high-voltage/medium frequency generator (Redline Technologies Elektronik GmbH, Baesweiler, Germany) was employed to create the gliding arc discharge. Two “knife-like” shape electrodes were used. Each electrode was 52 mm long and 25 mm wide (at the top) with a gap of 1 mm at the top of the positive and negative electrodes. The AC generator output voltage varied from 90 V up to 250 V, the frequency was ranked from 230 kHz up to 270 kHz, and the signal duty cycle was kept at 0.35 during each discharge. It should be noted that the turn ratio of the used transformer was 1:33.
The gas supply system consisted of an air compressor, mass flow controllers, plastic pipes, metal tubes, and steel connections. Compressed air was used to form plasma. Two FLD-type flowmeters were used to supply the air. Air was injected into the plasma reactor in two ways: from the top of the electrodes (directly) and tangentially [23] (Figure 1). Such an introduction of air flows allowed for the creation of more stable and uniform temperature plasma within the reactor volume. During all experiments, the tangentially injected air flow rate was kept at a constant value of 9.44 L/min. When the air was supplied from the top of the electrodes, the air flow rate was changed from 6.7 L/min to 15.6 L/min. The GAD plasma was generated at atmospheric pressure at room temperature.
The air plasma emission spectra were investigated with two spectrometers: a flame emission spectrometer, Flame UV-VIS (Ocean Insight, Orlando, FL, USA), and an acousto-optic emission spectrometer, IFU AOS4 (IfU Diagnostic Systems GmbH, Lichtenau, Germany). The integration time was set to 0.375 s, with 10 scans accumulated per measurement, and each spectrum was recorded three times over a wavelength range of 200–1000 nm, when spectra were captured using the flame emission spectrometer. The spectra were recorded in the range of 250–800 nm (with a spectral resolution of 0.05 nm at 250 nm and 0.5 nm at 800 nm), and each spectrum was measured 3 times when the IFU AOS4 equipment was used. An optical fiber was placed between the electrodes at a 10 cm distance and at 35 mm from the top of the electrodes [23] (Figure 1). The IFU AOS4 spectrometer was used to determine the intensity of emission lines more precisely. The intensities of all emission lines presented in this manuscript were determined from the spectra obtained with a flame UV-VIS spectrometer. An integration time for a lower resolution spectrometer was selected after comparing air spectra to emission spectra recorded with a higher-resolution spectrometer, which allowed us to measure the air spectrum with the main emission lines.
The measurements of the concentrations of the NO and NO2 gasses produced using air gas with the gliding arc discharge plasma reactor were determined using an SWG 300-1 (MRU instruments Inc., Neckarsulm, Germany) gas analyzer. The measurements were carried out 3 times for each experimental point, and the average values were calculated.

