Impulsive Control Discrete Fractional Neural Networks in Product Form Design: Practical Mittag-Leffler Stability Criteria
Abstract
1. Introduction
- (i)
- A new fractional nonlinear neural network modeling approach is applied to extend and generalize some existing ANN models applied in product form design analysis [5,6,7,8,9,10,11]. The proposed bio-inspired neural network approach is based on the use of discrete fractional calculus [62,63]. Such ANN models have higher degrees of accuracy and freedom than existing integer-order models and can help engineering designers and researchers to better understand the behavior of ANN models, overcoming major difficulties in experimental modeling.
- (ii)
- Compared with the discrete fractional-order ANN model introduced in [31], appropriate impulsive controllers are considered to control the qualitative behavior of the proposed model. The extended impulsive version will allow the implementation of impulsive control methods in the design process of the product form in cases of external and internal disturbing noise. Although impulsive control theory has gained great popularity in several scientific areas, such as biology, population dynamics, computer sciences and some others, it has not been applied to neural network models in product form design, and the goal of this research is to fill this gap.
- (iii)
- Since mathematically ideal, stable behavior is impossible for many applied problems, including engineering design problems, the notion of practical stability, namely global practical Mittag-Leffler practical stability, is adopted for the introduced impulsive control fractional neural network model. Thus, the proposed research not only contributes to the development of new fractional-order neural network models in product form design, but also proposes the use of the formulated framework to gain a fundamental scientific understanding of the dynamical properties of such models.
- (iv)
- Since Lyapunov stability techniques play a critical role in the design and stability analysis of adaptive systems [49,64], the fractional Lyapunov method is applied to investigate the practical stability behavior of the proposed model and establish efficient stability criteria. The proposed results are new and complement the existing results proposed in [31] for the impulsive case considering a nabla fractional discrete operator. Moreover, the derived stability results can be applied to synchronization issues for discrete fractional neural networks via impulsive controllers, which have not been studied before.
