Next Article in Journal
Using Bayesian Regularized Artificial Neural Networks to Predict the Tensile Strength of Additively Manufactured Polylactic Acid Parts
Previous Article in Journal
Rotational Convolution Design in Convolutional Neural Networks for Direct 3D Electromagnetic Tomography
Previous Article in Special Issue
Modelling Crystalline α-Mg Phase Growth in an Amorphous Alloy Mg72Zn28
 
 
Font Type:
Arial Georgia Verdana
Font Size:
Aa Aa Aa
Line Spacing:
Column Width:
Background:
Article

The Influence of the Matrix Grain Size and Mineral Addition on Improving the Knock-Out Properties of Molding Sands with an Inorganic Binder

Faculty of Foundry Engineering, AGH University of Krakow, Reymonta 23 Str., 30-059 Kracow, Poland
*
Author to whom correspondence should be addressed.
Appl. Sci. 2024, 14(8), 3185; https://doi.org/10.3390/app14083185
Submission received: 24 February 2024 / Revised: 3 April 2024 / Accepted: 7 April 2024 / Published: 10 April 2024
(This article belongs to the Special Issue Foundry Materials and Technologies: Challenges and Future Trends)

Abstract

Featured Application

Molding and core sands with inorganic binders.

Abstract

This article presents the results of tests of molding and core sands with inorganic binders incorporating a mineral in the form of raw perlite ore. This material serves to reduce the final strength, thereby improving the knock-out properties. The assumption was made that the selection of the optimal fraction of the loosening additive, tailored to the grain size of the matrix of the molding sand used in foundries, could significantly affect its mechanical and technological parameters. The tests were conducted on molding sands prepared using three quartz sands with the addition of perlite ore of different grain sizes. In addition to determining the final tensile strength, the permeability and grindability of the molding sands were assessed. The results indicated that the raw perlite ore significantly reduced the final strength of the molding sands in each considered system, with the best efficiency achieved when using finer fractions. Moreover, the mineral’s addition had a minor impact on the technological properties of the molding sands, such as permeability and grindability.

1. Introduction

Molding and core sands with inorganic binders have been utilized in foundries for many years. In recent times, there has been a notable surge in interest and in their popularity, primarily due to their limited adverse impacts on the environment compared to organic binders. This is manifested as reduced emissions of benzene, toluene, ethylbenzene, and xylene (BTEX) compounds and polycyclic aromatic hydrocarbons (PAHs) [1]. In addition to the minimal emission of harmful compounds during the pouring of molds with a liquid casting alloy, a key advantage of these molding and core sands lies in their suitability for thermal or microwave hardening [2]. They can also be hardened using liquid chemical agents dedicated to mold production. A distinctive characteristic of molding and core sands with inorganic binders is their strength enhancement with increasing temperature. The first strengthening occurs in the temperature range of 200–300 °C, followed by a second increase in strength in the range of 600–800 °C, known as the ‘second maximum strength’ [3,4,5,6,7]. The first maximum is related to the dehydration reaction of unbound hydrated sodium silicate, while the second maximum is related to the melting of dehydrated sodium silicate, in which the reaction between Na2CO3 and SiO2 occurs and the Na2O·2SiO2 phase is formed [3]. This phase is characterized by high mechanical strength and makes it difficult to knock out molds and cores. Existing knowledge suggests that poor knock-out properties, coupled with hygroscopicity and limited susceptibility to the regeneration process [7,8,9,10,11,12], restrict the widespread use of molding sands with inorganic binders in casting production. The literature discusses various avenues of development aimed at mitigating or eliminating these technological disadvantages:
  • the chemical modification of the structure [13,14,15,16];
  • physical modification (e.g., thermal conditioning) [14];
  • the changing of the hardener [16,17];
  • the introduction of additives into the binders or molding sands [2,6,18,19,20].
Over the past decade, there has been a significant increase in interest in inorganic binders [21]. An example of this is the implementation of a new two-component binder system for the production of molds for aluminum alloy casting, primarily engine blocks and cylinder heads [22,23]. The second component of the binder is a metal oxide in the form of very fine particles with a large specific surface area and high activity, described in the patent as “synthetic amorphous silicon dioxide in particle form”. Research results have shown that such modification reduces the viscosity of the binder and improves its wetting properties, reducing intergranular friction, which in turn enhances the fluidity. Improved fluidity positively impacts the compaction of the core mass in the core box, and, by bringing the grains closer together, it reduces the intergranular spaces, which limit moisture absorption from the environment during the storage of molds and cores. In the publication [24], the results of core sand research with a newly developed sodium-silicate-based binder system, cured by blowing carbon dioxide, are presented. It is demonstrated that the cores exhibit the required mechanical properties with reduced binder content, a shortened blowing time, and the necessary compactibility and fluidity. This ensures accurate reproduction and the ability to produce cores with complex geometries.
On the other hand, L. Zaretskiy [25] explained the difference between microsilica and nanosilica in their interaction with alkaline silicate solutions. The positive roles of microsilica in hardening sodium silicate-bonded sands were identified, indicating its greater potential to distribute its comprehensive positive effects on chemically cured sand molds and cores, without the use of heat. Moreover, the introduction of microsilica as an additive to molding sands improves their compactibility, and hence the strength of the molds and cores, and additionally facilitates their knock-out. The positive impact of microsilica is attributed to the interaction between microcrystalline silica particles and liquid sodium silicate, which occurs in sand mixes before their hardening begins. This allows for the achievement of higher strength and enhanced durability in the sand molds and cores during storage under high-humidity and -temperature conditions.
Similar studies were conducted on silica fume [26], indicating that silica fume can enhance the hardening speed, tensile strength, and moisture resistance of sand cores by reducing micro-cracks in the bridges under higher-humidity conditions. The research also revealed that silica fume may promote the polymerization of sodium silicate during the sand core hardening process.
The author, along with their team, has proposed an environmentally friendly method to reduce the final strength and improve the knock-out properties in molding or core sands. This is achieved by introducing a mineral material in the form of swelling aluminosilicate, specifically perlite ore. Research has demonstrated that the addition of perlite ore or ground vermiculite positively influences the reduction in the final strength and improvement in the knock-out properties [20,27]. Importantly, these additives do not adversely affect the mechanical and technological properties of the molding sands, the casting surface quality, or the ecological properties [28]. The molding sands also exhibit temperature stability, a crucial factor in preventing mold deformation when subjected to the high temperatures of liquid casting alloys [29]. Various grain sizes of quartz sands serve as the matrices for molding and core sands, and perlite ore is available in different fractions. Therefore, the research aimed to determine the influence of the grain size of the matrix and the size of the perlite ore grains on the reduction in the final strength. Additionally, the study investigated their impacts on the mechanical strength and key technological properties, including permeability and grindability.