3. Results and Discussions

The emission spectra of air plasma produced at 90 V and measured with an acousto-optic emission spectrometer are given in Figure 2. The emission lines observed at 315.8 nm, 337 nm, 353 nm, 357.6 nm, and 380.3 nm are related to the (0,1), (0,0), (2,1), (1,0), and (2,0) vibrational modes of excited nitrogen molecules, respectively [5,12,21,25]. The emission lines observed at 391.1 nm and 419 nm are related to the first negative transition of the molecular nitrogen ion (N2+) (Figure 2). It was indicated that the emission lines in the interval of 280–450 nm are usually ascribed to the second positive system of N2 (C3Πu→B3Πg) and N2+’s first negative system (B2Σ+u → X2Σ+g). The formation of N2+ is also due to the direct ionization reaction produced through collision with high-energy electrons. Those peaks are the main emission lines observed in the air, nitrogen, or air–nitrogen plasmas [5,10,21,24,27]. The lower intensity peaks observed at the 777.5 nm and 844.7 nm wavelengths are attributed to the atomic oxygen (O) with transition bands of 3p5P → 3s5S and 3p3P → 3s3S, respectively [3,29,30,31]. The peak at 306.8 nm is associated with the OH radical. The existence of OH radicals in the emission spectra of the air plasma is explained by the presence of the low amount of water vapor in the ambient air used [29]. The low-intensity peaks at 399.1 nm and 434.1 nm are attributed to the nitrogen ion [23,32].
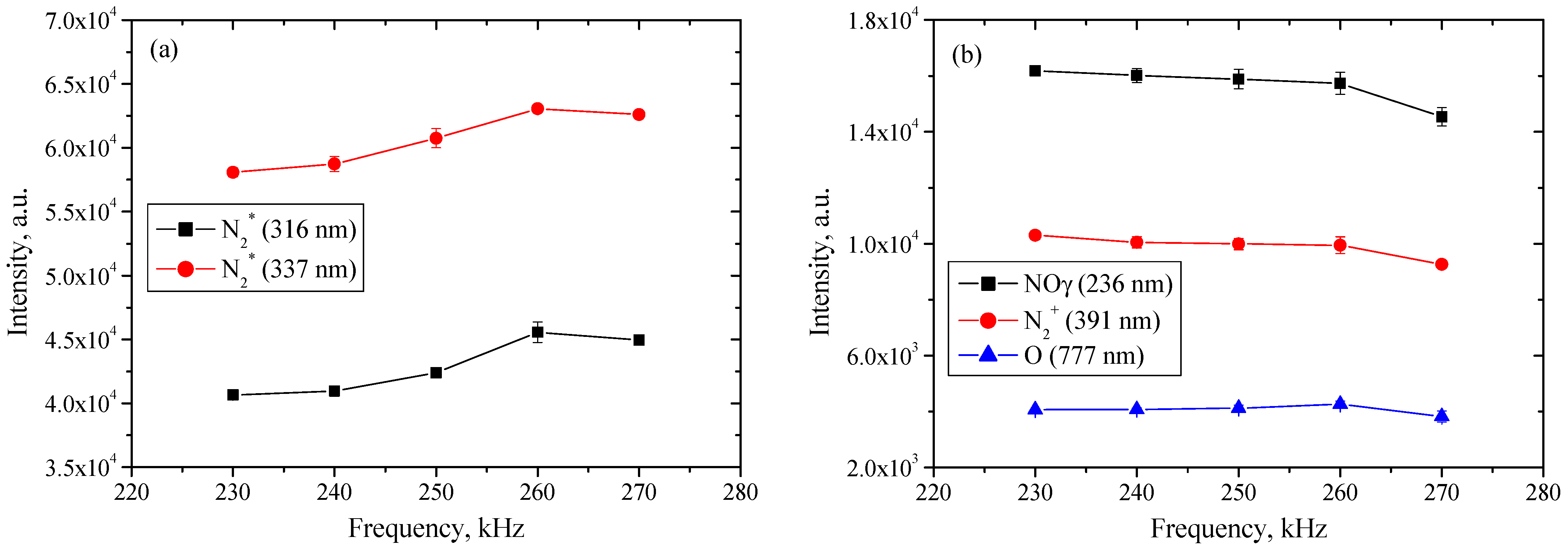
The optical emission spectra of an air plasma created by gliding arc discharge at 130 V, with a direct air flow rate of 13.4 L/min, and different frequencies are given in Figure 3. The emission spectra of air plasma produced at various discharge frequencies demonstrated that the excited nitrogen molecules are the dominant particles in plasma. The formation of the excited states of NOγ particles was confirmed by the presence of peaks at ~236 nm, 246 nm, 258 nm, and 283 nm (Figure 3a). The formation of an NO β-system (B2Π − X2Π) and NO γ-system (A2Σ+ − X2Π) were obtained in nitrogen, air, or nitrogen–oxygen plasma at a range of 200–300 nm [3,23,24,29,33]. The atomic oxygen peaks were obtained at 777.5 nm and 844.7 nm (Figure 3b). The low-intensity lines at ~221 nm, ~399 nm, and ~434 nm are attributed to the atomic nitrogen ions in air plasma [5]. The emission spectra of the air plasma demonstrated low-intensity lines of oxygen ions (464 nm) and molecular oxygen ions (636 nm) [5,23,33]. The information about the particles presented in the plasma and variation in the densities of the produced species could be obtained from the emission spectra. To determine the variation in the main species obtained in the air plasma on the discharge frequencies, several emission lines were chosen. The dependence of the emission line intensities of NOγ (236 nm), N2* (316 nm and 337 nm), N2+ (391 nm), and O (777.5 nm) on the discharge frequency are given in Figure 4a,b. It was obtained that the intensities of the atomic oxygen peak at ~777 nm was several times lower compared to the intensities of N2+ or N+ particles (Figure 3 and Figure 4b).
It was obtained that the intensity of N2+ particles was enhanced by ~11% with the decrease in the frequency from 270 to 230 kHz. Meanwhile, a slight reduction in the emission line intensities assigned to the excited N2 particles was observed at lower frequencies. The intensity of the N2* peak was reduced from 62,600 counts to 58,080 counts (by ~7%) with the decrease in the discharge frequency (Figure 4a). The intensity of the atomic oxygen peak (at 777.5 nm) slightly increased from 3825 counts to 4070 counts with the decrease in the frequency from 270 kHz to 230 kHz. The intensity of the emission line of NOγ (peak at 236 nm) species was slightly enhanced from 14,540 counts to 16,200 counts with the reduction in the frequency. It was observed that the intensity of NOγ was increased by ~11% with the decrease in the frequency from 270 to 230 kHz. The emission line intensity of the N2+ particle was enhanced from 9270 counts to 10,300 counts with the reduction in the frequency (Figure 4b). The nitrogen molecule is broken into nitrogen atoms by an electron impact-induced dissociation reaction. Nitrogen atoms created in the plasma further react with oxygen atoms, and during this recombination reaction, the NO particles are formed [24]. The observed trends in the emission lines of O, NOγ, N2+, and N2* species suggest that the ionization degree of the air plasma slightly increased as the frequencies decreased.
The emission spectra of the air plasma measured at a 130 V output voltage, at a 270 kHz frequency, and various direct air flow rates are presented in Figure 5. The results indicate that the main peaks are attributed to the O, NOγ, N+, N2+, and N2* particles (Figure 5a,b) with the low-intensity peaks of the oxygen ion and molecular oxygen ion. Increasing the air flow rate from 6.7 L/min to 13.4 L/min resulted in higher intensities of the air plasma emission lines.
The influence of the air flow rate on the intensities of the main nitrogen and oxygen species is given in Figure 6. Analysis of the most intense emission lines showed that as the gas flow rate increased from 6.7 L/min to 15.6 L/min, the densities of the particles in the plasma increased (Figure 6). The intensities of the excited nitrogen molecules obtained at 316 nm and 337 nm wavelengths increased from 27,200 counts to 55,350 counts and from 41,900 to 77,000 counts when the air flow rate was enhanced from 6.7 L/min to 15.6 L/min, respectively (Figure 6a). The intensity of the molecular nitrogen ion peak observed at 391 nm was increased from 8070 counts to 11,000 counts. Meanwhile, the emission line intensities of the excited oxygen were enhanced more than twice from 2480 to 5160 counts with an increase in the air flow rate from 6.7 L/min to 15.6 L/min, respectively (Figure 6b). The intensity of the highest NOγ peak (236 nm) was enhanced from ~10,400 counts to 17,650 counts (up by 60%) with the increase in the direct air flow rate (Figure 6b).
The obtained results demonstrate that the intensities of the O, NOγ, and N2+ species were higher at higher voltages and air flow rates (Figure 7). The intensities of the N2* peaks were enhanced with the increase in the air flow rate from 11.2 L/min to 13.4 L/min. The N2* peak intensity obtained at 337 nm increased from ~12% up to ~26%, with an increase in the voltage from 90 V to 250 V and the air flow rate. The line intensities of N2* species initially increased with the enhancement in the voltage from 90 V to 130 V. Meanwhile, the further increase in the voltage up to 210 V led to the slight reduction in the N2* line intensities (Figure 7a). The intensity of the N2* emission line (located at 316 nm) at the highest voltage became analogous to that in the results obtained at 90 V (Figure 7a).
The intensities of the NOγ lines were enhanced by ~1.71 and ~2.16 times, with the increase in the voltage, when the air flow rates were 11.2 L/min and 13.4 L/min, respectively. The N2+ line intensity was increased by 1.95 times (from 6390 counts to 12,450 counts) with the enhancement of voltage at a 13.4 L/min flow rate (Figure 7b). It should be noted that the densities of the molecular nitrogen ion were increased, as the intensity of the emission line was enhanced by 1.65 times at an 11.2 L/min air flow rate with the increase in the voltage. The lowest intensity (1860 counts) of the atomic oxygen peak was observed at the lowest voltage when the air flow rate of 11.2 L/min was used. The enhancement of the voltage up to 210 V increased the O peak value up to 4690 counts. However, the intensity of the O peak was slightly reduced (by 6%) to 4400 counts when 250 V was applied. The intensities of excited atomic oxygen peaks were more intense when the flow rate ranged from 11.2 L/min to 13.4 L/min. The increase in the voltage from 90 to 210 V increased the O peak intensity from 1610 counts to 5760 counts, respectively. The line intensity of the O particle was 5620 counts at 250 V (Figure 7b).
