Thrust and Pressure Control in a Solid Propulsion System via Reinforcement Learning
Abstract
1. Introduction
2. Model and Algorithm
2.1. Solid Attitude and Divert Propulsion System (SADPS)
- Performance mode (Figure 2) requires a medium level of thrust to adjust the spacecraft’s orbit and pitch angle.
- Power-saving mode minimizes propellant loss by reducing pressure as much as possible while maintaining flight attitude and compensating for gravity.
- Overload mode necessitates rapid changes in the spacecraft’s trajectory and flight attitude.

2.2. Reinforcement Learning Trainer
- Network Simplification: We replaced the neural network hidden layers of widths 256 and 128 with those of widths 64 and 64, thereby reducing the parameters by 87% and the inference time by over 20% without compromising control effectiveness.
- Generalized Advantage Estimation [27]: We utilized generalized advantage estimation during network weight updates. Calculating the mean and variance of the advantage function across the entire batch made the training process smoother and more stable.
- Learning Rate Adjustment: We set the initial learning rates for the Actor and Critic to 1 × 10−4 and 3 × 10−4, respectively. Then, we reduced them exponentially by an order of magnitude over 1000 training epochs for more stable convergence.
- Random Initialization and Gradient Clipping: We initialized the network parameters with samples from a standard normal distribution and applied gradient clipping once before updating the network.
- Activation Function Change [28]: We replaced the ReLU with Tanh in the hidden layers to avoid the vanishing gradient problem associated with negative values.
2.3. Training Environment
2.3.1. Chamber Pressure Dynamics
2.3.2. Five-Axis Thrust Calculation
- y-axis thrust:
- z-axis thrust:
- yaw-axis thrust:
- pitch-axis Thrust:
- roll-axis Thrust:
2.3.3. Valve Servo Motion
- Here, x(t) denotes an n-dimensional state vector, A is the system matrix, B represents the control matrix, denotes the speed command, C stands for the output matrix, D indicates the direct transfer matrix, and y(t) symbolizes the motor speed. Figure 6 illustrates the system output obtained by applying the same swept frequency signal input to both the actual and identification systems, as referenced in prior work [30].
2.4. Reward Function
2.4.1. Pressure Control Agent’s Reward
- (1)
- Deviation Penalty: When the chamber pressure significantly deviates from the command, a penalty term is applied to promptly correct the pressure.
- (2)
- Synchronization Reward: As the chamber pressure approaches the command, a synchronization reward stabilizes the pressure, preventing rapid oscillations.
- (3)
- Steady-State Reward: When the chamber pressure consistently tracks the command, a small reward encourages maintaining this state.
- (4)
- Dynamic Weights: When the pressure deviation is large, the deviation penalty is intensified; when the pressure deviation is small, the synchronization reward is intensified. We aim for the deviation penalty to have at least half of the weight to ensure tracking accuracy.
2.4.2. Thrust Distribution Agent’s Reward
2.4.3. Opening Closed-Loop Agent’s Reward
- (1)
- Displacement Difference: Using the displacement difference as a reward component effectively penalizes significant deviations from the command during initial training, thus speeding up convergence.
- (2)
- Velocity Term: To match the valve core’s movement speed with the target curve’s slope, a velocity term is added. This requires transforming the observation space, using the displacement difference between new and old states to represent the target curve’s slope.
- (3)
- Steady-State Reward: An additional reward is given when both the displacement and speed rewards are satisfactory, promoting a state in which both closely follow the target curve.
- (4)
- Dynamic Weighting: To ensure accuracy, the displacement difference should account for at least half of the weight in the reward function.
3. Simulation and Experimental Results
- Pressure Control: The pressure control agent at the top level regulates the total opening of the nozzle based on the combustion chamber pressure command.
- Thrust Distribution: The thrust distribution agent at the middle level allocates the opening commands to each valve according to the thrust command.
- Opening Closed-loop: At the bottom level, ten opening closed-loop agents control their respective motors to adjust the opening of each valve.