2. Materials and Methods

The following materials were used for testing:
  • Quartz sand sourced from the Szczakowa mine (Sibelco Poland Sp. z o. o., Gdańsk, Poland);
  • A Geopol inorganic binder, along with a dedicated SA72 hardener produced by Sandteam (Holubice, Czech Republic), which was used to prepare the molding sands—the detailed characterization of the binder is available in a previous publication [29,30];
  • The PO1–PO3 perlite ore from the Slovak deposit [31];
  • The PO1–PO3 perlite ore from the Hungarian deposit [32].
Equipment used for testing:
  • An LPzE-2e laboratory shaker with a set of sieves (Multiserw Morek, Marcyporęba, Poland);
  • A device to test the strength of the molding sands, LRu-2e (Multiserw Morek);
  • A device to test the permeability of the molding sands, LPiR-3e (Multiserw Morek);
  • A device to test the grindability of the molding sands (Huta Stalowa Wola, Stalowa Wola, Poland). The principle of this apparatus is as follows: a standardized cylindrical specimen, made of a hardened molding sand, is seated in a holder using a clamp. The clamped specimen is placed in rotary motion at a speed of 1 rpm/s by an electric motor via a gearbox. The electric motor is powered directly from the 220 V mains. At the top of the apparatus, a steel shot container is placed, with a funnel-shaped bottom ending in a hole (Ø7 mm), closed by a slide bolt. The steel shot from the container falls during marking with a tube (from a height of 307 mm) on the rotating shaper and causes its abrasion. The separated molding sand together with the shot falls into the tank. During the measurement, the specimen is enclosed in a shield, which prevents the shot and molding sand from spreading sideways.
Each time, the molding sand was prepared according to the following recipe:
  • Quartz sand—100 parts by mass;
  • Geopol—2.5 parts by mass compared to quartz sand;
  • Hardener SA72—8% parts by mass compared to the Geopol binder;
  • Loosening additive (perlite ore)—5 parts by mass compared to quartz sand.
The tensile strength of eight standard shapes (standard sample, 70 mm in length, with neck dimensions of 22.36 mm × 22.36 mm) at ambient temperature was determined 24 h after sample preparation. Permeability and grindability tests were conducted on standard cylindrical shapes (Ø50 × 50), also 24 h after sample preparation. To determine the final tensile strength ( R m t k ), the samples were subjected to heating in an oven to a specific temperature within the range of 100–1000 °C. The heating rate was constant at 1 degree per minute, and the samples were held at the set temperature for 15 min. Strength tests were performed on samples cooled to ambient temperature (cooling together with the furnace). All presented results represent the arithmetic mean of three measurements.

