Determination of Polycyclic Aromatic Hydrocarbons (PAHs) Transfer from Dried Medicinal Plants in Infusions for Therapeutic Purposes
Abstract
1. Introduction
2. Materials and Methods
2.1. Reagents
2.2. Sampling
2.3. Preparation, Extraction and Clean-Up Procedure of Teas and Tea Infusions
2.4. GC-MS Analysis of PAHs
2.5. Statistical Analysis
2.6. Margin of Exposure (MOE)
3. Results and Discussion
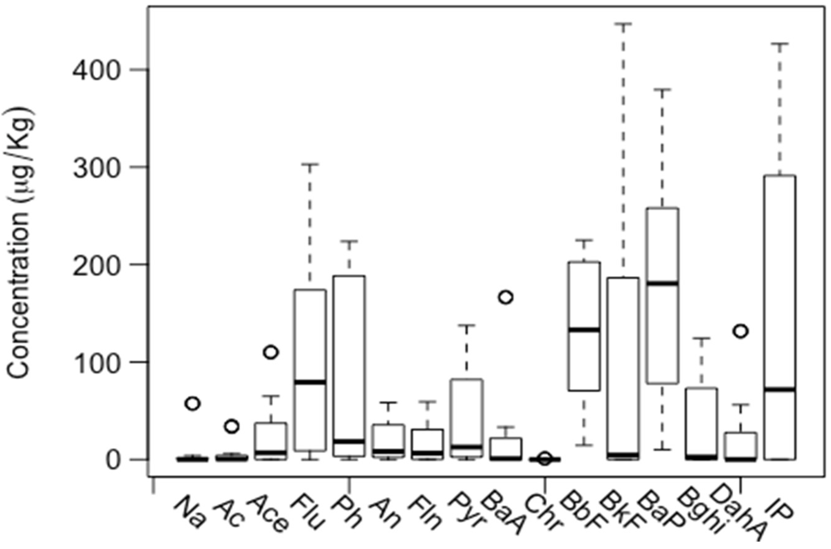
3.1. PAHs in Dried Medicinal Plants and Infusions
3.2. Discussion of the Statistical Analysis Results
3.3. Transfer Rate (%) of PAHs
3.4. Discussion of the Margin of Exposure (MOE) Results
4. Conclusions
Author Contributions
Funding
Institutional Review Board Statement
Informed Consent Statement
Data Availability Statement
Acknowledgments
Conflicts of Interest
References
- European Food Safety Authority (EFSA). Polycyclic aromatic hydrocarbons in food scientific opinion of the panel on contaminants in the food chain. EFSA J. 2008, 6, 724. [Google Scholar]
- European Commission (EU). Commission Regulation No.2015/1933 of 27 October 2015 amending Regulation (EC) No1881/2006 as regards maximum levels for polycyclic aromatic hydrocarbons in cocoa fibre, banana chips, food supplements, dried herbs and dried spices. Off. J. Eur. Union 2015, 282, 11–13. [Google Scholar]
- International Agency for Research on Cancer (IARC). Some non-heterocyclic polycyclic aromatic hydrocarbons and some related exposures. Monogr. Eval. Carcinog. Risks Hum. 2010, 92, 853. [Google Scholar]
- Ijeabuonwu, A.C.M.; Bernatoniene, J.; Pranskuniene, Z. Medicinal Plants Used to Treat Skin Diseases and for Cosmetic Purposes in Norway. Plants 2024, 13, 2821. [Google Scholar] [CrossRef]
- Ajayi, O.E.; Yoon, S.Y.; Moon, S.; Kim, K.H.; Kim, J.H.; Chung, J.-W.; Jang, K.-I.; Hyun, T.K. Variability in Phytochemical Contents and Biological Activities among Adenophora triphylla Genotypes. Appl. Sci. 2023, 13, 11184. [Google Scholar] [CrossRef]
- Borah, P.; Deka, H. Polycyclic aromatic hydrocarbon (PAH) accumulation in selected medicinal plants: A mini review. Environ. Sci. Pollut. Res. 2024, 31, 36532–36550. [Google Scholar] [CrossRef]
- Bratu, M.M.; Birghila, S.; Coatu, V.; Danilov, D.A.; Radu, M.D.; Birghila, C. Polycyclic Aromatic Hydrocarbons (PAHs) in Some Commercial Herbal Teas. Polycycl. Aromat. Compd. 2023, 43, 2269–2282. [Google Scholar] [CrossRef]