3.1. Performance of the Pressure Control Agent
3.2. Performance of the Thrust Distribution Agent
3.3. Performance of the Opening Closed-Loop Age
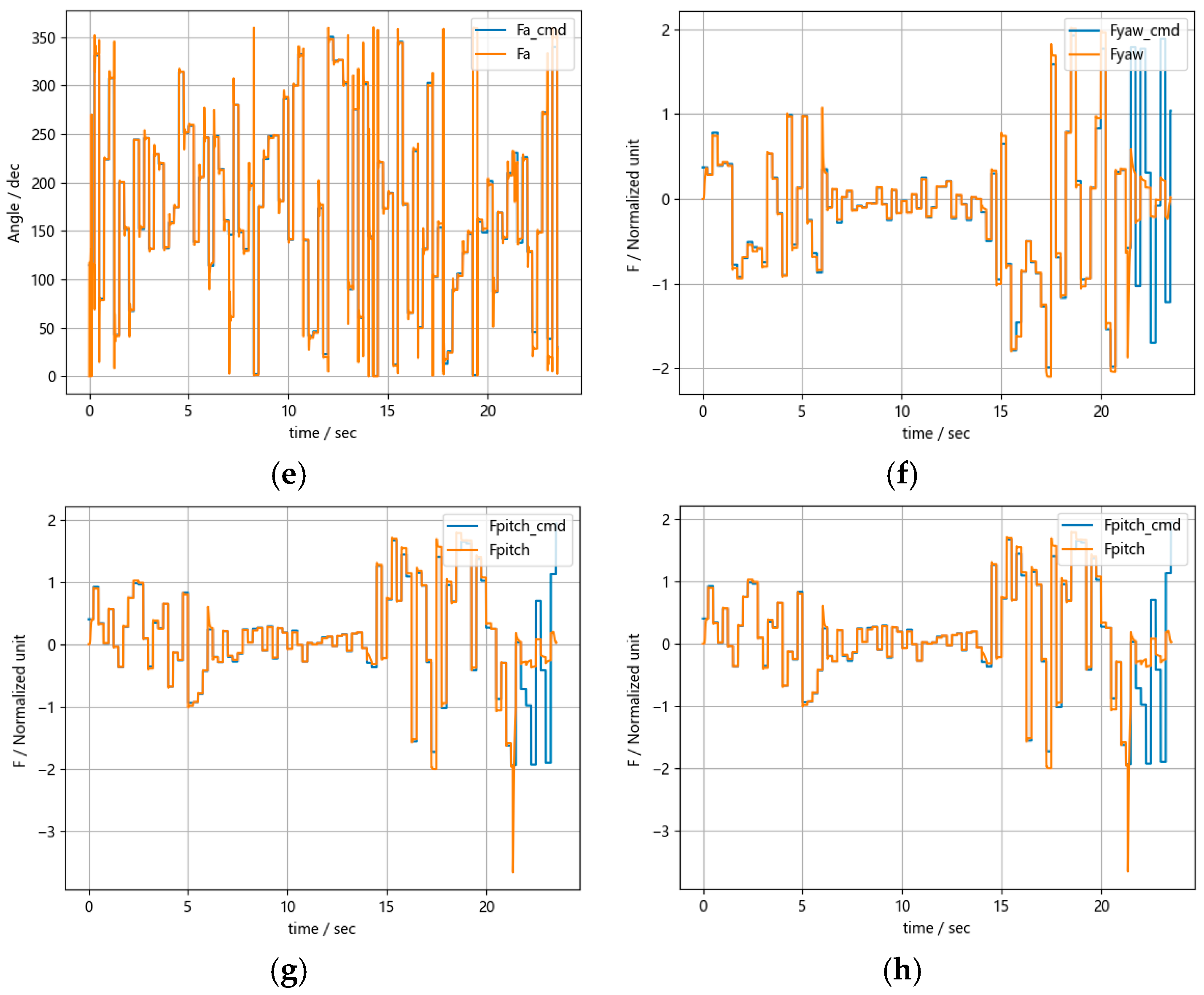
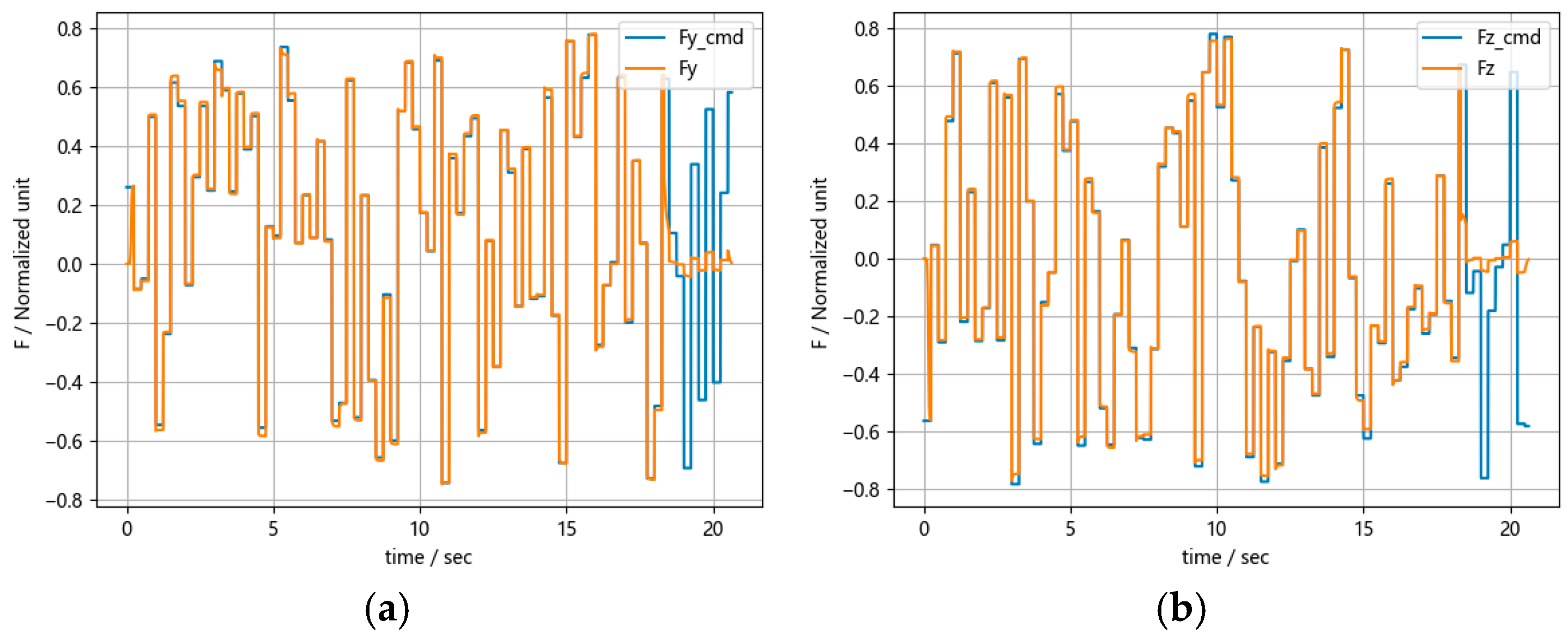
3.4. Performance of the Muti-Agents
- a.
- Initial 6 s:
- Pressure: 1;
- Divert control thrust command (Fycmd, Fzcmd): random steps within the upper limit of 0.8;
- Attitude control thrust (Fpitchcmd, Fyawcmd, Frollcmd): random steps within the upper limit of 1.
- b.
- Next 8 s:
- Pressure: 0.22;
- Divert control thrust command (Fycmd, Fzcmd): random steps within the upper limit of 0.1;
- Attitude control thrust (Fpitchcmd, Fyawcmd, Frollcmd): random steps within the upper limit of 0.3.
- c.
- Final 6 s:
- Pressure: 1.33;
- Divert control thrust command (Fycmd, Fzcmd): random steps within the upper limit of 1.2;
- Attitude control thrust (Fpitchcmd, Fyawcmd, Frollcmd): random steps within the upper limit of 2.
- The impact of thrust distribution on closed-loop pressure was within 5%.