2. The Proposed Model and Strategies
2.1. Notations
2.2. Integer-Order Neural Network Models in Product Form Design
2.3. The Proposed Fractional Discrete Calculus Neural Network Modeling Approach
2.4. Impulsive Controllers
2.5. Mittag-Leffler Practical Stability Concept
2.6. Fractional Lyapunov Function Strategy
3. Global Practical Mittag-Leffler Stability Results
4. Discussion and Examples
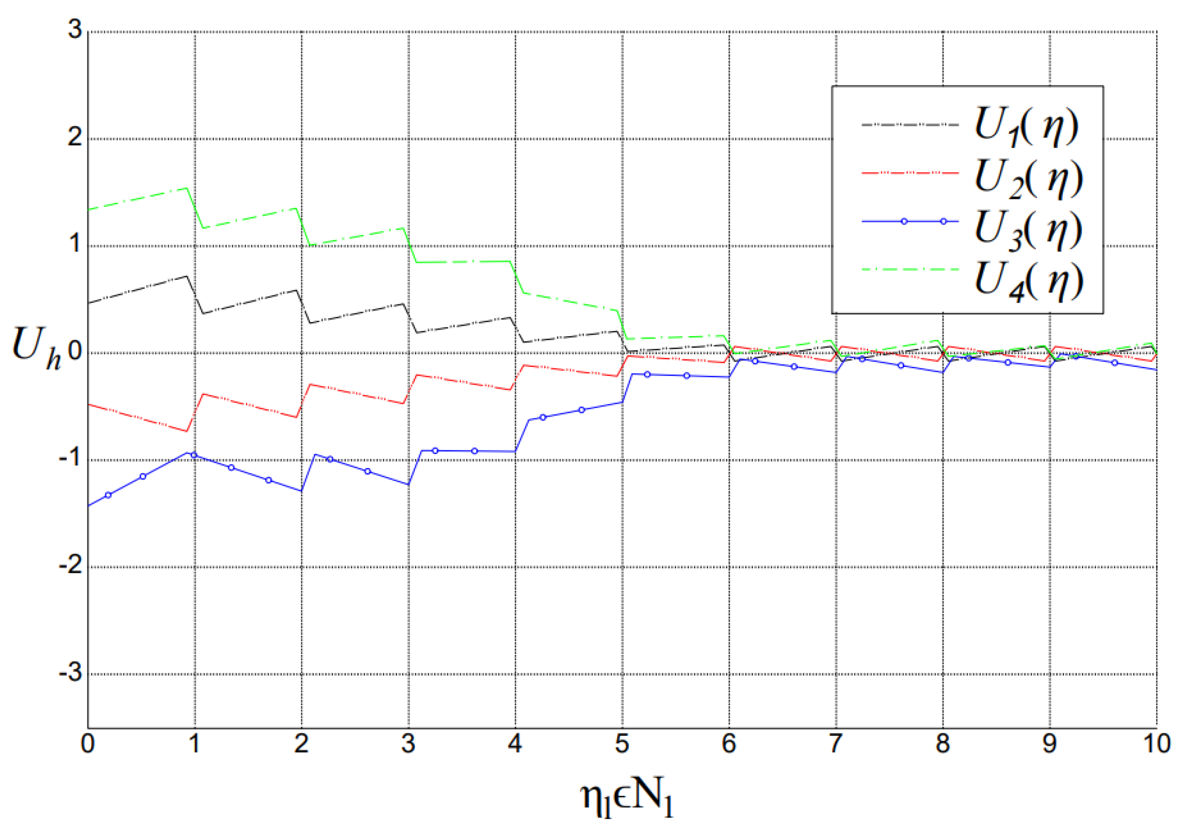
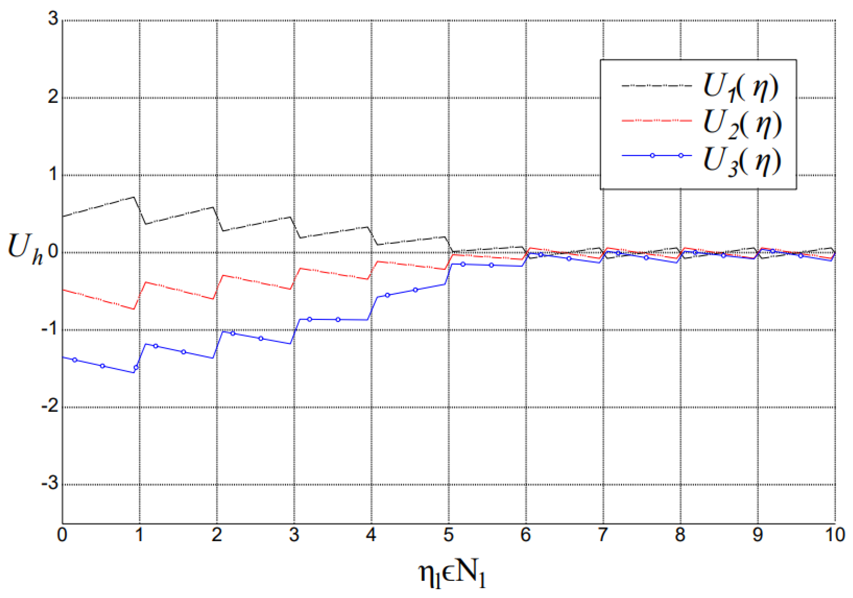
- A fractional-order generalization of the neural network model designed in [5], in which the state variables , represent the form parameters at the discrete time . Using the generalized model (5), it is possible to study the dependence of the product image on the configuration parameters and element shapes using the fractional-order differences between their current and previous values.
- A fractional-order generalization of the form design model introduced in [6], in which the state variables , are defined as word pairs or a set of target image values and their respective weights, and there is a set of 21 output-node data.
- A fractional-order generalization of the neural network model considered in [7], aimed at achieving a desirable product image depending on the best combination of form elements used to study the mobile phone’s form, in which the state variables , are defined as 27 form elements (input neurons) extracted by morphological analysis, namely the top shape (), body shape (), bottom shape (), body length and width ratio (), function button style (), number button arrangement (), screen size (), screen mask and function buttons () and outline division style (), and the outputs are the evaluation values for the desirable product image.
- A fractional-order generalization of the neural network model considered in [11], which generates forms that have a greater possibility of satisfying the architect’s personal design taste and consists of 21 input variables that represent numbers that are sufficient to identify a form from others, as well as two hidden layers of 50 neuronal variables each and one output variable, which denotes the score of the form.
