Analysis of Wind Speed Characteristics Along a High-Speed Railway
Abstract
1. Introduction
- Describe the wind field characteristics along the HSR at various time scales. The characteristics of different time interval wind synchronous observations at a railway station (RS) and the closest weather station (WS) are discussed in this work, including wind speed variation, wind speed correlation, wind speed fluctuation amplitude ratio, and wind speed distribution characteristics.
- Historically, wind speed predictions were based on modeling historical wind speed data without considering the inherent predictability of the selected wind speeds. In this study, the multi-timescale predictability of wind speed along the HSR corridor is quantified using the normalized cumulative predictability (NCP) and Bartlett’s tests.
- This paper integrates predictability analysis with advanced wind speed prediction algorithms to forecast wind speeds for high-speed rail systems. It also proposes a method for assessing the quality of input samples, thereby enhancing the accuracy of wind speed predictions.
2. Materials and Methods
2.1. HSR Line
2.2. Wind Speed Observations in HSR Systems
2.3. Meteorological Department Wind Speed Observation
3. Wind Speed Characteristics
3.1. Wind Speed at Different Time Scales
3.2. Correlation Between RS and WS
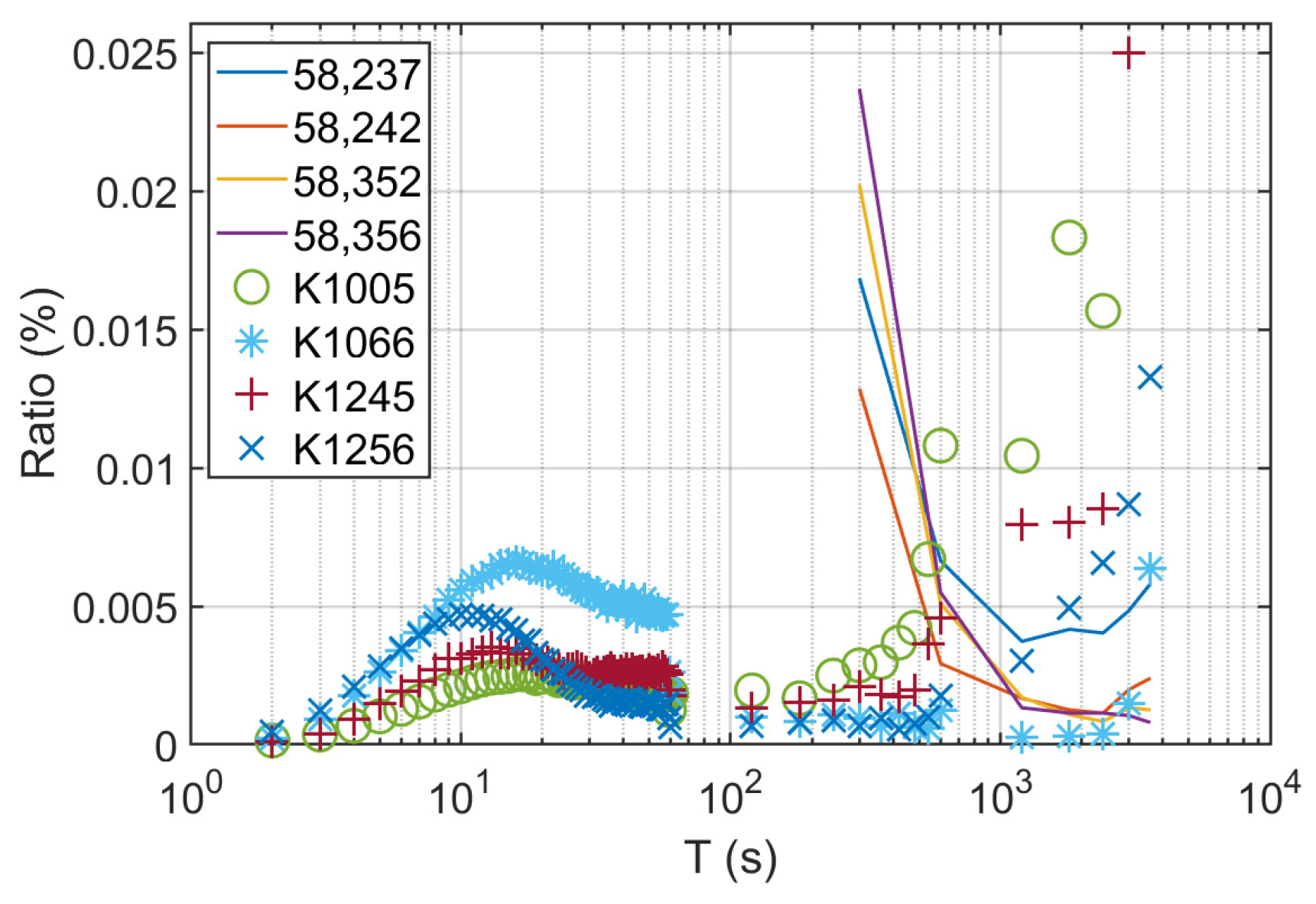
3.3. Wind Speed Fluctuation
3.4. Wind Speed Distribution Characteristics
3.5. Turbulence Intensity
4. Predictability Analysis
4.1. NCP of Wind Speed at RS
4.2. Predictability of Wind Speed
4.3. Predictable Duration of Wind Speed
5. Detailed Analysis of Predictability Performance and Model Validation
5.1. Forecasting Model
5.1.1. TCN
5.1.2. LSTM
5.1.3. Informer
5.1.4. MRIformer
5.2. Experimental Setup
5.3. Evaluation Indicators
5.4. Prediction Results Analysis
5.5. Predictability Performance
6. Conclusions
Author Contributions
Funding
Institutional Review Board Statement
Informed Consent Statement
Data Availability Statement
Conflicts of Interest
Appendix A. Statistical Error of February PDFs of K1005 RS
| Model | 3 s | 12 s | 30 s | 1 min | 5 min | 10 min | 30 min | 60 min | |
| RMSE | Wei | 0.028 | 0.025 | 0.022 | 0.025 | 0.023 | 0.022 | 0.023 | 0.026 |
| GEV | 0.03 | 0.03 | 0.03 | 0.033 | 0.034 | 0.034 | 0.037 | 0.037 | |
| Gam | 0.032 | 0.031 | 0.029 | 0.031 | 0.031 | 0.03 | 0.031 | 0.032 | |
| Ray | 0.048 | 0.047 | 0.046 | 0.05 | 0.047 | 0.046 | 0.047 | 0.047 | |
| R2 | Wei | 0.984 | 0.987 | 0.989 | 0.988 | 0.989 | 0.991 | 0.990 | 0.988 |
| GEV | 0.952 | 0.951 | 0.949 | 0.934 | 0.938 | 0.937 | 0.935 | 0.936 | |
| Gam | 0.979 | 0.979 | 0.982 | 0.912 | 0.914 | 0.924 | 0.923 | 0.919 | |
