The Aerodynamics of New Design Soccer Balls Using a Three-Dimensional Printer
Abstract
Featured Application
Abstract
1. Introduction
2. Materials and Methods
2.1. Soccer Ball Production
2.2. Wind Tunnel Experiment
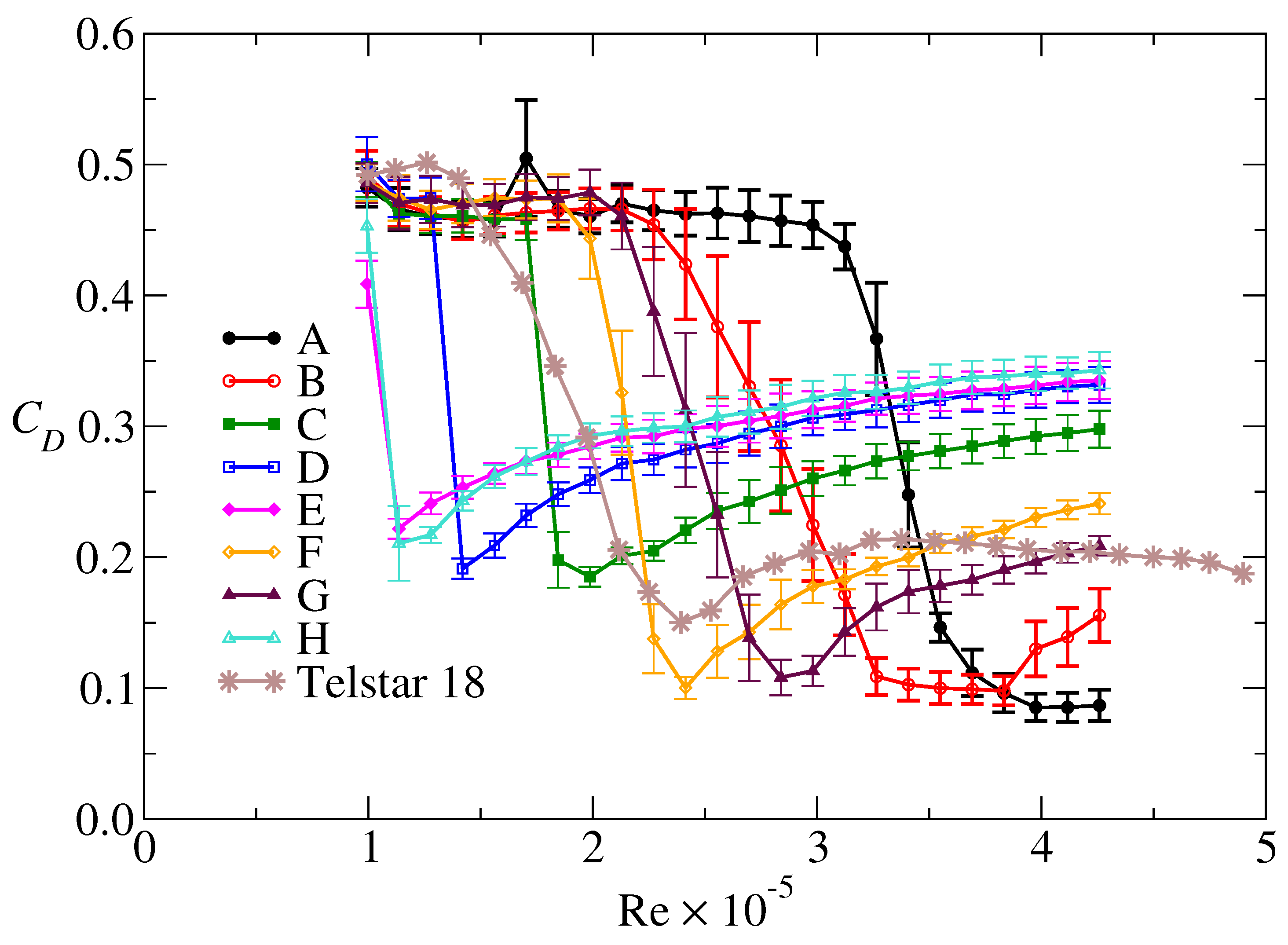
3. Results and Discussion
3.1. Wind Tunnel Data
3.2. Correlation Analyses
4. Conclusions
Author Contributions
Funding
Conflicts of Interest
References
- Goff, J.E.; Hong, S.; Asai, T. Aerodynamic comparisons between Al Rihla and recent World Cup soccer balls. J. Sports Eng. Technol. 2022. [Google Scholar] [CrossRef]
- Asai, T.; Hong, S. Aerodynamics of the newly approved football for the English Premier League 2020–21 season. Sci. Rep. 2021, 11, 9578. [Google Scholar] [CrossRef] [PubMed]
- Goff, J.E.; Hong, S.; Asai, T. Effect of a soccer ball’s seam geometry on its aerodynamics and trajectory. Proc. Inst. Mech. Eng. Part P J. Sports Eng. Technol. 2020, 234, 19–29. [Google Scholar] [CrossRef]
- Hong, S.; Goff, J.E.; Asai, T. Effect of a soccer ball’s surface texture on its aerodynamics and trajectory. Proc. Inst. Mech. Eng. Part P J. Sports Eng. Technol. 2019, 233, 67–74. [Google Scholar] [CrossRef]
- Hussain, S.B.; Shah, S.I.A.; Kahn, M.K.A. Aerodynamic design considerations for a soccer ball. In Proceedings of the Sixth International Conference on Aerospace Science and Engineering (ICASE), Islamabad, Pakistan, 12–14 November 2019; pp. 1–16. [Google Scholar]
- Goff, J.E.; Hong, S.; Asai, T. Aerodynamic and surface comparisons between Telstar 18 and Brazuca. Proc. Inst. Mech. Eng. Part P J. Sports Eng. Technol. 2018, 232, 342–348. [Google Scholar] [CrossRef]
- Adrian, L.K.; Derek, B.L. An aerodynamic analysis of recent FIFA world cup balls. Eur. J. Phys. 2018, 39, 034001. [Google Scholar]
- Naito, K.; Hong, S.; Koido, M.; Nakayama, M.; Sakamoto, K.; Asai, T. Effect of seam characteristics on critical Reynolds number in footballs. Mech. Eng. J. 2018, 5, 17–00369. [Google Scholar] [CrossRef]
- Goff, J.E.; Asai, T.; Hong, S. A comparison of Jabulani and Brazuca non-spin aerodynamics. Proc. Inst. Mech. Eng. Part P J. Sports Eng. Technol. 2014, 228, 188–194. [Google Scholar] [CrossRef]
- Hong, S.; Asai, T. Effect of panel shape of soccer ball on its flight characteristics. Sci. Rep. 2014, 4, 5068. [Google Scholar] [CrossRef]
- Alam, F.; Chowdhury, H.; Staemmer, M.; Wang, Y.; Yang, J. Effects of surface structure on soccer ball aerodynamics. Proc. Eng. 2012, 34, 146–151. [Google Scholar] [CrossRef][Green Version]
- Passmore, M.A.; Rogers, D.; Tuplin, S.; Harland, A.; Lucas, T.; Holmes, C. The aerodynamic performance of a range of FIFA-approved footballs. Proc. Inst. Mech. Eng. Part P J. Sports Eng. Technol. 2011, 226, 61–70. [Google Scholar] [CrossRef]
