The Impact of Downtime on the Stability of the Production Schedule
Abstract
1. Introduction
2. Materials and Methods
2.1. Object and Scope of Research
2.2. Production Flow Models
2.3. Research Plan
2.3.1. Sets of Production Orders
- Low—in the range from 1 to 5 time units,
- Medium—in the range from 5 to 10 time units,
- Migh—in the range of 10 to 15 time units.
2.3.2. Preparation of Production Schedules
- From the shortest to the longest execution time of production orders (rule 1)—the order is determined according to the shortest to the longest summed time of individual sets of orders; individual technological operations for a given set of orders are ranked from the increasing time of their execution,
- From the longest to the shortest execution time of production orders (rule 2)—the sequence is established depending on the longest to the shortest summary time of individual sets of orders; individual technological operations for a given set of orders are ranked according to the decreasing time of their execution,
- From the lowest level of product structure (rule 3)—the sequence is established depending on the longest to the shortest summary time of technological operations for individual levels of product structures from a given set of orders.
2.3.3. Downtimes of Production Processes
- Workstation 6: 70 to 85 time units—downtime A,
- Workstation 2: 70 to 85 time units—downtime B.
- Workstation 4: 50 to 65 time units—downtime C,
- Workstation 2: 50 to 65 time units—downtime D.
3. Results and Discussion
- Execution time of a set of orders: this was calculated on the basis of the difference in time between the earliest moment of the start of an order in the set and the latest memento of the end of the last order in the same set—this is the time needed to fully execute the entire set of orders, which was measured from the start of the first one to the end of the last one,
- Continuity parameter: this was calculated by dividing the length of the duration of a given order for the product under consideration by the standard time for the execution of a given product from the order.
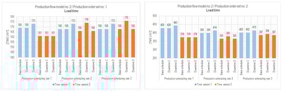
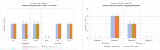
3.1. Production Flow Model 1
3.2. Production Flow Model 2
4. Conclusions
Author Contributions
Funding
Institutional Review Board Statement
Informed Consent Statement
Data Availability Statement
Conflicts of Interest
References
- Sharma, P. Optimizing production scheduling in manufacturing: Strategies and technologies for efficiency. Indian Sci. J. Res. Eng. Manag. 2024. [Google Scholar] [CrossRef]
- Wang, T.; Cheng, W.; Hu, H. Dynamic selection of priority rules based on deep reinforcement learning for rescheduling of RCPSP. IFAC-PapersOnLine 2022, 55, 2144–2149. [Google Scholar] [CrossRef]
- Witkowski, T.; Antczak, A.; Antczak, P.; Elzway, S. Some results on evolving cellular automata applied to the production scheduling problem. In Cellular Automata—Simplicity Behind Complexity; Salcido, A., Ed.; InTechOpen: London, UK, 2011; pp. 377–398. [Google Scholar] [CrossRef]
- Tsukanov, M.A.; Kovrizhnykh, O.A. Evaluation and formation of production schedules for complex structured production. In Proceedings of the 2020 International Multi-Conference on Industrial Engineering and Modern Technologies (FarEastCon), Vladivostok, Russia, 6–9 October 2020; IEEE: Piscataway, NJ, USA, 2020; pp. 1–4. [Google Scholar] [CrossRef]
- Li, Y.; Goga, K.; Tadei, R.; Terzo, O. Production scheduling in Industry 4.0. In Computational Intelligence in Security for Information Systems; Springer: Berlin/Heidelberg, Germany, 2020. [Google Scholar] [CrossRef]
- Kai, G.; Mei, Y.; Hai, Z. Application research of improved genetic algorithm based on machine learning in production scheduling. Neural Comput. Appl. 2020, 32, 1857–1868. [Google Scholar] [CrossRef]
- Cvetković, S. An approach in development of system for production scheduling. Acta Mech. Slovaca 2009, 13, 14–21. [Google Scholar] [CrossRef]
- Sotskov, Y.N. Stability of a schedule minimising the makespan for processing jobs on identical machines. Int. J. Prod. Res. 2022, 61, 6434–6450. [Google Scholar] [CrossRef]