| Ray | 0.922 | 0.926 | 0.935 | 0.931 | 0.945 | 0.962 | 0.932 | 0.914 | |
| χ2 | Wei | 0.005 | 0.005 | 0.005 | 0.007 | 0.006 | 0.006 | 0.006 | 0.009 |
| GEV | 0.011 | 0.011 | 0.011 | 0.012 | 0.013 | 0.012 | 0.012 | 0.016 | |
| Gam | 0.004 | 0.005 | 0.006 | 0.006 | 0.007 | 0.007 | 0.008 | 0.01 | |
| Ray | 0.024 | 0.022 | 0.022 | 0.023 | 0.021 | 0.02 | 0.021 | 0.024 | |
| K-S | Wei | 0.062 | 0.041 | 0.035 | 0.039 | 0.032 | 0.033 | 0.024 | 0.021 |
| GEV | 0.058 | 0.062 | 0.065 | 0.074 | 0.074 | 0.072 | 0.081 | 0.055 | |
| Gam | 0.091 | 0.088 | 0.078 | 0.083 | 0.078 | 0.069 | 0.069 | 0.047 | |
| Ray | 0.095 | 0.098 | 0.087 | 0.103 | 0.095 | 0.080 | 0.081 | 0.075 |
Appendix B. The Achieved Wind Speed Probability Distribution Model’s Statistical Error (Sample Time: 10 Min)
| Sate | Wei | GEV | Gam | Ray | |
| K1005 | RMSE | 0.024 | 0.037 | 0.032 | 0.054 |
| R2 | 0.988 | 0.972 | 0.980 | 0.944 | |
| χ2 | 0.009 | 0.015 | 0.011 | 0.029 | |
| K-S | 0.059 | 0.069 | 0.061 | 0.095 | |
| K1066 | RMSE | 0.041 | 0.045 | 0.046 | 0.034 |
| R2 | 0.983 | 0.980 | 0.978 | 0.986 | |
| χ2 | 0.009 | 0.012 | 0.007 | 0.006 | |
| K-S | 0.055 | 0.065 | 0.081 | 0.043 | |
| K1245 | RMSE | 0.015 | 0.018 | 0.018 | 0.012 |
| R2 | 0.994 | 0.991 | 0.991 | 0.995 | |
| χ2 | 0.002 | 0.004 | 0.003 | 0.002 | |
| K-S | 0.038 | 0.042 | 0.045 | 0.036 | |
| K1256 | RMSE | 0.019 | 0.023 | 0.023 | 0.017 |
| R2 | 0.994 | 0.9913 | 0.992 | 0.995 | |
| χ2 | 0.003 | 0.005 | 0.004 | 0.003 | |
| K-S | 0.042 | 0.057 | 0.057 | 0.037 | |
| 58,237 | RMSE | 0.037 | 0.04 | 0.045 | 0.06 |
| R2 | 0.976 | 0.972 | 0.966 | 0.939 | |
| χ2 | 0.011 | 0.014 | 0.012 | 0.023 | |
| K-S | 0.068 | 0.072 | 0.093 | 0.124 | |
| 58,242 | RMSE | 0.032 | 0.031 | 0.031 | 0.032 |
| R2 | 0.988 | 0.990 | 0.989 | 0.989 | |
| χ2 | 0.005 | 0.006 | 0.003 | 0.005 | |
| K-S | 0.053 | 0.039 | 0.054 | 0.053 | |
| 58,352 | RMSE | 0.041 | 0.039 | 0.047 | 0.052 |
| R2 | 0.977 | 0.980 | 0.969 | 0.962 | |
| χ2 | 0.008 | 0.01 | 0.011 | 0.011 | |
| K-S | 0.074 | 0.059 | 0.089 | 0.010 | |
| 58,356 | RMSE | 0.038 | 0.038 | 0.039 | 0.044 |
| R2 | 0.981 | 0.980 | 0.979 | 0.972 | |
| χ2 | 0.005 | 0.01 | 0.003 | 0.009 | |
| K-S | 0.059 | 0.067 | 0.079 | 0.076 |
References
- Wang, K.L.; Jiang, W.; Miao, Z. Impact of high-speed railway on urban resilience in China: Does urban innovation matter? Socio-Econ. Plan. Sci. 2023, 87, 101607. [Google Scholar] [CrossRef]
- Liu, C.; He, S.; Liu, H.; Chen, J.; Dong, H. WindTrans: Transformer-Based Wind Speed Forecasting Method for High-Speed Railway. IEEE Trans. Intell. Transp. Syst. 2024, 25, 4947–4963. [Google Scholar] [CrossRef]