It was demonstrated that the enhancement in the discharge voltage led to the higher electric field as the discharge arc propagated to higher distances. As a result, the ionization degree of plasma was increased leading to the formation of higher densities of nitrogen ions, molecular nitrogen ions, atomic oxygen, or oxygen ions in the air plasmas [23,30,31,32].
The calculation of the vibrational temperatures of the N2* particles in the air plasma was performed according to the methodology given in ref. [30,32]. Equation (1), with the parameters of the vibration states (ν = 0 and ν = 1) of N2 second positive system (C3Π–B3Π), was used:
T v i b = E v 1 E v 2 k B l n I λ 1 · λ 1 4 · F C F λ 2 I λ 2 · λ 2 4 · F C F λ 1 1  
where Iλ1 and Iλ2 are the emission intensities of the transitions at the 337 nm (λ1) and 316 nm (λ2) wavelengths; kB is the Boltzmann constant; Eν1 and Eν2 are the energy of the upper energy levels; and FCFλ1 and FCFλ2 are the Frank–Condon factors for the λ1 and λ2 wavelengths, respectively. It was demonstrated that Eν1 and Eν2 values of 88,957 cm−1 and 90,893 cm−1 should be used. The FCFλ1 value was 0.455 and FCFλ2—0.388. After evaluating these parameters, we can rewrite Equation (1) in the following form [30]:
T v i b = 2785 0.11 + l n I λ 1 I λ 2
The vibrational temperatures of excited N2* particles were determined for all measured emission spectra of the air plasma. It was found that the vibration temperature was ~5970 K when the lowest frequency (230 kHz) at 130 V was used. A slight reduction in the vibration temperature down to 5930 K was obtained with the increase in the discharge frequency up to 250 kHz. The highest temperature of 6405 K was reached when the air plasma was created using 260 kHz discharge. However, the further increase in the frequency up to 270 kHz led to a slight reduction in the Tvib down to 6310 K. The increase in the direct air flow also affects the vibrational temperatures of N2* species. The temperature was ~5140 K when the air flow rate was 6.7 L/min. The increase in the air flow rate from 8.9 L/min to 11.2 L/min (at 130 V) resulted in a slight increase in the vibrational temperatures from 5220 K to 5430 K, respectively. The enhancement of the air flow rate up to 13.4 L/min resulted in a drastic increase in the N2* vibrational temperature up to 6310 K. However, the temperature only slightly increased up to 6330 K when the air flow rate of 15.6 L/min was used. It should be noted that the vibrational temperature of the excited N2* particles does not demonstrate the true plasma temperature [30].
The variation in the vibrational temperatures of N2* with the voltage at air flow rates of 11.2 L/min and 13.4 L/min is presented in Figure 8. The calculation of the vibrational temperature demonstrated that the increase in the air flow rate from 11.2 L/min to 13.4 L/min enhanced the temperatures of the excited N2* particles. The temperature rose from 5350 K to 7030 K at an air flow rate of 13.4 L/min as the output voltage increased from 90 V to 250 V. Similarly, when the air flow was reduced to 11.2 L/min, the temperature exhibited a linear increase from 5190 K to 5850 K with the rise in the voltage.
The increase in the intensity of the emission lines with the increase in the air flow rate is related to the propagation of the arc length to higher distances. As the optical emission spectra of air plasma were measured at a constant distance (at 35 mm), with the increase in the air flow rate, the discharge arc is passing through an optical fiber. The excitation and ionization processes are dominant in the arc; meanwhile, outside the arc region, the probability of electron collision with the oxygen or nitrogen molecules is reduced. It was demonstrated that the intensity of nitrogen emission lines strongly depends on the spatial locations of the optical fiber when the gliding arc discharge is used [32]. Also, it will result in a huge difference in the rotational and vibrational temperatures of the nitrogen plasma in the axial direction. Depending on the axial distance, the rotational temperature varied from 1250 K up to 1900 K. The vibrational temperature of N2* was highest when the arc length reached 70–80% of its propagation distance [32]. Zhao et al. [30] observed that the intensities, as well as the vibrational temperatures of the N2* species, strongly depend on the measurement location in the air plasma. The vibrational temperature of N2* particles ranged from 2400 K to 7000 K, depending on the measured x and y directions. G. C. Chen et al. [33] observed that the increase in the O2 gas concentration in the nitrogen–oxygen plasma increased the intensities of the atomic oxygen and NO species in the plasma. Studies by these authors [30,32] showed that the temperatures of various species and intensities of emission lines depend quite strongly on the location of the measurements in plasma. It is well known that an increase in the power (supply voltage) and reduction in the gas flow rates should increase the intensity of the emission lines of dominant species in air or air–nitrogen plasmas [23,24]. The increase in the air flow rate shortens the arc lifetime and also the propagation length [34,35]. At higher air flows, the arc is slightly shortened, and it is likely that the maximum temperatures are reached near the measurement location. In reducing the air flow, the arc can propagate a longer distance, and higher temperatures are obtained in the more distant interelectrode zone, i.e., below the measurement point. This would explain a higher intensity of the emission lines with the increase in the air flow rate. The increase in vibrational temperatures is related to the enhanced collision frequency of electrons. The energy transferred from the electrons to the oxygen or nitrogen molecules is higher as the collision frequency is increased. B. Indumathy et al. [32] indicated that the highest vibrational and rotational temperatures in the nitrogen plasma are obtained with the elongation of the arc downstream in the axial direction.
The produced concentrations of the NO and NO2 gasses were measured at various discharge parameters and using various air flow rates. The variation in the NO and NO2 concentrations on the discharge frequency is presented in Figure 9. The results indicate that the NO concentration was reduced from 1115 ppm to 990 ppm (at 130 V) with the increase in the frequency from 230 kHz to 270 kHz, respectively (Figure 9a). The NO2 gas concentration decreased from 265 ppm to 205 ppm with the increase in frequency when the voltage of 130 V was used (Figure 9b). The increase in the output voltage led to the enhancement of NO and NO2 gas concentrations (Figure 9). The NO2 and NO concentrations were increased up to 2.1 times and 1.55 times, with the increase in voltage from 130 V to 210 V, respectively. The selectivity of the NO was enhanced from 80.8 to 82.8% with the increase in frequency.
The influence of the direct air flow rate on the produced NO and NO2 concentrations is given in Figure 10. It was obtained that the increase in the air flow rate from 6.7 L/min to 15.6 L/min reduced the NO gas concentration from 1180 ppm to 900 ppm. The concentration of the produced NO2 gas was reduced from 325 ppm to 184 ppm, with the increase in the air flow rate. The selectivity of NO was increased from 78.4% to 83.1% with the increase in air flow rate. The reduction in the NO and NO2 concentrations is due to the lower ionization degree of the air plasma at the constant output voltage. As the flow rate is increased, the amount of the produced excited and ionized nitrogen and oxygen molecules or atoms in the total plasma volume is reduced. It was obtained that the NOx concentration varied from 0.45 to 1.5 vol.%, depending on the GAD parameters. However, it is important to highlight that the air flow rate was from 1 L/min to 5 L/min [35] A. Denra et al. [16] observed the reduction in the NO and NO2 concentrations by 46% and 67%, respectively, when the flow rate was enhanced from 2 to 4 L/min. The total NOx concentration varied from 385 ppm to 2880 ppm depending on the used power and flow rate. The increase in the air flow rate enhanced the air gas velocity, and the treatment duration of air was reduced in the plasma. Therefore, the total NOx concentration was reduced from 1505 ppm to 1090 ppm (Figure 10).