- Hong, S.; Asai, T. Aerodynamic effects of dimples on soccer ball surfaces. Heliyon 2017, 3, e00432. [Google Scholar] [CrossRef] [PubMed]
- Hong, S.; Asai, T.; Seo, K. Visualization of air flow around soccer ball using a particle image velocimetry. Sci. Rep. 2015, 5, 15108. [Google Scholar] [CrossRef] [PubMed]
- Goff, J.E.; Hong, S.; Asai, T. Influence of Surface Properties on Soccer Ball Trajectories. Proceedings 2020, 49, 143. [Google Scholar] [CrossRef]
- Soltani, A.; Noroozi, R.; Bodaghi, M.; Zolfagharian, A.; Hedayati, R. 3D printing on water sports boards with bio-inspired core designs. Polymers 2020, 12, 250. [Google Scholar] [CrossRef]
- Park, J.H.; Goo, B.; Park, K. Topology optimization and additive manufacturing of customized sports item considering orthotropic anisotropy. Int. J. Precis. Eng. Manuf. 2019, 20, 1443–1450. [Google Scholar] [CrossRef]
- Novak, J.; Burton, D.; Crouch, T. Aerodynamic test results of bicycle helmets in different configurations: Towards a responsive design. Proc. Inst. Mech. Eng. P J. Sports Eng. Technol. 2019, 233, 268–276. [Google Scholar] [CrossRef]
- Harte, D.; Paterson, A. The fastest field sport in the world: A case report on 3-dimensional printed hurling gloves to help prevent injury. J. Hand Ther. 2018, 31, 398–410. [Google Scholar] [CrossRef]
- Jenkins, P.E.; Arellano, J.; Ross, M.; Snell, M. Drag coefficients of golf balls. World J. Mech. 2018, 8, 236–241. [Google Scholar] [CrossRef]
- Joo, J.Y.; Kim, Y.K. Effects of customized 3D-printed insoles on the kinematics of flat-footed walking and running. KJSB 2018, 28, 237–244. [Google Scholar]
- Gately, R.; Beirne, S.; Latimer, G.; Shirlaw, M.; Kosasih, B.; Warren, A.; Steele, J.R.; Panhuis, M. Additive manufacturing, modeling and performance evaluation of 3D printed fins for surfboards. MRS Adv. 2017, 2, 913–920. [Google Scholar] [CrossRef]
- Lee, H.; Ran, I.E.; Lee, Y. Development of ergonomic leg guard for baseball catchers through 3D modeling and printing. J. Fash. Bus. 2016, 20, 17–29. [Google Scholar] [CrossRef][Green Version]
- Kantareddy, S.N.R.; Bhattacharyya, R.; Sarma, S. Towards low-cost object tracking: Embedded RFID in golf balls using 3D printed masks. In Proceedings of the 2017 IEEE International Conference on RFID (RFID), Phoenix, AZ, USA, 9–11 May 2017; pp. 137–143. [Google Scholar]
- Chowdhury, H.; Loganathan, B.; Mutsary, I.; Alam, F. A study of dimple characteristics on golf ball drag. Proc. Eng. 2016, 147, 87–91. [Google Scholar] [CrossRef]
- Aoki, K.; Ohike, A.; Yamaguchi, K.; Nakayama, Y. Flying characteristics and flow patterns of a sphere with dimples. J. Vis. 2003, 6, 67–76. [Google Scholar] [CrossRef]
