Computer Vision System Based on the Analysis of Gait Features for Fall Risk Assessment in Elderly People
Abstract
1. Introduction
2. Materials and Methods
2.1. General Diagram
2.2. Population
2.3. Preliminary Evaluation
2.3.1. Identification Record
2.3.2. Tinetti Test
2.4. Gait Assessment
2.4.1. Computer Vision System
2.4.2. Workspace
2.4.3. Gait Assessment Protocol
2.5. Biomechanics Estimation
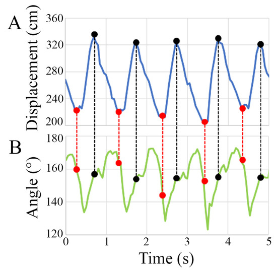
2.6. Gait Feature Extraction
2.6.1. List of Features
- Stride: Corresponds to the distance between two consecutive supports of the same foot, measured in centimeters [38].
- Velocity: It is a simple, objective, and global measure of neuromuscular function and physical performance of the lower extremities, corresponding to the distance covered in a unit of time (m/s) [39].
- Period: The time between the moment of toe-off and the first contact of the same foot, measured in seconds (s) [40].
- Cadence: Number of steps taken in a given time by a person walking at spontaneous speed (steps per minute) [41].
- ROM: The maximum angle described between two body segments with respect to a reference plane measured at the joints, i.e., the number of degrees through which a joint can move [41].
- Knee angle during heel strike: The angle of knee extension during heel strike, when the heel contacts the ground.
- Knee angle during toe-off: The angle of knee flexion during the toe-off phase, when the foot loses contact with the ground.
2.6.2. Feature Calculation
2.7. Network Training and Validation
3. Results
3.1. Tinetti Scale
3.2. Fall Risk Assessment System
4. Discussion
5. Conclusions
Author Contributions
Funding
Institutional Review Board Statement
Informed Consent Statement
Data Availability Statement
Acknowledgments
Conflicts of Interest
References
- World Health Organization. Falls. Available online: https://www.who.int/en/news-room/fact-sheets/detail/falls (accessed on 18 March 2024).
- Leitón-Espinoza, Z.E.; Silva-Fhon, J.R.; de Lima, F.M.; Fuentes-Neira, W.L.; Villanueva-Benites, M.E.; Partezani-Rodrigues, R.A. Predicción de caídas y caídas recurrentes en adultos mayores que viven en el domicilio. Gerokomos 2022, 33, 212–218. [Google Scholar]
- Gale, C.R.; Cooper, C.; Aihie Sayer, A. Prevalence and Risk Factors for Falls in Older Men and Women: The English Longitudinal Study of Ageing. Age Ageing 2016, 45, 789–794. [Google Scholar] [CrossRef] [PubMed]
- Ronthal, M. Gait Disorders and Falls in the Elderly. Med. Clin. N. Am. 2019, 103, 203–213. [Google Scholar] [CrossRef]
- Sakano, Y.; Murata, S.; Goda, A.; Nakano, H. Factors Influencing the Use of Walking Aids by Frail Elderly People in Senior Day Care Centers. Healthcare 2023, 11, 858. [Google Scholar] [CrossRef]
- Montero-Odasso, M.; van der Velde, N.; Martin, F.C.; Petrovic, M.; Tan, M.P.; Ryg, J.; Aguilar-Navarro, S.; Alexander, N.B.; Becker, C.; Blain, H.; et al. World Guidelines for Falls Prevention and Management for Older Adults: A Global Initiative. Age Ageing 2022, 51, afac205. [Google Scholar] [CrossRef] [PubMed]
- Balas, V.E.; Roy, S.S.; Sharma, D.; Samui, P. (Eds.) Handbook of Deep Learning Applications; Springer International Publishing: Cham, Switzerland, 2019; ISBN 9783030114787. [Google Scholar]