- Cacho, J.; Campillo, N.; Viñas, P.; Hernández-Córdoba, M. Use of headspace sorptive extraction coupled to gas chromatography–mass spectrometry for the analysis of volatile polycyclic aromatic hydrocarbons in herbal infusions. J. Chromatogr. A 2014, 1356, 38–44. [Google Scholar] [CrossRef]
- Thea, A.E.; Ferreira, D.; Brumovsky, L.A.; Schmalko, M.E. Polycyclic aromatic hydrocarbons (PAHs) in yerba mate (Ilex paraguariensis St. Hil) traditional infusions (mate and terere). Food Control 2016, 60, 215–220. [Google Scholar] [CrossRef]
- Sadowska-Rociek, A.; Surma, M. Levels and risk assessment of polycyclic aromatic hydrocarbons, acrylamide and 5-hydroxymethylfurfural in yerba mate and its infusions. Food Control 2023, 152, 109860. [Google Scholar] [CrossRef]
- Schulz, C.M.; Fritz, H.; Ruthenschrör, A. Occurrence of 15 + 1 EU priority polycyclic aromatic hydrocarbons (PAH) in various types of tea (Camellia sinensis) and herbal infusions. Food Addit. Contam. Part A 2014, 31, 1723–1735. [Google Scholar] [CrossRef] [PubMed]
- Ciemniak, A.; Kuźmicz, K.; Rajkowska-Myśliwiec, M.; Cadena, M.F. Assessing the contamination levels of dried teas and their infusions by polycyclic aromatic hydrocarbons (PAHs). J. Consum. Prot. Food Saf. 2019, 14, 263–274. [Google Scholar] [CrossRef]
- Georgieva, S.K.; Georgieva, A.; Peteva, Z.V.; Trifonova, T.P. Polycyclic aromatic hydrocarbons contamination levels of dried herbal teas and their infusions. Eur. Food Res. Technol. 2023, 249, 3001–3009. [Google Scholar] [CrossRef]
- European Pharmacopoeia (EP). Monographs on herbal drugs and herbal drug preparations. Counc. Eur. 2019, 1, 1289–1675. [Google Scholar]
- Training Manual on the Measurement of Organochlorine and Petroleum Hydrocarbons in Environmental Samples; IAEA-MEL: Monaco, Monaco, 1995.
- (2023-10-31)-“Eye Holes” Copyright (C) 2023 the R Foundation for Statistical Computing Platform: Aarch64-Apple-Darwin23.0.0 (64-bit), R version 4.3.2; The R Project for Statistical Computing: Vienna, Austria, 2023.
- Order of the Minister of Health No. 3,590/2024; SECTION 10.2024; National Center for Statistics in Public Health (CNSSP): Hyattsville, MD, USA, 2024.
- Walpole, S.C.; Prieto-Merino, D.; Edwards, P.; Cleland, J.; Stevens, G.; Roberts, I. The weight of nations: An estimation of adult human biomass. BMC Public Health 2012, 12, 439–445. [Google Scholar] [CrossRef]
- Agency Risk Assessment Forum; US EPA: Washington, DC, USA, 2005.