- Hong, S.; Lee, S.; Onchi, E.; Schuit, D.; Asai, T. Effects of dimple structure on soccer ball aerodynamics. In Proceedings of the JSME Symposium: Sports Engineering and Human Dynamics; 2019. C-21. Available online: https://www.scitepress.org/Papers/2016/60548/60548.pdf (accessed on 2 April 2024).
- Achenbach, E. The effects of surface roughness and tunnel blockage on the flow past spheres. J. Fluid Mech. 1974, 65, 113–125. [Google Scholar] [CrossRef]
- Mehta, R.D. Aerodynamics of Sports Balls. Ann. Rev. Fluid Mech. 1985, 17, 151–189. [Google Scholar] [CrossRef]
- Haake, S.J.; Goodwill, S.R.; Carré, M.J. A new measure of roughness for defining the aerodynamic performance of sports balls. Proc. Inst. Mech. Engs. Part C J. Mech. Eng. Sci. 2007, 221, 789–806. [Google Scholar] [CrossRef]
- HP Multi Jet Fusion Technology. Available online: https://www.hp.com/us-en/printers/3d-printers/products/multi-jet-technology.html (accessed on 26 March 2024).
- White, F.M. Fluid Mechanics, 7th ed.; McGraw-Hill Higher Education: New York, NY, USA, 2011. [Google Scholar]
- Goff, J.E.; Carré, M.J. Trajectory analysis of a soccer ball. Am. J. Phys. 2009, 77, 1020–1027. [Google Scholar] [CrossRef]
- Achenbach, E. Experiments on the flow past spheres at very high Reynolds numbers. J. Fluid Mech. 1972, 54, 565–575. [Google Scholar] [CrossRef]
- Goff, J.E.; Hobson, C.M.; Asai, T.; Hong, S. Wind-tunnel Experiments and Trajectory Analyses for Five Nonspinning Soccer Balls. Proc. Eng. 2016, 147, 32–37. [Google Scholar] [CrossRef]
- Alam, F.; Steiner, T.; Chowdhury, H.; Moria, H.; Khan, I.; Aldawi, F.; Subic, A. A study of golf ball aerodynamic drag. Proc. Eng. 2011, 13, 226–231. [Google Scholar] [CrossRef]
- Aoki, K.; Muto, K.; Okanaga, H.; Nakayama, Y. Aerodynamic characteristic and flow pattern on dimples structure of a sphere. In Proceedings of the 10th International Conference on Fluid Control, Measurements and Visualization, Moscow, Russia, 17–21 August 2009; pp. 1–10. [Google Scholar]
- Aoki, K.; Nonaka, M.; Goto, T. Aerodynamic and flying characteristics for the surface structure on the golf ball. Proc. School Eng. Tokai Univ. 2004, 44, 67–72. [Google Scholar]
- Ting, L.L. Effects of dimple size and depth on golf ball aerodynamic performance. In Proceedings of the 4th ASME-JSME Joint Fluids Summer Engineering Conference, Honolulu, HI, USA, 6–10 July 2003; pp. 1–7. [Google Scholar]
- Smits, A.J.; Smith, D.R. A new aerodynamics model of a golf ball in flight. Sci. Golf 1994, 340–347. Available online: https://www.researchgate.net/profile/Alexander-Smits/publication/284037213_A_new_aerodynamic_model_of_a_golf_ball_in_flight/links/5720f27708ae82260fab378b/A-new-aerodynamic-model-of-a-golf-ball-in-flight.pdf (accessed on 2 April 2024).