3. Results

3.1. Sieve Analysis of Quartz Sands

Table 1 displays the results of the sieve analysis, while Table 2 outlines the fundamental parameters of the grain matrix employed in the experiments. According to Table 1, the quartz sands utilized in the tests exhibit variations in their primary fractions. In the case of medium sand (QS1), the primary fraction, collected on three adjacent sieves, falls within the range of sieve openings of 0.32/0.20/0.16 mm, with the 0.20 fraction representing over 60%. For the QS2 sand, the main fraction is collected on 0.40/0.32/0.20 mm sieves, and the predominant grains are sized at 0.40 mm, accounting for approximately 48% of the total sample weight. On the other hand, the coarsest sand (QS3) is characterized by the main fraction collected on 0.63/0.40/0.32 mm sieves, with sifting on a 0.63 mm sieve constituting 52.65% of the sample weight. As indicated in Table 2, the average D50 grain size for the tested quartz sands is as follows: QS1—0.25, QS2—0.43, QS3—0.66. Notably, the arithmetic and geometric averages of the grain sizes are very close. In the case of the sand with the largest average grain size (QS3), the primary fraction constitutes over 95% of the total sample, resulting in the highest homogeneity index of 84%. The remaining sands share a similar proportion of the main fraction within the entire sample volume, with QS2 being the least homogeneous at 63%.

3.2. Sieve Analysis of Perlite Ore

Table 3 showcases the outcomes of the sieve analysis, while Table 4 outlines the fundamental parameters of the perlite ore employed in the experiments.
The sieve analysis revealed that, for the perlite ore with the largest grain size, the primary fraction accumulates on 0.80/0.63/0.40 sieves, constituting 99.34% of the total sample (Table 4). This sample exhibits a homogeneity degree of 76%, which is the highest among the perlite ores used. The remaining samples (PO2, PO3, PO4) share the same main fraction, collected on 0.40/0.32/0.20 sieves. The PO3 perlite ore has the largest share of the 0.40 mm fraction, the PO2 perlite ore has the largest fraction of 0.32 mm, and the PO4 perlite ore has the largest number of grains collected on a 0.20 mm sieve among the analyzed samples. Additionally, it contains the largest amount of finer grains, resulting in an average grain size of 0.33 mm and homogeneity of 50%, accompanied by the largest specific surface area (Table 4).

3.3. Tensile Strength Depending on Size of Matrix Grains and Mineral Addition

3.3.1. Quartz Sand 1 (QS1)

The results of the tensile strength measurements for the molding sands prepared using quartz sand QS1 (medium) with the addition of perlite ore of different grain sizes are depicted in Figure 1.
As depicted in Figure 1, the introduction of perlite ore PO1 and PO2 to the molding sand with an inorganic binder does not lead to a reduction in tensile strength after 24 h of hardening when compared to the molding sand without additives. However, the addition of a finer fraction results in a decrease in strength from 0.71 MPa to 0.44 MPa, attributed to the increased specific surface area with the same binder content. Remarkably, the molding sand with the addition of Hungarian perlite (PO4), despite having the smallest medium-sized grains, achieves tensile strength of 0.55 MPa. Heating samples at temperatures of 100 °C and 200 °C reduces their strength by approximately 200–300%, which is the result of the hardening of the molding sand by removing moisture. Further heating to 500 °C reveals that the samples achieve similar strength (0.16–0.18 MPa), irrespective of the type of additive used. At 700 °C, it becomes evident that the sands with additives exhibit strength that is half that of the molding sand made without the loosening additive. As the samples are heated in the range of 800–900 °C, the positive effect of the perlite ore in reducing the final strength becomes apparent. The molding sand without additives reaches strength of 1.26 and 1.08, respectively. From a technological perspective (improving the core knock-out, reducing the energy demand and workload for the knock-out process), the optimal choice for medium quartz sand (average grain size 0.25 mm) appears to be the addition of Hungarian perlite ore (PO4), despite having the smallest average grain size (0.33 mm), with the lowest homogeneity index.

