Yarrowia lipolytica CMGB32 Biosurfactants Produced Using n-Hexadecane: Developing Strategies for Environmental Remediation
Abstract
1. Introduction
2. Materials and Methods
2.1. Yeast Strains
2.2. n-Hexadecane Biodegradability Assay Using 2,6-Dichlorophenolindophenol (DCPIP)
2.3. Assessment of Microbial Adhesion to n-Hexadecane
2.4. Interactions between Yeast Cells and n-Hexadecane
2.5. Biosurfactant Production and Characterization
2.5.1. Determination of the Emulsification Index
2.5.2. Stability Tests on Emulsifying Properties of the Biosurfactants
2.6. Biosurfactant Effect on Removal of Some Pollutants from Synthetic Wastewater
2.6.1. Growth Curves in Contaminated and Uncontaminated Synthetic Wastewater
2.6.2. Determination of Physico-Chemical Parameters of Synthetic Municipal Wastewater
2.6.3. Removal of Pollutants
2.6.4. Determination of the Biomass Amount
2.7. Antimicrobial and Anti-Adhesion Activity of the Biosurfactant
2.7.1. Growth Inhibition Assays
2.7.2. Anti-Adhesion Activity Tests
2.8. Statistical Analysis
3. Results and Discussion
3.1. n-Hexadecane Assimilation
3.2. Stability of the Emulsifying Properties of the Biosurfactant
3.3. Growth Curves of Yeast Strains
3.4. Wastewater Physico-Chemical Parameters
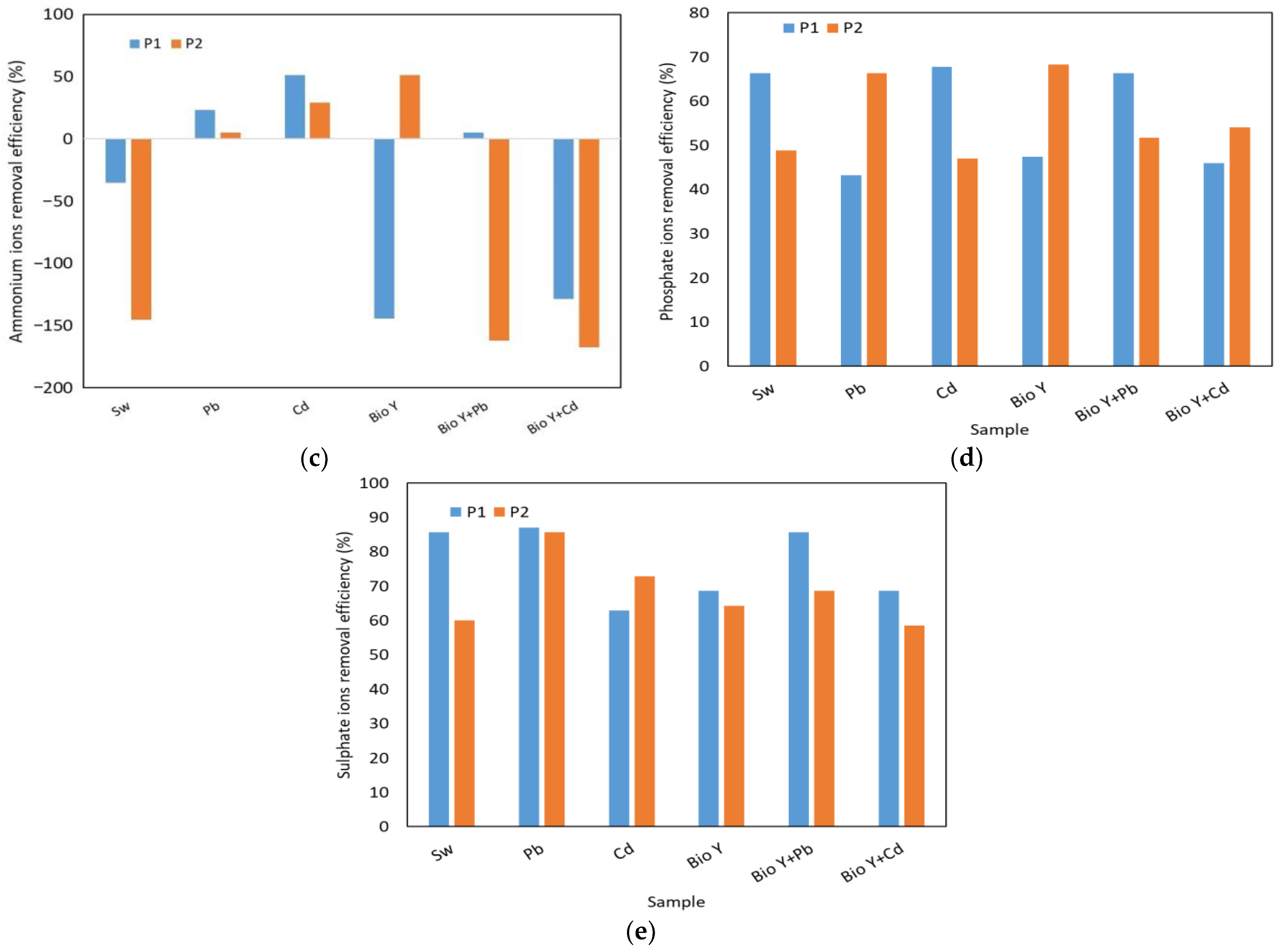
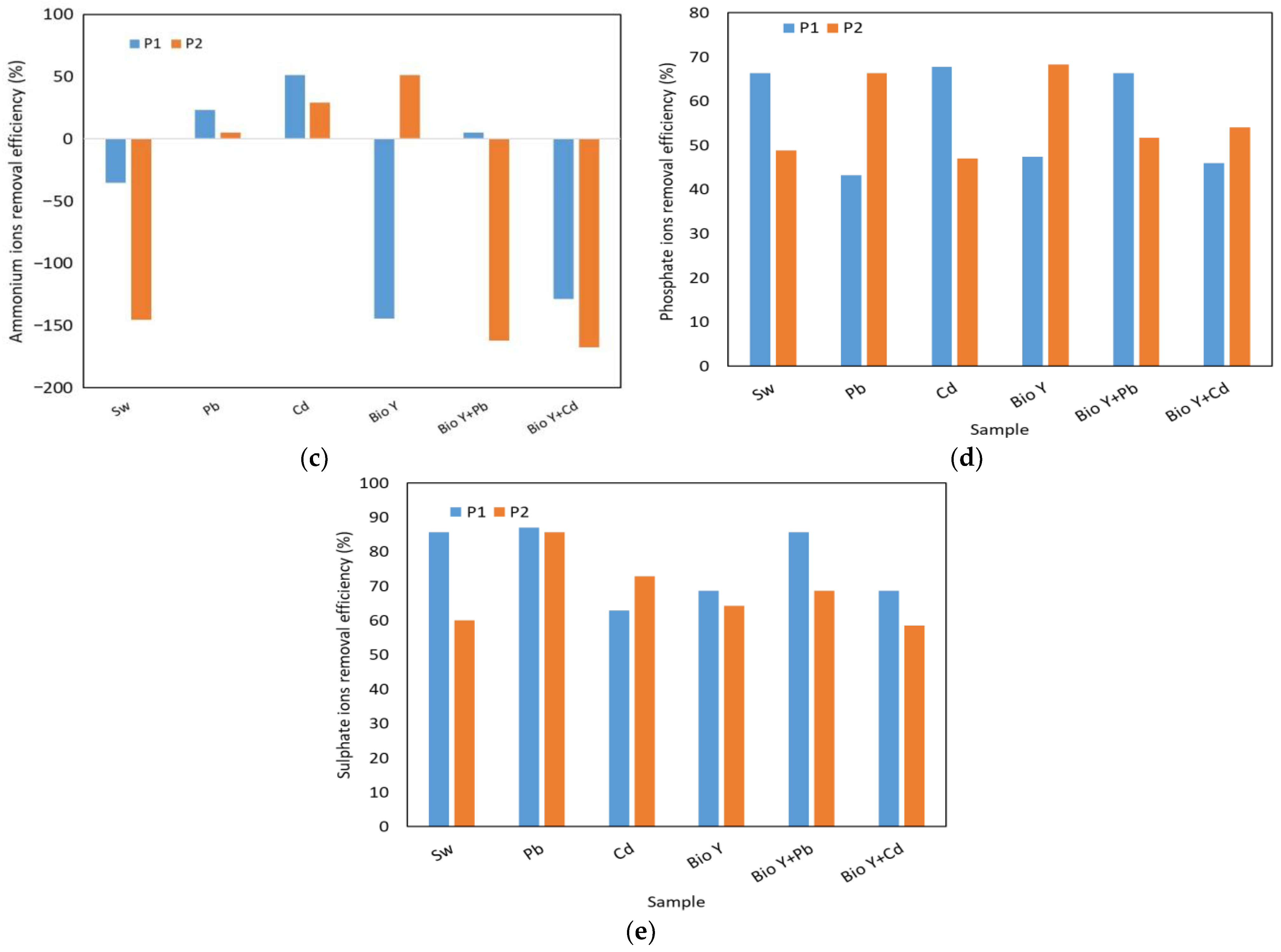