- Hoppmann, U.; Koenig, S.; Tielkes, T.; Matschke, G. A short-term strong wind prediction model for railway application: Design and verification. J. Wind Eng. Ind. Aerodyn. 2002, 90, 1127–1134. [Google Scholar] [CrossRef]
- Delaunay, D.; Cléon, L.M.; Sacré, C.; Sourget, F.; Gautier, P.E. Designing a wind alarm system for the TGV-Méditerranée. In Proceedings of the 11th International Conference on Wind Engineering, Lubbock, TX, USA, 2–5 June 2003; pp. 2–5. [Google Scholar]
- Fujii, T.; Maeda, T.; Ishida, H.; Imai, T.; Tanemoto, K.; Suzuki, M. Wind-Induced Accidents of Train/Vehicles and Their Measures in Japan. Q. Rep. RTRI 1999, 40, 50–55. [Google Scholar] [CrossRef]
- Liu, H.; Chen, C. Data processing strategies in wind energy forecasting models and applications: A comprehensive review. Appl. Energy 2019, 249, 392–408. [Google Scholar] [CrossRef]
- Neshat, M.; Nezhad, M.M.; Abbasnejad, E.; Mirjalili, S.; Tjernberg, L.B.; Garcia, D.A.; Alexander, B.; Wagner, M. A deep learning-based evolutionary model for short-term wind speed forecasting: A case study of the Lillgrund offshore wind farm. Energy Convers. Manag. 2021, 236, 114002. [Google Scholar] [CrossRef]
- Wu, B.; Wang, L. Two-stage decomposition and temporal fusion transformers for interpretable wind speed forecasting. Energy 2024, 288, 129728. [Google Scholar] [CrossRef]
- Yang, D.; Li, M.; Guo, J.-e.; Du, P. An attention-based multi-input LSTM with sliding window-based two-stage decomposition for wind speed forecasting. Appl. Energy 2024, 375, 124057. [Google Scholar] [CrossRef]
- Landberg, L. Short-term prediction of the power production from wind farms. J. Wind Eng. Ind. Aerodyn. 1999, 80, 207–220. [Google Scholar] [CrossRef]
- Stathopoulos, C.; Kaperoni, A.; Galanis, G.; Kallos, G. Wind power prediction based on numerical and statistical models. J. Wind Eng. Ind. Aerodyn. 2013, 112, 25–38. [Google Scholar] [CrossRef]
- Wang, Z.; Wang, C.; Wu, J. Wind energy potential assessment and forecasting research based on the data pre-processing technique and swarm intelligent optimization algorithms. Sustainability 2016, 8, 1191. [Google Scholar] [CrossRef]
- Li, G.; Shi, J. On comparing three artificial neural networks for wind speed forecasting. Appl. Energy 2010, 87, 2313–2320. [Google Scholar] [CrossRef]
- Erdem, E.; Shi, J. ARMA based approaches for forecasting the tuple of wind speed and direction. Appl. Energy 2011, 88, 1405–1414. [Google Scholar] [CrossRef]
- Elsaraiti, M.; Merabet, A. A comparative analysis of the arima and lstm predictive models and their effectiveness for predicting wind speed. Energies 2021, 14, 6782. [Google Scholar] [CrossRef]
- Kavasseri, R.G.; Seetharaman, K. Day-ahead wind speed forecasting using f-ARIMA models. Renew. Energy 2009, 34, 1388–1393. [Google Scholar] [CrossRef]
