Measurement and Analysis of Last-Mile Parcel Delivery Truck Vibration Levels in Korea
Abstract
1. Introduction
2. Materials and Methods
2.1. Instrumentation and Recording Parameters
- Record time: 2 s;
- Sampling rate: 1000 Hz;
- Signal pre-trigger: 20%;
- Trigger level: 0.5 g;
- Filter frequency setting: 250 Hz;
- Data retention mode: Max overwrite;
- Memory allocation: 60%.
- Record time: 2 s;
- Sampling rate: 1000 Hz;
- Wakeup interval: 20 s;
- Filter frequency setting: 250 Hz;
- Data retention mode: Fill/stop;
- Memory allocation: 40%.
2.2. Delivery Vehicles and Trip Details
2.3. Data Analysis Method
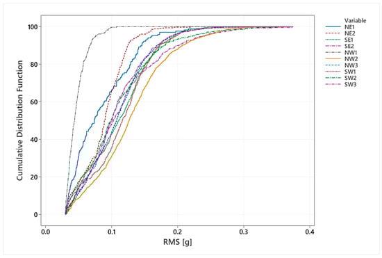
3. Results and Discussion
4. Limitations of Study
- Last-mile parcel delivery vehicle vibration measurements in this study were only conducted on delivery routes that served destinations within Seoul due to the predominant parcel delivery volume (58%) in Seoul compared to other cities in Korea. Vibration levels of last-mile delivery routes outside of Seoul, especially rural areas, may be further investigated in the future for better representation of the whole country.
- Measurements in this study were limited to two major vehicle models for last-mile parcel delivery in Korea. The vehicle models investigated in this study are primarily used for parcel delivery purposes, so the vibration test profiles recommended in this study would be highly beneficial to packaging engineers in Korea. However, it is worth noting that there is a growing trend towards using different types of vehicles for parcel delivery, such as electric trucks and low-profile vehicles. This trend is growing due to the demands for sustainable delivery methods from customers and to accommodate the low height restrictions of underground parking facilities in Korea. Therefore, it may be useful to expand future research to investigate a broader range of courier vehicles.
- Numerous factors could affect the measured vibration levels in specific countries, such as road conditions, speed, and driving styles. This study provided a wide snapshot of the vibration profile of parcel delivery vehicles in Korea for the first time. Further investigation of the factors mentioned above is recommended for future studies in order to fully characterize the details of last-mile delivery vehicle vibration levels in Korea.
- It is important to note that the international test standard compared with the recommended test profile from this study has been time compressed by artificially amplifying the vibration levels without providing a time compression factor. Therefore, readers and authors can only compare the Grms values and peak intensity locations of the two profiles.
- The payload of the investigated vehicles continuously changes (is reduced) since the measurements were conducted during actual parcel delivery service.
5. Conclusions
- Although there are some minor differences between the structure of the two most common last-mile delivery vehicle models used in Korea, the results indicated no statistically significant difference in the vertical vibration levels between them. Therefore, a composite vibration test profile developed in this study could be used interchangeably between both vehicle models.
- The vertical vibration levels observed from the most common last-mile delivery vehicles in the U.S. and Hungary and the international test standard for pickup and delivery of parcels were both higher than the vibration levels measured on last-mile delivery vehicles in Korea; hence, the recommended vertical vibration test spectrum for Korea is lower. However, various factors, like road and driving conditions, could also affect the level of parcel delivery vehicle vibrations in different geographical regions. Therefore, further studies are needed to understand whether it is the quality of roads and driving conditions or the vehicle type itself that causes more differences in vibration levels.
- The highest intensity peak for the recommended vibration test spectrum was in a lower frequency band (1.5 to 2 Hz) than the ISTA 3A pickup and delivery vibration test spectrum (3 to 4 Hz). This result suggests that packaging engineers in Korea should avoid designing packaging systems with natural frequencies overlapping or close to the peak intensity frequency band unique to the Korean delivery environment rather than avoiding the peak intensity frequency bands indicated in the international test standard.
- The PD levels of last-mile delivery vehicles in Korea were lower than were recorded in Hungary with no time compression in the entire frequency range that was an interest of this study (1 to 200 Hz).
- A simplified, recommended vertical vibration test profile for last-mile delivery in Korea could help packaging engineers in Korea test their packages in the laboratory before shipping them without processing the large datasets that are provided in ready-to-use form in this study.
