Fundamentals of Electron Cyclotron Resonance and Cyclotron Autoresonance in Gyro-Devices: A Comprehensive Review of Theory
Abstract
1. Introduction
2. Electron Cyclotron Resonance, Cyclotron Autoresonance, and Brillouin Diagrams
2.1. Dispersion Equation of a Hollow Smooth-Wall Metallic Waveguide
2.2. Transverse Waves in Electron Beams
2.3. Beam–Wave Synchronism and Brillouin Diagrams
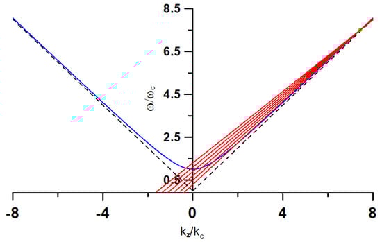
2.4. Cyclotron Autoresonance and CARM
3. Equations of Motion of Gyrating Electrons and Their Invariants (Integrals of Motion) Describing the Formation of Helical Electron Beams in the Electron-Optical System (EOS) of Gyrotrons
4. Conclusions
Funding
Institutional Review Board Statement
Informed Consent Statement
Data Availability Statement
Acknowledgments
Conflicts of Interest
References
- Gaponov-Grekhov, A.V.; Granatstein, V. Applications of High-Power Microwaves. In High-Power Microwave Electronics: A Survey of Achievements and Opportunities; Artech House Publishers: Norwood, MA, USA, 1994; Chapter 1. [Google Scholar]
- Nusinovich, G.; Thumm, M.; Petelin, M. The Gyrotron at 50: Historical Overview. J. Infrared Millim. Terahertz Waves 2014, 35, 325. [Google Scholar] [CrossRef]
- Petelin, M.I. The gyrotron: Physical genealogy. Terahertz Sci. Technol. 2015, 8, 157. [Google Scholar] [CrossRef]
- Petelin, M. The First Decade of the Gyrotronics. J. Infrared Millim. Terahertz Waves 2017, 38, 1387. [Google Scholar] [CrossRef]
- Plinski, E.F. Gorki’s Heroes. Bull. Pol. Acad. Sci. Tech. Sci. 2020, 68, 1259. [Google Scholar] [CrossRef]
- Thumm, M. State-of-the-Art of High-Power Gyro-Devices and Free Electron Masers. J. Infrared Millim. Terahertz Waves 2020, 41, 1–140. [Google Scholar] [CrossRef]
- Temkin, R. Development of terahertz gyrotrons for spectroscopy at MIT. Terahertz Sci. Technol. 2014, 7, 1–9. [Google Scholar] [CrossRef]
- Kumar, N.; Singh, U.; Bera, A.; Sinha, A. A review on the sub-THz/THz gyrotrons. Infrared Phys. Technol. 2016, 76, 38. [Google Scholar] [CrossRef]
- Glyavin, M.; Sabchevski, S.; Idehara, T.; Mitsudo, S. Gyrotron-Based Technological Systems for Material Processing-Current Status and Prospects. J. Infrared Millim. Terahertz Waves 2020, 41, 1022. [Google Scholar] [CrossRef]
- Idehara, T.; Sabchevski, S.; Glyavin, M.; Mitsudo, S. The Gyrotrons as Promising Radiation Sources for THz Sensing and Imaging. Appl. Sci. 2020, 10, 980. [Google Scholar] [CrossRef]
- Sabchevski, S.; Glyavin, M.; Mitsudo, S.; Tatematsu, Y.; Idehara, T. Novel and Emerging Applications of the Gyrotrons Worldwide: Current Status and Prospects. J. Infrared Millim. Terahertz Waves 2021, 42, 715. [Google Scholar] [CrossRef]
- Litvak, L.A.G.; Denisov, G.; Glyavin, M. Russian Gyrotrons: Achievements and Trends. IEEE J. Microwaves 2021, 1, 260. [Google Scholar] [CrossRef]
- Karmakar, S.; Mudiganti, J. Gyrotron: The Most Suitable Millimeter-Wave Source for Heating of Plasma in Tokamak. In Plasma Science and Technology; IntechOpen: London, UK, 2021. [Google Scholar] [CrossRef]
- Sabchevski, S.S.; Glyavin, M. Development and Application of THz Gyrotrons for Advanced Spectroscopic Methods. Photonics 2023, 10, 189. [Google Scholar] [CrossRef]
- Kartikeyan, M.; Borie, E.; Thumm, M. GYROTRONS High Power Microwave and Millimeter Wave Technology; Springer: Berlin/Heidelberg, Germany, 2003. [Google Scholar]
- Nusinovich, G. Introduction to the Physics of Gyrotrons; The Johns Hopkins University Press: Baltimore, MD, USA, 2004. [Google Scholar]