- European Commission (EU). Commission Regulation No 835/2011 of 19 August 2011 amending regulation (EC) No 1881/2006 as regards maximum levels for polycyclic aromatic hydrocarbons in foodstuffs. Off. J. Eur. Union 2011, 215, 9–16. [Google Scholar]
- Bensona, N.U.; Fred-Ahmadua, O.H.; Olugbuyirob, J.A.O.; Anakea, W.U.; Adedapoa, A.E.; Olajire, A.A. Concentrations, sources and risk characterisation of polycyclic aromatic hydrocarbons (PAHs) in green, herbal and black tea products in Nigeria. J. Food Compos. Anal. 2018, 66, 13–22. [Google Scholar] [CrossRef]
- Malik, J.; Frankova, A.; Drabek, O.; Szakova, J.; Ash, C.; Kokoska, L. Aluminium and other elements in selected herbal tea plant species and their infusions. Food Chem. 2013, 139, 728–734. [Google Scholar] [CrossRef]
- Elallem, K.A.; Ben Bakrim, W.; Yasri, A.; Boularbah, A. Growth, Biochemical Traits, Antioxidant Enzymes, and Essential Oils of Four Aromatic and Medicinal Plants Cultivated in Phosphate-Mine Residues. Plants 2024, 13, 2656. [Google Scholar] [CrossRef]
- Simonich, S.L.; Hites, R.A. Organic pollutant accumulation in vegetation. Environ. Sci. Technol. 1995, 29, 2905–2914. [Google Scholar] [CrossRef]
- Moeckel, C.; Nizzetto, L.; Strandberg, B.; Lindroth, A.; Jones, K.C. Air−Boreal forest transfer and processing of polychlorinated biphenyls. Environ. Sci. Technol. 2009, 43, 5282–5289. [Google Scholar] [CrossRef] [PubMed]
- Pincemaille, J.; Schummer, C.; Heinen, E.; Moris, G. Determination of polycyclic aromatic hydrocarbons in smoked and non-smoked black teas and tea infusions. Food Chem. 2014, 145, 807–813. [Google Scholar] [CrossRef] [PubMed]
- Tan, J.; Engelhardt, U.H.; Lin, Z.; Kaiser, N.; Maiwald, B. Flavonoids, phenolic acids, alkaloids and theanine in different types of authentic Chinese white tea samples. J. Food Compos. Anal. 2017, 57, 8–15. [Google Scholar] [CrossRef]
- Lan-Anh, P.T.; Nguyen, T.N.; Nguyen, T.Q.; Nguyen, V.T.; Truong, T.K.; Duong, H.A.; Pham, H.V. Polycyclic aromatic hydrocarbons (PAHs) in dry tea leaves and tea infusions in Vietnam: Contamination levels and dietary risk assessment. Environ. Geochem. Health 2020, 42, 2853–2863. [Google Scholar]
- Lin, D.; Zhu, L. Polycyclic aromatic hydrocarbons: Pollution and source analysis of a black tea. J. Agric. Food Chem. 2004, 52, 8268–8271. [Google Scholar] [CrossRef]
- Adisa, A.; Jimenez, A.; Woodham, C.; Anthony, K.; Nguyen, T.; Saleh, M.A. Determination of polycyclic aromatic hydrocarbons in dry tea. J. Environ. Sci. Health Part B 2015, 50, 552–559. [Google Scholar] [CrossRef]
- Girelli, A.M.; Apriceno, A.; Tarola, A.M.; Tortora, F. Determination of polycyclic aromatic hydrocarbons in tea infusions samples by high performance liquid chromatography with fluorimetric detection. J. Food Qual. 2017, 7, 1076876. [Google Scholar] [CrossRef]