The dependence of the NO and NO2 gas concentrations on the discharge output voltages at various direct air flow rates was measured (Figure 11). It was demonstrated that the NO and NO2 concentrations were enhanced with the increase in the voltage and decrease in the air flow rate. The lowest NO values were at 15.6 L/min air flow rates and varied from 390 ppm to 1655 ppm with the increase in voltage from 90 V to 250 V, respectively (Figure 11a). The NO gas concentration was enhanced from 5% to 12% when the flow rate of 13.4 L/min was used. The highest NO concentrations were obtained at an 11.2 L/min flow rate. The NO gas concentration increased from 480 ppm to 1785 ppm with the increase in applied voltage, respectively (Figure 11a). The highest NO2 gas values were obtained at the lowest air flow rate. The NO2 concentration was increased from 49 ppm to 595 ppm with the increase in voltage from 90 V to 250 V, respectively (Figure 11b). The increase in the flow rate up to 13.4 L/min reduced the NO2 concentration from 10 to 20% depending on the used voltage. The lowest NO2 concentrations were obtained at the 15.6 L/min flow rate and ranged from 36 ppm to 520 ppm with the increase in the voltage. The selectivity of the NO was reduced from 91.5 to 76.0% with the increase in the voltage when the air flow was 15.4 L/min. Meanwhile, the selectivity of NO decreased from 90.8% to 74.9% when the flow rate was reduced to 11.2 L/min. The obtained results indicate that the selectivity of NO was only slightly reduced with the increase in the flow rate in the measured voltage ranges. The selectivity of NO was reduced in the range of 0.7–2.4%, depending on the used voltage, when the air flow rate was changed. Meanwhile, the selectivity of the NO2 gas was significantly enhanced up to 2.82 times with the increase in the output voltage from 90 V to 250 V depending on the used air flow rates.
Higher energy densities are obtained at the lower air flow rates as the same amount of energy is applied to a smaller volume of air gas per unit of time. Thus, a higher energy density will result in greater dissociation of nitrogen and oxygen molecules to atomic nitrogen and oxygen that can further form NO and NO2. Additionally, it should be noted that the formation of NO is increased at higher temperatures through the following chemical reactions [5,9,16,29]:
N + O → NO
N2* + O → NO + N
The NO created in the plasma could be partly lost due to a chemical reaction with oxygen outside the plasma volume through the following reaction:
NO + O2 → NO2 + O
This reaction will dominate if the concentration of the oxygen molecules is relatively high in plasma. The lifetime of the gliding arc is longer at lower air flow rates. Thus, the residence time of air in the arc discharge zone is also extended, which will lead to a more efficient conversion of NO to NO2 gas in the plasma. Meanwhile, the lifetime of the arc is reduced with the increase in the air flow rate to 15.6 L/min. The shorter residence time reduces the extent of NO oxidation to NO2, leading to lower concentrations of NO2 compared to NO gas.
It was observed that the increase in the air gas temperature from 220 °C to 420 °C resulted in an increase in the NO/NO2 ratio from 1.5 to 4.4, respectively [9]. Such an increase in the NO/NO2 ratio was explained by the following dominant chemical reaction:
O + NO2 → NO + O2
It was observed that when oxygen and nitrogen molecules collide with a high-energy third particle (electron, molecule, or atom), the NO particles are formed [5].
Our results indicate that the increase in the air flow rate from 6.7 to 15.6 L/min at the output voltage of 130 V increased the NO/NO2 ratio from 3.63 to 4.92, respectively. Thus, the selectivity of the NO was increased. It should be noted that the increase in the flow rate reduces the ionization degree of plasma, as higher densities of the N2 and O2 are obtained in the air plasma. However, the dissociation energy of the oxygen molecule is only 5.15 eV, while for the nitrogen molecule, 9.79 eV of energy is required. Additionally, the ionization energy of the O2 and N2 is 13.6 eV and 15.58 eV, respectively. Thus, the probabilities of the dissociation and ionization of the oxygen or nitrogen molecules will increase with the increase in the discharge power or reduction in the gas flow rate [16,24]. It was observed that the NO2 concentration increased from ~1500 ppm to ~7000 ppm with the increase in the GAD power in air plasma [24].
B. S. Patil et al. [36] demonstrated that the reduction in the air or O2 gas flow rates increased the concentrations of NOx in GAD plasmas. The highest NOx concentration of 1.4 vol.% was obtained when the lowest flow rate of 0.5 L/min was used. The longer interaction time with plasma increases the reactions of nitric oxide with excited oxygen particles and leads to the creation of nitrogen dioxide. The residence time of the air gas in the plasma was enhanced when the air flow rate was reduced and more NO and NO2 were created in the gliding arc discharge. It was determined that the arc propagation time was reduced from 14.5 ms to 4.2 ms, with the increase in the air flow rate from 0.5 L/min to 1 L/min, respectively. I. Muzammil et al. [27] demonstrated that the reduction in the air flow rate from 170 L/min to 40 L/min increased the concentration of NOx from 0.3% to 1.4%, respectively. The NO produced in air plasma quickly reacts with the oxygen to form NO2, and as a result, the production of NO is reduced at higher discharge power or lower air flow rates [27]. B. S. Patil et al. [37] obtained that the increase in the frequency from 7 kHz to 9 kHz enhanced the NOx concentration in nitrogen–oxygen plasma when the total flow rate was 1 L/min. The NO concentration varied from ~2000 ppm to ~6000 ppm depending on the N2/O2 ratio, used pulse duration, and amplitude. It was stated that the higher frequency generated more energetic electrons in the plasma volume and resulted in more collisions between oxygen and nitrogen molecules. However, the authors observed that by changing the pulse width, the NOx concentration could be higher even at lower frequencies. We also found that the NOx concentration increases with decreasing frequency (Figure 9). Such an effect was related to the higher specific energy input and peculiarities of the arc behavior propagation [37]. The selectivity of NO2 depends on the O2 content in the nitrogen–oxygen gas mixture and increases with the increase in the O2 amount from 20 to 50% [16]. It was demonstrated that the NO radical is considered the most important particle for the creation of NO2 due to chemical reaction Equation (7) in plasma [24]:
N + O2 → NO2
As the supply voltage is increased, the concentration of NO2 is enhanced due to the promotion of reaction Equation (7) [24].
This was confirmed by the reduction in the NO/NO2 ratio with the increase in output voltage or reduction in the air flow rate [35]. The NO/NO2 ratio at an 11.2 L/min flow rate was reduced from 9.8 to 3.0 with the increase in voltage from 90 V to 250 V, respectively. The obtained results indicate that the densities of the NO species in the plasma were enhanced with the increase in the voltage. However, the more NO produced in the plasma, the higher the amount of NO particles converted into NO2, which would lead to the NO2 gas concentration increasing faster than the NO gas concentration. A similar effect would be achieved by reducing the air flow at a constant voltage. The specific energy input is higher at lower air flow rates as more atomic nitrogen and oxygen would form and higher concentrations of NO and NO2 gas would be produced [35,36]. P. Terebun et al. [28] observed that the increase in NOx concentrations in the gas phase will result in higher concentrations of nitrites in the liquid phase. Our previous investigations [23] demonstrated that higher voltage values resulted in a higher concentration of nitrites and nitrates in algae growth medium. The performed studies of the variation in NOx concentrations are important because they would allow for the proper selection of the optimal gliding arc discharge parameters, which would allow us to produce plasma-activated water or a medium with the highest nitrate and nitrite concentrations.

