Lifetime Prediction of Single Crystal Nickel-Based Superalloys
Abstract
1. Introduction
2. Experimental Procedure and Methodology
2.1. Material and Specimen
2.2. Crystal Plasticity
2.3. Lifetime Assessment
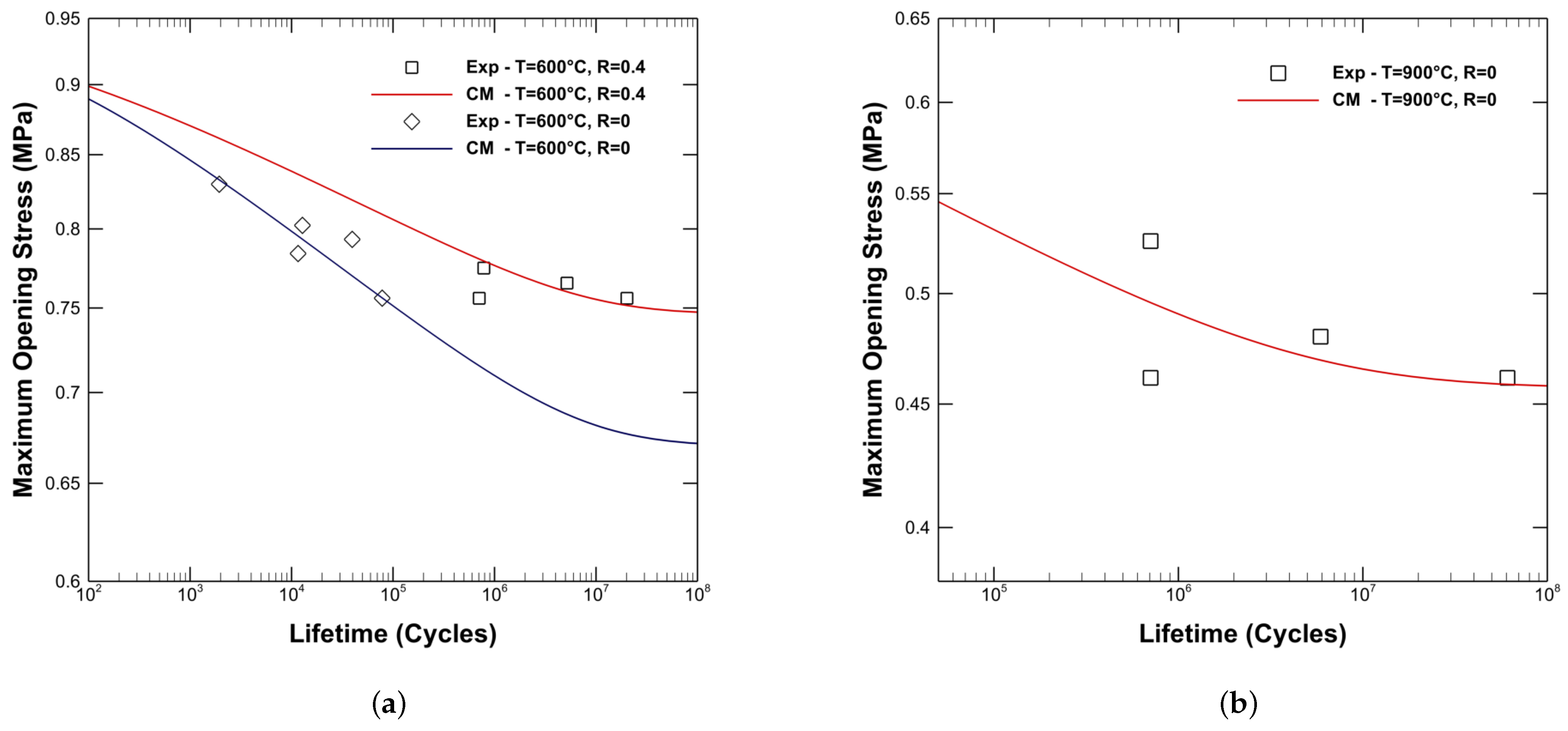
2.3.1. Critical Stress Determination
2.3.2. Modified Fatigue Damage Law
2.3.3. Artificial Neural Networks (ANNs)
2.3.4. Finite Element Model of the Nothced Specimen
2.3.5. Post-Scripting of Modified Chaboche Model
2.3.6. ANN Model Configuration
3. Results and Discussion
3.1. Lifetime Prediction of the Notched Specimen at 750 °C
3.2. Fatigue Curve Predictions with Artificial Neural Networks
Training Dataset Configuration
4. Conclusions
Author Contributions
Funding
Institutional Review Board Statement
Informed Consent Statement
Data Availability Statement
Acknowledgments
Conflicts of Interest
References
- Shi, Z.; Wang, X.; Liu, S.; Li, J. Low cycle fatigue properties and microstructure evolution at 760 °C of a single crystal superalloy. Prog. Nat. Sci. Mater. Int. 2015, 25, 78–83. [Google Scholar] [CrossRef]
- Wang, R.; Zhang, B.; Hu, D.; Jiang, K.; Hao, X.; Mao, J.; Jing, F. In-phase thermomechanical fatigue lifetime prediction of nickel-based single crystal superalloys from smooth specimens to notched specimens based on coupling damage on critical plane. Int. J. Fatigue 2019, 126, 327–334. [Google Scholar] [CrossRef]
- Riccius, J.; Zametaev, E. HCF and LCF Analysis of a Generic Full Admission Turbine Blade. Aerospace 2023, 10, 154. [Google Scholar] [CrossRef]
- Hou, J.; Wicks, B.J.; Antoniou, R.A. An investigation of fatigue failures of turbine blades in a gas turbine engine by mechanical analysis. Eng. Fail. Anal. 2002, 9, 201–211. [Google Scholar] [CrossRef]
- Kalluri, S.; McGaw, M.A. Effect of Tensile Mean Stress on Fatigue Behavior of Single-Crystal and Directionally Solidified Superalloys. In Proceedings of the Symposium on Cyclic Deformation, Fracture, and Nondestructive Evaluation of Advanced Materials, San Antonio, TX, USA, 12–13 November 1990. [Google Scholar]
- Arakere, N.K.; Swanson, G. Effect of crystal orientation on fatigue failure of single crystal nickel base turbine blade superalloys. J. Eng. Gas Turbines Power 2002, 124, 161–176. [Google Scholar] [CrossRef]
- Hong, H.U.; Kang, J.G.; Choi, B.G.; Kim, I.S.; Yoo, Y.S.; Jo, C.Y. A comparative study on thermomechanical and low cycle fatigue failures of a single crystal nickel-based superalloy. Int. J. Fatigue 2011, 33, 1592–1599. [Google Scholar] [CrossRef]
- Okazaki, M.; Sakaguchi, M. Thermo-mechanical fatigue failure of a single crystal Ni-based superalloy. Int. J. Fatigue 2008, 30, 318–323. [Google Scholar] [CrossRef]