- Da Silva Pinto, M. Tea: A new perspective on health benefits. Food Res. Int. 2013, 53, 558–567. [Google Scholar] [CrossRef]
- Zachara, A.; Gałkowska, D.; Juszczak, L. Contamination of Tea and Tea Infusion with Polycyclic Aromatic Hydrocarbons. Int. J. Environ. Res. Public Health 2018, 15, 45. [Google Scholar] [CrossRef]
- Lin, D.; Tu, Y.; Zhu, L. Concentrations and health risk of polycyclic aromatic hydrocarbons in tea. Food Chem. Toxicol. 2005, 43, 41–48. [Google Scholar] [CrossRef]
- Duedahl-Olesen, L.; Navaratnam, M.A.; Jewula, J.; Jensen, A.H. PAH in some brands of tea and coffee. Polycycl. Aromat. Compd. 2015, 35, 74–90. [Google Scholar] [CrossRef]
- Turck, D.; Bresson, J.L.; Burlingame, B.; Dean, T.; Fairweather-Tait, S.; Heinonen, M.; Hirsch-Ernst, K.I.; Mangelsdorf, I.; McArdle, H. Panel on Dietetic Products, Nutrition and Allergies (EFSA). Guidance on the preparation and presentation of the notification and application for authorisation of traditional foods from third countries in the context of regulation (EU) 2015/2283. EFSA J. 2016, 14, e04590. [Google Scholar]
- Roszko, M.; Kaminska, M.; Szymczyk, M.; Jędrzejczak, R. Dietary risk evaluation for 28 polycyclic aromatic hydrocarbons (PAHs) in tea preparations made of teas available on the Polish retail market. J. Environ. Sci. Health Part B 2018, 53, 25–34. [Google Scholar] [CrossRef] [PubMed]



| PAHs | Retention Time | m/z | Linearity (R2) | LOD (µg/g) dwt |
|---|---|---|---|---|
| Na | 7.25 | 128 | 0.9885 | 0.0001 |
| Ac | 13.70 | 152 | 0.9937 | 0.0001 |
| Ace | 14.50 | 154 | 0.9933 | 0.0001 |
| Flu | 16.57 | 166 | 0.9945 | 0.0001 |
| Ph | 20.36 | 178 | 0.9922 | 0.0001 |
| An | 20.56 | 178 | 0.9968 | 0.0001 |
| Fln | 25.04 | 202 | 0.9923 | 0.0001 |
| Pyr | 25.87 | 202 | 0.9980 | 0.0001 |
| BaA | 30.74 | 228 | 0.9972 | 0.0001 |
| Chr | 30.90 | 228 | 0.9946 | 0.0001 |
| BbF | 33.80 | 252 | 0.9840 | 0.0001 |
| BkF | 34.00 | 252 | 0.9734 | 0.0001 |
| BaP | 34.68 | 252 | 0.9858 | 0.0001 |
| Bghi | 37.20 | 276 | 0.9765 | 0.0001 |
| DahA | 37.40 | 278 | 0.9823 | 0.0001 |
| IP | 37.74 | 276 | 0.9756 | 0.0001 |
| PAHs | Hypericum perforatum | Artemisia absinthium | Tilia sp. | Matricaria chamomilla | Achillea millefolium | Taraxacum officinale | Calendula officinalis | Crataegus monogyna |
|---|---|---|---|---|---|---|---|---|
| Na | BLD | BLD | BLD | BLD | 57.32 ± 7.25 | 3.53 ± 1.02 | BLD | BLD |
| Ac | 0.5 8 ± 0.01 | 2.23 ± 0.45 | BLD | BLD | 5.72 ± 1.05 | 33.96 ± 6.14 | 0.57 ± 0.01 | BLD |
| Ace | 7.61 ± 0.82 | 0.10 ± 0.001 | BLD | BLD | 110.08 ± 10.11 | 64.59 ± 9.12 | 6.02 ± 1.13 | 9.82 ± 1.89 |
| Flu | 157.08 ± 10.23 | 16.46 ± 3.87 | BLD | 1.72 ± 0.63 | 302.8 ± 14.30 | 191.65 ± 10.78 | 137.30 ± 6.89 | 21.09 ± 3.12 |
| Ph | BLD | 9.93 ± 1.90 | BLD | 223.3 ± 16.23 | 27.02 ± 4.38 | 180.46 ± 12.40 | 195.71 ± 12.10 | 6.74 ± 1.24 |
