Comprehensive Study on Endocrine Disruptor Removal from Wastewater Using Different Microalgae Species
Abstract
1. Introduction
2. Materials and Methods
2.1. Chemicals and Reagents
2.2. Experiments
2.2.1. LOM Experiments
2.2.2. Abiotic Experiments
2.3. Supernatant Analysis
2.4. Mass Balance
2.5. Statistical Analyses
3. Results and Discussions
3.1. Microalgae Growth in the Presence of EDCs
3.2. Nutrient Removal
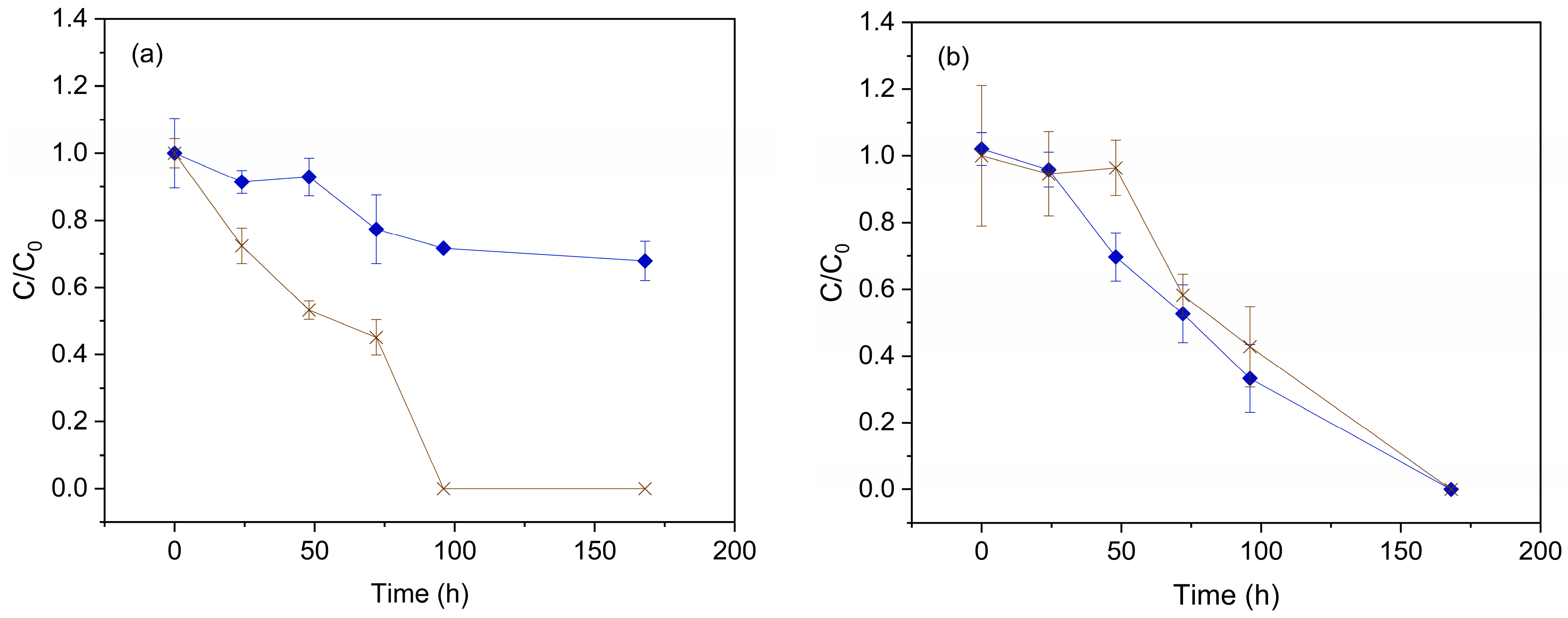
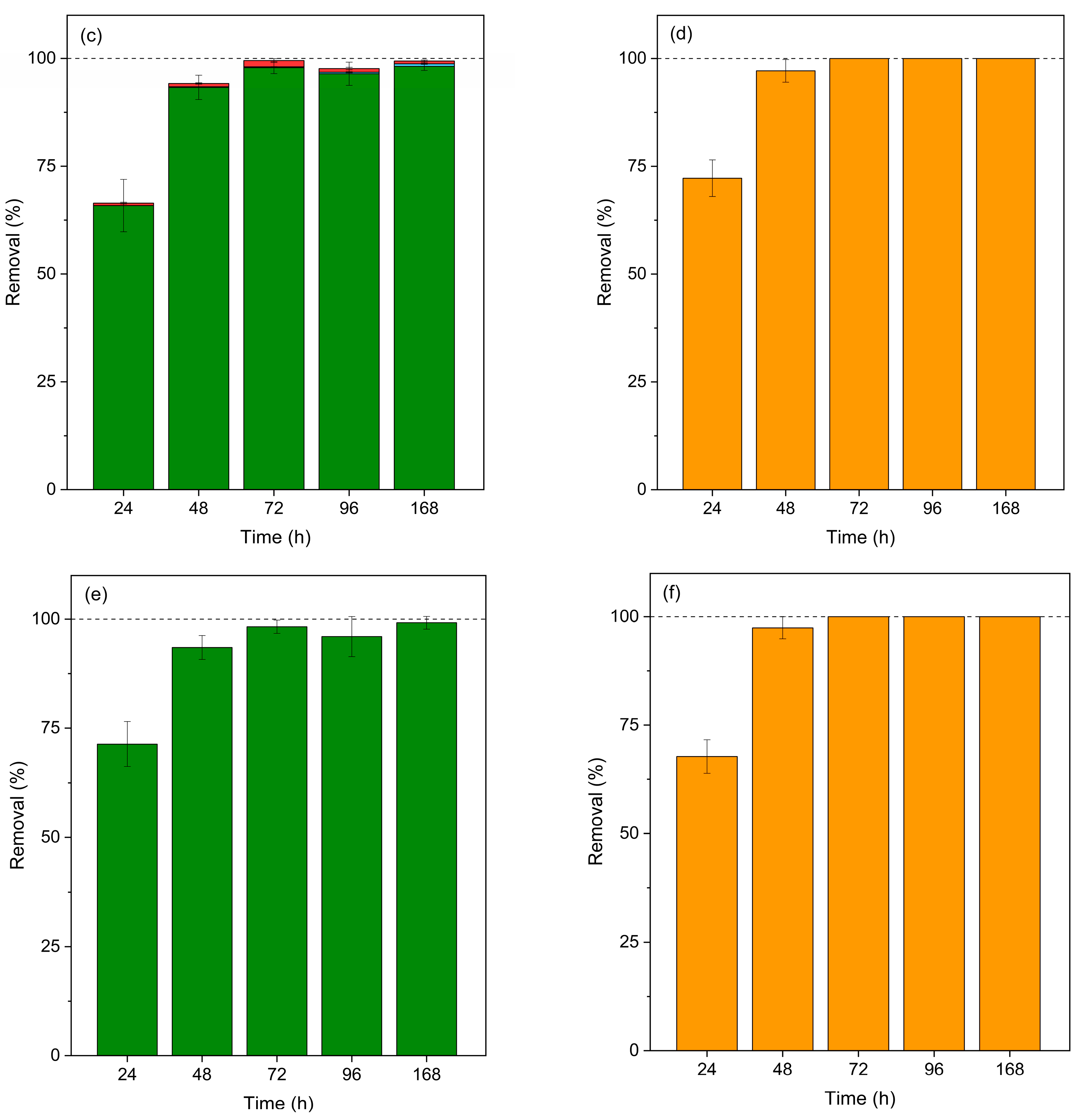
3.3. EDC Removal
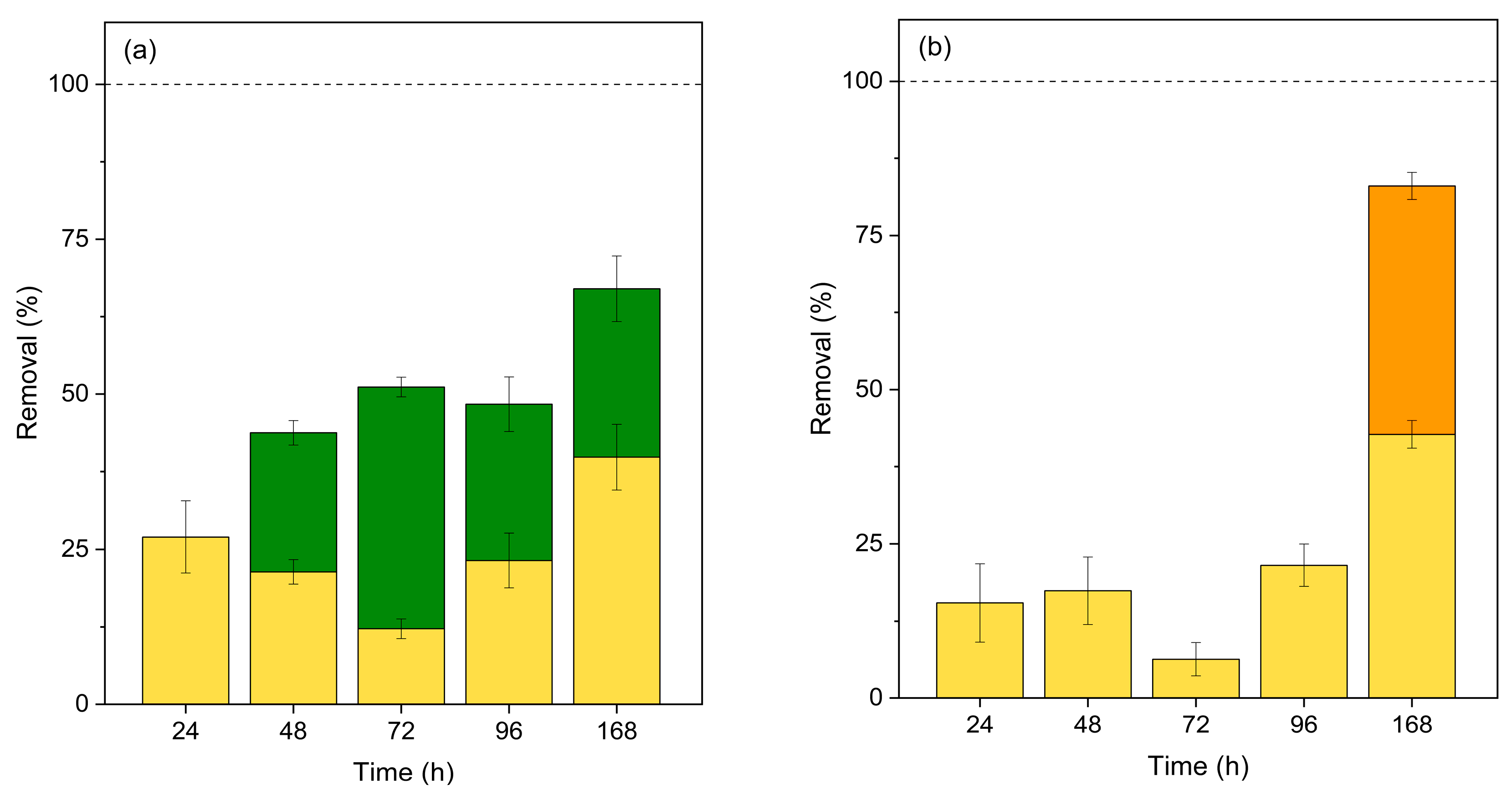
3.4. Mass Balance
4. Conclusions
Supplementary Materials
Author Contributions
Funding
Institutional Review Board Statement
Informed Consent Statement
Data Availability Statement
Conflicts of Interest
References
- Ahmed, M.B.; Zhou, J.L.; Ngo, H.H.; Guo, W.; Thomaidis, N.S.; Xu, J. Progress in the Biological and Chemical Treatment Technologies for Emerging Contaminant Removal from Wastewater: A Critical Review. J. Hazard. Mater. 2017, 323, 274–298. [Google Scholar] [CrossRef]
- Virtuoso, S.; Raggi, C.; Maugliani, A.; Baldi, F.; Gentili, D.; Narciso, L. Toxicological Effects of Naturally Occurring Endocrine Disruptors on Various Human Health Targets: A Rapid Review. Toxics 2024, 12, 256. [Google Scholar] [CrossRef]
- Casals-Casas, C.; Desvergne, B. Endocrine Disruptors: From Endocrine to Metabolic Disruption. Annu. Rev. Physiol. 2011, 73, 135–162. [Google Scholar] [CrossRef]
- Nowak, K.; Jabłońska, E.; Ratajczak-Wrona, W. Immunomodulatory Effects of Synthetic Endocrine Disrupting Chemicals on the Development and Functions of Human Immune Cells. Environ. Int. 2019, 125, 350–364. [Google Scholar] [CrossRef]
- Wang, W.; Kannan, K. Fate of Parabens and Their Metabolites in Two Wastewater Treatment Plants in New York State, United States. Environ. Sci. Technol. 2016, 50, 1174–1181. [Google Scholar] [CrossRef] [PubMed]
- Pothitou, P.; Voutsa, D. Endocrine Disrupting Compounds in Municipal and Industrial Wastewater Treatment Plants in Northern Greece. Chemosphere 2008, 73, 1716–1723. [Google Scholar] [CrossRef]
- Kasprzyk-Hordern, B.; Dinsdale, R.M.; Guwy, A.J. The Removal of Pharmaceuticals, Personal Care Products, Endocrine Disruptors and Illicit Drugs during Wastewater Treatment and Its Impact on the Quality of Receiving Waters. Water Res. 2009, 43, 363–380. [Google Scholar] [CrossRef] [PubMed]
- Bolujoko, N.B.; Unuabonah, E.I.; Alfred, M.O.; Ogunlaja, A.; Ogunlaja, O.O.; Omorogie, M.O.; Olukanni, O.D. Toxicity and Removal of Parabens from Water: A Critical Review. Sci. Total Environ. 2021, 792, 148092. [Google Scholar] [CrossRef] [PubMed]
- Nowak, K.; Ratajczak-Wrona, W.; Górska, M.; Jabłońska, E. Parabens and Their Effects on the Endocrine System. Mol. Cell. Endocrinol. 2018, 474, 238–251. [Google Scholar] [CrossRef]
- Byford, J.R.; Shaw, L.E.; Drew, M.G.B.; Pope, G.S.; Sauer, M.J.; Darbre, P.D. Oestrogenic Activity of Parabens in MCF7 Human Breast Cancer Cells. J. Steroid Biochem. Mol. Biol. 2002, 80, 49–60. [Google Scholar] [CrossRef] [PubMed]
- Khanna, S.; Darbre, P.D. Parabens Enable Suspension Growth of MCF-10A Immortalized, Non-Transformed Human Breast Epithelial Cells. J. Appl. Toxicol. 2013, 33, 378–382. [Google Scholar] [CrossRef]