Author Contributions
Funding
Institutional Review Board Statement
Informed Consent Statement
Data Availability Statement
Acknowledgments
Conflicts of Interest
References
- Janjevic, M.; Winkenbach, M.; Merchán, D. Integrating Collection-and-Delivery Points in the Strategic Design of Urban Last-Mile e-Commerce Distribution Networks. Transp. Res. E Logist. Transp. Rev. 2019, 131, 37–67. [Google Scholar] [CrossRef]
- ISTA 3A; Packaged-Products for Parcel Delivery System Shipment 70 Kg (150 Lb) or Less. International Safe Transit Association (ISTA): Chicago, IL, USA, 2018.
- ASTM D7386-16; Standard Practice for Performance Testing of Packages for Single Parcel Delivery Systems. ASTM International: West Conshohocken, PA, USA, 2016.
- Russell, P.; Kipp, W.I. European Express Shipping Drop/Impact Study. In Proceedings of the IAPRI Symposium in Windsor, Windsor, UK, 3–5 September 2007. [Google Scholar]
- Zhong, C.; Li, J.; Kawaguchi, K.; Saito, K.; An, H. Measurement and Analysis of Shocks on Small Packages in the Express Shipping Environment of China. Packag. Technol. Sci. 2016, 29, 437–449. [Google Scholar] [CrossRef]
- Saha, K.; Singh, J.; Singh, S.P. Measurement, Analysis and Comparison of Drops Experienced by Packages in Inter-State and Intra-State Next Day Shipments in United States. J. Appl. Packag. Res. 2010, 4, 95–106. [Google Scholar]
- Singh, S.P.; Voss, T. Drop Heights Encountered in the United Parcel Service Small Parcel Environment in the USA. J. Test. Eval. 1992, 20, 382–387. [Google Scholar] [CrossRef]
- Singh, J.; Singh, S.P.; Burgess, G.; Saha, K. Measurement, Analysis, and Comparison of the Parcel Shipping Shock and Drop Environment of the United States Postal Service with Commercial Carriers. J. Test. Eval. 2007, 35, 424–428. [Google Scholar] [CrossRef]
- Suh, S.; Lim, M.; Oh, J.Y. Analysis on the Distribution Environmental Loads of the Parcel Packaging Delivered by Means of E-Commerce in Korea. Korean J. Packag. Sci. Technol. 2017, 23, 103–108. [Google Scholar] [CrossRef]
- Garcia-Romeu-Martinez, M.A.; Singh, S.P.; Cloquell-Ballester, V.A.; Saha, K. Measurement and Analysis of International Air Parcel Shipping Environment for DHL and FedEx between Europe and United States. Packag. Technol. Sci. 2007, 20, 421–429. [Google Scholar] [CrossRef]
- Singh, S.P.; Sandhu, A.P.S.; Singh, J.; Joneson, E. Measurement and Analysis of Truck and Rail Shipping Environment in India. Packag. Technol. Sci. 2007, 20, 381–392. [Google Scholar] [CrossRef]
- Lu, F.; Ishikawa, Y.; Shiina, T.; Satake, T. Analysis of Shock and Vibration in Truck Transport in Japan. Packag. Technol. Sci. 2008, 21, 479–489. [Google Scholar] [CrossRef]
- Garrido, M.; Esteban, L.; Navarro, P.; Herranz, N.; Zabaleta, F.J.; Rouillard, V. Measurement and Analysis of Truck Vibration Levels in Logistic Spain Distribution to Simulate Package Testing. Packag. Technol. Sci. 2023, 36, 585–594. [Google Scholar] [CrossRef]
- Singh, J.; Singh, S.P.; Joneson, E. Measurement and Analysis of US Truck Vibration for Leaf Spring and Air Ride Suspensions, and Development of Tests to Simulate These Conditions. Packag. Technol. Sci. 2006, 19, 309–323. [Google Scholar] [CrossRef]
- Zhou, R.; Yan, L.; Li, B.; Xie, J. Measurement of Truck Transport Vibration Levels in China as a Function of Road Conditions, Truck Speed and Load Level. Packag. Technol. Sci. 2015, 28, 949–957. [Google Scholar] [CrossRef]
- Park, J.; Choi, S.; Jung, H.M. Measurement and Analysis of Vibration Levels for Truck Transport Environment in Korea. Appl. Sci. 2020, 10, 6754. [Google Scholar] [CrossRef]