3.3.2. Quartz Sand 2 (QS2)

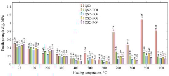
The results of the tensile strength measurements for the molding sands prepared using coarse quartz sand (QS2) with the addition of perlite ore of different grain sizes are illustrated in Figure 2. In the case of the molding sand prepared from coarse sand, the tensile strength after 24 h of hardening is approximately 30% lower compared to the molding sand prepared from medium sand. Notably, the beneficial effect of the Hungarian perlite ore (PO4) is evident. Following heating at temperatures of 100–200 °C, the samples based on coarse sand exhibit sustained strength, unlike those based on medium sand. It is worth mentioning that the final strength of the molding sand without additives reaches its peak values at a temperature of 900 °C (1.08 MPa) in this case. In contrast, the final strength of sands with medium sand peaks at a temperature of 800 °C (1.26 MPa) but decreases much more rapidly to a level of 0.38 MPa. The positive role of the perlite ore in reducing the final tensile strength becomes apparent in samples exposed to temperatures above 700 °C. The smallest decrease in strength is observed for the molding sand with the addition of the coarsest perlite ore, possibly attributed to the overall smaller quantitative share of perlite grains distributed throughout the entire volume of the molding sand. The average grain size of the sand matrix in this case is 0.43 mm, and the samples with the addition of perlite ore with an average grain size of 0.39 and 0.40 mm achieve the lowest strength values. Therefore, selecting the fraction of the loosening additive according to the grain size of the matrix allows for the best results in terms of improving the knock-out properties.

3.3.3. Quartz Sand 3 (QS3)

Figure 3 illustrates the results of the tensile strength tests conducted on molding sands based on the coarsest quartz sand.
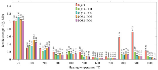
The molding sand based on the coarsest sand grains (QS3) achieves the highest strength values after 24 h of hardening, approximately 1.0 MPa. In the case of molding sands with the addition of perlite ore exposed to a temperature of 100 °C, the significant strengthening of the samples is observed, with the highest observed for molding sands with the addition of perlite ore of the finest fraction (PO3 and PO4). Subsequent heating leads to a reduction in strength until reaching a temperature of 800 °C, where another increase is observed. The addition of perlite ore, regardless of the grain size, allows for the achievement of similar values of the final tensile strength in the range of 0.12–0.15 MPa at a temperature of 800 °C. Samples heated at 900 °C achieve strength in the range of 0.09–0.19 MPa, with the highest value observed for the molding sand with the addition of the coarsest perlite ore fraction (PO1). It is noteworthy that for sands based on the coarsest quartz sand (QS3), the strengthening resulting from the occurrence of the second maximum (900 °C = 0.72 MPa) will not pose as much of a challenge from the perspective of break-out compared to molding sands prepared from QS1 sand (800 °C = 1.26 MPa) and QS2 sand (900 °C = 1.08 MPa). Therefore, the issue of reduced strength should be considered concerning sands with smaller grain sizes. This implies that the most significant challenges will be faced with core sands, where a very fine grain matrix is utilized. As the research results indicate, the most effective reduction in initial strength is achieved with molding sands containing Hungarian perlite ore (PO4). These sands exhibit significant variations in grain sizes and include a substantial proportion of fine-grained fractions across all settings. A greater number of grains are introduced into the molding sand, distributed among the grains of the quartz matrix. When subjected to the high temperature of the liquid casting alloy during operation, these grains undergo swelling and a rapid dehydroxylation reaction. This reaction leads to a larger number of individual disruptions in the continuity of the hardened binder, resulting in a decrease in durability. The utilization of a coarser fraction of perlite ore results in a lower quantity of reinforcing additive grains in the molding sand (while maintaining the same weight). This coarser fraction cannot be evenly distributed throughout the entire molding sand. Therefore, it appears that the factor influencing the reduction in final strength is the increased heterogeneity of the mineral loosening additive, with its grains positioned between the grains of the quartz matrix (which are also heterogeneous in terms of grain size).