- Koeppe, E.S.; Ferguson, K.K.; Colacino, J.A.; Meeker, J.D. Relationship between Urinary Triclosan and Paraben Concentrations and Serum Thyroid Measures in NHANES 2007-2008. Sci Total Environ. 2013, 445–446, 299–305. [Google Scholar] [CrossRef]
- Wu, M.h.; Li, J.; Xu, G.; Ma, L.d.; Li, J.j.; Li, J.s.; Tang, L. Pollution Patterns and Underlying Relationships of Benzophenone-Type UV-Filters in Wastewater Treatment Plants and Their Receiving Surface Water. Ecotoxicol. Environ. Saf. 2018, 152, 98–103. [Google Scholar] [CrossRef] [PubMed]
- Mao, J.F.; Li, W.; Ong, C.N.; He, Y.; Jong, M.C.; Gin, K.Y.H. Assessment of Human Exposure to Benzophenone-Type UV Filters: A Review. Environ. Int. 2022, 167, 107405. [Google Scholar] [CrossRef] [PubMed]
- Li, Y.; Zhu, J.; Fan, J.; Cai, S.; Fan, C.; Zhong, Y.; Sun, L. Associations of Urinary Levels of Phenols and Parabens with Osteoarthritis among US Adults in NHANES 2005–2014. Ecotoxicol. Environ. Saf. 2020, 192, 110293. [Google Scholar] [CrossRef] [PubMed]
- Kunisue, T.; Chen, Z.; Buck Louis, G.M.; Sundaram, R.; Hediger, M.L.; Sun, L.; Kannan, K. Urinary Concentrations of Benzophenone-Type UV Filters in U.S. Women and Their Association with Endometriosis. Environ. Sci. Technol. 2012, 46, 4624–4632. [Google Scholar] [CrossRef] [PubMed]
- Ohore, O.E.; Songhe, Z. Endocrine Disrupting Effects of Bisphenol A Exposure and Recent Advances on Its Removal by Water Treatment Systems. A Review. Sci. Afr. 2019, 5, e00135. [Google Scholar] [CrossRef]
- Ahmadkhaniha, R.; Mansouri, M.; Yunesian, M.; Omidfar, K.; Jeddi, M.Z.; Larijani, B.; Mesdaghinia, A.; Rastkari, N. Association of Urinary Bisphenol a Concentration with Type-2 Diabetes Mellitus. J. Environ. Health Sci. Eng. 2014, 12, 64. [Google Scholar] [CrossRef] [PubMed]
- Melzer, D.; Rice, N.E.; Lewis, C.; Henley, W.E.; Galloway, T.S. Association of Urinary Bisphenol A Concentration with Heart Disease: Evidence from NHANES 2003/06. PLoS ONE 2010, 5, e8673. [Google Scholar] [CrossRef]
- Trasande, L.; Attina, T.M.; Blustein, J. Association between Urinary Bisphenol A Concentration and Obesity Prevalence in Children and Adolescents. JAMA 2012, 308, 1113–1121. [Google Scholar] [CrossRef] [PubMed]
- Barboza, L.S.; Sánchez, P.S.V.; Gil, S.A.A. Removal of Estrone in Water and Wastewater by Photocatalysis: A Systematic Review. Prod. Limpia 2019, 14, 18–32. [Google Scholar] [CrossRef]
- Wu, C.C.; Shields, J.N.; Akemann, C.; Meyer, D.N.; Connell, M.; Baker, B.B.; Pitts, D.K.; Baker, T.R. The Phenotypic and Transcriptomic Effects of Developmental Exposure to Nanomolar Levels of Estrone and Bisphenol A in Zebrafish. Sci. Total Environ. 2021, 757, 143736. [Google Scholar] [CrossRef]
- Silori, R.; Kumar, M.; Madhab Mahapatra, D.; Biswas, P.; Prakash Vellanki, B.; Mahlknecht, J.; Mohammad Tauseef, S.; Barcelo, D. Prevalence of Endocrine Disrupting Chemicals in the Urban Wastewater Treatment Systems of Dehradun, India: Daunting Presence of Estrone. Environ. Res. 2023, 235, 116673. [Google Scholar] [CrossRef] [PubMed]
- Błedzka, D.; Gromadzińska, J.; Wasowicz, W. Parabens. From Environmental Studies to Human Health. Environ. Int. 2014, 67, 27–42. [Google Scholar] [CrossRef]