- Koivisto, M.; Seppänen, J.; Mellin, I.; Ekström, J.; Millar, J.; Mammarella, I.; Komppula, M.; Lehtonen, M. Wind speed modeling using a vector autoregressive process with a time-dependent intercept term. Int. J. Electr. Power Energy Syst. 2016, 77, 91–99. [Google Scholar] [CrossRef]
- Wang, C.; Zhang, S.; Xiao, L.; Fu, T. Wind speed forecasting based on multi-objective grey wolf optimisation algorithm, weighted information criterion, and wind energy conversion system: A case study in Eastern China. Energy Convers. Manag. 2021, 243, 114402. [Google Scholar] [CrossRef]
- Velo, R.; López, P.; Maseda, F. Wind speed estimation using multilayer perceptron. Energy Convers. Manag. 2014, 81, 1–9. [Google Scholar] [CrossRef]
- Shang, Y.; Miao, L.; Shan, Y.; Gnyawali, K.R.; Zhang, J.; Kattel, G. A hybrid ultra-short-term and short-term wind speed forecasting method based on CEEMDAN and GA-BPNN. Weather Forecast. 2022, 37, 415–428. [Google Scholar] [CrossRef]
- Yousuf, M.U.; Al-Bahadly, I.; Avci, E. Statistical wind speed forecasting models for small sample datasets: Problems, Improvements, and prospects. Energy Convers. Manag. 2022, 261, 115658. [Google Scholar] [CrossRef]
- Moreno, S.R.; dos Santos Coelho, L. Wind speed forecasting approach based on Singular Spectrum Analysis and Adaptive Neuro Fuzzy Inference System. Renew. Energy 2018, 126, 736–754. [Google Scholar] [CrossRef]
- Wang, J.; Niu, X.; Zhang, L.; Liu, Z.; Huang, X. A wind speed forecasting system for the construction of a smart grid with two-stage data processing based on improved ELM and deep learning strategies. Expert Syst. Appl. 2024, 241, 122487. [Google Scholar] [CrossRef]
- Harbola, S.; Coors, V. One dimensional convolutional neural network architectures for wind prediction. Energy Convers. Manag. 2019, 195, 70–75. [Google Scholar] [CrossRef]
- Saeed, A.; Li, C.; Danish, M.; Rubaiee, S.; Tang, G.; Gan, Z.; Ahmed, A. Hybrid bidirectional LSTM model for short-term wind speed interval prediction. IEEE Access 2020, 8, 182283–182294. [Google Scholar] [CrossRef]
- Nascimento, E.G.S.; de Melo, T.A.; Moreira, D.M. A transformer-based deep neural network with wavelet transform for forecasting wind speed and wind energy. Energy 2023, 278, 127678. [Google Scholar] [CrossRef]
- Huang, X.; Wang, J.; Huang, B. Two novel hybrid linear and nonlinear models for wind speed forecasting. Energy Convers. Manag. 2021, 238, 114162. [Google Scholar] [CrossRef]
- Feng, C.; Cui, M.; Hodge, B.M.; Zhang, J. A data-driven multi-model methodology with deep feature selection for short-term wind forecasting. Appl. Energy 2017, 190, 1245–1257. [Google Scholar] [CrossRef]