- Ge, C.; Dunno, K.; Singh, M.A.; Yuan, L.; Lu, L.X. Development of a Drone’s Vibration, Shock, and Atmospheric Profiles. Appl. Sci. 2021, 11, 5176. [Google Scholar] [CrossRef]
- Huang, Y.Y.; Horvath, L.; Böröcz, P. Measurement and Analysis of Industrial Forklifts Vibration Levels for Unit Load Testing Purposes. Appl. Sci. 2021, 11, 2901. [Google Scholar] [CrossRef]
- Böröcz, P. Vibration and Acceleration Levels of Multimodal Container Shipping Physical Environment. Packag. Technol. Sci. 2019, 32, 269–277. [Google Scholar] [CrossRef]
- Singh, J.; Singh, P.; Saha, K. Evaluation of Vibration Profiles for ULD Dollies at Air-Cargo Sorting Hubs. J. Appl. Packag. Res. 2015, 7, 15–26. [Google Scholar] [CrossRef]
- Dunno, K.; Batt, G. Analysis of In-Flight Vibration of a Twin-Engine Turbo Propeller Aircraft. Packag. Technol. Sci. 2009, 22, 479–485. [Google Scholar] [CrossRef]
- Diao, J.; Huang, Q.; Pan, Y.; Zhang, C. Static and Random Vibration Analysis of an Air Freight Package. In Proceedings of the IOP Conference Series: Earth and Environmental Science; IOP Publishing Ltd.: Bristol, UK, 2021; Volume 769. [Google Scholar]
- Khodaei, M.; Seiiedlou, S.; Sadeghi, M. The Evaluation of Vibration Damage in Fresh Apricots during Simulated Transport. Res. Agric. Eng. 2019, 65, 112–122. [Google Scholar] [CrossRef]
- Fernando, I.; Fei, J.; Stanley, R. Measurement and Analysis of Vibration and Mechanical Damage to Bananas during Long-Distance 1 Interstate Transport by Multi-Trailer Road Trains 2. Postharvest Biol. Technol. 2019, 158, 110977. [Google Scholar] [CrossRef]
- Paternoster, A.; Vanlanduit, S.; Springael, J.; Braet, J. Measurement and Analysis of Vibration and Shock Levels for Truck Transport in Belgium with Respect to Packaged Beer during Transit. Food Packag. Shelf Life 2018, 15, 134–143. [Google Scholar] [CrossRef]
- Rouillard, V.; Sek, M. Creating Transport Vibration Simulation Profiles from Vehicle and Road Characteristics. Packag. Technol. Sci. 2013, 26, 82–95. [Google Scholar] [CrossRef]
- Böröcz, P.; Singh, S.P. Measurement and Analysis of Delivery van Vibration Levels to Simulate Package Testing for Parcel Delivery in Hungary. Packag. Technol. Sci. 2018, 31, 342–352. [Google Scholar] [CrossRef]
- Dunno, K.; Chavan, P. Measurement and Analysis of Crowdsourced Vehicle Vibration Levels during Last Mile Delivery Segments for Parcel Shipments. Vibration 2022, 5, 792–802. [Google Scholar] [CrossRef]
- Chonhenchob, V.; Singh, S.P.; Singh, J.J.; Stallings, J.; Grewal, G. Measurement and Analysis of Vehicle Vibration for Delivering Packages in Small-Sized and Medium-Sized Trucks and Automobiles. Packag. Technol. Sci. 2012, 25, 31–38. [Google Scholar] [CrossRef]
- Zhou, H.; Wang, Z.W. Measurement and Analysis of Vibration Levels for Express Logistics Transportation in South China. Packag. Technol. Sci. 2018, 31, 665–678. [Google Scholar] [CrossRef]
- Kurniawan, M.P.; Chonhenchob, V.; Singh, S.P.; Sittipod, S. Measurement and Analysis of Vibration Levels in Two and Three Wheel Delivery Vehicles in Southeast Asia. Packag. Technol. Sci. 2015, 28, 836–850. [Google Scholar] [CrossRef]
- Sampaio, A.; Savelsbergh, M.; Veelenturf, L.P.; Van Woensel, T. Delivery Systems with Crowd-Sourced Drivers: A Pickup and Delivery Problem with Transfers. Networks 2020, 76, 232–255. [Google Scholar] [CrossRef]
- Le, T.V.; Ukkusuri, S.V. Crowd-Shipping Services for Last Mile Delivery: Analysis from American Survey Data. Transp. Res. Interdiscip. Perspect. 2019, 1, 100008. [Google Scholar] [CrossRef]
- Korea Trade-Investment Promotion Agency. Rising E-Commerce Market. Available online: https://www.investkorea.org/ik-en/cntnts/i-306/web.do (accessed on 18 April 2023).