- The divert control thrust error did not exceed 5%.
- The attitude control thrust error did not exceed 10%.
- The closed-loop pressure adjustment time was within 300 ms.
- The thrust adjustment time was within 100 ms.
- The valve opening adjustment time was within 40 ms.
3.5. Results of Semi-Physical Experiments
4. Discussions and Conclusions
4.1. Integrated Control Architecture and System Dynamics
4.2. Impact of Coupling Effects on Thrust Optimization
4.3. Enhancing Control Through Reinforcement Learning and Adaptive Strategies
4.4. Development of Realistic Training Environments and State Space Modeling
4.5. Optimizing Training Efficiency and Technical Enhancements
4.6. Limitations and Future Work
5. Conclusions
Author Contributions
Funding
Institutional Review Board Statement
Informed Consent Statement
Data Availability Statement
Acknowledgments
Conflicts of Interest
References
- Liu, L.; Liang, G. Optimization Selection of Regulated Pressurization System Schemes for Liquid Attitude and Divert Propulsion Systems. Procedia Eng. 2015, 99, 1247–1251. [Google Scholar] [CrossRef]
- Kim, S.; Huh, H. Recent Progress in R&D and Prospect of Divert and Attitude Control System(DACS). J. Korean Soc. Propuls. Eng. 2012, 16, 62–72. [Google Scholar] [CrossRef]
- Napior, J.; Garmy, V. Controllable Solid Propulsion for Launch Vehicle and Spacecraft Application. In Proceedings of the 57th International Astronautical Congress, Valencia, Spain, 2–6 October 2006. [Google Scholar] [CrossRef]
- Fang, Z.; Liang, G. Transient simulation of a differential piston warm gas self-pressurization system for liquid attitude and divert propulsion system. Chin. J. Aeronaut. 2018, 31, 698–709. [Google Scholar] [CrossRef]
- Ha, D.-S.; Kim, H.J. Dynamic characteristic modeling and simulation of an aerospike-shaped pintle nozzle for variable thrust of a solid rocket motor. Acta Astronaut. 2022, 201, 364–375. [Google Scholar] [CrossRef]
- Dai, C.; Qiang, H.; Wang, X. Research on Divert and Attitude Control System Technology of Ballistic Missile Midcourse Maneuver Penetration Warhead. Front. Comput. Intell. Syst. 2023, 3, 97–109. [Google Scholar] [CrossRef]
- Davis, C.; Gerards, A. Variable Thrust Solid Propulsion Control Using Labview. In Proceedings of the 39th AIAA/ASME/SAE/ASEE Joint Propulsion Conference and Exhibit, Huntsville, Alabama, 20–23 July 2003. [Google Scholar] [CrossRef]
- Pérez-Roca, S.; Marzat, J.; Piet-Lahanier, H.; Langlois, N.; Farago, F.; Galeotta, M.; Le Gonidec, S. A survey of automatic control methods for liquid-propellant rocket engines. Prog. Aerosp. Sci. 2019, 107, 63–84. [Google Scholar] [CrossRef]
- Zhu, M.; Li, Y.; Chen, X.; Mi, J.; Li, W.; Xue, H. Design of nonlinear control method for pressure of pintle solid rocket motor. Acta Astronaut. 2024, 215, 296–307. [Google Scholar] [CrossRef]
- Bergmans, J.; Di Salvo, R. Solid Rocket Closed-Loop Pressure Control. In Proceedings of the 39th AIAA/ASME/SAE/ASEE Joint Propulsion Conference and Exhibit, Huntsville, Alabama, 20–23 July 2003. [Google Scholar] [CrossRef]
- Joner, S.; Quinquis, I. Control of an Exoatmospheric Kill Vehicle with a Solid Propulsion Attitude Control System. In Proceedings of the AIAA Guidance, Navigation, and Control Conference and Exhibit, Keystone, CO, USA, 21–24 August 2006. [Google Scholar] [CrossRef]