- Gültekin, I.; Ince, N.H. Synthetic Endocrine Disruptors in the Environment and Water Remediation by Advanced Oxidation Processes. J. Environ. Manag. 2007, 85, 816–832. [Google Scholar] [CrossRef]
- Yamazaki, E.; Yamashita, N.; Taniyasu, S.; Lam, J.; Lam, P.K.S.; Moon, H.B.; Jeong, Y.; Kannan, P.; Achyuthan, H.; Munuswamy, N.; et al. Bisphenol A and Other Bisphenol Analogues Including BPS and BPF in Surface Water Samples from Japan, China, Korea and India. Ecotoxicol. Environ. Saf. 2015, 122, 565–572. [Google Scholar] [CrossRef] [PubMed]
- Kapelewska, J.; Kotowska, U.; Karpińska, J.; Kowalczuk, D.; Arciszewska, A.; Świrydo, A. Occurrence, Removal, Mass Loading and Environmental Risk Assessment of Emerging Organic Contaminants in Leachates, Groundwaters and Wastewaters. Microchem. J. 2018, 137, 292–301. [Google Scholar] [CrossRef]
- Negreira, N.; Rodríguez, I.; Ramil, M.; Rubí, E.; Cela, R. Sensitive Determination of Salicylate and Benzophenone Type UV Filters in Water Samples Using Solid-Phase Microextraction, Derivatization and Gas Chromatography Tandem Mass Spectrometry. Anal. Chim. Acta 2009, 638, 36–44. [Google Scholar] [CrossRef] [PubMed]
- Metcalfe, C.D.; Bayen, S.; Desrosiers, M.; Muñoz, G.; Sauvé, S.; Yargeau, V. An Introduction to the Sources, Fate, Occurrence and Effects of Endocrine Disrupting Chemicals Released into the Environment. Environ. Res. 2022, 207, 112658. [Google Scholar] [CrossRef]
- Al Sharabati, M.; Abokwiek, R.; Al-Othman, A.; Tawalbeh, M.; Karaman, C.; Orooji, Y.; Karimi, F. Biodegradable Polymers and Their Nano-Composites for the Removal of Endocrine-Disrupting Chemicals (EDCs) from Wastewater: A Review. Environ. Res. 2021, 202, 111694. [Google Scholar] [CrossRef] [PubMed]
- Molins-Delgado, D.; Díaz-Cruz, M.S.; Barceló, D. Ecological Risk Assessment Associated to the Removal of Endocrine-Disrupting Parabens and Benzophenone-4 in Wastewater Treatment. J. Hazard. Mater. 2016, 310, 143–151. [Google Scholar] [CrossRef] [PubMed]
- Lee, S.; Liao, C.; Song, G.J.; Ra, K.; Kannan, K.; Moon, H.B. Emission of Bisphenol Analogues Including Bisphenol A and Bisphenol F from Wastewater Treatment Plants in Korea. Chemosphere 2015, 119, 1000–1006. [Google Scholar] [CrossRef]
- Servos, M.R.; Bennie, D.T.; Burnison, B.K.; Jurkovic, A.; McInnis, R.; Neheli, T.; Schnell, A.; Seto, P.; Smyth, S.A.; Ternes, T.A. Distribution of Estrogens, 17β-Estradiol and Estrone, in Canadian Municipal Wastewater Treatment Plants. Sci. Total Environ. 2005, 336, 155–170. [Google Scholar] [CrossRef] [PubMed]
- Singh, V.; Suthar, S. Occurrence, Seasonal Variation, Mass Loading and Fate of Pharmaceuticals and Personal Care Products (PPCPs) in Sewage Treatment Plants in Cities of Upper Ganges Bank, India. J. Water Process Eng. 2021, 44, 102399. [Google Scholar] [CrossRef]
- Azizi, D.; Arif, A.; Blair, D.; Dionne, J.; Filion, Y.; Ouarda, Y.; Pazmino, A.G.; Pulicharla, R.; Rilstone, V.; Tiwari, B.; et al. A Comprehensive Review on Current Technologies for Removal of Endocrine Disrupting Chemicals from Wastewaters. Environ. Res. 2022, 207, 112196. [Google Scholar] [CrossRef]