| An | 10.26 ± 1.14 | BLD | 4.64 ± 0.76 | 6.37 ± 1.89 | 56.53 ± 10.12 | 57.91 ± 5.75 | 14.76 ± 3.65 | BLD |
| Fln | 4.29 ± 0.70 | 58.80 ± 8.12 | BLD | BLD | 25.05 ± 4.87 | 36.38 ± 6.12 | 0.51 ± 0.02 | 8.62 ± 2.01 |
| Pyr | 5.08 ± 1.12 | 92.12 ± 10.32 | BLD | BLD | 18.76 ± 3.19 | 136.68 ± 10.12 | 72.07 ± 5.89 | 6.94 ± 1.78 |
| BaA | 0.24 ± 0.01 | BLD | BLD | 10.14 ± 2.03 | 32.86 ± 5.23 | 166.46 ± 8.45 | BLD | 1.56 ± 0.34 |
| Chr | BLD | BLD | BLD | 1.00 ± 0.02 | BLD | BLD | 0.67 ± 0.03 | BLD |
| BbF | 109.04 ± 12.20 | 201.12 ± 12.38 | 224.52 ± 18.23 | 14.8 ± 2.78 | 203.04 ± 16.12 | 117.91 ± 6.23 | 32.20 ± 5.60 | 147.91 ± 10.12 |
| BkF | BLD | BLD | 324.80 ± 20.12 | 9.37 ± 1.53 | BLD | 446.32 ± 25.70 | 48.31 ± 4.73 | BLD |
| BaP | 102.87 ± 17.12 | 148.46 ± 9.12 | 220.06 ± 15.10 | 10.40 ± 2.02 | 212.39 ± 9.24 | 379.00 ± 16.26 | 52.87 ± 10.12 | 295.23 ± 15.76 |
| Bghi | 5.10 ± 1.35 | BLD | 52.81 ± 7.14 | BLD | 93.42 ± 10.11 | 124.30 ± 8.15 | BLD | BLD |
| DahA | BLD | BLD | BLD | BLD | 55.87 ± 4.56 | 131.56 ± 12.01 | BLD | BLD |
| IP | 186.20 ± 15.21 | BLD | 66.93 ± 8.23 | BLD | 425.57 ± 27.12 | 395.75 ± 24.17 | BLD | 76.53 ± 6.89 |
| ∑4PAHs | 212.15 ± 12.14 | 349.58 ± 25.62 | 444.56 ± 20.15 | 36.43 ± 9.24 | 448.29 ± 18.24 | 603.37 ± 35.26 | 85.74 ± 9.80 | 444.7 ± 32.69 |
| LMW-PAHs | 174.95 ± 16.10 | 28.72 ± 4.25 | 4.64 ± 0.28 | 231.42 ± 12.56 | 559.55 ± 30.10 | 532.1 ± 17.89 | 354.36 ± 40.12 | 37.6 ± 5.85 |
| HMW-PAHs | 412.82 ± 19.31 | 500.5 ± 34.20 | 889.12 ± 50.42 | 45.8 ± 8.10 | 1066.96 ± 101.12 | 1934.36 ± 101.30 | 206.63 ± 12.34 | 536.79 ± 38.12 |
| ∑16PAHs | 587.77 ± 32.45 | 529.22 ± 25.12 | 893.66 ± 38.19 | 277.22 ± 12.78 | 1626.51 ± 65.92 | 2466.46 ± 203.45 | 560.99 ± 45.70 | 577.44 ± 23.18 |
| PAHs | Hypericum perforatum | Artemisia absinthium | Tilia sp. | Matricaria chamomilla | Achillea millefolium | Taraxacum officinale | Calendula officinalis | Crataegus monogyna |
|---|---|---|---|---|---|---|---|---|
| Na | BLD | BLD | BLD | BLD | BLD | BLD | BLD | BLD |
| Ac | 0.9 ± 0.01 | BLD | BLD | BLD | 15.3 ± 2.67 | 13.33 ± 1.89 | 1.42 ± 0.11 | BLD |
| Ace | 25.4 ± 2.72 | BLD | BLD | BLD | 306.3 ± 19.30 | 45 ± 4.38 | 11.07 ± 2.04 | 20.68 ± 3.42 |
| Flu | 510.0 ± 32.14 | BLD | BLD | 1.46 ± 0.45 | 223.7 ± 24.15 | 103.04 ± 10.12 | 423.81 ± 56.12 | 39.13 ± 2.97 |
| Ph | BLD | BLD | BLD | 477.8 ± 26.12 | 78.8 ± 5.78 | 111.73 ± 7.90 | 512.95 ± 38.21 | 15.07 ± 3.01 |
| An | 10.5 ± 1.09 | BLD | 9.5 ± 1.79 | 18.19 ± 3.08 | 140.0 ± 10.01 | 21.66 ± 2.78 | 41.0 ± 5.10 | BLD |
| Fln | 7.23 ± 1.01 | 1.49 ± 0.10 | BLD | BLD | 18.0 ± 2.89 | 15.0 ± 2.68 | 1.12 ± 0.09 | 23.79 ± 3.02 |
| Pyr | 4.6 ± 0.76 | BLD | BLD | BLD | 18.3 ± 1.90 | 20.33 ± 3.0 | 201.76 ± 10.7 | 17.93 ± 4.4 |
| BaA | 0.7 ± 0.01 | BLD | BLD | 28.18 ± 4.79 | 61.6 ± 4.06 | 105 ± 11.20 | BLD | 2.62 ± 0.18 |
| Chr | BLD | BLD | BLD | 1.29 ± 0.10 | BLD | BLD | 1.40 ± 0.12 | BLD |