- Yu, Y.; Zhu, S.P.; Liu, Q.; Liu, Y. A new energy-critical plane damage parameter for multiaxial fatigue life prediction of turbine blades. Materials 2017, 10, 513. [Google Scholar] [CrossRef] [PubMed]
- Aslan, O. Numerical Modeling of Fatigue Crack Growth in Single Crystal Nickel-Based Superalloys. Ph.D. Dissertation, Ecole Nationale Supérieure des Mines de Paris, Paris, France, 2010. [Google Scholar]
- Aslan, O.; Bayraktar, E. A Large-Deformation Gradient Damage Model for Single Crystals Based on Microdamage Theory. Appl. Sci. 2020, 10, 9142. [Google Scholar] [CrossRef]
- Brown, M.W.; Miller, K.J. A theory for fatigue failure under multiaxial stress-strain conditions. Proc. Inst. Mech. Eng. 1973, 187, 745. [Google Scholar] [CrossRef]
- Bourbita, F.; Rémy, L. A combined critical distance and energy density model to predict high temperature fatigue life in notched single crystal superalloy members. Int. J. Fatigue 2016, 84, 17–27. [Google Scholar] [CrossRef]
- Levkovitch, V.; Sievert, R.; Svendsen, B. Simulation of deformation and lifetime behavior of a fcc single crystal superalloy at high temperature under low-cycle fatigue loading. Int. J. Fatigue 2006, 28, 1791–1802. [Google Scholar] [CrossRef]
- Santecchia, E.; Hamouda, A.M.S.; Musharavati, F.; Zalnezhad, E.; Cabibbo, M.; El Mehtedi, M.; Spigarelli, S. A Review on Fatigue Life Prediction Methods for Metals. Adv. Mater. Sci. Eng. 2016, 2016, 1–26. [Google Scholar] [CrossRef]
- Chaboche, J.L.; Lemaitre, J. Mechanics of Solid Materials; Cambridge University Press: Cambridge, UK, 1990. [Google Scholar]
- Zhang, B.; Wang, R.; Hu, D.; Jiang, K.; Hao, X.; Mao, J.; Jing, F. Damage-based low cycle fatigue lifetime prediction of nickel-based single crystal superalloy considering anisotropy and dwell types. Fatigue Fract. Eng. Mater. Struct. 2020, 43, 2970–2983. [Google Scholar] [CrossRef]
- Samavatian, V.; Fotuhi-Firuzabad, M.; Samavatian, M.; Dehghanian, P.; Blaabjerg, F. Correlation-driven machine learning for accelerated reliability assessment of solder joints in electronics. Sci. Rep. 2020, 10, 14821. [Google Scholar] [CrossRef] [PubMed]
- George, A.; Zipprich, J.; Breitenbach, M.; Klingler, M.; Nowottnick, M. Reliability investigation of large area solder joints in power electronics modules and its simulative representation. Microelectron. Reliab. 2018, 88–90, 762–767. [Google Scholar] [CrossRef]
- Cailletaud, G. Une Approche Micromécanique Phénoménologique du Comportement inéLastique des méTaux. Ph.D. Dissertation, Pierre and Marie Curie University, Paris, France, 1987. [Google Scholar]
- Castelluccio, G.M.; McDowell, D.L. Mesoscale cyclic crystal plasticity with dislocation substructures. Int. J. Plast. 2017, 98, 1–26. [Google Scholar] [CrossRef]