- Chu, K.R. The Electron Cyclotron Maser. Rev. Mod. Phys 2004, 76, 489. [Google Scholar] [CrossRef]
- Tsimring, S.E. Electron Beams and Microwave Vacuum Electronics; Wiley-Interscience: Hoboken, NJ, USA, 2007. [Google Scholar]
- Chao-Hai Du, P.K.L. Millimeter-Wave Gyrotron Traveling-Wave Tube Amplifiers; Springer: Berlin/Heidelberg, Germany, 2014. [Google Scholar]
- Gilmour, A.S. Klystrons, Traveling Wave Tubes, Magnetrons, Crossed-Field Amplifiers, and Gyrotrons; Artech House: Norwood, MA, USA, 2011. [Google Scholar]
- Grigoriev, A.D.; Ivanov, V.; Molokovsky, S. Microwave Electronics; Springer Series in Advanced Microelectronics; Springer: Berlin/Heidelberg, Germany, 2018; Volume 61. [Google Scholar] [CrossRef]
- Dattoli, G.; Palma, E.; Sabchevski, S.; Spassovsky, I. An overview of the gyrotron theory. In High Frequency Sources of Coherent Radiation for Fusion Plasmas; IOP Publishing: Bristol, UK, 2021; p. 51. [Google Scholar] [CrossRef]
- Siegman, A.E. Waves on a Filamentary Electron Beam in a Transverse-Field Slow-Wave Circuit. J. Appl. Phys. 1960, 31, 17. [Google Scholar] [CrossRef]
- Louisell, W.H. Coupled Mode and Parametric Electronics; John Wiley & Sons, Inc.: Hoboken, NJ, USA, 1960. [Google Scholar]
- Johnson, C.C. Theory of Fast-Wave Parametric Amplification. J. Appl. Phys. 1960, 31, 338. [Google Scholar] [CrossRef]
- Nusinovich, G.; Korol, M.; Jerby, E. Theory of the anomalous Doppler cyclotron-resonance-maser amplifier with tapered parameters. Phys. Rev. E 1999, 59, 2311. [Google Scholar] [CrossRef]
- Aitken, P.; McNeil, B.W.J.; Robb, G.R.M.; Phelps, A.D.R. Pulse propagation effects in a cyclotron resonance maser Amplifier. Phys. Rev. E 1999, 59, 1152. [Google Scholar] [CrossRef]
- Sabchevski, S.P.; Idehara, T. A numerical study on finite-bandwidth resonances of high-order axial modes (HOAM) in a gyrotron cavity. J. Infrared Millim. Terahertz Waves 2015, 36, 628. [Google Scholar] [CrossRef]
- Hornstein, M.K. Second harmonic operation at 460 GHz and broadband continuous frequency tuning of a gyrotron oscillator. IEEE Trans. Electron Devices 2005, 52, 798. [Google Scholar] [CrossRef]
- Chang, T.H.; Idehara, T.; Ogawa, I.; Agusu, L.; Kobayashi, S. Frequency tunable gyrotron using backward-wave components. J. Appl. Phys. 2009, 105, 063304. [Google Scholar] [CrossRef]
- Torrezan, A.C.; Shapiro, M.; Sirigiri, J.; Temkin, R.; Griffin, R. Operation of a Continuously Frequency-Tunable Second-Harmonic CW 330-GHz Gyrotron for Dynamic Nuclear Polarization. IEEE Trans. Electron Devices 2011, 58, 2777. [Google Scholar] [CrossRef]
- Barnes, A.B.; Nanni, E.; Herzfeld, J.; Griffin, R.J.; Temkin, R. A 250 GHz gyrotron with a 3 GHz tuning bandwidth for dynamic nuclear polarization. J. Magn. Reson. 2012, 221, 147. [Google Scholar] [CrossRef] [PubMed]
- Ikeda, R.; Yamaguchi, Y.; Tatematsu, Y.; Idehara, T.; Ogawa, I.; Saito, T.; Matsuki, Y.; Fujiwara, T. Broadband Continuously Frequency Tunable Gyrotron for 600MHz DNP-NMR Spectroscopy. Plasma Fusion Res. Rapid Commun. 2014, 9, 1206058. [Google Scholar] [CrossRef][Green Version]
- Qi, C.H.D.; Liu, P.K. Broadband Continuous Frequency Tuning in a Terahertz Gyrotron with Tapered Cavity. Trans. Electron Devices 2015, 62, 4278. [Google Scholar] [CrossRef]
- Gao, Z.; Du, C.; Li, F.; Zhang, Z.; Li, S.; K, P. Forward-wave enhanced radiation in the terahertz electron cyclotron maser. Chin. Phys. B 2022, 31, 128401. [Google Scholar] [CrossRef]