| BbF | 290.6 ± 23.61 | BLD | 427.0 ± 19.24 | 37.27 ± 5.14 | 342.1 ± 45.12 | 111 ± 9.57 | 84.44 ± 12.20 | 355.17 ± 54.29 |
| BkF | BLD | BLD | 412.5 ± 16.18 | 26.18 ± 3.29 | BLD | 310 ± 19.20 | 130.53 ± 16.41 | BLD |
| BaP | 202.9 ± 27.14 | BLD | 360.7 ± 14.21 | 22.18 ± 2.81 | 270.0 ± 15.67 | 280 ± 31.28 | 126.97 ± 9.27 | 436.21 ± 12.56 |
| Bghi | 16.3 ± 2.11 | BLD | 62.75 ± 8.14 | BLD | 290.6 ± 20.11 | 17.75 ± 2.78 | BLD | BLD |
| DahA | BLD | BLD | BLD | BLD | 115.9 ± 8.90 | 91.81 ± 5.11 | BLD | BLD |
| IP | 162.2 ± 17.82 | BLD | 282.79 ± 13.12 | BLD | 411.3 ± 19.24 | 245.28 ± 34.10 | BLD | 190.98 ± 10.31 |
| ∑4PAHs | 494.2 ± 19.47 | - | 787.7 ± 32.10 | 88.92 ± 11.26 | 655.7 ± 110.34 | 496 ± 45.21 | 212.81 ± 10.2 | 794 ± 129.12 |
| LMW-PAHs | 546.8 ± 23.15 | - | 9.5 ± 1.78 | 497.45 ± 32.65 | 764.1 ± 68.12 | 294.76 ± 30.23 | 990.25 ± 135.12 | 74.88 ± 4.64 |
| HMW-PAHs | 684.3 ± 20.02 | - | 1445.74 ± 89.25 | 115.1 ± 10.28 | 1528.1 ± 70.11 | 1196.17 ± 120.34 | 546.22 ± 65.25 | 1026.7 ± 98.14 |
| ∑16PAHs | 1231.1 ± 101.12 | 1.49 ± 0.10 | 1555.64 ± 78.13 | 612.55 ± 46.12 | 2292.2 ± 140.24 | 1490.93 ± 68.34 | 1536.47 ± 101.34 | 1101.58 ± 100.34 |
| PAHs | p-Value |
|---|---|
| Naphthalene (Na) | 0.01562 |
| Acenaphthylene (Ac) | 0.01758 |
| Acenaphthene (Ace) | 3.815 × 10−6 |
| Fluorene (Flu) | 4.768 × 10−7 |
| Phenanthrene (Ph) | 3.815 × 10−6 |
| Anthracene (An) | 3.815 × 10−6 |
| Fluoranthene (Fln) | 3.815 × 10−6 |
| Pyrene (Pyr) | 3.815 × 10−6 |
| Benzo[a]anthracene (BaA) | 3.052 × 10−5 |
| Chrysene (Chr) | 0.01562 |
| Benzo[b]fluoranthene (BbF) | 5.96 × 10−6 |
| Benzo[k]fluoranthene (BkF) | 0.00024 |
| Benzo[a]pyrene (BaP) | 8.77 × 10−8 |
| Benzo[g,h,i]perylene (Bghi) | 0.073 |
| Dibenzo[a,h]anthracene (DahA) | 0.01562 |
| Indeno[1,2,3,cd] pyrene (IP) | 3.052 × 10−5 |
| PAHs | Hypericum perforatum | Artemisia absinthium | Tilia sp. | Matricaria chamomilla | Achillea millefolium | Taraxacum officinale | Calendula officinalis | Crataegus monogyna |
|---|---|---|---|---|---|---|---|---|
| Na | - | - | - | - | - | - | - | - |
| Ac | 18.30 | - | - | - | 32.09 | 4.71 | 29.89 | - |
| Ace | 40.05 | - | - | - | 33.39 | 8.36 | 22.06 | 25.27 |
| Flu | 38.96 | - | - | 10.18 | 8.86 | 1.07 | 37.04 | 22.26 |
| Ph | - | - | - | 25.67 | 34.99 | 7.42 | 31.33 | 26.83 |
| An | 12.28 | 0.30 | 24.56 | 34.26 | 29.66 | 4.48 | 33.40 | - |
| Fln | 19.58 | - | - | - | 8.77 | 4.93 | 26.35 | 33.11 |
| Pyr | 10.86 | - | - | - | 11.70 | 1.78 | 33.59 | 31.00 |
| BaA | 35.00 | - | - | 33.34 | 22.49 | 11.83 | - | 20.07 |
| Chr | - | - | - | 15.48 | - | - | 25.07 | - |
| BbF | 31.98 | - | 22.84 | 30.03 | 20.21 | 11.29 | 31.46 | 28.81 |
| BkF | - | - | 15.24 | 33.52 | - | 8.33 | 32.42 | - |
| BaP | 23.66 | - | 19.66 | 25.59 | 15.25 | 8.59 | 28.81 | 17.73 |
| Bghi | 38.35 | - | 14.25 | - | 37.32 | 1.71 | - | - |