5. Conclusions
Funding
Institutional Review Board Statement
Informed Consent Statement
Data Availability Statement
Acknowledgments
Conflicts of Interest
References
- Alanis, A.Y.; Arana-Daniel, N.; López-Franco, C. (Eds.) Artificial Neural Networks for Engineering Applications, 1st ed.; Academic Press: St. Louis, MO, USA, 2019. [Google Scholar]
- Armstrong, H. Big Data, Big Design: Why Designers Should Care about Artificial Intelligence, 1st ed.; Princeton Architectural Press: Princeton, NJ, USA, 2021. [Google Scholar]
- Rafiq, M.Y.; Bugmann, G.; Easterbrook, D.J. Neural network design for engineering applications. Comput. Struct. 2001, 79, 1541–1552. [Google Scholar] [CrossRef]
- Shams, M.; Carpentieri, B. Q-analogues of parallel numerical scheme based on neural networks and their engineering applications. Appl. Sci. 2024, 14, 1540. [Google Scholar] [CrossRef]
- Hsiao, S.W.; Huang, H.C. A neural network based approach for product form design. Des. Stud. 2002, 23, 67–84. [Google Scholar] [CrossRef]
- Hsiao, S.W.; Tsai, H.C. Applying a hybrid approach based on fuzzy neural network and genetic algorithm to product form design. Int. J. Ind. Ergon. 2005, 35, 411–428. [Google Scholar] [CrossRef]
- Lai, H.H.; Lin, Y.C.; Yeh, C.H. Form design of product image using grey relational analysis and neural network models. Comput. Oper. Res. 2005, 32, 2689–2711. [Google Scholar] [CrossRef]
- Tang, C.Y.; Fung, K.Y.; Lee, E.W.M.; Ho, G.T.S.; Siu, K.W.M.; Mou, W.L. Product form design using customer perception evaluation by a combined superellipse fitting and ANN approach. Adv. Eng. Inform. 2013, 27, 386–394. [Google Scholar] [CrossRef]
- Wu, Y. Product form evolutionary design system construction based on neural network model and multi-objective optimization. J. Intell. Fuzzy Syst. 2020, 39, 7977–7991. [Google Scholar] [CrossRef]
- Yeh, C.H.; Lin, Y.C. Neural network models for transforming consumer perception into product form design. In Advances in Neural Networks; Wang, J., Yi, Z., Zurada, J.M., Lu, B.L., Yin, H., Eds.; Springer: Berlin/Heidelberg, Germany, 2006; pp. 799–804. [Google Scholar]
- Zheng, H. Form finding and evaluating through machine learning: The prediction of personal design preference in polyhedral structures. In Architectural Intelligence; Yuan, P.F., Xie, M., Leach, N., Yao, J., Wang, X., Eds.; Springer: Singapore, 2020; pp. 207–217. [Google Scholar]
- Ulrich, K.; Eppinger, S.; Yang, M.C. Product Design and Development, 1st ed.; McGraw-Hill Education: New York, NY, USA, 2020. [Google Scholar]
- Gorman, C. (Ed.) The Industrial Design Reader, 1st ed.; Allworth Press: New York, NY, USA, 2003. [Google Scholar]
- Itten, J. Design and Form. The Basic Course at the Bauhaus and Later, 1st ed.; Reinhold: New York, NY, USA, 1964. [Google Scholar]
- Williams, R. The Geometrical Foundation of Natural Structure: A Source Book of Design, 1st ed.; Dover Publications: New York, NY, USA, 1979. [Google Scholar]
- Zitzmann, L.; Schulz, B. Dokumente zur Visuellgestalterischen Grundlagenausbildung, 1st ed.; Giebichenstein: Halle, Germany, 1990. [Google Scholar]
- Singh, H.; Srivastava, H.M.; Nieto, J.J. (Eds.) Handbook of Fractional Calculus for Engineering and Science, 1st ed.; CRC Press: Boca Raton, FL, USA, 2022. [Google Scholar]
- Sun, H.G.; Zhang, Y.; Baleanu, D.; Chen, W.; Chen, Y.Q. A new collection of real world applications of fractional calculus in science and engineering. Commun. Nonlinear Sci. Numer. Simul. 2018, 64, 213–231. [Google Scholar] [CrossRef]
- Yang, Y.; Zhang, H.H. Fractional Calculus with Its Applications in Engineering and Technology, 1st ed.; Springer: Cham, Switzerland, 2019. [Google Scholar]
- Joshi, M.; Bhosale, S.; Vyawahare, V.A. A survey of fractional calculus applications in artificial neural networks. Artif. Intell. Rev. 2023, 56, 13897–13950. [Google Scholar] [CrossRef]