- Wang, Y.; Xu, H.; Song, M.; Zhang, F.; Li, Y.; Zhou, S.; Zhang, L. A convolutional Transformer-based truncated Gaussian density network with data denoising for wind speed forecasting. Appl. Energy 2023, 333, 120601. [Google Scholar] [CrossRef]
- Yang, Y.; Zhou, H.; Wu, J.; Ding, Z.; Wang, Y.G. Robustified extreme learning machine regression with applications in outlier-blended wind-speed forecasting. Appl. Soft Comput. 2022, 122, 108814. [Google Scholar] [CrossRef]
- Liu, H.; Tian, H.; Li, Y. An EMD-recursive ARIMA method to predict wind speed for railway strong wind warning system. J. Wind Eng. Ind. Aerodyn. 2015, 141, 27–38. [Google Scholar] [CrossRef]
- Al-Yahyai, S.; Charabi, Y.; Gastli, A. Review of the use of numerical weather prediction (NWP) models for wind energy assessment. Renew. Sustain. Energy Rev. 2010, 14, 3192–3198. [Google Scholar] [CrossRef]
- Jiang, F.; Zhang, M.; Li, Y.; Yan, T.; Zhang, J. Field measurement analysis of wind parameters and nonstationary characteristics in mountainous terrain: Focusing on cooling windstorms. J. Wind Eng. Ind. Aerodyn. 2022, 230, 105175. [Google Scholar] [CrossRef]
- Zhang, M.; Zhang, J.; Chen, H.; Xin, X.; Li, Y.; Jiang, F. Probabilistic wind spectrum model based on correlation of wind parameters in mountainous areas: Focusing on von Karman spectrum. J. Wind Eng. Ind. Aerodyn. 2023, 234, 105337. [Google Scholar] [CrossRef]
- Usta, I.; Kantar, Y.M. Analysis of some flexible families of distributions for estimation of wind speed distributions. Appl. Energy 2012, 89, 355–367. [Google Scholar] [CrossRef]
- Baggio, R.; Muzy, J.F. Improving probabilistic wind speed forecasting using M-Rice distribution and spatial data integration. Appl. Energy 2024, 360, 122840. [Google Scholar] [CrossRef]
- Mohammadi, K.; Alavi, O.; McGowan, J.G. Use of Birnbaum-Saunders distribution for estimating wind speed and wind power probability distributions: A review. Energy Convers. Manag. 2017, 143, 109–122. [Google Scholar] [CrossRef]
- Ouarda, T.B.; Charron, C.; Shin, J.Y.; Marpu, P.R.; Al-Mandoos, A.H.; Al-Tamimi, M.H.; Ghedira, H.; Al Hosary, T. Probability distributions of wind speed in the UAE. Energy Convers. Manag. 2015, 93, 414–434. [Google Scholar] [CrossRef]
- Hipel, K.W.; McLeod, A.I. Time series modelling of water resources and environmental systems. J. Hydrol. 1994, 167, 399–400. [Google Scholar]
- Nason, G.P.; Savchev, D. White noise testing using wavelets. Stat 2014, 3, 351–362. [Google Scholar] [CrossRef]
- Gan, Z.; Li, C.; Zhou, J.; Tang, G. Temporal convolutional networks interval prediction model for wind speed forecasting. Electr. Power Syst. Res. 2021, 191, 106865. [Google Scholar] [CrossRef]