| Ball | Seam | DS | n | b | c | k | m | ||||
|---|---|---|---|---|---|---|---|---|---|---|---|
| A | 0.000 | 465 | |||||||||
| B | shallow | 1.0 | 2.063 | 1.0 | 102.6 | 472 | |||||
| C | shallow | conical | 9344 | 1.415 | 3.0 | 1.0 | 1.0 | 2.063 | 1.0 | 102.6 | 466 |
| D | shallow | spherical | 9344 | 1.415 | 3.0 | 1.0 | 1.0 | 2.063 | 1.0 | 102.6 | 470 |
| E | shallow | cylindrical | 9344 | 1.415 | 3.0 | 1.0 | 1.0 | 2.063 | 1.0 | 102.6 | 460 |
| F | shallow | conical (1/2) | 4760 | 3.168 | 3.0 | 1.0 | 1.0 | 2.063 | 1.0 | 102.6 | 469 |
| G | shallow | conical (1/4) | 2504 | 5.637 | 3.0 | 1.0 | 1.0 | 2.063 | 1.0 | 102.6 | 468 |
| H | deep | conical | 9344 | 1.415 | 3.0 | 1.0 | 1.0 | 5.367 | 5.0 | 431.6 | 473 |
| Ball | ||
|---|---|---|
| A | 3.97 | 0.085 |
| B | 3.83 | 0.098 |
| C | 1.99 | 0.185 |
| D | 1.42 | 0.191 |
| E | 1.14 | 0.222 |
| F | 2.41 | 0.100 |
| G | 2.84 | 0.108 |
| H | 1.14 | 0.211 |
| Telstar 18 | 2.39 | 0.150 |
| Ball | |||||
|---|---|---|---|---|---|
| A | 0 | 0 | 152,053 | 0.0000 | 0.0000 |
| B | 0 | 10,264 | 143,948 | 0.0000 | 0.0713 |
| C | 78,891 | 10,264 | 79,894 | 0.9875 | 1.1159 |
| D | 96,626 | 10,264 | 79,894 | 1.2094 | 1.3379 |
| E | 153,214 | 10,264 | 79,894 | 1.9177 | 2.0462 |
| F | 40,189 | 10,264 | 112,143 | 0.3584 | 0.4499 |
| G | 21,141 | 10,264 | 127,169 | 0.1662 | 0.2470 |
| H | 78,891 | 43,161 | 74,610 | 1.0574 | 1.6359 |
Disclaimer/Publisher’s Note: The statements, opinions and data contained in all publications are solely those of the individual author(s) and contributor(s) and not of MDPI and/or the editor(s). MDPI and/or the editor(s) disclaim responsibility for any injury to people or property resulting from any ideas, methods, instructions or products referred to in the content. |
© 2024 by the authors. Licensee MDPI, Basel, Switzerland. This article is an open access article distributed under the terms and conditions of the Creative Commons Attribution (CC BY) license (https://creativecommons.org/licenses/by/4.0/).
Share and Cite
Hong, S.; Goff, J.E.; Asai, T. The Aerodynamics of New Design Soccer Balls Using a Three-Dimensional Printer. Appl. Sci. 2024, 14, 3932. https://doi.org/10.3390/app14093932
Hong S, Goff JE, Asai T. The Aerodynamics of New Design Soccer Balls Using a Three-Dimensional Printer. Applied Sciences. 2024; 14(9):3932. https://doi.org/10.3390/app14093932
Chicago/Turabian StyleHong, Sungchan, John Eric Goff, and Takeshi Asai. 2024. "The Aerodynamics of New Design Soccer Balls Using a Three-Dimensional Printer" Applied Sciences 14, no. 9: 3932. https://doi.org/10.3390/app14093932
APA StyleHong, S., Goff, J. E., & Asai, T. (2024). The Aerodynamics of New Design Soccer Balls Using a Three-Dimensional Printer. Applied Sciences, 14(9), 3932. https://doi.org/10.3390/app14093932