- Sutherland, D.L.; Ralph, P.J. Microalgal Bioremediation of Emerging Contaminants—Opportunities and Challenges. Water Res. 2019, 164, 114921. [Google Scholar] [CrossRef] [PubMed]
- Oncel, S.S. Microalgae for a Macroenergy World. Renew. Sustain. Energy Rev. 2013, 26, 241–264. [Google Scholar] [CrossRef]
- Tripathi, S.; Choudhary, S.; Meena, A.; Poluri, K.M. Carbon Capture, Storage, and Usage with Microalgae: A Review. Environ. Chem. Lett. 2023, 21, 2085–2128. [Google Scholar] [CrossRef]
- Vazirzadeh, A.; Jafarifard, K.; Ajdari, A.; Chisti, Y. Removal of Nitrate and Phosphate from Simulated Agricultural Runoff Water by Chlorella vulgaris. Sci. Total Environ. 2022, 802, 149988. [Google Scholar] [CrossRef] [PubMed]
- Zabed, H.M.; Akter, S.; Yun, J.; Zhang, G.; Zhang, Y.; Qi, X. Biogas from Microalgae: Technologies, Challenges and Opportunities. Renew. Sustain. Energy Rev. 2020, 117, 109503. [Google Scholar] [CrossRef]
- Narindri Rara Winayu, B.; Chu, F.J.; Sutopo, C.C.Y.; Chu, H. Bioprospecting Photosynthetic Microorganisms for the Removal of Endocrine Disruptor Compounds. World J. Microbiol. Biotechnol. 2024, 40, 120. [Google Scholar] [CrossRef]
- Maia, C.; Sousa, C.A.; Sousa, H.; Vale, F.; Simões, M. Parabens Removal from Wastewaters by Microalgae—Ecotoxicity, Metabolism and Pathways. Chem. Eng. J. 2023, 453, 139631. [Google Scholar] [CrossRef]
- Solé, A.; Matamoros, V. Removal of Endocrine Disrupting Compounds from Wastewater by Microalgae Co-Immobilized in Alginate Beads. Chemosphere 2016, 164, 516–523. [Google Scholar] [CrossRef]
- Prosenc, F.; Piechocka, J.; Škufca, D.; Heath, E.; Griessler Bulc, T.; Istenič, D.; Buttiglieri, G. Microalgae-Based Removal of Contaminants of Emerging Concern: Mechanisms in Chlorella vulgaris and Mixed Algal-Bacterial Cultures. J. Hazard. Mater. 2021, 418, 126284. [Google Scholar] [CrossRef]
- Huang, B.; Tang, J.; He, H.; Gu, L.; Pan, X. Ecotoxicological Effects and Removal of 17β-Estradiol in Chlorella Algae. Ecotoxicol. Environ. Saf. 2019, 174, 377–383. [Google Scholar] [CrossRef]
- Amaral, E.T.; Bender, L.B.Y.C.; Rizzetti, T.M.; de Souza Schneider, R.d.C. Removal of Organic Contaminants in Water Bodies or Wastewater by Microalgae of the Genus Chlorella: A Review. Case Stud. Chem. Environ. Eng. 2023, 8, 100476. [Google Scholar] [CrossRef]
- Li, S.; Chu, R.; Hu, D.; Yin, Z.; Mo, F.; Hu, T.; Liu, C.; Zhu, L. Combined Effects of 17β-Estradiol and Copper on Growth, Biochemical Characteristics and Pollutant Removals of Freshwater Microalgae Scenedesmus dimorphus. Sci. Total Environ. 2020, 730, 138597. [Google Scholar] [CrossRef] [PubMed]
- Wang, P.; Wong, Y.S.; Tam, N.F.Y. Green Microalgae in Removal and Biotransformation of Estradiol and Ethinylestradiol. J. Appl. Phycol. 2017, 29, 263–273. [Google Scholar] [CrossRef]
- Asadi, P.; Rad, H.A.; Qaderi, F. Lipid and Biodiesel Production by Cultivation Isolated Strain Chlorella sorokiniana Pa.91 and Chlorella vulgaris in Dairy Wastewater Treatment Plant Effluents. J. Environ. Health Sci. Eng. 2020, 18, 573–585. [Google Scholar] [CrossRef] [PubMed]
- Wen, Y.; He, Y.; Ji, X.; Li, S.; Chen, L.; Zhou, Y.; Wang, M.; Chen, B. Isolation of an Indigenous Chlorella vulgaris from Swine Wastewater and Characterization of Its Nutrient Removal Ability in Undiluted Sewage. Bioresour. Technol. 2017, 243, 247–253. [Google Scholar] [CrossRef] [PubMed]