- Memarzadeh, G.; Keynia, F. A new short-term wind speed forecasting method based on fine-tuned LSTM neural network and optimal input sets. Energy Convers. Manag. 2020, 213, 112824. [Google Scholar] [CrossRef]
- Wei, H.; Wang, W.S.; Kao, X.X. A novel approach to ultra-short-term wind power prediction based on feature engineering and informer. Energy Rep. 2023, 9, 1236–1250. [Google Scholar] [CrossRef]
- Yu, C.; Yan, G.; Yu, C.; Liu, X.; Mi, X. MRIformer: A multi-resolution interactive transformer for wind speed multi-step prediction. Inf. Sci. 2024, 661, 120150. [Google Scholar] [CrossRef]
- Baïle, R.; Muzy, J.F. Leveraging data from nearby stations to improve short-term wind speed forecasts. Energy 2023, 263, 125644. [Google Scholar] [CrossRef]
- Feng, C.; Sun, M.; Cui, M.; Chartan, E.K.; Hodge, B.M.; Zhang, J. Characterizing forecastability of wind sites in the United States. Renew. Energy 2019, 133, 1352–1365. [Google Scholar] [CrossRef]



















| HSR Stations | Weather Stations | Distance (km) | Surrounding Environment |
|---|---|---|---|
| K1005 | 58,237 | 7.2 | Yangtze River, bridges |
| K1066 | 58,242 | 7.7 | Mountain valley |
| K1245 | 58,352 | 11.8 | Yangcheng Lake, Tunnel |
| K1256 | 58,356 | 8.6 | Yangcheng Lake |
| Name | Probability Density Functions (PDF) |
|---|---|
| Wei | |
| GEV | |
| Gam | |
| Ray |
| Criteria | Formulas |
|---|---|
| RMSE | |
| χ2 | |
| K-S |
| Station | 3 s | 6 s | 12 s | 30 s | 60 s | 120 s | 180 s | 240 s | 300 s | 600 s | 1200 s | 1800 s |
|---|---|---|---|---|---|---|---|---|---|---|---|---|
| K1005 | 1670 | 1590 | 1270 | 1020 | 840 | 730 | 300 | 192 | 60 | 0 | 0 | 0 |
| K1066 | 4070 | 3710 | 3090 | 2790 | 2500 | 1220 | 1032 | 960 | 890 | 0 | 0 | 0 |
| K1245 | 1390 | 1330 | 1130 | 1090 | 1060 | 990 | 828 | 768 | 700 | 0 | 0 | 0 |
| K1256 | 4410 | 4400 | 4390 | 4340 | 4290 | 4000 | 4028 | 3992 | 3990 | 3560 | 2660 | 2030 |
| Model | Parameter | Value |
|---|---|---|
| TCN | Number of hidden layer units | 64 |
| Filter size | 2 | |
| Learning rate | 0.002 | |
| Batch size | 32 | |
| Dropout | 0.05 | |
| Training epochs | 100 | |
| Optimizer | Adam | |
| LSTM | Number of hidden layer neurons | 32 |
| Learning rate | 0.002 | |
| Batch size | 32 | |
| Dropout | 0.01 | |
| Training epochs | 100 | |
| Optimizer | Adam | |
| Informer | Encoder layers | 2 |
| Decoder layers | 1 | |
| Number of multi-head attention | 2 | |
| Number of layers | 2 | |
| Size of hidden units | 256 | |
| Learning rate | 0.0005 | |
| Batch size | 64 | |
| Dropout | 0.02 | |
| Training epochs | 100 | |
| Optimizer | Adam | |
| MRIformer | Number of MRI block | 3 |
| Number of layers of the tree structure | 2 | |
| Learning rate | 0.0002 | |