- Manssor, S.A.F.; Sun, S.; Elhassan, M.A.M. Real-Time Human Recognition at Night via Integrated Face and Gait Recognition Technologies. Sensors 2021, 21, 4323. [Google Scholar] [CrossRef]
- Nooruddin, S.; Islam, M.M.; Sharna, F.A.; Alhetari, H.; Kabir, M.N. Sensor-Based Fall Detection Systems: A Review. J. Ambient Intell. Humaniz. Comput. 2022, 13, 2735–2751. [Google Scholar] [CrossRef]
- Mubashir, M.; Shao, L.; Seed, L. A Survey on Fall Detection: Principles and Approaches. Neurocomputing 2013, 100, 144–152. [Google Scholar] [CrossRef]
- Lindemann, U.; Hock, A.; Stuber, M.; Keck, W.; Becker, C. Evaluation of a Fall Detector Based on Accelerometers: A Pilot Study. Med. Biol. Eng. Comput. 2005, 43, 548–551. [Google Scholar] [CrossRef]
- Kangas, M.; Konttila, A.; Winblad, I.; Jamsa, T. Determination of simple thresholds for accelerometry-based parameters for fall detection. In Proceedings of the 2007 29th Annual International Conference of the IEEE Engineering in Medicine and Biology Society, Lyon, France, 22–26 August 2007. [Google Scholar]
- Aziz, O.; Musngi, M.; Park, E.J.; Mori, G.; Robinovitch, S.N. A Comparison of Accuracy of Fall Detection Algorithms (Threshold-Based vs. Machine Learning) Using Waist-Mounted Tri-Axial Accelerometer Signals from a Comprehensive Set of Falls and Non-Fall Trials. Med. Biol. Eng. Comput. 2017, 55, 45–55. [Google Scholar] [CrossRef]
- Wu, Y.; Su, Y.; Hu, Y.; Yu, N.; Feng, R. A Multi-Sensor Fall Detection System Based on Multivariate Statistical Process Analysis. J. Med. Biol. Eng. 2019, 39, 336–351. [Google Scholar] [CrossRef]
- Chen, L.; Li, R.; Zhang, H.; Tian, L.; Chen, N. Intelligent Fall Detection Method Based on Accelerometer Data from a Wrist-Worn Smart Watch. Measurement 2019, 140, 215–226. [Google Scholar] [CrossRef]
- Mehmood, A.; Nadeem, A.; Ashraf, M.; Alghamdi, T.; Siddiqui, M.S. A Novel Fall Detection Algorithm for Elderly Using SHIMMER Wearable Sensors. Health Technol. 2019, 9, 631–646. [Google Scholar] [CrossRef]
- Anitha, G.; Baghavathi Priya, S. Vision Based Real Time Monitoring System for Elderly Fall Event Detection Using Deep Learning. Comput. Syst. Sci. Eng. 2022, 42, 87–103. [Google Scholar] [CrossRef]
- Kim, J.-W.; Choi, J.-Y.; Ha, E.-J.; Choi, J.-H. Human Pose Estimation Using MediaPipe Pose and Optimization Method Based on a Humanoid Model. Appl. Sci. 2023, 13, 2700. [Google Scholar] [CrossRef]
- Blasco-Garcia, D.J.; Pavon-Pulido, N.; Feliu-Batlle, J.J. Sistema de Evaluación Del Riesgo de Caídas en Mayores Usando Inteligencia Artificial y Cloud Computing; Universidad Politécnica de Cartagena: Cartagena, Spain, 2021. [Google Scholar]
- Eichler, N.; Raz, S.; Toledano-Shubi, A.; Livne, D.; Shimshoni, I.; Hel-Or, H. Automatic and Efficient Fall Risk Assessment Based on Machine Learning. Sensors 2022, 22, 1557. [Google Scholar] [CrossRef] [PubMed]
- Alwan, M.; Rajendran, P.J.; Kell, S.; Mack, D.; Dalal, S.; Wolfe, M.; Felder, R. A smart and passive floor-vibration based fall detector for elderly. In Proceedings of the 2006 2nd International Conference on Information & Communication Technologies, Damascus, Syria, 24–28 April 2006. [Google Scholar]