- Waxenegger-Wilfing, G.; Sengupta, U.; Martin, J.; Armbruster, W.; Hardi, J.; Juniper, M.; Oschwald, M. Early detection of thermoacoustic instabilities in a cryogenic rocket thrust chamber using combustion noise features and machine learning. Chaos 2021, 31, 063128. [Google Scholar] [CrossRef] [PubMed]
- Wang, M.; Xie, Y. Design of the optimal thruster combinations table for the real time control allocation of spacecraft thrusters. In Proceedings of the 48th IEEE Conference on Decision and Control (CDC) Held Jointly with 2009 28th Chinese Control Conference, Shanghai, China, 15–18 December 2009; pp. 5063–5068. [Google Scholar] [CrossRef]
- Martel, F. Optimal 6 axis command of a space vehicle with a precomputed thruster selection catalogue table. In Proceedings of the 18th International Symposium on Space Flight Dynamics, Munich, Germany, 11–15 October 2004; pp. 11–15. [Google Scholar]
- Ankersen, F.; Wu, S.-F.; Aleshin, A.; Vankov, A.; Volochinov, V. Optimization of Spacecraft Thruster Management Function. J. Guid. Control Dyn. 2005, 28, 1283–1290. [Google Scholar] [CrossRef]
- Lee, W.; Eun, Y.; Bang, H.; Lee, H. Efficient Thrust Distribution with Adaptive Pressure Control for Multinozzle Solid Propulsion System. J. Propuls. Power 2013, 29, 1410–1419. [Google Scholar] [CrossRef]
- Lee, H.; Bang, H. Efficient Thrust Management Algorithm for Variable Thrust Solid Propulsion System with Multi-Nozzles. J. Spacecr. Rocket. 2020, 57, 328–345. [Google Scholar] [CrossRef]
- Lim, Y.; Lee, W.; Bang, H.; Lee, H. Thrust distribution for attitude control in a variable thrust propulsion system with four ACS nozzles. Adv. Space Res. 2017, 59, 1848–1860. [Google Scholar] [CrossRef]
- Javaid, M.; Haleem, A.; Singh, R.P.; Suman, R. Artificial Intelligence Applications for Industry 4.0: A Literature-Based Study. J. Ind. Integr. Manag. 2022, 7, 83–111. [Google Scholar] [CrossRef]
- Nian, R.; Liu, J.; Huang, B. A review On reinforcement learning: Introduction and applications in industrial process control. Comput. Chem. Eng. 2020, 139, 106886. [Google Scholar] [CrossRef]
- Xu, W.; Yang, X.; Shi, G. The Maintenance of Orbital States in a Floating Partial Space Elevator Using the Reinforcement Learning Method. Aerospace 2024, 11, 855. [Google Scholar] [CrossRef]
- Skarka, W.; Ashfaq, R. Hybrid Machine Learning and Reinforcement Learning Framework for Adaptive UAV Obstacle Avoidance. Aerospace 2024, 11, 870. [Google Scholar] [CrossRef]
- Pham, T.-H.; Aikins, G.; Truong, T.; Nguyen, K.-D. Adaptive Compensation for Robotic Joint Failures Using Partially Observable Reinforcement Learning. Algorithms 2024, 17, 436. [Google Scholar] [CrossRef]
- Wang, X.; Yi, H.; Xu, J.; Xu, C.; Song, L. PID Controller Based on Improved DDPG for Trajectory Tracking Control of USV. J. Mar. Sci. Eng. 2024, 12, 1771. [Google Scholar] [CrossRef]
- Song, A.; Wang, N.; Li, J.; Ma, B.; Chen, X. Transient flow characteristics and performance of a solid rocket motor with a pintle valve. Chin. J. Aeronaut. 2020, 33, 3189–3205. [Google Scholar] [CrossRef]
- Schulman, J.; Wolski, F.; Dhariwal, P.; Radford, A.; Klimov, O. Proximal Policy Optimization Algorithms. arXiv 2017, arXiv:1707.06347. [Google Scholar] [CrossRef]