- Maiti, M.; Sunder, M.; Abishek, R.; Bingi, K.; Shaik, N.B.; Benjapolakul, W. Recent advances and applications of fractional-order neural networks. Eng. J. 2022, 26, 49–67. [Google Scholar] [CrossRef]
- Viera-Martin, E.; Gómez-Aguilar, J.F.; Solís-Pérez, J.E.; Hernández-Pérez, J.A.; Escobar-Jiménez, R.F. Artificial neural networks: A practical review of applications involving fractional calculus. Eur. Phys. J. Spec. Top. 2022, 231, 2059–2095. [Google Scholar] [CrossRef] [PubMed]
- Heilat, A.S.; Karoun, R.C.; Al-Husban, A.; Abbes, A.; Al Horani, M.; Grassi, G.; Ouannas, A. The new fractional discrete neural network model under electromagnetic radiation: Chaos, control and synchronization. Alex. Eng. J. 2023, 76, 391–409. [Google Scholar] [CrossRef]
- Hioual, A.; Ouannas, A.; Oussaeif, T.E.; Grassi, G.; Batiha, I.M.; Momani, S. On variable-order fractional discrete neural networks: Solvability and stability. Fractal Fract. 2022, 6, 119. [Google Scholar] [CrossRef]
- Li, H.L.; Cao, J.; Hu, C.; Jiang, H.; Alsaedi, A. Synchronization analysis of nabla fractional-order fuzzy neural networks with time delays via nonlinear feedback control. Fuzzy Sets Syst. 2024, 475, 108750. [Google Scholar] [CrossRef]
- Li, H.L.; Cao, J.; Hu, C.; Jiang, H.; Alsaadi, F.E. Synchronization analysis of discrete-time fractional-order quaternion-valued uncertain neural networks. IEEE Trans. Neural Netw. Learn. Syst. 2023, 1–12. [Google Scholar] [CrossRef] [PubMed]
- Pratap, A.; Raja, R.; Cao, J.; Huang, C.; Niezabitowski, M.; Bagdasar, O. Stability of discrete-time fractional-order time-delayed neural networks in complex field. Math. Methods Appl. Sci. 2021, 44, 419–440. [Google Scholar] [CrossRef]
- You, X.; Song, Q.; Zhao, Z. Global Mittag-Leffler stability and synchronization of discrete-time fractional-order complex-valued neural networks with time delay. Neural Netw. 2020, 122, 382–394. [Google Scholar] [CrossRef]
- Zhang, H.; Chen, X.; Ye, R.; Stamova, I.; Cao, J. Quasi-projective synchronization analysis of discrete-time FOCVNNs via delay-feedback control. Chaos Solit. Fractals 2023, 173, 113629. [Google Scholar] [CrossRef]
- Zhang, X.L.; Li, H.L.; Kao, Y.; Zhang, L.; Jiang, H. Global Mittag-Leffler synchronization of discrete-time fractional-order neural networks with time delays. Appl. Math. Comput. 2022, 433, 127417. [Google Scholar] [CrossRef]
- Stamov, T. Practical stability criteria for discrete fractional neural networks in product form design analysis. Chaos Solit. Fractals 2024, 179, 114465. [Google Scholar] [CrossRef]
- Lin, X.; Liu, W. The application of fractal art in ceramic product design. IOP Conf. Ser. 2019, 573, 012003. [Google Scholar] [CrossRef]
- Sala, N. Complex and fractal components in industrial design. Int. J. Des. Nat. 2017, 1, 161–173. [Google Scholar]
- Torvik, P.J.; Bagley, R.L. Appearance of the fractional derivative in the behavior of real materials. J. Appl. Mech. 1984, 51, 294–298. [Google Scholar] [CrossRef]
- Andersson, P. On robust design in the conceptual design phase: A qualitative approach. J. Eng. Des. 1997, 8, 75–89. [Google Scholar] [CrossRef]
- Niu, X.; Qin, S.; Zhang, H.; Wang, M.; Wong, R. Exploring product design quality control and assurance under both traditional and crowdsourcing-based design environments. Adv. Mech. Eng. 2018, 10, 1–23. [Google Scholar] [CrossRef]
- Zhang, S.Y.; Xu, J.H.; Gou, H.W.; Tan, J. A research review on the key technologies of intelligent design for customized products. Engineering 2017, 3, 631–640. [Google Scholar] [CrossRef]
- Liu, X. Impulsive control and optimization. Appl. Math. Comput. 1995, 73, 77–98. [Google Scholar] [CrossRef]
- Cai, R.Y.; Zhou, H.C.; Kou, C.H. Kalman rank criterion for the controllability of fractional impulse controlled systems. IET Control Theory Appl. 2020, 14, 1358–1364. [Google Scholar] [CrossRef]