- Zhuang, X.; Huang, J.; Potamianos, G.; Hasegawa-Johnson, M. Acoustic fall detection using Gaussian mixture models and GMM supervectors. In Proceedings of the 2009 IEEE International Conference on Acoustics, Speech and Signal Processing, Taipei, Taiwan, 19–24 April 2009. [Google Scholar]
- Ranakoti, S.; Arora, S.; Chaudhary, S.; Beetan, S.; Sandhu, A.S.; Khandnor, P.; Saini, P. Human Fall Detection System over IMU Sensors Using Triaxial Accelerometer. In Computational Intelligence: Theories, Applications and Future Directions–Volume I; Springer Singapore: Singapore, 2019; pp. 495–507. ISBN 9789811311314. [Google Scholar]
- Allali, G.; Ayers, E.I.; Holtzer, R.; Verghese, J. The Role of Postural Instability/Gait Difficulty and Fear of Falling in Predicting Falls in Non-Demented Older Adults. Arch. Gerontol. Geriatr. 2017, 69, 15–20. [Google Scholar] [CrossRef] [PubMed]
- Kistler, B.M.; Khubchandani, J.; Jakubowicz, G.; Wilund, K.; Sosnoff, J. Falls and fall-related injuries among US adults aged 65 or older with chronic kidney disease. Prev. Chronic Dis. 2018, 15, E82. [Google Scholar] [CrossRef] [PubMed]
- Callis, N. Falls Prevention: Identification of Predictive Fall Risk Factors. Appl. Nurs. Res. 2016, 29, 53–58. [Google Scholar] [CrossRef]
- Florence, C.S.; Bergen, G.; Atherly, A.; Burns, E.; Stevens, J.; Drake, C. Medical Costs of Fatal and Nonfatal Falls in Older Adults. J. Am. Geriatr. Soc. 2018, 66, 693–698. [Google Scholar] [CrossRef]
- Khandoker, A.H.; Lai, D.T.H.; Begg, R.K.; Palaniswami, M. Wavelet-based feature extraction for support vector machines for screening balance impairments in the elderly. IEEE Trans. Neural Syst. Rehabil. Eng. 2007, 15, 587–597. [Google Scholar] [CrossRef] [PubMed]
- Silva, J.; Madureira, J.; Tonelo, C.; Baltazar, D.; Silva, C.; Martins, A.; Alcobia, C.; Sousa, I. Comparing machine learning approaches for fall risk assessment. In Proceedings of the 10th International Joint Conference on Biomedical Engineering Systems and Technologies, Porto, Portugal, 21–23 February 2017; SCITEPRESS–Science and Technology Publications: Lisbon, Portugal, 2017. [Google Scholar]
- Drover, D.; Howcroft, J.; Kofman, J.; Lemaire, E. Faller Classification in Older Adults Using Wearable Sensors Based on Turn and Straight-Walking Accelerometer-Based Features. Sensors 2017, 17, 1321. [Google Scholar] [CrossRef]
- Gonzalez-Roman, L.; Protocolo Adaptado del Test de Tinetti Para Residentes con Deterioro Cognitivo: Técnica Delphi. Scientific big Data. 2018. Available online: www.tcpdf.org (accessed on 18 March 2024).
- Perez-Hernandez, M.G.; Velasco-Rodriguez, R.; Maturano-Melgoza, J.A.; Hilerio-Lopez, A.G.; Garcia-Hernandez, M.L.; Garcia-Jimenez, M.A. Deterioro cognitivo y riesgo de caída en adultos mayores institucionalizados en el estado de Colima, México. Rev. Enferm. Inst. Mex. Seguro Soc. 2018, 26, 171–178. [Google Scholar]
- Pajares, G.; de la Cruz, J.M. Visión por Computador, Imágenes Digitales y Aplicaciones; Alfaomega: Jackson, MI, USA, 2002. [Google Scholar]
- Ultralytics. YOLO Vision. Available online: https://docs.ultralytics.com/es/ (accessed on 11 December 2023).