- Doria, E.; Longoni, P.; Scibilia, L.; Iazzi, N.; Cella, R.; Nielsen, E. Isolation and Characterization of a Scenedesmus acutus Strain to Be Used for Bioremediation of Urban Wastewater. J. Appl. Phycol. 2012, 24, 375–383. [Google Scholar] [CrossRef]
- Zhou, G.J.; Ying, G.G.; Liu, S.; Zhou, L.J.; Chen, Z.F.; Peng, F.Q. Simultaneous Removal of Inorganic and Organic Compounds in Wastewater by Freshwater Green Microalgae. Environ. Sci. Process Impacts 2014, 16, 2018–2027. [Google Scholar] [CrossRef]
- Lee, S.H.; Xiong, J.Q.; Ru, S.; Patil, S.M.; Kurade, M.B.; Govindwar, S.P.; Oh, S.E.; Jeon, B.H. Toxicity of Benzophenone-3 and Its Biodegradation in a Freshwater Microalga Scenedesmus obliquus. J. Hazard. Mater. 2020, 389, 122149. [Google Scholar] [CrossRef] [PubMed]
- Shi, W.; Wang, L.; Rousseau, D.P.L.; Lens, P.N.L. Removal of Estrone, 17α-Ethinylestradiol, and 17ß-Estradiol in Algae and Duckweed-Based Wastewater Treatment Systems. Environ. Sci. Pollut. Res. 2010, 17, 824–833. [Google Scholar] [CrossRef] [PubMed]
- Ji, M.K.; Kabra, A.N.; Choi, J.; Hwang, J.H.; Kim, J.R.; Abou-Shanab, R.A.I.; Oh, Y.K.; Jeon, B.H. Biodegradation of Bisphenol A by the Freshwater Microalgae Chlamydomonas Mexicana and Chlorella vulgaris. Ecol. Eng. 2014, 73, 260–269. [Google Scholar] [CrossRef]
- Abargues, M.R.; Giménez, J.B.; Ferrer, J.; Bouzas, A.; Seco, A. Endocrine Disrupter Compounds Removal in Wastewater Using Microalgae: Degradation Kinetics Assessment. Chem. Eng. J. 2018, 334, 313–321. [Google Scholar] [CrossRef]
- Bano, F.; Malik, A.; Ahammad, S.Z. Removal of Estradiol, Diclofenac, and Triclosan by Naturally Occurring Microalgal Consortium Obtained from Wastewater. Sustainability 2021, 13, 7690. [Google Scholar] [CrossRef]
- Wang, L.; Xiao, H.; He, N.; Sun, D.; Duan, S. Biosorption and Biodegradation of the Environmental Hormone Nonylphenol By Four Marine Microalgae. Sci. Rep. 2019, 9, 5277. [Google Scholar] [CrossRef]
- Vale, F.; Sousa, C.A.; Sousa, H.; Santos, L.; Simões, M. Impact of Parabens on Microalgae Bioremediation of Wastewaters: A Mechanistic Study. Chem. Eng. J. 2022, 442, 136374. [Google Scholar] [CrossRef]
- Cheng, J.; Ye, Q.; Li, K.; Liu, J.; Zhou, J. Removing Ethinylestradiol from Wastewater by Microalgae Mutant Chlorella PY-ZU1 with CO2 Fixation. Bioresour. Technol. 2018, 249, 284–289. [Google Scholar] [CrossRef] [PubMed]
- He, N.; Sun, X.; Zhong, Y.; Sun, K.; Liu, W.; Duan, S. Removal and Biodegradation of Nonylphenol by Four Freshwater Microalgae. Int. J. Environ. Res. Public Health 2016, 13, 1239. [Google Scholar] [CrossRef] [PubMed]
- Robles-Heredia, J.C.; Sacramento-Rivero, J.C.; Ruiz-Marín, A.; Baz-Rodríguez, S.; Canedo-López, Y.; Narváez-García, A. Evaluation of Cell Growth, Nitrogen Removal and Lipid Production by Chlorella vulgaris to Different Conditions of Aireation in Two Types of Annular Photobioreactors. Rev. Mex. Ing. Quim. 2016, 15, 361–377. [Google Scholar] [CrossRef]
- Shrivastava, A.; Gupta, V. Methods for the Determination of Limit of Detection and Limit of Quantitation of the Analytical Methods. Chron. Young Sci. 2011, 2, 21–25. [Google Scholar] [CrossRef]