3.4. Permeability of Molding Sands

Figure 4 provides a summary of the permeability tests conducted on all the tested molding sands.
Taking into consideration that QS3 quartz sand has the largest average grain size, the molding sand prepared using it exhibits the greatest ability to remove gases from the mold cavity or core. However, the addition of perlite ore adversely affects this technological parameter, and this effect is more pronounced when finer fractions of the additive are introduced into the mixture. An interesting correlation is observed for the remaining two systems, namely molding sands based on the QS1 and QS2 sands. Figure 4 clearly demonstrates that the addition of perlite ore does not negatively impact the permeability of molding sands with an inorganic binder. In all systems considered, the permeability falls within the range of 400–470 m2/Pa·s. In the case of QS1 sand, the addition of mineral additives with a larger grain size increases the permeability by approximately 20 units. This enhancement is directly linked to the presence of more grains with a larger diameter, which promotes the formation of larger intergranular pores, consequently improving the efficiency of gas removal from the mold or core. In the case of QS2 sand, the differences in permeability are minimal. However, the introduction of perlite ore with the greatest heterogeneity in terms of grain size (Hungarian perlite ore) into the molding sand prepared on the thickest grain matrix (QS3 quartz sand) results in a reduction in intergranular spaces, leading to a decrease in permeability. It can therefore be concluded that the heterogeneity of the mineral additive grains facilitates the more precise adjustment of the size of the intergranular spaces and more complete filling, impairing the ability of the molding sand to remove gases.

3.5. Grindability of Molding Sands

As depicted in Figure 5, the incorporation of perlite ore into molding sands has a slight or positive impact on their grindability, particularly for systems with QS1 sand. In the case of QS3 sand, the largest increase in grindability (up to 0.95%) is observed when the perlite ore with the largest grain size (PO1) is introduced, compared to 0.21% for the molding sand without additives. A similar trend is noted for the molding sand based on QS2 sand. It is noteworthy that the introduction of perlite ore additives with finer fractions to the QS2-sand-based molding sand results in an increase in grindability resistance (2.27%). For instance, there is a 1.40% increase for the QS2-PO4 molding sand (addition of Hungarian perlite ore), compared to 1.71% for the molding sand without additives. A similar relationship is observed for the QS1-PO4 system, where the grindability decreases by over 15%, from 3.08% to 2.52%. The reduction in the grindability of the molding sands using Hungarian perlite (PO4) may result from the greater “packing” (higher compaction level) of the molding sand. During the mixing of the ingredients, all fractions are coated with a layer of liquid binder and hardener. When the grains of the sand matrix and the mineral additive are densely packed, cohesive bonding bridges may form, where a larger surface area of the binder is joined. After hardening, this connection exhibits higher strength and also improves the grindability resistance of the molding sand. However, at present, this is a hypothesis that requires additional research.
The research has demonstrated that the introduction of inorganic binders into molding sands has little or a positive impact on the technological properties, such as the permeability and grindability. An unfavorable effect of the loosening additive on the grindability of the molding sand is observed only when the PO1 perlite ore is introduced into the molding sands based on QS2 and QS3 sand. The specific surface area of the molding mixture increases, and not all grains are coated with the binder. Larger grains come into contact with each other and bond through binder bridges. The finer fraction is not as tightly bound to the coarser grains, which may promote its susceptibility to detachment. Moreover, it has a significantly positive effect in reducing the final strength, thereby enhancing the knock-out properties. The most favorable outcomes are observed for systems incorporating Hungarian perlite ore (PO4), characterized by the lowest uniformity in terms of grain size, the smallest average grain size, and the main fraction collected on 0.40/0.32/0.20 mm sieves. Typically, dusty fractions tend to diminish the properties of molding sands. However, the presented results indicate that the presence of very fine grains in perlite ore does not constitute a technological disadvantage; on the contrary, it may improve the properties of molding sands.

4. Conclusions

Based on the conducted research, the following conclusions are drawn.
  • The introduction of perlite ore from the Hungarian deposit, regardless of the grain size of the quartz sand matrix, had the most significant impact in reducing the final strength and consequently improving the knock-out strength.
  • Hungarian perlite ore demonstrated the greatest potential to eliminate the so-called second strengthening in molding and core sands with inorganic binders, leading to improved knock-out properties.
  • The greater heterogeneity of perlite ore in terms of grain size and the content of fine-grained fractions plays a crucial role in eliminating strengthening.
  • The perlite ore introduced into the molding sand based on quartz sand with the main fraction collected on 0.40/0.32/0.20 mm and 0.32/0.20/0.16 mm sieves did not affect its permeability, regardless of the size of the ore fraction.
  • In the case of the molding sand prepared based on quartz sand with the main fraction collected on sieves with sizes of 0.80/0.63/040 mm, an increase in permeability was noted, especially with the addition of perlite ore with a larger grain size.
  • The addition of perlite ore had no significant effect on the grindability, especially in the case of molding sands based on a finer sand matrix. The only exception was the use of the perlite ore with the coarsest grain size (PO1).