- Li, X.; Song, S. Impulsive Systems with Delays: Stability and Control, 1st ed.; Science Press & Springer: Singapore, 2022. [Google Scholar]
- Liu, F.; Yang, Y.; Chang, Q. Synchronization of fractional-order delayed neural networks with reaction–diffusion terms: Distributed delayed impulsive control. Commun. Nonlinear Sci. Numer. Simul. 2023, 124, 107303. [Google Scholar] [CrossRef]
- Stamova, I.M.; Stamov, G.T. Applied Impulsive Mathematical Models, 1st ed.; Springer: Cham, Switzerland, 2016. [Google Scholar]
- Stamova, I.M.; Stamov, G.T. Functional and Impulsive Differential Equations of Fractional Order: Qualitative Analysis and Applications, 1st ed.; CRC Press: Boca Raton, FL, USA, 2017. [Google Scholar]
- Yang, T. Impulsive Control Theory, 1st ed.; Springer: Berlin/Heidelberg, Germany, 2001. [Google Scholar]
- Yang, X.; Peng, D.; Lv, X.; Li, X. Recent progress in impulsive control systems. Math. Comput. Simul. 2019, 155, 244–268. [Google Scholar] [CrossRef]
- Bohner, M.; Stamova, I. An impulsive delay discrete stochastic neural network fractional-order model and applications in finance. Filomat 2018, 32, 6339–6352. [Google Scholar] [CrossRef]
- He, D.; Xu, L. Global convergence analysis of impulsive fractional order difference systems. Bull. Pol. Ac. 2018, 66, 599–604. [Google Scholar]
- Colbrook, M.J.; Antun, V.; Hansen, A.C. The difficulty of computing stable and accurate neural networks: On the barriers of deep learning and Smale’s 18th problem. Proc. natl. Acad. Sci. USA 2022, 119, e2107151119. [Google Scholar] [CrossRef] [PubMed]
- Ge, S.S.; Hang, C.C.; Lee, T.H.; Zhang, T. Stable Adaptive Neural Network Control, 1st ed.; Kluwer: Boston, MA, USA, 2001. [Google Scholar]
- Korkobi, T.; Djemel, M.; Chtourou, C. Stability analysis of neural networks-based system identification. Model Simul. Eng. 2008, 2008, 343940. [Google Scholar] [CrossRef]
- Stamov, T. Stability analysis of neural network models in engineering design. Int. J. Eng. Adv. Tech. 2020, 9, 1862–1866. [Google Scholar] [CrossRef]
- Yang, C.; Liu, H. Stable low-rank CP decomposition for compression of convolutional neural networks based on sensitivity. Appl. Sci. 2024, 14, 1491. [Google Scholar] [CrossRef]
- Lakshmikantham, V.; Leela, S.; Martynyuk, A.A. Practical Stability of Nonlinear Systems, 1st ed.; World Scientific: Bergen, NJ, USA, 1990. [Google Scholar]
- Chen, F.C.; Chang, C.H. Practical stability issues in CMAC neural network control systems. IEEE Trans. Control Syst. Technol. 1996, 4, 86–91. [Google Scholar] [CrossRef]
- Jiao, T.; Zong, G.; Ahn, C.K. Noise-to-state practical stability and stabilization of random neural networks. Nonlinear Dyn. 2020, 100, 2469–2481. [Google Scholar] [CrossRef]
- Stamov, T. Neural networks in engineering design: Robust practical stability analysis. Cybern. Inf. Technol. 2021, 21, 3–14. [Google Scholar] [CrossRef]
- Stamov, T. Discrete bidirectional associative memory neural networks of the Cohen–Grossberg type for engineering design symmetry related problems: Practical stability of sets analysis. Symmetry 2022, 14, 216. [Google Scholar] [CrossRef]
- Tian, Y.; Sun, Y. Practical stability and stabilisation of switched delay systems with non-vanishing perturbations. IET Control Theory Appl. 2019, 13, 1329–1335. [Google Scholar] [CrossRef]
- Buslowicz, M.; Kaaczorek, T. Simple conditions for practical stability of positive fractional discrete-time linear systems. Int. J. Appl. Math. Comput. Sci. 2009, 19, 263–269. [Google Scholar] [CrossRef]
- Oprzedkiewicz, K.; Gawin, W. The practical stability of the discrete, fractional order, state space model of the heat transfer process. Arch. Control Sci. 2018, 28, 463–482. [Google Scholar] [CrossRef]