- Stepick, L. Shifting Hours: Unstable Work Scheduling Practices; Federal Reserve Bank of San Francisco: San Francisco, CA, USA, 2022. [Google Scholar] [CrossRef]
- Keddis, N.; Javed, B.; Igna, G.; Zoitl, A. Optimizing schedules for adaptable manufacturing systems. In Proceedings of the 2015 IEEE 20th Conference on Emerging Technologies & Factory Automation (ETFA), Luxembourg, 8–11 September 2015; pp. 1–8. [Google Scholar] [CrossRef]
- Rohman, A.H. Production Scheduling Improvement at PT. MDS, Cikarang. Ph.D. Thesis, IPB University, Dramaga, Indonesia, 2012. [Google Scholar]
- Junaputra, A.; Morikawa, K.; Takahashi, K.; Hirotani, D. Production scheduling and rescheduling against order changes by considering hierarchical workforce. ASOR Bull. 2010, 29, 2–18. [Google Scholar]
- Kalinowski, K.; Grabowik, C.; Kempa, W.; Paprocka, I. The procedure of reaction to unexpected events in scheduling of manufacturing systems with discrete production flow. Adv. Mater. Res. 2014, 1036, 840–845. [Google Scholar] [CrossRef]
- Jain, A.; ElMaraghy, H.A. Production scheduling/rescheduling in flexible manufacturing. Int. J. Prod. Res. 1997, 35, 281–309. [Google Scholar] [CrossRef]
- Pujawan, N.; Smart, A. Factors affecting schedule instability in manufacturing companies. Int. J. Prod. Res. 2012, 50, 2252–2266. [Google Scholar] [CrossRef]
- Hwangbo, S.; Jay Liu, J.; Ryu, J.-H.; Lee, H.J.; Na, J. Production rescheduling via explorative reinforcement learning while considering nervousness. Comput. Chem. Eng. 2024, 186, 108700. [Google Scholar] [CrossRef]
- Magiera, M. Method of rescheduling for hybrid production lines with intermediate buffers. Arch. Control. Sci. 2020, 30, 213–321. [Google Scholar] [CrossRef]
- Liang, Z.; Zhong, P.; Yang, W.; Xiong, W.; Yang, S.; Meng, J. A genetic algorithm-based approach for flexible job shop rescheduling problem with machine failure interference. Eksploat. I Niezawodn.—Maint. Reliab. 2023, 25, 171784. [Google Scholar] [CrossRef]
- Fuladi, S.K.; Kim, C.-S. Dynamic Events in the Flexible Job-Shop Scheduling Problem: Rescheduling with a Hybrid Metaheuristic Algorithm. Algorithms 2024, 17, 142. [Google Scholar] [CrossRef]
- Xing, L.; Chen, Y.; Yang, K. Multi-population interactive coevolutionary algorithm for flexible job shop scheduling problems. Comput. Optim. Appl. 2011, 48, 139–155. [Google Scholar] [CrossRef]
- Petrovic, S.; Petrovic, D.; Burke, E.K. Fuzzy logic-based production scheduling and rescheduling in the presence of uncertainty. In Planning Production and Inventories in the Extended Enterprise; Kempf, K., Ed.; Springer: Berlin/Heidelberg, Germany, 2011; Volume 20, pp. 531–562. [Google Scholar] [CrossRef]
- Fatemi-Anaraki, S.; Tavakkoli-Moghaddam, R.; Foumani, M.; Vahedi-Nouri, B. Scheduling of Multi-Robot Job Shop Systems in Dynamic Environments: Mixed-Integer Linear Programming and Constraint Programming Approaches. Omega 2023, 115, 102770. [Google Scholar] [CrossRef]
- Tan, J.; Braubach, L.; Jander, K.; Xu, R.; Chen, K. A Novel Multi-Agent Scheduling Mechanism for Adaptation of Production Plans in Case of Supply Chain Disruptions. AI Commun. 2020, 33, 1–12. [Google Scholar] [CrossRef]
- Ding, G.; Guo, S.; Wu, X. Dynamic Scheduling Optimization of Production Workshops Based on Digital Twin. Appl. Sci. 2022, 12, 10451. [Google Scholar] [CrossRef]
- Tighazoui, A.; Sauvey, C.; Sauer, N. Minimizing the Total Weighted Waiting Times and Instability in a Rescheduling Problem with Dynamic Jobs Weight. Appl. Sci. 2021, 11, 7040. [Google Scholar] [CrossRef]
- Converso, G.; Gallo, M.; Murino, T.; Vespoli, S. Predicting Failure Probability in Industry 4.0 Production Systems: A Workload-Based Prognostic Model for Maintenance Planning. Appl. Sci. 2023, 13, 1938. [Google Scholar] [CrossRef]
- Caricato, P.; Grieco, A. An online approach to dynamic rescheduling for production planning applications. Int. J. Prod. Res. 2006, 46, 4597–4617. [Google Scholar] [CrossRef]
- Kaur, S. Knowledge Based Dynamic Scheduling/Rescheduling in Manufacturing and Uncertain Environment. Engineering, Computer Science. 2011. Available online: https://www.semanticscholar.org/paper/KNOWLEDGE-BASED-DYNAMIC-SCHEDULING-RESCHEDULING-IN-Kaur/44197f404ca86e82d72652906243e1b573c1e160 (accessed on 4 December 2024).