4. Conclusions

The influence of the output voltage, discharge frequency, and air flow rate on the composition of air plasma and NOx concentrations produced by gliding arc discharge was determined. Emission spectroscopy investigations demonstrated that the excited nitrogen molecules (N2*) were the dominant species in the GAD air plasma. The air plasma consisted of a significant amount of N2+ and NO species. Meanwhile, the intensities of the emission lines attributed to the nitrogen ion (N+) or atomic oxygen (O) were relatively low.
The increase in the frequency from 230 kHz to 270 kHz at constant voltage and air flow rate enhanced the intensities of the emissions peaks of N2* by ~7.7%. Meanwhile, the intensities of the N2+, O, and NOγ species were reduced by 10%, 6%, and 10%, respectively, when the frequency was increased. As a result, the vibrational temperature varied in the range of 5930–6405 K. The produced NOx concentration was reduced from 1380 ppm to 1195 ppm, and the selectivity of NO was increased from 80.8% to 82.8%, with the increase in the frequency from 230 to 270 kHz, respectively. The increase in the air flow rate from 6.7 L/min to 15.6 L/min enhanced the intensities of the emissions lines of the N2*, N2+, N+, O, and NOγ species in air plasma. The NO and NO2 gas concentrations were reduced by ~24% and ~53% when the flow rate was enhanced from 6.7 to 15.6 L/min, respectively. Therefore, the selectivity of the NO was increased from 78.4% to 83.1%. The enhancement of the voltage increased the intensities of the emission lines attributed to the N2+, O, and NOγ species in air plasma by 1.95, 3.58, and 2.16 times, respectively. The highest intensity of the emission lines related to N2* particles was at 130 V, and the further enhancement in the voltage reduced the intensity of the N2* emission lines. This is direct evidence that the ionization degree of air gas and the dissociation of the nitrogen and oxygen molecules were enhanced. The vibrational temperature of N2* increased by ~13% with the increase in voltage when the direct air flow rate was 11.2 L/min. The increase in the voltage drastically enhanced the formation of the NO and NO2 in the GAD plasma. It can be stated that the concentrations of the produced NOx are significantly more sensitive to the used voltage than the air flow rate. The increase in the voltage allowed us to enhance the concentrations of the NO and NO2 up to ~4 times and 14 times, respectively. Meanwhile, the selectivity of NO decreased from 91.5–90.8% to 76–74.5%, with increasing voltage for various air flows. These investigations demonstrated that the highest production of the NOx is obtained at the highest output voltage and the lowest air flow rates. Meanwhile, the determined vibrational temperatures only indicate the temperature at a certain measured location, and the obtained Tvib values cannot be considered maximum temperatures for discharge formation parameters.

Author Contributions

Conceptualization, L.M.; methodology, R.U., M.A. and L.M.; software, R.U. and L.M.; validation, R.U., M.A. and L.M.; formal analysis, R.U., M.A. and L.M.; investigation, R.U., M.A. and L.M.; resources, R.U., M.A. and L.M.; data curation, R.U., M.A. and L.M.; writing—original draft preparation, L.M.; writing—review and editing, L.M.; visualization, R.U. and M.A.; supervision, L.M. All authors have read and agreed to the published version of the manuscript.

Funding

This work was supported by the Research Council of Lithuania under Grant P-MIP-22-257.

Institutional Review Board Statement

Not applicable.

Informed Consent Statement

Not applicable.

Data Availability Statement

Data is contained within the article.

Acknowledgments

The authors would like to express their gratitude to Žydrūnas Kavaliauskas for the measurements of the NOx concentrations.

Conflicts of Interest

The authors declare no conflicts of interest.