- Ruszewski, A. Practical and asymptotic stability of fractional discrete-time scalar systems described by a new model. Arch. Control Sci. 2016, 26, 441–452. [Google Scholar] [CrossRef]
- Goodrich, C.; Peterson, A. Discrete Fractional Calculus, 1st ed.; Springer: New York, NY, USA, 2017. [Google Scholar]
- Ostalczyk, P. Discrete Fractional Calculus: Applications in Control and Image Processing, 1st ed.; World Scientific: Singapore, 2015. [Google Scholar]
- Giesl, P.; Hafstein, S. Review on computational methods for Lyapunov functions. Discrete Continuous Dyn. Syst. Ser. B 2016, 20, 2291–2331. [Google Scholar]
- Abdeljawad, T. On delta and nabla Caputo fractional differences and dual identities. Discrete Dyn. Nature Soc. 2013, 2013, 406910. [Google Scholar] [CrossRef]
- Howard, T.J.; Culley, S.; Dekoninck, E.A. Reuse of ideas and concepts for creative stimuli in engineering design. J. Eng. Des. 2011, 22, 565–581. [Google Scholar] [CrossRef]
- Li, Y.; Wang, J.; Li, X.; Zhao, W. Design creativity in product innovation. Int J. Adv. Manuf. Technol. 2007, 33, 213–222. [Google Scholar] [CrossRef]
- Baldii, S.; Papachristodoulou, A.; Kosmatopoulos, E.B. Adaptive pulse width modulation design for power converters based on affine switched systems. Nonlinear Anal. Hybri. Syst. 2018, 30, 306–322. [Google Scholar] [CrossRef]
- Tan, H.; Wu, J.; Bao, H. Event-triggered impulsive synchronization of fractional-order coupled neural networks. Appl. Math. Comput. 2022, 429, 127244. [Google Scholar] [CrossRef]
- Wang, F.; Zheng, Z.W.; Yang, Y.Q. Quasi-synchronization of heterogenous fractional-order dynamical networks with time-varying delay via distributed impulsive control. Chaos Solitons Fract. 2021, 142, 110465. [Google Scholar] [CrossRef]
- Zhang, X.; He, D. Adaptive impulsive synchronization for fractional-order quaternion-valued neural networks with different structures and unknown parameters. J. Vib. Control 2023. [Google Scholar] [CrossRef]







| Discrete Fractional-Order Neural Networks | [28] | [30] | [31] | This Research |
|---|---|---|---|---|
| Mittag-Leffler stability and synchronization | √ | √ | √ | √ |
| Practical stability | × | × | √ | √ |
| Practical Mittag-Leffler stability and synchronization | × | × | × | √ |
| Impulsive controllers | × | × | × | √ |
| Applied in product form design | × | × | √ | √ |
Disclaimer/Publisher’s Note: The statements, opinions and data contained in all publications are solely those of the individual author(s) and contributor(s) and not of MDPI and/or the editor(s). MDPI and/or the editor(s) disclaim responsibility for any injury to people or property resulting from any ideas, methods, instructions or products referred to in the content. |
© 2024 by the author. Licensee MDPI, Basel, Switzerland. This article is an open access article distributed under the terms and conditions of the Creative Commons Attribution (CC BY) license (https://creativecommons.org/licenses/by/4.0/).
Share and Cite
Stamov, T. Impulsive Control Discrete Fractional Neural Networks in Product Form Design: Practical Mittag-Leffler Stability Criteria. Appl. Sci. 2024, 14, 3705. https://doi.org/10.3390/app14093705
Stamov T. Impulsive Control Discrete Fractional Neural Networks in Product Form Design: Practical Mittag-Leffler Stability Criteria. Applied Sciences. 2024; 14(9):3705. https://doi.org/10.3390/app14093705
Chicago/Turabian StyleStamov, Trayan. 2024. "Impulsive Control Discrete Fractional Neural Networks in Product Form Design: Practical Mittag-Leffler Stability Criteria" Applied Sciences 14, no. 9: 3705. https://doi.org/10.3390/app14093705
APA StyleStamov, T. (2024). Impulsive Control Discrete Fractional Neural Networks in Product Form Design: Practical Mittag-Leffler Stability Criteria. Applied Sciences, 14(9), 3705. https://doi.org/10.3390/app14093705