- Sabchevski, S.; Glyavin, M.; Nusinovich, G. The Progress in the Studies of Mode Interaction in Gyrotrons. J. Infrared Millim. Terahertz Waves 2022, 43, 1–47. [Google Scholar] [CrossRef]
- Davydovskli, V.Y. On the possibility of accelerating charged particles by electromagnetic waves in a constant magnetic field. Zh. Eksp. Teor. Fiz 1962, 43, 886. [Google Scholar]
- Kolomenskii, A.A.; Lebedev, A. The autoresonance motion of a particle in a plane electromagnetic wave. Doklady Akad Nauk USSR 1962, 145, 1259–1261. [Google Scholar]
- Petelin, M.I. On the theory of ultrarelativistic cyclotron self-resonance masers. Radiophys. Quantum Electron. 1974, 17, 686. [Google Scholar] [CrossRef]
- Bratman, V.; Ginzburg, N.; Nusinovich, G.; Petelin, M.; Strklkov, P. Relativistic gyrotrons and cyclotron autoresonance masers. Int. J. Electron. Theor. Exp. 1981, 51, 541. [Google Scholar] [CrossRef]
- Danly, B.; Davies, J.; Pendergast, K.; Temkin, R.; Wurtele, J. High-frequency cyclotron autoresonance maser amplifier experiments at MIT. Microw. Part. Beam Sources Dir. Energy Concepts 1989, 1061, 243. [Google Scholar] [CrossRef]
- Bratman, V.; Denisov, G.; Kol’chugln, B.; Samsonov, S.; Volkov, A. Experimental demonstration of high-efficiency cyclotron-autoresonance maser operation. Rev. Lett. 1995, 75, 3102. [Google Scholar] [CrossRef] [PubMed]
- Cooke, S.J.; Cross, A.; He, W.; Phelps, A. Experimental operation of a cyclotron autoresonance maser oscillator at the second harmonic. Phys. Rev. Lett. 1996, 77, 4836. [Google Scholar] [CrossRef] [PubMed]
- Mirizzi, F. A high frequency, high power CARM proposal for the DEMO ECRH system. Fusion Eng. Des. 2015, 96, 538. [Google Scholar] [CrossRef]
- Vorob’ev, A.A.; Didenko, A.; Ishkov, A.; Kolomenskii, A.; Lebedev, A.; Yushkov, Y.G. Study of an autoresonance method of accelerating particles by electromagnetic waves. Sov. At. Energy 1967, 22, 1–4. [Google Scholar] [CrossRef]
- Golovanivsky, K.S. The Gyromagnetic Autoresonance. IEEE Trans. Plasma Sci. 1983, 11, 35. [Google Scholar] [CrossRef]
- Hafizi, B.; Sprangle, P.; Hirshfield, J. Electron beam quality in a cyclotron autoresonance accelerator. Phys. Rev. E 1994, 50, 3077. [Google Scholar] [CrossRef] [PubMed]
- LaPointe, M.A.; Yoder, R.B.; Wang, C.; Ganguly, A.; Hirshfield, J. Experimental Demonstration of High-Efficiency Cyclotron Autoresonance Acceleration. Phys. Rev. Lett. 1996, 76, 2718. [Google Scholar] [CrossRef] [PubMed]
- Shchelkunov, S.V.; Chang, X.; Hirshfield, J. Compact cyclotron resonance high-power accelerator for electrons. Phys. Rev. Accel. Beams 2022, 25, 021301. [Google Scholar] [CrossRef]
- Milant’ev, V. Cyclotron autoresonance and its Applications. Physics-Uspekhi 1997, 40, 1063. [Google Scholar] [CrossRef]
- Milant’ev, V. Cyclotron autoresonance—50 years since its discovery. Physics-Uspekhi 2013, 56, 1063. [Google Scholar] [CrossRef]
- Vomvoridis, J.L. An efficient Doppler-shifted electron-cyclotron maser oscillator. Int. J. Electron. 1982, 53, 555. [Google Scholar] [CrossRef]
- Fliflet, A. Linear and non-linear theory of the Doppler-shifted cyclotron resonance maser based on TE and TM waveguide Modes. Int. J. Electron. 1986, 61, 1049. [Google Scholar] [CrossRef]
- Fliflet, A.; McCowan, R.; Dullivan, C.; Kirkpatrick, D.; Gold, S. Development of high-power CARM oscillators. Nucl. Instrum. Methods Phys. Res. 1989, A285, 233. [Google Scholar] [CrossRef]