- Ru, I.T.K.; Sung, Y.Y.; Jusoh, M.; Wahid, M.E.A.; Nagappan, T. Chlorella vulgaris: A Perspective on Its Potential for Combining High Biomass with High Value Bioproducts. Appl. Phycol. 2020, 1, 2–11. [Google Scholar] [CrossRef]
- Xin, L.; Hu, H.; Ke, G.; Jia, Y. Growth and Nutrient Removal Properties of a Freshwater Microalga Scenedesmus sp. LX1 under Different Kinds of Nitrogen Sources. Ecol. Eng. 2010, 36, 379–381. [Google Scholar] [CrossRef]
- Yang, Q.; Xu, W.; Luan, T.; Pan, T.; Yang, L.; Lin, L. Comparative Responses of Cell Growth and Related Extracellular Polymeric Substances in Tetraselmis sp. to Nonylphenol, Bisphenol A and 17α-Ethinylestradiol. Environ. Pollut. 2021, 274, 116605. [Google Scholar] [CrossRef]
- Chang, X.; He, Y.; Song, L.; Ding, J.; Ren, S.; Lv, M.; Chen, L. Methylparaben Toxicity and Its Removal by Microalgae Chlorella vulgaris and Phaeodactylum tricornutum. J. Hazard. Mater. 2023, 454, 131528. [Google Scholar] [CrossRef] [PubMed]
- Goldman, J.C.; Dennett, M.R.; Riley, C.B. Effect of Nitrogen-mediated Changes in Alkalinity on PH Control and CO2 Supply in Intensive Microalgal Cultures. Biotechnol. Bioeng. 1982, 24, 619–631. [Google Scholar] [CrossRef]
- Vinod, R. Maraskolhe Carbon Sequestration Potential of Scenedesmus Species (Microalgae) under the Fresh Water Ecosystem. Afr. J. Agric. Res. 2012, 7, 2818–2823. [Google Scholar] [CrossRef]
- Bakuei, N.; Amini, G.; Najafpour, G.D.; Jahanshahi, M.; Mohammadi, M. Optimal Cultivation of Scenedesmus sp. Microalgae in a Bubble Column Photobioreactor. Indian J. Chem. Technol. 2015, 22, 20–25. [Google Scholar]
- Makareviciene, V.; Andrulevičiūtė, V.; Skorupskaitė, V.; Kasperovičienė, J. Cultivation of Microalgae Chlorella sp. and Scenedesmus sp. as a Potentional Biofuel Feedstock. Environ. Res. Eng. Manag. 2011, 57, 21–27. [Google Scholar]
- García, J.; Green, B.F.; Lundquist, T.; Mujeriego, R.; Hernández-Mariné, M.; Oswald, W.J. Long Term Diurnal Variations in Contaminant Removal in High Rate Ponds Treating Urban Wastewater. Bioresour. Technol. 2006, 97, 1709–1715. [Google Scholar] [CrossRef] [PubMed]
- Xin, L.; Hu, H.; Ke, G.; Sun, Y. Effects of Different Nitrogen and Phosphorus Concentrations on the Growth, Nutrient Uptake, and Lipid Accumulation of a Freshwater Microalga Scenedesmus sp. Bioresour. Technol. 2010, 101, 5494–5500. [Google Scholar] [CrossRef] [PubMed]
- Wu, Y.H.; Yu, Y.; Li, X.; Hu, H.Y.; Su, Z.F. Biomass Production of a Scenedesmus sp. under Phosphorous-Starvation Cultivation Condition. Bioresour. Technol. 2012, 112, 193–198. [Google Scholar] [CrossRef] [PubMed]
- Kim, S.; Lee, Y.; Hwang, S.J. Removal of Nitrogen and Phosphorus by Chlorella sorokiniana Cultured Heterotrophically in Ammonia and Nitrate. Int. Biodeterior. Biodegrad. 2013, 85, 511–516. [Google Scholar] [CrossRef]
- Dȩbowski, M.; Rusanowska, P.; Zieliński, M.; Dudek, M.; Romanowska-Duda, Z. Biomass Production and Nutrient Removal by Chlorella vulgaris from Anaerobic Digestion Effluents. Energies 2018, 11, 1654. [Google Scholar] [CrossRef]