- Clayton, J.D. Nonlinear Mechanics of Crystals; Springer: Dordrecht, The Netherlands, 2011; pp. 558–559. [Google Scholar] [CrossRef]
- Meric, L.; Poubanne, P.; Cailletaud, G. Single Crystal Modeling for Structural Calculations: Part 1-Model Presentation. Eng. Mater. Technol. 1991, 113, 162–170. [Google Scholar] [CrossRef]
- Donahue, R.J.; Clark, H.M.; Atanmo, P.; Kumble, R.; McEvily, A.J. Crack Opening Displacement and The Rate of Fatigue Crack Growth. Int. J. Fract. Mech. 1972, 8, 209–219. [Google Scholar] [CrossRef]
- Hoshidet, T.; Socies, D.F. Mechanics of mixed mode small fatigue crack growth. Eng. Fract. Mech. 1987, 26, 841–850. [Google Scholar] [CrossRef]
- Lankford, J.; Davidson, D.L.; Chan, K.S. The Influence of Crack Tip Plasticity in the Growth of Small Fatigue Cracks. Metall. Mater. Trans. A 1984, 15, 1579–1588. [Google Scholar] [CrossRef]
- Qian, J.; Fatemi, A. Mixed mode fatigue crack growth: A literature survey. Eng. Fract. Mech. 1996, 55, 969–990. [Google Scholar] [CrossRef]
- Montesinos López, O.A.; Montesinos López, A.; Crossa, J. Fundamentals of Artificial Neural Networks and Deep Learning. In Multivariate Statistical Machine Learning Methods for Genomic Prediction; Springer International Publishing: Cham, Switzerland, 2022; pp. 379–425. [Google Scholar] [CrossRef]
- Niazi, M.S.; Wisselink, H.H.; Meinders, T. Viscoplastic regularization of local damage models: Revisited. Comput. Mech. 2012, 51, 203–216. [Google Scholar] [CrossRef]
- Henann, D.L.; Anand, L. A large deformation theory for rate-dependent elastic-plastic materials with combined isotropic and kinematic hardening. Int. J. Plast. 2009, 25, 1833–1878. [Google Scholar] [CrossRef]
- Dye, D.; Coakley, J.; Vorontsov, V.A.; Stone, H.J.; Rogge, R.B. Elastic moduli and load partitioning in a single-crystal nickel superalloy. Scr. Mater. 2009, 61, 109–112. [Google Scholar] [CrossRef]
- Sengupta, A.; Putatunda, S.K.; Bartosiewicz, L.; Hangas, J.; Nailos, P.; Peputapeck, M.; Alberts, E.E. Tensile Behavior of a New Single-Crystal Nickel-Based Superalloy (CMSX-4) at Room and Elevated Temperatures. J. Mater. Eng. Perform. 1994, 3, 73–81. [Google Scholar] [CrossRef]
- Forest, S. Nickel base single crystals across length scales. In Crystal Plasticity and Damage at Cracks and Notches in Nickel-Base Single-Crystal Superalloys; Springer: Cham, Switzerland, 2022; pp. 457–473. [Google Scholar]
- Tai, W.; Zhang, R.; Zhou, Z.; Cui, C.; Zhou, Y.; Sun, X. Tensile Properties and Deformation Mechanisms of Ni–Co–W Based Superalloy with High γ′ Content. Met. Mater. Int. 2024, 30, 2397–2405. [Google Scholar] [CrossRef]