- Schulman, J.; Moritz, P.; Levine, S.; Jordan, M.; Abbeel, P. High-Dimensional Continuous Control Using Generalized Advantage Estimation. arXiv 2015, arXiv:1506.02438. [Google Scholar] [CrossRef]
- Engstrom, L.; Ilyas, A.; Santurkar, S.; Tsipras, D.; Janoos, F.; Rudolph, L.; Madry, A. Implementation Matters in Deep Policy Gradients: A Case Study on PPO and TRPO. arXiv 2020, arXiv:2005.12729. [Google Scholar] [CrossRef]
- Nussbaum, J.; Helluy, P.; Herard, J.-M.; Baschung, B. Multi-dimensional two-phase flow modeling applied to interior ballistics. J. Appl. Mech. Sep. 2011, 78, 051016. [Google Scholar] [CrossRef]
- Wang, H.; Fu, Z.; Yan, J.; Hua, Z.; Guan, Y. Modeling and Simulation of High Frequency and High Precision Multi Axis Cooperative Control Based on Reinforcement Learning. In Proceedings of the 2023 3rd International Conference on Computer, Control and Robotics (ICCCR), Shanghai, China, 24–26 March 2023; pp. 286–290. [Google Scholar] [CrossRef]














| Model | RL-PPO | PID | ||||
|---|---|---|---|---|---|---|
| Item | Cumulative Deviation | Average Deviation | Average Regulation Time, ms | Cumulative Deviation | Average Deviation | Average Regulation Time, ms |
| 1 | 304.75 | 0.043 | 244 | 352.50 | 0.051 | 827 |
| 2 | 300.12 | 0.042 | 235 | 356.8 | 0.052 | 839 |
| 3 | 302.52 | 0.043 | 240 | 355.6 | 0.051 | 830 |
| Item | Divert Control Thrust | Attitude Control Thrust | Impact on Pressure |
|---|---|---|---|
| Cumulative Deviation | 252.8 | 732.3 | 30.1 |
| Step Average Deviation | 0.036 | 0.011 | 0.004 |
| Command Type | Adjustment Time (t90)/ms |
|---|---|
| 0~1 | 37 |
| 0~0.75 | 29 |
| 0~0.5 | 22 |
| 0~0.25 | 22 |
| 1~0 | 37 |
| 0.75~0 | 29 |
| 0.5~0 | 26 |
| 0.25~0 | 25 |
| Frequency | Amplitude Attenuation | Phase Lag |
|---|---|---|
| 5 hz | 0.016–0.992 | 18° |
| 10 hz | 0.036–0.936 | 36° |
| 15 hz | 0.052–0.968 | 75.6° |
| 20 hz | 0.188–0.828 | 144° |
Disclaimer/Publisher’s Note: The statements, opinions and data contained in all publications are solely those of the individual author(s) and contributor(s) and not of MDPI and/or the editor(s). MDPI and/or the editor(s) disclaim responsibility for any injury to people or property resulting from any ideas, methods, instructions or products referred to in the content. |
© 2024 by the authors. Licensee MDPI, Basel, Switzerland. This article is an open access article distributed under the terms and conditions of the Creative Commons Attribution (CC BY) license (https://creativecommons.org/licenses/by/4.0/).
Share and Cite
Hua, Z.; Fu, Z.; Niu, L. Thrust and Pressure Control in a Solid Propulsion System via Reinforcement Learning. Appl. Sci. 2025, 15, 162. https://doi.org/10.3390/app15010162
Hua Z, Fu Z, Niu L. Thrust and Pressure Control in a Solid Propulsion System via Reinforcement Learning. Applied Sciences. 2025; 15(1):162. https://doi.org/10.3390/app15010162
Chicago/Turabian StyleHua, Zuohao, Zhuang Fu, and Lu Niu. 2025. "Thrust and Pressure Control in a Solid Propulsion System via Reinforcement Learning" Applied Sciences 15, no. 1: 162. https://doi.org/10.3390/app15010162
APA StyleHua, Z., Fu, Z., & Niu, L. (2025). Thrust and Pressure Control in a Solid Propulsion System via Reinforcement Learning. Applied Sciences, 15(1), 162. https://doi.org/10.3390/app15010162