- CVAT. Open Data Annotation Platform. Available online: https://www.cvat.ai (accessed on 11 December 2023).
- François Chollet. Keras. Available online: https://keras.io (accessed on 11 December 2023).
- Yunas, S.U.; Ozanyan, K.B. Gait activity classification using multi-modality sensor fusion: A deep learning approach. IEEE Sens. J. 2021, 21, 16870–16879. [Google Scholar] [CrossRef]
- Saavedra Lozano, D.F.; Castillo Garcia, J.F. System for Analysis of Human Gait Using Inertial Sensors. In Lecture Notes in Electrical Engineering; Springer International Publishing: Cham, Switzerland, 2021; pp. 283–292. ISBN 9783030530204. [Google Scholar]
- Alfaro-Salas, K.I.; Espinoza-Sequeira, W.; Alfaro-Vindas, C.; Calvo-Ureña, A. Patrón de marcha normal en adultos mayores costarricenses. Acta Méd. Costarric. 2019, 61, 104–110. [Google Scholar]
- Agudelo-Mendoza, A.I.; Briñez-Santamaría, T.J.; Guarín-Urrego, V.; Ruiz-Restrepo, J.P.; Zapata-García, M.C.; Duque-Ramirez, J.R. Descripción de Los Parámetros de Referencia de la Marcha en Adultos de la Población Antioqueña Entre 20 y 54 años de Edad; Universidad CES Facultad Fisioterapia: Medellín, Columbia, 2012. [Google Scholar]
- Peña Ayala, L.E.; Gómez Bull, K.G.; Vargas Salgado, M.M.; Ibarra Mejía, G.; Máynez Guaderrama, A.I. Determinación de rangos de movimiento del miembro superior en una muestra de estudiantes universitarios mexicanos. Rev. Cienc. Salud 2018, 16, 64–74. Available online: https://doi.org/10.12804/revistas.urosario.edu.co/revsalud/a.6845 (accessed on 11 December 2023).
- Jakhar, D.; Kaur, I. Artificial Intelligence, Machine Learning and Deep Learning: Definitions and Differences. Clin. Exp. Dermatol. 2020, 45, 131–132. [Google Scholar] [CrossRef]
- Bari, A.S.M.H.; Gavrilova, M.L. Artificial neural network based gait recognition using Kinect sensor. IEEE Access 2019, 7, 162708–162722. [Google Scholar] [CrossRef]
- Alpaydin, E. Introduction to Machine Learning, 3rd ed.; The MIT Press: Cambridge, MA, USA, 2014. [Google Scholar]
- Morimoto, T.; Hirata, H.; Kobayashi, T.; Tsukamoto, M.; Yoshihara, T.; Toda, Y.; Mawatari, M. Gait analysis using digital biomarkers including smart shoes in lumbar spinal canal stenosis: A scoping review. Front. Med. 2023, 10, 1302136. [Google Scholar] [CrossRef]
- Parveen, H.; Noohu, M.M. Evaluation of Psychometric Properties of Tinetti Performance-Oriented Mobility Assessment Scale in Subjects with Knee Osteoarthritis. Hong Kong Physiother. J. 2017, 36, 25–32. [Google Scholar] [CrossRef]
- Usmani, S.; Saboor, A.; Haris, M.; Khan, M.A.; Park, H. Latest Research Trends in Fall Detection and Prevention Using Machine Learning: A Systematic Review. Sensors 2021, 21, 5134. [Google Scholar] [CrossRef] [PubMed]
- Mauldin, T.; Canby, M.; Metsis, V.; Ngu, A.; Rivera, C. SmartFall: A Smartwatch-Based Fall Detection System Using Deep Learning. Sensors 2018, 18, 3363. [Google Scholar] [CrossRef] [PubMed]