- Chen, C.; Wurtele, J. Linear and nonlinear theory of cyclotron autoresonance masers with multiple waveguide modes. Phys. Fluids Plasma Phys. 1991, 3, 2133. [Google Scholar] [CrossRef]
- Alberti, S.; Danly, B.; Gulotta, G.; Giguet, E.; Kimura, T.; Menninger, W.; Rullier, J.; Temkin, R. Experimental study of a 28 GHz high-power long-pulse cyclotron autoresonance maser oscillator. Phys. Rev. Lett. 2018, 71, 2018. [Google Scholar] [CrossRef] [PubMed]
- Nusinovich, G.; Latham, P.; Li, H. Efficiency of frequency up-shifted gyrodevices: Cyclotron harmonics versus CARM’s. IEEE Trans. Plasma Sci. 1994, 22, 796. [Google Scholar] [CrossRef]
- Dattoli, G.; Palma, E. The Cyclotron Auto-Resonance Maser: Analytical and numerical study. Nucl. Instrum. Methods Phys. Res. Sect. Accel. Spectrometers Detect. Assoc. Equip. 2020, 955, 163310. [Google Scholar] [CrossRef]
- Palma, E.; Dattoli, G.; Sabia, E.; Sabchevski, S.; Spassovsky, I. Beam–Wave Interaction From FEL to CARM and Associated Scaling Laws. IEEE Trans. Electron Devices 2017, 64, 4279. [Google Scholar] [CrossRef]
- Sabchevski, S.; Idehara, T. Cyclotron autoresonance with TE and TM guided waves. Int. J. Infrared Millim. Waves 2005, 26, 669. [Google Scholar] [CrossRef]
- Lawson, W.; Destler, W.; Striffler, C. High power microwave generation from a large orbit gyrotron. IEEE Trans. Nucl. Sci. 1985, 32, 2960. [Google Scholar] [CrossRef]
- Nusinovich, G. Non-linear theory of a large-orbit gyrotron. Int. J. Electron. 1992, 72, 959. [Google Scholar] [CrossRef]
- Bratman, V.; Kalynov, Y.; Fedotov, A. Theory of gyro devices with thin electron beams (large-orbit gyrotrons). Tech. Phys. 1998, 43, 1219. [Google Scholar] [CrossRef]
- Sabchevski, S.; Idehara, T.; Ogawa, I.; Glyavin, M.; Mitsudo, S.; Ohashi, K.; Kobayashi, H. Computer simulation of axis-encircling beams generated by an electron gun with a permanent magnet system. Int. J. Infrared Millim. Waves 2000, 21, 1191. [Google Scholar] [CrossRef]
- Kirstein, P.T.; Kino, G.; Waters, W. Space Charge Flow; McGraw-Hill Inc.: New York, NY, USA, 1967; p. 14. [Google Scholar]
- Chojnacki, E.; Destler, W.; Lawson, W.; Namkung, W. Studies of microwave radiation from a low-energy rotating electron beam in a multiresonator magnetron cavity. J. Appl. Phys. 1987, 61, 1268. [Google Scholar] [CrossRef]
- Rhee, M.J.; Destler, W.W. Relativistic electron dynamics in a cusped magnetic field. Phys. Fluids 1974, 17, 1574. [Google Scholar] [CrossRef]
- Destler, W.W.; Rhee, M. Radial and axial compression of a hollow electron beam using an asymmetric magnetic cusp. Phys. Fluids 1977, 20, 1582. [Google Scholar] [CrossRef]
- Gol’denberg, G.A.L.; Petelin, M. The formation of helical electron beams in an adiabatic gun. Radiophys. Quantum Electron. 1973, 16, 106. [Google Scholar] [CrossRef]
- Manuilov, V.N.; Tsimring, E. Synthesis of axially-symmetric systems for formation of helical electron beams. Radiotekhnika Elektron. 1978, 23, 1486. [Google Scholar]
- Shengpei, L. A method based on a simplified model for design of the gyrotron gun. J. Electron. 1984, 61, 192. [Google Scholar] [CrossRef]
- Baird, M.; Lawson, J. Magnetron injection gun (MIG) design for gyrotron applications. Int. J. Electron. Theor. Exp. 1986, 61, 953. [Google Scholar] [CrossRef]
- Molokovsky, S.; Sushkov, A. Intense Electron and Ion Beams; Springer: Berlin/Heidelberg, Germany; New York, NY, USA, 2005. [Google Scholar]
- Tarakanov, V. Code KARAT in simulations of power microwave sources including Cherenkov plasma devices, vircators, orotron, E-field sensor, calorimeter etc. EPJ Web Conf. 2017, 149, 04024. [Google Scholar] [CrossRef]