Author Contributions

Conceptualization, A.B.; methodology, A.B. and D.D.; investigation, A.B. and D.D.; data curation, A.B., D.D. and B.G.; writing—original draft preparation, A.B.; writing—review and editing, A.B., D.D. and B.G.; visualization, B.G. All authors have read and agreed to the published version of the manuscript.

Funding

This research was funded by AGH University of Krakow, grant number 16.16.170.7998.

Institutional Review Board Statement

Not applicable.

Informed Consent Statement

Not applicable.

Data Availability Statement

The original contributions presented in the study are included in the article, further inquiries can be directed to the corresponding author.

Conflicts of Interest

The authors declare no conflicts of interest.

References

  1. Bobrowski, A.; Holtzer, M.; Żymankowska-Kumon, S.; Dańko, R. Harmfulness assessment of molding sands with a geopolymer binder and a new hardener, in an aspect of the emission of substances from the BTEX group. Arch. Metall. Mater. 2015, 60, 341–344. [Google Scholar] [CrossRef]
  2. Stachowicz, M.; Granat, K.; Nowak, D. The influence of the addition of α-Al2O3 on the residual strength of microwave-hardened molding sands with water glass. Arch. Foundry Eng. 2011, 11, 203–208. [Google Scholar]
  3. Jelínek, P. Pojivove Soustavy Slevarenskych Formovacich Smesi; OFTIS: Ostrawa, Czech Republic, 2004. [Google Scholar]
  4. Korzeniowska, M. The Influence of the Structure of Hydrated Sodium Silicate on The quality of the Molding Sand Binder on the Properties of Silica Gel at High Temperatures. Ph.D. Dissertation, AGH UST, Kracow, Poland, 2008. (In Polish). [Google Scholar]
  5. Lewandowski, J.L. Materials for Foundry Molds; Akapit Publishing House: Kraków, Poland, 1997. (In Polish) [Google Scholar]
  6. Major-Gabryś, K. Environmentally friendly foundry molding and core sands. In Archives of Foundry Engineering; Publishing House: Katowice-Gliwice, Poland, 2016. (In Polish) [Google Scholar]
  7. Zych, J. Optimization of mold technology based on molding sandh ester-hardened water glass. Foundry Rev. 2005, 55, 782–792. [Google Scholar]
  8. Polzin, H.; Nitsch, U.; Tilch, W.; Flemming, E. Regenerierung anorganisch gebundener Altsande mit einer mechanische arbeitender Pilotanlage. Giesserei-Praxis 1997, 23–24, 500–507. [Google Scholar]
  9. Bobrowski, A.; Dańko, R.; Holtzer, M.; Drożyński, D.; Skrzyński, M. Investigations of the reclamation ability of molding sands with the modified binding system and the reclaim quality assessment. Arch. Foundry Eng. 2014, 14, 31–36. [Google Scholar]
  10. Leidel, D.S. Reclamation of sodium silicate bonded sands. AFS Trans. 1985, 93, 429. [Google Scholar]
  11. Venkata Ramana, M. Modelling of process parameters of silicate bonded CO2 mould made of reclaimed CO2 sand using artificial neural networks. Int. J. Adv. Eng. Res. 2015, 10, 77–84. [Google Scholar]
  12. Venkata Ramana, M. Experimental Determination of Optimum Reclamation Time in Dry Reclamation Process of Silicate Bonded Sands. Int. J. Eng. Res. Technol. 2014, 3, 1127–1130. [Google Scholar]
  13. Bobrowski, A.; Kmita, A.; Starowicz, M.; Stypuła, B.; Hutera, B. Effect of magnesium oxide nanoparticles on water glass structure. Arch. Foundry Eng. 2012, 12, 9–12. [Google Scholar] [CrossRef]
  14. Baliński, A. The influence of the method of modifying hydrated sodium silicate on the effectiveness of changes in the final strength of the molding sand. Work. Foundry Inst. 2017, LVII, 161–168. (In Polish) [Google Scholar] [CrossRef]
  15. Izdebska-Szanda, I.; Baliński, A. New generation of ecological silicate binders. Procedia Eng. 2011, 10, 887–893. [Google Scholar] [CrossRef]
  16. Dobosz, S.M.; Major-Gabryś, K. Self-hardening masses with water glass and new ester hardener. Inżynieria Mater. 2006, 27, 576–579. (In Polish) [Google Scholar]
  17. Dobosz, S.M.; Major-Gabryś, K. Alternative ester hardener for water glass molding sands. In Proceedings of the 31st Scientific Conference on the Occasion of Foundry’s Day, Kracow, Poland, 6–7 December 2007; pp. 33–38. [Google Scholar]
  18. Izdebska-Szanda, I.; Kamińska, J.; Angrecki, M.; Palma, A.; Stefański, Z. The effect of additive “B” on the properties of foundry sands with hydrated sodium silicate made by Floster technology. Arch. Foundry Eng. 2017, 17, 31–34. [Google Scholar] [CrossRef][Green Version]
  19. Major-Gabryś, K.; Dobosz, S.M. The influence of the Glassex additive on technological and knock-out properties of the molding sands with hydrated sodium silicate and new ester hardeners. Metall. Foundry Eng. 2011, 37, 33–40. [Google Scholar] [CrossRef][Green Version]
  20. Bobrowski, A.; Drożyński, D.; Grabowska, B.; Kaczmarska, K. Easy knock-out molding and core sands—The future for metal casting. Foundry Trade J. Int. 2019, 193, 278–281. [Google Scholar]
  21. Anwar, N.; Jalava, K.; Orkas, J. Experimental study of inorganic foundry sand binders for mold and cast quality. Int. J. Met. 2022, 17, 1697–1714. [Google Scholar] [CrossRef]
  22. Zaretskiy, L. Modified silicate binders new developments and applications. Int. J. Met. 2016, 10, 88–99. [Google Scholar] [CrossRef]