References

  1. Hertwig, C.; Meneses, N.; Mathys, A. Cold atmospheric pressure plasma and low energy electron beam as alternative nonthermal decontamination technologies for dry food surfaces: A review. Trends Food Sci. Technol. 2018, 77, 131–142. [Google Scholar] [CrossRef]
  2. El-Sheekh, M.M.; Al-Halim, M.A.A.; Mohammed, S.A. Algae processing by plasma discharge technology: A review. Algal Res. 2023, 70, 102983. [Google Scholar] [CrossRef]
  3. Choi, E.H.; Kaushik, N.K.; Hong, Y.J.; Lim, J.S.; Choi, J.S.; Han, I. Plasma bioscience for medicine, agriculture and hygiene applications. J. Korean Phys. Soc. 2022, 80, 817–851. [Google Scholar] [CrossRef]
  4. Hameedl, T.A.; Kadhem, S.J. Gliding arc discharge for water treatment. IOP Conf. Ser. Mater. Sci. Eng. 2020, 757, 012045. [Google Scholar] [CrossRef]
  5. Rathore, V.; Nema, S.K. Optimization of process parameters to generate plasma activated water and study of physicochemical properties of plasma activated solutions at optimum condition. J. Appl. Phys. 2021, 129, 084901. [Google Scholar] [CrossRef]
  6. Pipliya, S.; Kumar, S.; Babar, N.; Srivastav, P.P. Recent trends in non-thermal plasma and plasma activated water: Effect on quality attributes, mechanism of interaction and potential application in food & agriculture. Food Chem. Adv. 2023, 2, 100249. [Google Scholar] [CrossRef]
  7. Wang, Y.; Liu, Y.; Xuan, Z.; Zhu, L.; Yuan, Z.; Xu, J.; Li, C.; Sun, Y. Hydrogen-rich gas production from tar model compound disintegrates over low-temperature plasma in dielectric barrier discharge reactor. Int. J. Hydrogen Energy 2024, 58, 678–687. [Google Scholar] [CrossRef]
  8. Rabinovich, A.; Nirenberg, G.; Kocagoz, S.; Surace, M.; Sales, C.; Fridman, A. Scaling Up of Non-Thermal Gliding Arc Plasma Systems for Industrial Applications. Plasma Chem. Plasma Process. 2021, 42, 35–50. [Google Scholar] [CrossRef]
  9. Malik, M.A.; Jiang, C.; Heller, R.; Lane, J.; Hughes, D.; Schoenbach, K.H. Ozone-free nitric oxide production using an atmospheric pressure surface discharge—A way to minimize nitrogen dioxide co-production. Chem. Eng. J. 2016, 283, 631–638. [Google Scholar] [CrossRef]
  10. Pei, X.; Gidon, D.; Yang, Y.J.; Xiong, Z.; Graves, D.B. Reducing energy cost of NOx production in air plasmas. Chem. Eng. J. 2019, 362, 217–228. [Google Scholar] [CrossRef]
  11. Kim, J.; Lee, H.; Huh, S.-C.; Bae, J.H.; Choe, W.; Han, D.; Park, S.; Ryu, S.; Park, S. Competitive formation of NO, NO2, and O3 in an air-flowing plasma reactor: A central role of the flow rate. Chem. Eng. J. 2023, 468, 143636. [Google Scholar] [CrossRef]
  12. Matějka, F.; Galář, P.; Khun, J.; Scholtz, V.; Kůsová, K. Mechanisms leading to plasma activated water high in nitrogen oxides. Phys. Scr. 2023, 98, 045619. [Google Scholar] [CrossRef]
  13. Roy, N.C.; Maira, N.; Pattyn, C.; Remy, A.; Delplancke, M.-P.; Reniers, F. Mechanisms of reducing energy costs for nitrogen fixation using air-based atmospheric DBD plasmas over water in contact with the electrode. Chem. Eng. J. 2023, 461, 141844. [Google Scholar] [CrossRef]
  14. Li, Z.; Nie, L.; Liu, D.; Lu, X. An atmospheric pressure glow discharge in air stabilized by a magnetic field and its application on nitrogen fixation. Plasma Process. Polym. 2022, 19, e2200071. [Google Scholar] [CrossRef]
  15. Abdelaziz, A.A.; Teramoto, Y.; Nozaki, T.; Kim, H.-H. Performance of high-frequency spark discharge for efficient NOx production with tunable selectivity. Chem. Eng. J. 2023, 470, 144182. [Google Scholar] [CrossRef]
  16. Denra, A.; Saud, S.; Nguyen, D.B.; Trinh, Q.T.; Nguyen, T.-K.; An, H.; Nguyen, N.-T.; Teke, S.; Mok, Y.S. Nitrogen fixation by rotational gliding arc plasma at surrounding conditions. J. Clean. Prod. 2024, 436, 140618. [Google Scholar] [CrossRef]
  17. Wang, Y.; DeSilva, A.W.; Goldenbaum, G.C.; Dickerson, R.R. Nitric oxide production by simulated lightning: Dependence on current, energy, and pressure. J. Geophys. Res.-Atmos. 1998, 103, 19149–19159. [Google Scholar] [CrossRef]
  18. Shekhter, A.B.; Kabisov, R.K.; Pekshev, A.V.; Kozlov, N.P.; Perov, Y.L. Experimental and clinical validation of plasma dynamic therapy of wounds with nitric oxide. Bull. Exp. Biol. Med. 1998, 126, 829–834. [Google Scholar] [CrossRef]
  19. Namihira, T.; Katsuki, S.; Hackam, R.; Akiyama, H.; Okamoto, K. Production of nitric oxide using a pulsed arc discharge. IEEE Trans. Plasma Sci. 2002, 30, 1993–1998. [Google Scholar] [CrossRef]
  20. Zhu, M.; Wang, Z.; Chen, J.; Liu, L.; Xi, W.; Zhang, F.; Guo, L.; Liu, D.; Rong, M. Gliding arc discharge used for water activation: The production mechanism of aqueous NO and its role in sterilization. J. Phys. D Appl. Phys. 2023, 56, 035202. [Google Scholar] [CrossRef]
  21. Dhungana, S.; Guragain, R.P.; Baniya, H.B.; Panta, G.P.; Chhetri, G.K.; Subedi, D.P. Electrical and Optical Characterization of Gliding Arc Discharge (GAD) Operated at Line Frequency (50 Hz) Power Supply. J. Nepal Phys. Soc. 2020, 6, 26–33. [Google Scholar] [CrossRef]
  22. Dahle, S.; Pilko, M.; Žigon, J.; Zaplotnik, R.; Petrič, M. An open-source surface barrier discharge plasma pretreatment for reduced cracking of outdoor wood coatings. Cellulose 2021, 28, 8055–8076. [Google Scholar] [CrossRef]
  23. Marcinauskas, L.; Kavaliauskas, Ž.; Jonynaitė, K.; Uscila, R.; Aikas, M.; Keršulis, S.; Strakšys, A.; Stirkė, A.; Stankevič, V. The Influence of Voltage on Gliding Arc Discharge Characteristics, the Composition of Air Plasma, and the Properties of BG-11 Medium. Appl. Sci. 2024, 14, 2135. [Google Scholar] [CrossRef]
  24. Bo, Z.; Yan, J.; Li, X.; Chi, Y.; Cen, K. Nitrogen dioxide formation in the gliding arc discharge-assisted decomposition of volatile organic compounds. J. Hazard. Mater. 2009, 166, 1210–1216. [Google Scholar] [CrossRef] [PubMed]
  25. Ashtiani, S.-H.M.; Rafiee, M.; Morad, M.M.; Khojastehpour, M.; Khani, M.R.; Rohani, A.; Shokri, B.; Martynenko, A. Impact of gliding arc plasma pretreatment on drying efficiency and physicochemical properties of grape. Innov. Food Sci. Emerg. Technol. 2020, 63, 102381. [Google Scholar] [CrossRef]
  26. Parker, M. Atmospheric Pressure Plasmas: Processes, Technology and Applications; Nova Science Pub Inc.: Hauppauge, NY, USA, 2016; ISBN 978-1634851800. [Google Scholar]
  27. Muzammil, I.; Lee, D.H.; Dinh, D.K.; Kang, H.; Roh, S.A.; Kim, Y.-N.; Choi, S.; Jung, C.; Song, Y.-H. A novel energy efficient path for nitrogen fixation using a non-thermal arc. RSC Adv. 2021, 11, 12729–12738. [Google Scholar] [CrossRef] [PubMed]