- Statistics Korea. Online Shopping Trends and the First Quarter Trends in Online International Direct Sales and Purchases (March, 2023). Available online: https://kostat.go.kr/board.es?mid=a10301120100&bid=241&act=view&list_no=425125&tag=&nPage=1&ref_bid=240,241&keyField=T&keyWord= (accessed on 3 September 2023).
- National Logistics Information Center. Annual Performance of Living Logistics. Available online: https://www.nlic.go.kr/nlic/parcelServiceLogistics.action (accessed on 18 April 2023).
- Barlow, C.Y.; Morgan, D.C. Polymer Film Packaging for Food: An Environmental Assessment. Resour. Conserv. Recycl. 2013, 78, 74–80. [Google Scholar] [CrossRef]
- Korea Post. Parcel Delivery Volume by Geographical Region. Available online: https://www.data.go.kr/data/15040740/fileData.do (accessed on 12 April 2023).
- Böröcz, P.; Singh, S.P. Measurement and Analysis of Vibration Levels in Rail Transport in Central Europe. Packag. Technol. Sci. 2017, 30, 361–371. [Google Scholar] [CrossRef]
- Böröcz, P.; Singh, P.; Singh, J. Evaluation of Distribution Environment Evaluation of Distribution Environment in LTL Shipment between Central Europe & South Africa. J. Appl. Packag. Res. 2015, 7, 3. [Google Scholar]
- Böröcz, P. Vibration Levels of Stacked Automotive Engine Rack in Truck Shipments as a Function of Vehicle Speed and Road Condition. J. Test. Eval. 2020, 49, 613–628. [Google Scholar] [CrossRef]
- Rouillard, V. Quantifying the Non-Stationarity of Vehicle Vibrations with the Run Test. Packag. Technol. Sci. 2014, 27, 203–219. [Google Scholar] [CrossRef]
- Garcia-Romeu-Martinez, M.A.; Paul Singh, S.; Cloquell-Ballester, V.A. Measurement and Analysis of Vibration Levels for Truck Transport in Spain as a Function of Payload, Suspension and Speed. Packag. Technol. Sci. 2008, 21, 439–451. [Google Scholar] [CrossRef]





| Delivery Region | Trip | Local Delivery Address(es) | Model | Make | Year | Vehicle Weight (kg) | Load Capacity (kg) | Duration in Motion |
|---|---|---|---|---|---|---|---|---|
| Northeast | NE 1 | Jayang-dong, Gwangjin-gu, Seoul | Bongo 3 | Kia | 2016 | 2895 | 800 | 35 min |
| NE 2 | Jayang-dong, Gwangjin-gu, Seoul | Porter 2 | Hyundai | 2012 | 2895 | 700 | 42 min | |
| Southeast | SE 1 | Gaepo-dong, Gangnam-gu, Seoul | Porter 2 | Hyundai | 2013 | 2895 | 700 | 95 min |
| SE 2 | Ilwon-dong, Gangnam-gu, Seoul and Suseo-dong, Gangnam-gu, Seoul | Porter 2 | Hyundai | 2020 | 3495 | 1000 | 64 min | |
| Northwest | NW 1 | Myeongdong 2ga, Jung-gu, Seoul | Porter 2 | Hyundai | 2006 | 2930 | 700 | 93 min |
| NW 2 | Heungindong, Jung-gu, Seoul | Bongo 3 | Kia | 2014 | 2895 | 800 | 131 min | |
| NW 3 | Yeongeon-dong, Jongno-gu, Seoul and Seongsu-dong, Seongdong-gu, Seoul | Bongo 3 | Kia | 2015 | 2895 | 700 | 159 min | |
| Southwest | SW 1 | Daebang-dong, Dongjak-gu, Seoul | Bongo 3 | Kia | 2015 | 2895 | 700 | 70 min |
| SW 2 | Sadang-dong, Dongjak-gu, Seoul | Bongo 3 | Kia | 2020 | 3275 | 1000 | 57 min | |
| SW 3 | Sadang-dong, Dongjak-gu, Seoul | Porter 2 | Hyundai | 2022 | 3265 | 700 | 60 min |
| Overall Grms | ||||||