| Ni | Cr | Co | Mo | W | Al | Ti | Ta | Re | Hf |
|---|---|---|---|---|---|---|---|---|---|
| 61.8 | 6.5 | 9 | 0.6 | 6 | 5.6 | 1 | 6.5 | 3 | 0.1 |
| Slip System Family | System s | Slip Normal | Slip Direction |
|---|---|---|---|
| Octahedral | 1 | (111) | [01] |
| 2 | [01] | ||
| 3 | [10] | ||
| 4 | (11) | [01] | |
| 5 | [011] | ||
| 6 | [110] | ||
| 7 | (11) | [01] | |
| 8 | [110] | ||
| 9 | [101] | ||
| 10 | (11) | [10] | |
| 11 | [101] | ||
| 12 | [011] | ||
| Cubic | 1 | (001) | [10] |
| 2 | [110] | ||
| 3 | (100) | [011] | |
| 4 | [01] | ||
| 5 | (010) | [01] | |
| 6 | [101] |
| K (MPa1/n) | n | Q | b | C11 (GPa) | C12 (GPa) | C44 (GPa) |
|---|---|---|---|---|---|---|
| 2200 | 7.5 | 100 | 250 | 296 | 204 | 125 |
| (MPa) | (MPa) | (MPa) | (MPa) | a | |||
|---|---|---|---|---|---|---|---|
| 1200 | 1100 | 1800 | 0 | 0.65 | 7.8 |
| (MPa) | (MPa) | (MPa) | a | ||||
|---|---|---|---|---|---|---|---|
| 600 | 840 | 1010 | 480 | 0.01 | 14.5 | ||
| 900 | 675 | 800 | 375 | 0.12 | 12.2 |
| Dataset | RMSE | MAE | |
|---|---|---|---|
| Validation Set | 0.2605 | 0.1521 | 0.9919 |
| Independent Test Set | 0.2659 | 0.1549 | 0.9902 |
| Perturbation Level (%) | Validation SD | Test SD |
|---|---|---|
| 1% | 0.1269 | 0.1106 |
| 5% | 0.5397 | 0.5158 |
| 10% | 0.9812 | 0.9581 |
Disclaimer/Publisher’s Note: The statements, opinions and data contained in all publications are solely those of the individual author(s) and contributor(s) and not of MDPI and/or the editor(s). MDPI and/or the editor(s) disclaim responsibility for any injury to people or property resulting from any ideas, methods, instructions or products referred to in the content. |
© 2024 by the authors. Licensee MDPI, Basel, Switzerland. This article is an open access article distributed under the terms and conditions of the Creative Commons Attribution (CC BY) license (https://creativecommons.org/licenses/by/4.0/).
Share and Cite
Kasar, Ç.; Kaftancioglu, U.; Bayraktar, E.; Aslan, O. Lifetime Prediction of Single Crystal Nickel-Based Superalloys. Appl. Sci. 2025, 15, 201. https://doi.org/10.3390/app15010201
Kasar Ç, Kaftancioglu U, Bayraktar E, Aslan O. Lifetime Prediction of Single Crystal Nickel-Based Superalloys. Applied Sciences. 2025; 15(1):201. https://doi.org/10.3390/app15010201
Chicago/Turabian StyleKasar, Çağatay, Utku Kaftancioglu, Emin Bayraktar, and Ozgur Aslan. 2025. "Lifetime Prediction of Single Crystal Nickel-Based Superalloys" Applied Sciences 15, no. 1: 201. https://doi.org/10.3390/app15010201
APA StyleKasar, Ç., Kaftancioglu, U., Bayraktar, E., & Aslan, O. (2025). Lifetime Prediction of Single Crystal Nickel-Based Superalloys. Applied Sciences, 15(1), 201. https://doi.org/10.3390/app15010201