- Holguin Jimenez, S.; Trabelsi, W.; Sauvey, C. Multi-Objective Production Rescheduling: A Systematic Literature Review. Mathematics 2024, 12, 3176. [Google Scholar] [CrossRef]
- Vazan, P.; Cervenanska, Z.; Kotianová, J.; Krizanova, G. The impact of selected priority rules on production goals. In Proceedings of the 20th International Carpathian Control Conference (ICCC), Krakow-Wieliczka, Poland, 26–29 May 2019; pp. 1–6. [Google Scholar] [CrossRef]
- Iringová, M.; Važan, P.; Jurovatá, D. The evaluation of priority rules in operations scheduling. Appl. Mech. Mater. 2011, 110–116, 4004–4012. [Google Scholar] [CrossRef]
- Melchiors, P.; Kolisch, R.; Kanet, J.J. The performance of priority rules for the dynamic stochastic resource-constrained multi-project scheduling problem: An experimental investigation. Ann. Oper. Res. 2024, 338, 569–595. [Google Scholar] [CrossRef]
- Adamu, P.I.; Okagbue, H.I.; Oguntunde, P.E. A new priority rule for solving project scheduling problems. Wirel. Pers. Commun. 2019, 106, 681–699. [Google Scholar] [CrossRef]
- Teymourifar, A.; Bahadir, O.; Ozturk, G. Dynamic priority rule selection for solving multi-objective job shop scheduling problems. Univers. J. Ind. Bus. Manag. 2018, 6, 11–22. [Google Scholar] [CrossRef]
- Jia-Qing, D.; Fangyu, L.; Xing, B. Dynamic Stability-Aware Scheduling based on Dueling Double Deep Q-Network in FJSP. In Proceedings of the Conference: 2024 36th Chinese Control and Decision Conference (CCDC), Xi’an, China, 25–27 May 2024. [Google Scholar] [CrossRef]
- Grumbach, F.; Müller, A.; Reusch, P.; Trojahn, S. Ro-bust-stable scheduling in dynamic flow shops based on deep reinforcement learning. J. Intell. Manuf. 2022, 35, 667–686. [Google Scholar] [CrossRef]
- Yaping, Z.; Xiaoyun, X.; Haidong, L. Throughputs Maximization of Stochastic Customer Orders Under Two Production Schemes. IEEE Trans. Autom. Sci. Eng. 2017, 14, 745–757. [Google Scholar] [CrossRef]
- Meissner, S. Controlling just-in-sequence flow-production. Logist. Res. 2010, 2, 45–53. [Google Scholar] [CrossRef]
- Palma, C.; Vergara, F.; Muñoz-Herrera, S. Explicit Modeling of Multi-Product Customer Orders in a Multi-Period Production Planning Model. Mathematics 2024, 12, 3029. [Google Scholar] [CrossRef]














| Product | Number of Parts | Summary | ||
|---|---|---|---|---|
| Level of Structure 1 | Level of Structure 2 | Level of Structure 3 | ||
| A | 8 | 5 | 2 | 15 |
| B | 7 | 6 | 3 | 16 |
| C | 4 | 3 | 2 | 9 |
| D | 5 | 4 | 2 | 11 |
| E | 6 | 4 | 2 | 12 |
| F | 5 | 3 | 2 | 10 |
| G | 4 | 4 | 2 | 10 |
| H | 6 | 3 | 2 | 11 |
| I | 5 | 4 | 2 | 11 |
| Summary | 50 | 36 | 19 | |
| Product | Number of Parts | Summary | ||
|---|---|---|---|---|
| Level of Structure 1 | Level of Structure 2 | Level of Structure 3 | ||
| A | 3 | 3 | 3 | 9 |
| B | 2 | 4 | 2 | 8 |
| C | 4 | 3 | 3 | 10 |
| D | 3 | 2 | 3 | 8 |
| E | 1 | 4 | 2 | 7 |
| F | 2 | 2 | 3 | 7 |
| G | 2 | 2 | 3 | 7 |
| H | 4 | 3 | 2 | 9 |
| I | 3 | 1 | 2 | 6 |
| Summary | 24 | 24 | 23 | |
Disclaimer/Publisher’s Note: The statements, opinions and data contained in all publications are solely those of the individual author(s) and contributor(s) and not of MDPI and/or the editor(s). MDPI and/or the editor(s) disclaim responsibility for any injury to people or property resulting from any ideas, methods, instructions or products referred to in the content. |
© 2024 by the authors. Licensee MDPI, Basel, Switzerland. This article is an open access article distributed under the terms and conditions of the Creative Commons Attribution (CC BY) license (https://creativecommons.org/licenses/by/4.0/).
Share and Cite
Kaźmierczak, P.; Żywicki, K.; Rewers, P. The Impact of Downtime on the Stability of the Production Schedule. Appl. Sci. 2025, 15, 150. https://doi.org/10.3390/app15010150
Kaźmierczak P, Żywicki K, Rewers P. The Impact of Downtime on the Stability of the Production Schedule. Applied Sciences. 2025; 15(1):150. https://doi.org/10.3390/app15010150
Chicago/Turabian StyleKaźmierczak, Piotr, Krzysztof Żywicki, and Paulina Rewers. 2025. "The Impact of Downtime on the Stability of the Production Schedule" Applied Sciences 15, no. 1: 150. https://doi.org/10.3390/app15010150
APA StyleKaźmierczak, P., Żywicki, K., & Rewers, P. (2025). The Impact of Downtime on the Stability of the Production Schedule. Applied Sciences, 15(1), 150. https://doi.org/10.3390/app15010150