| Score | Frequency | Percentage |
|---|---|---|
| 19 | 2 | 2.3% |
| 20 | 2 | 2.3% |
| 21 | 2 | 2.3% |
| 23 | 3 | 3.5% |
| 24 | 6 | 7.0% |
| 25 | 10 | 11.6% |
| 26 | 18 | 20.9% |
| 27 | 22 | 25.6% |
| 28 | 20 | 23.3% |
| 29 | 1 | 1.2% |
| Main Features | Group | Mean | Standard Deviation |
|---|---|---|---|
| Cadence (steps per minute) | No risk | 97.01 | 24.00 |
| At risk | 99.81 | 41.20 | |
| Period (s) | No risk | 1.29 | 0.30 |
| At risk | 1.44 | 0.70 | |
| Stride (cm) | No risk | 71.29 | 24.30 |
| At risk | 64.53 | 43.10 | |
| Velocity (m/s) | No risk | 58.54 | 20.60 |
| At risk | 57.09 | 55.50 | |
| Max ROM (°) | No risk | 48.86 | 9.80 |
| At risk | 45.99 | 12.70 | |
| Min ROM (°) | No risk | 3.95 | 3.50 |
| At risk | 4.47 | 3.10 | |
| Knee angle during heel strike (°) | No risk | 14.38 | 10.70 |
| At risk | 13.90 | 8.10 | |
| Knee angle during toe-off (°) | No risk | 24.52 | 8.40 |
| At risk | 22.85 | 10.90 |
| Parameters | Performance | ||||||||||
|---|---|---|---|---|---|---|---|---|---|---|---|
| No. of Inputs | Hidden Layers | No. of Outputs | Accuracy (%) | Precision (%) | Recall (%) | F1-Score (%) | Specificity (%) | ||||
| First | Second | Third | Fourth | ||||||||
| No. of Perceptrons | No. of Perceptrons | No. of Perceptrons | No. of Perceptrons | ||||||||
| Test 1 | 18 | 50 | --- | --- | --- | 11 | 97.3 | 79.8 | 90.6 | 83.8 | 98.4 |
| Test 2 | 18 | 50 | 32 | --- | --- | 11 | 98.5 | 90.2 | 92.9 | 90.3 | 99.0 |
| Test 3 | 18 | 50 | 32 | 21 | --- | 11 | 98.5 | 94.8 | 92.1 | 93.0 | 99.1 |
| Test 4 | 18 | 100 | 70 | 40 | --- | 11 | 99.1 | 94.4 | 96.9 | 95.5 | 99.4 |
| Test 5 | 18 | 100 | 75 | 50 | 25 | 11 | 98.8 | 95.1 | 97.8 | 96.2 | 99.3 |
| Parameters | Performance | |||||||
|---|---|---|---|---|---|---|---|---|
| No. of Inputs | Hidden Layers Activation Function | No. of Outputs | Accuracy (%) | Precision (%) | Recall (%) | F1-Score (%) | Specificity (%) | |
| Test 1 | 18 | Sigmoid | 11 | 85.1 | 42.7 | 58.1 | 45.6 | 90.6 |
| Test 2 | 18 | ReLU | 11 | 99.1 | 94.4 | 96.9 | 96.5 | 99.4 |
| Test 3 | 18 | Tanh | 11 | 98.4 | 93.3 | 93.9 | 93.4 | 99.0 |
| Test 4 | 18 | Selu | 11 | 98.6 | 94.8 | 96.1 | 95.5 | 99.2 |
| Test 5 | 18 | Linear | 11 | 89.2 | 57.1 | 65.5 | 55.2 | 93.5 |
| Work Source | Used Sensor | System Type | Performed Test | Implemented Algorithm | Precision (%) | Recall (%) | Specificity (%) | Accuracy (%) | F1-Score (%) |
|---|---|---|---|---|---|---|---|---|---|
| Drover et al. (2017) [30] | Accelerometer in the lower leg | Fall Risk Assessment | Periodic Fall-occurrence Survey | Random Forest Classifier | --- | 82.00 | 82.00 | 73.40 | --- |
| Silva et al. (2017) [29] | 3-axial accelerometer and 3-axis gyroscope | Fall Risk Assessment | Sit-to-stand Test and Stage Balance Test “modified” | Naïve Bayes Classifier | 74.58 | 71.19 | --- | 84.82 | --- |