- Wang, N.; He, L.; Sun, X.; Li, X.; Li, M. The Transformation of Benzophenone-3 in Natural Waters and AOPs: The Roles of Reactive Oxygen Species and Potential Environmental Risks of Products. J. Hazard. Mater. 2022, 427, 127941. [Google Scholar] [CrossRef]
- Chen, D.Y.; Guo, X.F.; Wang, H.; Zhang, H.S. The Natural Degradation of Benzophenone at Low Concentration in Aquatic Environments. Water Sci. Technol. 2015, 72, 503–509. [Google Scholar] [CrossRef]
- Abargues, M.R.; Ferrer, J.; Bouzas, A.; Seco, A. Removal and Fate of Endocrine Disruptors Chemicals under Lab-Scale Postreatment Stage. Removal Assessment Using Light, Oxygen and Microalgae. Bioresour. Technol. 2013, 149, 142–148. [Google Scholar] [CrossRef]
- Li, R.; Chen, G.Z.; Tam, N.F.Y.; Luan, T.G.; Shin, P.K.S.; Cheung, S.G.; Liu, Y. Toxicity of Bisphenol A and Its Bioaccumulation and Removal by a Marine Microalga Stephanodiscus hantzschii. Ecotoxicol. Environ. Saf. 2009, 72, 321–328. [Google Scholar] [CrossRef]
- Tenorio, R.; Fedders, A.C.; Strathmann, T.J.; Guest, J.S. Impact of Growth Phases on Photochemically Produced Reactive Species in the Extracellular Matrix of Algal Cultivation Systems. Environ. Sci. 2017, 3, 1095–1108. [Google Scholar] [CrossRef]
- Wu, P.H.; Yeh, H.Y.; Chou, P.H.; Hsiao, W.W.; Yu, C.P. Algal Extracellular Organic Matter Mediated Photocatalytic Degradation of Estrogens. Ecotoxicol. Environ. Saf. 2021, 209, 111818. [Google Scholar] [CrossRef] [PubMed]
- Wang, Y.; Sun, Q.; Li, Y.; Wang, H.; Wu, K.; Yu, C.P. Biotransformation of Estrone, 17β-Estradiol and 17α-Ethynylestradiol by Four Species of Microalgae. Ecotoxicol. Environ. Saf. 2019, 180, 723–732. [Google Scholar] [CrossRef]
- Ruksrithong, C.; Phattarapattamawong, S. Removals of Estrone and 17β-Estradiol by Microalgae Cultivation: Kinetics and Removal Mechanisms. Environ. Technol. 2019, 40, 163–170. [Google Scholar] [CrossRef]
- Ruas, G.; López-Serna, R.; Scarcelli, P.G.; Serejo, M.L.; Boncz, M.Á.; Muñoz, R. Influence of the Hydraulic Retention Time on the Removal of Emerging Contaminants in an Anoxic-Aerobic Algal-Bacterial Photobioreactor Coupled with Anaerobic Digestion. Sci. Total Environ. 2022, 827, 154262. [Google Scholar] [CrossRef] [PubMed]
- Mao, F.; He, Y.; Kushmaro, A.; Gin, K.Y.H. Effects of Benzophenone-3 on the Green Alga Chlamydomonas Reinhardtii and the Cyanobacterium Microcystis Aeruginosa. Aquat. Toxicol. 2017, 193, 1–8. [Google Scholar] [CrossRef]
- Huang, Y.; Luo, L.; Ma, X.Y.; Wang, X.C. Effect of Elevated Benzophenone-4 (BP4) Concentration on Chlorella vulgaris Growth and Cellular Metabolisms. Environ. Sci. Pollut. Res. 2018, 25, 32549–32561. [Google Scholar] [CrossRef]
- Fu, W.; Li, X.; Yang, Y.; Song, D. Enhanced Degradation of Bisphenol A: Influence of Optimization of Removal, Kinetic Model Studies, Application of Machine Learning and Microalgae-Bacteria Consortia. Sci. Total Environ. 2023, 858, 159876. [Google Scholar] [CrossRef]
- Ben Ouada, S.; Ben Ali, R.; Leboulanger, C.; Ben Ouada, H.; Sayadi, S. Effect of Bisphenol A on the Extremophilic Microalgal Strain Picocystis sp. (Chlorophyta) and Its High BPA Removal Ability. Ecotoxicol. Environ. Saf. 2018, 158, 1–8. [Google Scholar] [CrossRef]









| Microalgae | MeP | PrP | BuP | BP | BPA | E | Ref. |
|---|---|---|---|---|---|---|---|