- Goplen, B.; Ludeking, L.; Smithe, D.; Warren, G. User-configurable MAGIC for electromagnetic PIC calculations. Comput. Phys. Commun. 1995, 87, 54. [Google Scholar] [CrossRef]
- Nguyen, T. Modeling of gyroklystrons with MAGY. IEEE Trans. Plasma Sci. 2000, 28, 867. [Google Scholar] [CrossRef]
- Jain, R.; Kartikeyan, M. Design of a 60 GHz, 100 kW CW gyrotron for plasma diagnostics: GDS V.01 simulations. Prog. Electromagn. Res. B 2010, 22, 379. [Google Scholar] [CrossRef][Green Version]
- Sabchevski, S.; Zhelyazkov, I.; Thumm, M.; Illy, S.; Piosczyk, B.; Tran, T.; Hogge, J.; Pagonakis, J.G. Recent evolution of the simulation tools for computer aided design of electron-optical systems for powerful gyrotrons. Comput. Model. Eng. Sci. 2007, 20, 203. [Google Scholar] [CrossRef]
- Sabchevski, S.; Idehara, T.; Saito, T.; Ogaw, I.; Mitsudo, S.; Tatematsu, Y. Physical Models and Computer Codes of the GYROSIM (GYROtron SIMulation) Software Package; FIR Center Report FIR FU-99; University of Fukui: Fukui, Japan, 2010. [Google Scholar]
- Braunmueller, F.; Tran, T.; Vuillemin, Q.; Alberti, S.; Genoud, J.; Hogge, J.P.; Tran, M. TWANG-PIC, a novel gyro-averaged one-dimensional particle-in-cell code for interpretation of gyrotron experiments. Phys. Plasmas 2015, 22, 063115. [Google Scholar] [CrossRef]
- Wang, P.; Chen, X.; Xiao, H.; Dumbrajs, O.; Qi, X.; Li, L. GYROCOMPU: Toolbox Designed for the Analysis of Gyrotron Resonators. IEEE Trans. Plasma Sci. 2020, 48, 3007. [Google Scholar] [CrossRef]
- Sawant, A.; Choi, E. Development of the Full Package of Gyrotron Simulation Code. J. Korean Phys. Soc. 2018, 73, 1750. [Google Scholar] [CrossRef]
- Botton, M.; Antonsen, T., Jr.; Levush, B.; Nguyen, K.; Vlasov, A. MAGY: A Time-Dependent Code for Simulations of Slow and Fast Microwave Sources. IEEE Trans. Plasma Sci. 1998, 26, 882. [Google Scholar] [CrossRef]

















Disclaimer/Publisher’s Note: The statements, opinions and data contained in all publications are solely those of the individual author(s) and contributor(s) and not of MDPI and/or the editor(s). MDPI and/or the editor(s) disclaim responsibility for any injury to people or property resulting from any ideas, methods, instructions or products referred to in the content. |
© 2024 by the author. Licensee MDPI, Basel, Switzerland. This article is an open access article distributed under the terms and conditions of the Creative Commons Attribution (CC BY) license (https://creativecommons.org/licenses/by/4.0/).
Share and Cite
Sabchevski, S. Fundamentals of Electron Cyclotron Resonance and Cyclotron Autoresonance in Gyro-Devices: A Comprehensive Review of Theory. Appl. Sci. 2024, 14, 3443. https://doi.org/10.3390/app14083443
Sabchevski S. Fundamentals of Electron Cyclotron Resonance and Cyclotron Autoresonance in Gyro-Devices: A Comprehensive Review of Theory. Applied Sciences. 2024; 14(8):3443. https://doi.org/10.3390/app14083443
Chicago/Turabian StyleSabchevski, Svilen. 2024. "Fundamentals of Electron Cyclotron Resonance and Cyclotron Autoresonance in Gyro-Devices: A Comprehensive Review of Theory" Applied Sciences 14, no. 8: 3443. https://doi.org/10.3390/app14083443
APA StyleSabchevski, S. (2024). Fundamentals of Electron Cyclotron Resonance and Cyclotron Autoresonance in Gyro-Devices: A Comprehensive Review of Theory. Applied Sciences, 14(8), 3443. https://doi.org/10.3390/app14083443