| Ranakoti et al. (2019) [23] | 3-axial Accelerometer | Fall Detection | Fall Simulation | Support Vector Machine | 78.20 | 77.70 | 78.30 | 78.04 | 77.9 |
| Chen et al. (2019) [15] | Wrist Accelerometer | Fall Detection | Fall Simulation | Ensemble Stacked AutoEncoders | --- | 96.09 | 98.92 | --- | --- |
| Mehmood et al. (2019) [16] | Waist Accelerometer | Fall Detection | Fall Simulation | Mahalanobis Distance-Based Threshold | --- | --- | --- | 96.0 | --- |
| Anitha and Priya (2022) [17] | Camera | Fall Detection | Fall Simulation | Stack AutoEncoder | 99.97 | 100.00 | 99.88 | 99.92 | 99.97 |
| Eichler et al. (2022) [20] | Depth Camera | Fall Risk Assessment | Berg Balance Scale | Support Vector Machine | 75.16 | 72.45 | 86.77 | 75.16 | 73.59 |
| Proposed system | Camera | Fall Risk Assessment | Tinneti Gait and Balance Test | Artificial Neuronal Network | 94.40 | 96.90 | 99.40 | 99.10 | 95.50 |
Disclaimer/Publisher’s Note: The statements, opinions and data contained in all publications are solely those of the individual author(s) and contributor(s) and not of MDPI and/or the editor(s). MDPI and/or the editor(s) disclaim responsibility for any injury to people or property resulting from any ideas, methods, instructions or products referred to in the content. |
© 2024 by the authors. Licensee MDPI, Basel, Switzerland. This article is an open access article distributed under the terms and conditions of the Creative Commons Attribution (CC BY) license (https://creativecommons.org/licenses/by/4.0/).
Share and Cite
Cedeno-Moreno, R.; Malagon-Barillas, D.L.; Morales-Hernandez, L.A.; Gonzalez-Hernandez, M.P.; Cruz-Albarran, I.A. Computer Vision System Based on the Analysis of Gait Features for Fall Risk Assessment in Elderly People. Appl. Sci. 2024, 14, 3867. https://doi.org/10.3390/app14093867
Cedeno-Moreno R, Malagon-Barillas DL, Morales-Hernandez LA, Gonzalez-Hernandez MP, Cruz-Albarran IA. Computer Vision System Based on the Analysis of Gait Features for Fall Risk Assessment in Elderly People. Applied Sciences. 2024; 14(9):3867. https://doi.org/10.3390/app14093867
Chicago/Turabian StyleCedeno-Moreno, Rogelio, Diana L. Malagon-Barillas, Luis A. Morales-Hernandez, Mayra P. Gonzalez-Hernandez, and Irving A. Cruz-Albarran. 2024. "Computer Vision System Based on the Analysis of Gait Features for Fall Risk Assessment in Elderly People" Applied Sciences 14, no. 9: 3867. https://doi.org/10.3390/app14093867
APA StyleCedeno-Moreno, R., Malagon-Barillas, D. L., Morales-Hernandez, L. A., Gonzalez-Hernandez, M. P., & Cruz-Albarran, I. A. (2024). Computer Vision System Based on the Analysis of Gait Features for Fall Risk Assessment in Elderly People. Applied Sciences, 14(9), 3867. https://doi.org/10.3390/app14093867