| Scenedesmus sp. | 100.0 ± 0.0% | 99.4 ± 1.1% | 99.2 ± 1.5% | 85.6 ± 9.0% | 81.8 ± 6.3% | 67.0 ± 0.6% | This study |
| C. vulgaris | 100.0 ± 0.0% | 100.0 ± 0.0% | 100.0 ± 0.0% | 62.1 ± 9.1% | 89.9 ± 2.0% | 83.0 ± 2.0% | |
| C. reinhardtii | 100.0% | 100.0% | [52] | ||||
| S. obliquus | 100.0% | 100.0% | |||||
| C. pyrenoidosa | 100.0% | 100.0% | |||||
| C. vulgaris | 100.0% | 100.0% | |||||
| Tetradesmus obliquus, C. vulgaris, Pseudanabaena sp., Scenedesmus sp. and Nitzscha sp. | 89.0% | [85] | |||||
| C. vulgaris | 33.0–14.0% | [59] | |||||
| S. obliquus | 23.3–28.5% 1 | [53] | |||||
| Chlamydomonas reinhardtii | 58.4% 1 | [86] | |||||
| C. vulgaris | 14.0% 2 | [87] | |||||
| Chlorella pyrenoidosa | 20.0–43.0% | [88] | |||||
| C. mexicana | 39.0% | [55] | |||||
| C. vulgaris | 28.0% | ||||||
| S. obliquus | 91.0% | [84] | |||||
| C. vulgaris | 52.0% |
| Compound | kO (h−1) (R2) | kLO (h−1) (R2) | kLOM (h−1) (R2) | |
|---|---|---|---|---|
| Scenedesmus sp. | C. vulgaris | |||
| MeP | 1.3 × 10−3 (0.868) | 1.1 × 10−3 (0.841) | 9.0 × 10−2 (0.983) | 3.8 × 10−1 (0.928) |
| PrP | 7.0 × 10−4 (0.831) | 1.8 × 10−3 (0.852) | 5.7 × 10−2 (0.968) | 7.4 × 10−2 (0.972) |
| BuP | 2.9 × 10−3 (0.951) | 2.8 × 10−3 (0.961) | 5.4 × 10−2 (0.982) | 7.5 × 10−2 (0.957) |
| BP | 1.3 × 10−2 (0.936) | 1.6 × 10−2 (0.958) | 1.1 × 10−2 (0.924) | 6.0 × 10−3 (0.901) |
| BPA | 2.0 × 10−3 (0.940) | 1.1 × 10−3 (0.956) | 2.1 × 10−2 (0.976) | 1.3 × 10−2 (0.815) |
| E | 5.9 × 10−3 (0.966) | 3.1 × 10−3 (0.954) | 5.2 × 10−3 (0.819) | 9.9 × 10−3 (0.805) |
Disclaimer/Publisher’s Note: The statements, opinions and data contained in all publications are solely those of the individual author(s) and contributor(s) and not of MDPI and/or the editor(s). MDPI and/or the editor(s) disclaim responsibility for any injury to people or property resulting from any ideas, methods, instructions or products referred to in the content. |
© 2024 by the authors. Licensee MDPI, Basel, Switzerland. This article is an open access article distributed under the terms and conditions of the Creative Commons Attribution (CC BY) license (https://creativecommons.org/licenses/by/4.0/).
Share and Cite
García, N.; Rodríguez, R.; Vicente, G.; Espada, J.J.; Bautista, L.F. Comprehensive Study on Endocrine Disruptor Removal from Wastewater Using Different Microalgae Species. Appl. Sci. 2025, 15, 132. https://doi.org/10.3390/app15010132
García N, Rodríguez R, Vicente G, Espada JJ, Bautista LF. Comprehensive Study on Endocrine Disruptor Removal from Wastewater Using Different Microalgae Species. Applied Sciences. 2025; 15(1):132. https://doi.org/10.3390/app15010132
Chicago/Turabian StyleGarcía, Noelia, Rosalía Rodríguez, Gemma Vicente, Juan J. Espada, and Luis Fernando Bautista. 2025. "Comprehensive Study on Endocrine Disruptor Removal from Wastewater Using Different Microalgae Species" Applied Sciences 15, no. 1: 132. https://doi.org/10.3390/app15010132
APA StyleGarcía, N., Rodríguez, R., Vicente, G., Espada, J. J., & Bautista, L. F. (2025). Comprehensive Study on Endocrine Disruptor Removal from Wastewater Using Different Microalgae Species. Applied Sciences, 15(1), 132. https://doi.org/10.3390/app15010132