| DahA | - | - | - | - | 24.70 | 8.37 | - | - |
| IP | 10.45 | - | 50.70 | - | 11.59 | 7.43 | - | 29.94 |
| ∑4PAHs | 27.95 | - | 21.26 | 29.28 | 17.55 | 9.56 | 29.78 | 21.42 |
| LMW-PAHs | 37.50 | 0.30 | 24,56 | 25.79 | 16.38 | 6.64 | 33.33 | 11.72 |
| HMW-PAHs | 19.89 | - | 19,51 | 30.15 | 17.19 | 7.48 | 31.71 | 22.95 |
| Plants | BaP | 4PAHs | ||||
|---|---|---|---|---|---|---|
| C | EDI | MOE | C | EDI | MOE | |
| Hypericum perforatum | 202.9 | 0.579 | 120,898 | 494 | 1.411 | 240,963 |
| Artemisia absinthium | - | - | - | - | - | - |
| Tilia sp. | 360.7 | 1.030 | 69,961 | 787.7 | 2.25 | 1,338,582 |
| Matricaria chamomilla | 22.18 | 0.063 | 1,111,110 | 88.92 | 0.254 | 1,343,873 |
| Achillea millefolium | 270 | 0.771 | 90,791 | 655.7 | 1.873 | 181,526 |
| Taraxacum officinale | 280 | 0.8 | 87,500 | 496 | 1.417 | 239,943 |
| Calendula officinalis | 126.97 | 0.362 | 193,370 | 212.81 | 0.608 | 559,210 |
| Crataegus monogyna | 436.21 | 1.246 | 56,179 | 794 | 2.268 | 149,911 |
Disclaimer/Publisher’s Note: The statements, opinions and data contained in all publications are solely those of the individual author(s) and contributor(s) and not of MDPI and/or the editor(s). MDPI and/or the editor(s) disclaim responsibility for any injury to people or property resulting from any ideas, methods, instructions or products referred to in the content. |
© 2025 by the authors. Licensee MDPI, Basel, Switzerland. This article is an open access article distributed under the terms and conditions of the Creative Commons Attribution (CC BY) license (https://creativecommons.org/licenses/by/4.0/).
Share and Cite
Bratu, M.M.; Birghila, S.; Birghila, C.; Danilov, D.A.; Coatu, V.; Ristea, E.; Damir, N.A. Determination of Polycyclic Aromatic Hydrocarbons (PAHs) Transfer from Dried Medicinal Plants in Infusions for Therapeutic Purposes. Appl. Sci. 2025, 15, 447. https://doi.org/10.3390/app15010447
Bratu MM, Birghila S, Birghila C, Danilov DA, Coatu V, Ristea E, Damir NA. Determination of Polycyclic Aromatic Hydrocarbons (PAHs) Transfer from Dried Medicinal Plants in Infusions for Therapeutic Purposes. Applied Sciences. 2025; 15(1):447. https://doi.org/10.3390/app15010447
Chicago/Turabian StyleBratu, Mihaela Mirela, Semaghiul Birghila, Corina Birghila, Diana Andreea Danilov, Valentina Coatu, Elena Ristea, and Nicoleta Alexandra Damir. 2025. "Determination of Polycyclic Aromatic Hydrocarbons (PAHs) Transfer from Dried Medicinal Plants in Infusions for Therapeutic Purposes" Applied Sciences 15, no. 1: 447. https://doi.org/10.3390/app15010447
APA StyleBratu, M. M., Birghila, S., Birghila, C., Danilov, D. A., Coatu, V., Ristea, E., & Damir, N. A. (2025). Determination of Polycyclic Aromatic Hydrocarbons (PAHs) Transfer from Dried Medicinal Plants in Infusions for Therapeutic Purposes. Applied Sciences, 15(1), 447. https://doi.org/10.3390/app15010447