  28. Terebun, P.; Kwiatkowski, M.; Hensel, K.; Kopacki, M.; Pawłat, J. Influence of Plasma Activated Water Generated in a Gliding Arc Discharge Reactor on Germination of Beetroot and Carrot Seeds. Appl. Sci. 2021, 11, 6164. [Google Scholar] [CrossRef]
  29. Machala, Z.; Janda, M.; Hensel, K.; Jedlovský, I.; Leštinská, L.; Foltin, V.; Martišovitš, V.; Morvová, M. Emission spectroscopy of atmospheric pressure plasmas for bio-medical and environmental applications. J. Mol. Spectrosc. 2007, 243, 194–201. [Google Scholar] [CrossRef]
  30. Zhao, W.; Alwahabi, Z.T. Diagnostics of Air Purification Plasma Device by Spatially Resolved Emission Spectroscopy. Plasma 2022, 5, 206–220. [Google Scholar] [CrossRef]
  31. Khalili, F.; Shokri, B.; Khani, M.-R.; Hasani, M.; Zandi, F.; Aliahmadi, A. A study of the effect of gliding arc non-thermal plasma on almonds decontamination. AIP Adv. 2018, 8, 105024. [Google Scholar] [CrossRef]
  32. Indumathy, B.; Ananthanarasimhan, J.; Rao, L.; Yugeswaran, S.; Ananthapadmanabhan, P.V. Catalyst-free production of ammonia by means of interaction between a gliding arc plasma and water surface. J. Phys. D Appl. Phys. 2022, 55, 395501. [Google Scholar] [CrossRef]
  33. Chen, G.C.; He, L.M.; Zhao, B.B.; Zhang, H.L.; Zhao, Z.C.; Zeng, H.; Lei, J.P.; Liu, X. Effects of Working Medium Gases on Emission Spectral and Temperature Characteristics of a Plasma Igniter. J. Spectrosc. 2019, 2019, 5395914. [Google Scholar] [CrossRef]
  34. Zhang, R.; Huang, H.; Yang, T. Mode transition induced by back-breakdown of the gliding arc and its influence factors. High Volt. 2020, 5, 306–312. [Google Scholar] [CrossRef]
  35. van Raak, T.; van den Bogaard, H.; De Felice, G.; Emmery, D.; Gallucci, F.; Li, S. Numbering up and sizing up gliding arc reactors to enhance the plasma-based synthesis of NOx. Catal. Sci. Technol. 2024, 14, 5405–5421. [Google Scholar] [CrossRef]
  36. Patil, B.S.; Peeters, F.J.J.; van Rooij, G.J.; Medrano, J.A.; Gallucci, F.; Lang, J.; Wang, Q.; Hessel, V. Plasma assisted nitrogen oxide production from air: Using pulsed powered gliding arc reactor for a containerized plant. AIChE J. 2018, 64, 526–537. [Google Scholar] [CrossRef]
  37. Patil, B.S.; Palau, J.R.; Hessel, V.; Lang, J.; Wang, Q. Plasma Nitrogen Oxides Synthesis in a Milli-Scale Gliding Arc Reactor: Investigating the Electrical and Process Parameters. Plasma Chem. Plasma Process. 2016, 36, 241–257. [Google Scholar] [CrossRef]
Figure 1. Schematic of experimental setup used for the creation of gliding arc discharge and the investigation of plasma.
Figure 1. Schematic of experimental setup used for the creation of gliding arc discharge and the investigation of plasma.
Applsci 15 00446 g001
Figure 2. Emission spectra of the air plasma when the discharge frequency was 270 kHz measured with an AOS4 spectrometer.
Figure 2. Emission spectra of the air plasma when the discharge frequency was 270 kHz measured with an AOS4 spectrometer.
Applsci 15 00446 g002
Figure 3. Emission spectra of the air plasma when the discharge frequency was 230 kHz and 270 kHz, voltage was 130 V, tangential flow rate was 9.44 L/min, and direct air flow rate was 13.4 L/min.
Figure 3. Emission spectra of the air plasma when the discharge frequency was 230 kHz and 270 kHz, voltage was 130 V, tangential flow rate was 9.44 L/min, and direct air flow rate was 13.4 L/min.
Applsci 15 00446 g003
Figure 4. Variation in intensities of the N2* (a) and NOγ, O, and N2+ (b) species on the discharge frequency at 130 V voltage, when the air flow rates were 9.44 L/min (tangential) and 13.4 L/min (direct).
Figure 4. Variation in intensities of the N2* (a) and NOγ, O, and N2+ (b) species on the discharge frequency at 130 V voltage, when the air flow rates were 9.44 L/min (tangential) and 13.4 L/min (direct).
Applsci 15 00446 g004
Figure 5. Emission spectra of the air plasma at different direct air flow rates when the discharge frequency was 270 kHz and output voltage was 130 V.
Figure 5. Emission spectra of the air plasma at different direct air flow rates when the discharge frequency was 270 kHz and output voltage was 130 V.
Applsci 15 00446 g005
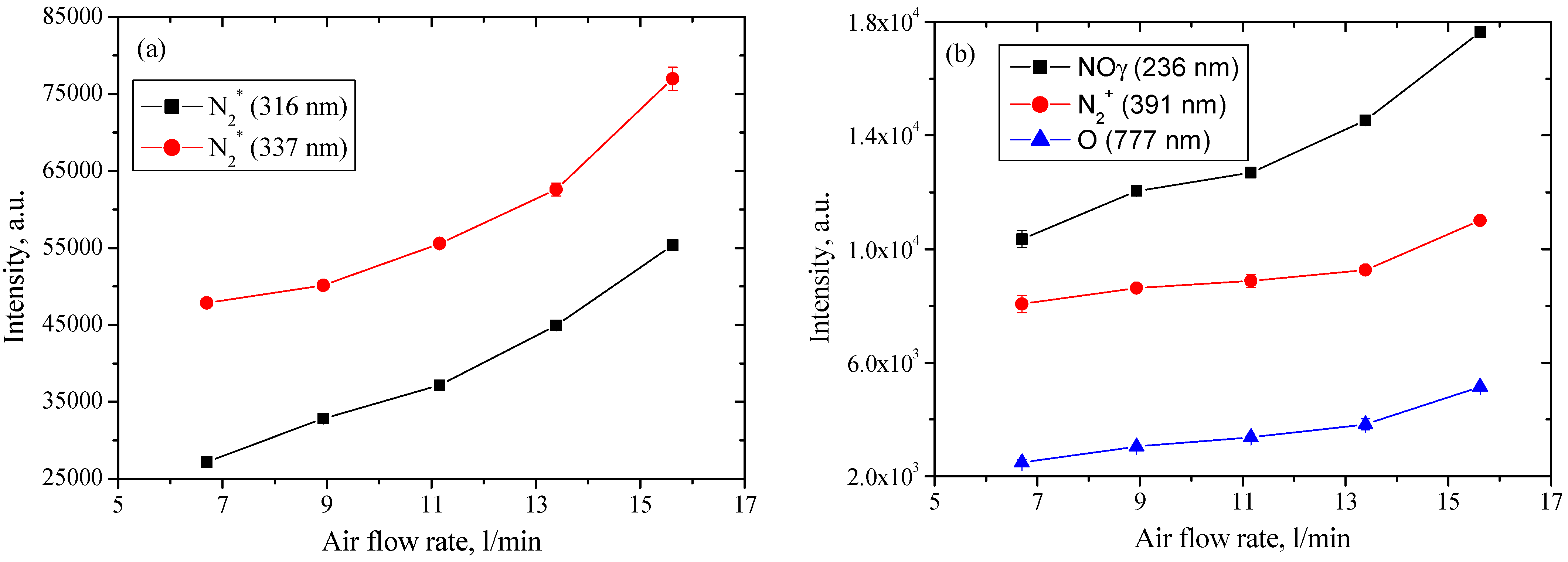
Figure 6. Variation in intensities of the N2* (a) and NOγ, O, and N2+ (b) species with the direct air flow rates (from 6.7 to 15.6 L/min), when the voltage was kept at 130 V, and frequency, at 270 kHz.
Figure 6. Variation in intensities of the N2* (a) and NOγ, O, and N2+ (b) species with the direct air flow rates (from 6.7 to 15.6 L/min), when the voltage was kept at 130 V, and frequency, at 270 kHz.
Applsci 15 00446 g006
Figure 7. Variation in intensities of the N2* (a) and NOγ, O, and N2+ (b) species on the voltage, when the frequency was 270 kHz and the direct air flow rates were 11.2 L/min and 13.4 L/min.
Figure 7. Variation in intensities of the N2* (a) and NOγ, O, and N2+ (b) species on the voltage, when the frequency was 270 kHz and the direct air flow rates were 11.2 L/min and 13.4 L/min.
Applsci 15 00446 g007
Figure 8. The dependence of temperature on the voltage, when the direct air flow rates were 11.2 L/min and 13.4 L/min.
Figure 8. The dependence of temperature on the voltage, when the direct air flow rates were 11.2 L/min and 13.4 L/min.
Applsci 15 00446 g008
Figure 9. Variation in the NO (a) and NO2 (b) gas concentrations on the discharge frequency at various output voltages, when the direct air flow rate was 13.4 L/min.
Figure 9. Variation in the NO (a) and NO2 (b) gas concentrations on the discharge frequency at various output voltages, when the direct air flow rate was 13.4 L/min.
Applsci 15 00446 g009
Figure 10. Variation in the NO (a) and NO2 (b) gas concentrations produced in gliding arc discharges on a direct air flow rate at 270 kHz.
Figure 10. Variation in the NO (a) and NO2 (b) gas concentrations produced in gliding arc discharges on a direct air flow rate at 270 kHz.
Applsci 15 00446 g010
Figure 11. Dependence of NO (a) and NO2 (b) gas concentrations on discharge output voltages.
Figure 11. Dependence of NO (a) and NO2 (b) gas concentrations on discharge output voltages.
Applsci 15 00446 g011
Disclaimer/Publisher’s Note: The statements, opinions and data contained in all publications are solely those of the individual author(s) and contributor(s) and not of MDPI and/or the editor(s). MDPI and/or the editor(s) disclaim responsibility for any injury to people or property resulting from any ideas, methods, instructions or products referred to in the content.