| Batch size | 32 | |
| Dropout | 0.3 | |
| Training epochs | 100 | |
| Optimizer | Adam |
| Pre-Operation | Model | K1005 | K1066 | K1245 | K1256 | ||||
|---|---|---|---|---|---|---|---|---|---|
| None | TCN | 0.4528 | 0.3595 | 0.5449 | 0.4147 | 0.5130 | 0.4090 | 0.4805 | 0.3895 |
| LSTM | 0.4209 | 0.3382 | 0.4977 | 0.3719 | 0.4960 | 0.3860 | 0.4642 | 0.3632 | |
| Informer | 0.3747 | 0.2950 | 0.4439 | 0.3488 | 0.4536 | 0.3625 | 0.4144 | 0.3273 | |
| MRIformer | 0.3683 | 0.2914 | 0.4379 | 0.3373 | 0.4327 | 0.3436 | 0.3943 | 0.3144 | |
| Join WS wind speed collaborative forecast | TCN | 0.4266 | 0.3356 | 0.4817 | 0.3730 | 0.4323 | 0.3415 | 0.4136 | 0.3254 |
| LSTM | 0.3975 | 0.3095 | 0.4689 | 0.3598 | 0.4233 | 0.3250 | 0.4037 | 0.3135 | |
| Informer | 0.3567 | 0.2609 | 0.3942 | 0.2994 | 0.4008 | 0.3047 | 0.3678 | 0.2803 | |
| MRIformer | 0.3423 | 0.2575 | 0.3921 | 0.2974 | 0.3972 | 0.2941 | 0.3560 | 0.2751 | |
| Join WS wind speed +Predictability Analysis | TCN | 0.2930 | 0.2391 | 0.3136 | 0.2687 | 0.3423 | 0.2645 | 0.3037 | 0.2657 |
| LSTM | 0.2614 | 0.2186 | 0.2816 | 0.2343 | 0.3184 | 0.2549 | 0.3039 | 0.2699 | |
| Informer | 0.2204 | 0.1697 | 0.2395 | 0.1740 | 0.2359 | 0.1850 | 0.2288 | 0.1698 | |
| MRIformer | 0.1815 | 0.1123 | 0.1847 | 0.1275 | 0.1859 | 0.1303 | 0.1838 | 0.1278 | |
Disclaimer/Publisher’s Note: The statements, opinions and data contained in all publications are solely those of the individual author(s) and contributor(s) and not of MDPI and/or the editor(s). MDPI and/or the editor(s) disclaim responsibility for any injury to people or property resulting from any ideas, methods, instructions or products referred to in the content. |
© 2024 by the authors. Licensee MDPI, Basel, Switzerland. This article is an open access article distributed under the terms and conditions of the Creative Commons Attribution (CC BY) license (https://creativecommons.org/licenses/by/4.0/).
Share and Cite
Chen, X.; Ye, X.; Zhang, Y.; Xiong, X. Analysis of Wind Speed Characteristics Along a High-Speed Railway. Appl. Sci. 2025, 15, 138. https://doi.org/10.3390/app15010138
Chen X, Ye X, Zhang Y, Xiong X. Analysis of Wind Speed Characteristics Along a High-Speed Railway. Applied Sciences. 2025; 15(1):138. https://doi.org/10.3390/app15010138
Chicago/Turabian StyleChen, Xin, Xiaoling Ye, Yingchao Zhang, and Xiong Xiong. 2025. "Analysis of Wind Speed Characteristics Along a High-Speed Railway" Applied Sciences 15, no. 1: 138. https://doi.org/10.3390/app15010138
APA StyleChen, X., Ye, X., Zhang, Y., & Xiong, X. (2025). Analysis of Wind Speed Characteristics Along a High-Speed Railway. Applied Sciences, 15(1), 138. https://doi.org/10.3390/app15010138