|---|---|---|---|---|---|---|
| Model | Route | Vertical | Longitudinal | Lateral | Kurtosis | Skewness |
| Bongo 3 | NE 1 | 0.087 | 0.050 | 0.073 | 0.64 | 0.96 |
| Porter 2 | NE 2 | 0.083 | 0.048 | 0.052 | 0.26 | 0.22 |
| Porter 2 | SE 1 | 0.114 | 0.059 | 0.055 | −0.52 | 0.24 |
| Porter 2 | SE 2 | 0.126 | 0.060 | 0.061 | 1.63 | 1.18 |
| Porter 2 | NW 1 | 0.086 | 0.045 | 0.045 | 1.93 | 1.36 |
| Bongo 3 | NW 2 | 0.132 | 0.062 | 0.109 | 0.38 | 0.58 |
| Bongo 3 | NW 3 | 0.112 | 0.076 | 0.117 | 0.29 | 0.53 |
| Bongo 3 | SW 1 | 0.116 | 0.052 | 0.078 | 0.32 | 0.31 |
| Bongo 3 | SW 2 | 0.121 | 0.048 | 0.054 | 1.99 | 1.21 |
| Porter 2 | SW 3 | 0.112 | 0.061 | 0.109 | 0.21 | 0.59 |
| Ford van [29] | 0.207 | - | - | - | - | |
| Dodge van [29] | 0.231 | - | - | - | - | |
| Freightliner small truck [29] | 0.377 | - | - | - | - | |
| Delivery van in Hungary [27] | Average 0.202 | - | - | - | - | |
| Frequency Breakpoints (Hz) | PD Level (g2/Hz) | Frequency Breakpoints (Hz) | PD Level (g2/Hz) |
|---|---|---|---|
| 1 | 0.00204 | 15 | 0.00091 |
| 1.5 | 0.00434 | 19 | 0.00091 |
| 2 | 0.00434 | 24 | 0.00011 |
| 4 | 0.00024 | 42.5 | 0.00011 |
| 5.5 | 0.00024 | 50 | 0.00018 |
| 6.5 | 0.00014 | 83.5 | 0.00046 |
| 9.5 | 0.00014 | 148.5 | 0.00016 |
| 10 | 0.00025 | 200 | 0.00005 |
| 12 | 0.00025 |
| Frequency Range | ISTA 3A (Grms) | Recommended (Grms) | Intensity (Compared in the % of Standard) |
|---|---|---|---|
| 1–4 Hz | 0.244 | 0.078 | ~68% |
| 4–15 Hz | 0.146 | 0.056 | ~62% |
| 15–24 Hz | 0.095 | 0.074 | ~22% |
| 24–50 Hz | 0.063 | 0.056 | ~11% |
| 50–200 Hz | 0.343 | 0.181 | ~47% |
Disclaimer/Publisher’s Note: The statements, opinions and data contained in all publications are solely those of the individual author(s) and contributor(s) and not of MDPI and/or the editor(s). MDPI and/or the editor(s) disclaim responsibility for any injury to people or property resulting from any ideas, methods, instructions or products referred to in the content. |
© 2024 by the authors. Licensee MDPI, Basel, Switzerland. This article is an open access article distributed under the terms and conditions of the Creative Commons Attribution (CC BY) license (https://creativecommons.org/licenses/by/4.0/).
Share and Cite
Kim, S.; Horvath, L.; Lee, S.; Lee, S. Measurement and Analysis of Last-Mile Parcel Delivery Truck Vibration Levels in Korea. Appl. Sci. 2024, 14, 3245. https://doi.org/10.3390/app14083245
Kim S, Horvath L, Lee S, Lee S. Measurement and Analysis of Last-Mile Parcel Delivery Truck Vibration Levels in Korea. Applied Sciences. 2024; 14(8):3245. https://doi.org/10.3390/app14083245
Chicago/Turabian StyleKim, Saewhan, Laszlo Horvath, Soohyung Lee, and Sangwook Lee. 2024. "Measurement and Analysis of Last-Mile Parcel Delivery Truck Vibration Levels in Korea" Applied Sciences 14, no. 8: 3245. https://doi.org/10.3390/app14083245
APA StyleKim, S., Horvath, L., Lee, S., & Lee, S. (2024). Measurement and Analysis of Last-Mile Parcel Delivery Truck Vibration Levels in Korea. Applied Sciences, 14(8), 3245. https://doi.org/10.3390/app14083245