  23. Zaretskiy, L. Hydrous solid silicates in new foundry binders. Int. J. Met. 2018, 12, 275–291. [Google Scholar] [CrossRef]
  24. Unlu, N.; Odabas, A. Development and evaluation of a new eco-friendly sodium silicate-based binder system. Int. J. Met. 2018, 12, 765–771. [Google Scholar] [CrossRef]
  25. Zaretskiy, L. Microsilica in sodium silicate bonded sands. Int. J. Met. 2019, 13, 58–73. [Google Scholar] [CrossRef]
  26. Song, L.; Liu, W.; Xin, F.; Li, Y. Effect of silica fume on humidity resistance of sodium silicate binder for core-making proces. Int. J. Met. 2020, 14, 977–986. [Google Scholar] [CrossRef]
  27. Bobrowski, A.; Żymankowska-Kumon, S.; Kaczmarska, K.; Drożyński, D.; Grabowska, B. Studies on the gases emission of molding and core sands with an inorganic binder containing a relaxation additive. Arch. Foundry Eng. 2020, 20, 19–25. [Google Scholar] [CrossRef]
  28. Svidró, J.; Diószegi, A.; Tóth, I.; Svidró, J.T. The influence of thermal expansion of unbonded foundry sands on the deformation of resin bonded cores. Arch. Metall. Mater. 2017, 62, 795–798. [Google Scholar] [CrossRef]
  29. Holtzer, M.; Drożyński, D.; Bobrowski, A.; Plaza, W. Influence of binding rates on strength properties of molding sands with the GEOPOL binder. Arch. Foundry Eng. 2014, 14, 37–40. [Google Scholar] [CrossRef]
  30. Vykoukal, M.; Burian, A.; Přerovská, M. Geopol®. The Innovated Environment Friendly Inorganic Binder System. Arch. Foundry Eng. 2019, 19, 109–116. [Google Scholar] [CrossRef]
  31. Available online: https://www.lbkperlit.sk/surovy-perlit (accessed on 12 June 2023).
  32. Available online: https://www.perlit92.hu/servicesen.html (accessed on 12 June 2023).
Figure 1. Dependence of the final tensile strength on the perlite ore used (QS1 sand matrix).
Figure 1. Dependence of the final tensile strength on the perlite ore used (QS1 sand matrix).
Applsci 14 03185 g001
Figure 2. Dependence of the final tensile strength on the perlite ore used (QS2 sand matrix).
Figure 2. Dependence of the final tensile strength on the perlite ore used (QS2 sand matrix).
Applsci 14 03185 g002
Figure 3. Dependence of the final tensile strength on the perlite ore used (QS3 sand matrix).
Figure 3. Dependence of the final tensile strength on the perlite ore used (QS3 sand matrix).
Applsci 14 03185 g003
Figure 4. Permeability of molding sands depending on the type of sand matrix and the addition of perlite ore.
Figure 4. Permeability of molding sands depending on the type of sand matrix and the addition of perlite ore.
Applsci 14 03185 g004
Figure 5. Grindability of molding sands depending on the type of sand matrix and the addition of perlite ore.
Figure 5. Grindability of molding sands depending on the type of sand matrix and the addition of perlite ore.
Applsci 14 03185 g005
Table 1. Sieve analysis of quartz sands.
Table 1. Sieve analysis of quartz sands.
Mesh Size SieveResidue on Sieves, %
QS 1QS 2QS 3
1.6000.000.000.00
0.8000.020.648.00
0.6300.137.5452.65
0.4003.5247.9334.48
0.32013.1320.602.03
0.20060.1719.012.17
0.16013.952.840.42
0.1008.781.420.25
0.0710.280.020.00
0.0560.020.000.00
Bottom0.000.000.00
Sum100.00100.00100.00
Table 2. Characteristic indicators of the tested quartz sands.
Table 2. Characteristic indicators of the tested quartz sands.
Mesh Size SieveUnitMaterial
QS 1QS 2QS 3
Number of grains, AFS 56.1037.2922.95
Average grain sizemm0.230.340.55
Geometric averagemm0.250.410.64
Aritmetic averagemm0.260.440.66
Harmonic averagemm0.240.380.60
Medianmm0.250.430.66
Average grain sizemm0.250.430.66
Main fraction%87.2587.5495.13
Separation factor-1.221.271.12
Inclination indicator-0.960.950.87
Degree of homogeneity%75.0063.0084.00
Surface aream2/kg9.595.923.75
Table 3. Sieve analysis of perlite ores.
Table 3. Sieve analysis of perlite ores.
Mesh Size SieveResidue on Sieves, %
PO1PO2PO3PO4
1.6000.000.000.000.00
0.80035.810.950.000.00
0.63056.911.580.001.84
0.4006.6229.9848.1630.08
0.3200.1440.1030.2120.62
0.2000.1225.9411.5829.09
0.1600.080.314.387.93
0.1000.060.384.107.36
0.0710.080.200.671.22
0.0560.030.200.330.53
Bottom0.150.360.571.33
Sum100.00100.00100.00100.00
Table 4. Characteristic indicators of the tested perlite ores.
Table 4. Characteristic indicators of the tested perlite ores.
Mesh Size SieveUnitMaterial
PO1PO2PO3PO4
Number of grains, AFS 16.5240.7642.9052.27
Average grain sizemm0.770.310.300.24
Geometric averagemm0.830.370.370.31
Aritmetic averagemm0.870.390.400.34
Harmonic averagemm0.770.340.330.26
Medianmm0.730.360.400.33
Average grain sizemm0.730.360.400.33
Main fraction%99.3496.0289.9579.79
Separation factor-1.151.191.201.38
Inclination indicator-1.221.051.040.93
Degree of homogeneity%76.0074.0068.0050.00
Surface aream2/kg2.934.766.938.79
Disclaimer/Publisher’s Note: The statements, opinions and data contained in all publications are solely those of the individual author(s) and contributor(s) and not of MDPI and/or the editor(s). MDPI and/or the editor(s) disclaim responsibility for any injury to people or property resulting from any ideas, methods, instructions or products referred to in the content.