Share and Cite

MDPI and ACS Style

Marcinauskas, L.; Uscila, R.; Aikas, M. The Influence of Air Flow Rates and Voltage on the Plasma Emission Spectra and the Concentrations of Nitrogen Oxides Produced by Gliding Arc Discharge Plasma. Appl. Sci. 2025, 15, 446. https://doi.org/10.3390/app15010446

AMA Style

Marcinauskas L, Uscila R, Aikas M. The Influence of Air Flow Rates and Voltage on the Plasma Emission Spectra and the Concentrations of Nitrogen Oxides Produced by Gliding Arc Discharge Plasma. Applied Sciences. 2025; 15(1):446. https://doi.org/10.3390/app15010446

Chicago/Turabian Style

Marcinauskas, Liutauras, Rolandas Uscila, and Mindaugas Aikas. 2025. "The Influence of Air Flow Rates and Voltage on the Plasma Emission Spectra and the Concentrations of Nitrogen Oxides Produced by Gliding Arc Discharge Plasma" Applied Sciences 15, no. 1: 446. https://doi.org/10.3390/app15010446

APA Style

Marcinauskas, L., Uscila, R., & Aikas, M. (2025). The Influence of Air Flow Rates and Voltage on the Plasma Emission Spectra and the Concentrations of Nitrogen Oxides Produced by Gliding Arc Discharge Plasma. Applied Sciences, 15(1), 446. https://doi.org/10.3390/app15010446

Note that from the first issue of 2016, this journal uses article numbers instead of page numbers. See further details here.

Article Metrics

Back to TopTop