Share and Cite

MDPI and ACS Style

Bobrowski, A.; Drożyński, D.; Grabowska, B. The Influence of the Matrix Grain Size and Mineral Addition on Improving the Knock-Out Properties of Molding Sands with an Inorganic Binder. Appl. Sci. 2024, 14, 3185. https://doi.org/10.3390/app14083185

AMA Style

Bobrowski A, Drożyński D, Grabowska B. The Influence of the Matrix Grain Size and Mineral Addition on Improving the Knock-Out Properties of Molding Sands with an Inorganic Binder. Applied Sciences. 2024; 14(8):3185. https://doi.org/10.3390/app14083185

Chicago/Turabian Style

Bobrowski, Artur, Dariusz Drożyński, and Beata Grabowska. 2024. "The Influence of the Matrix Grain Size and Mineral Addition on Improving the Knock-Out Properties of Molding Sands with an Inorganic Binder" Applied Sciences 14, no. 8: 3185. https://doi.org/10.3390/app14083185

APA Style

Bobrowski, A., Drożyński, D., & Grabowska, B. (2024). The Influence of the Matrix Grain Size and Mineral Addition on Improving the Knock-Out Properties of Molding Sands with an Inorganic Binder. Applied Sciences, 14(8), 3185. https://doi.org/10.3390/app14083185

Note that from the first issue of 2016, this journal uses article numbers instead of page numbers. See further details here.

Article Metrics

Back to TopTop