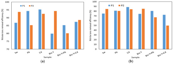
3.5. Removal Efficiency of Micropollutants from Water
3.5.1. Chemical Oxygen Demand (COD)
3.5.2. Nutrient Removal
3.5.3. Removal of Pb2+ and Cd2+
3.6. Antimicrobial Activity against Candida Strains
3.6.1. Growth Inhibition Properties of Y. lipolytica CMGB32 Biosurfactant
3.6.2. Anti-Adherence Properties of Y. lipolytica CMGB32 Biosurfactant
4. Conclusions
Supplementary Materials
Author Contributions
Funding
Institutional Review Board Statement
Informed Consent Statement
Data Availability Statement
Conflicts of Interest
References
- Hreniuc, M.; Coman, M.; Cioruţa, B. Considerations Regarding the Soil Pollution with Oil Products in Săcel-Maramureș. In Proceedings of the International Conference of Scientific Paper AFASES, Brasov, Romania, 28–30 May 2015; pp. 28–30. [Google Scholar]
- Rusin, M.; Gospodarek, J.; Nadgórska-Socha, A. The Effect of Petroleum-Derived Substances on the Growth and Chemical Composition of Vicia faba L. Pol. J. Environ. Stud. 2015, 24, 2157–2166. [Google Scholar] [CrossRef] [PubMed]
- Rusin, M.; Gospodarek, J.; Nadgórska-Socha, A. Soil Pollution by Petroleum-Derived Substances and Its Bioremediation: The Effect on Aphis fabae Scop. Infestation and Antioxidant Response in Vicia faba L. Agronomy 2020, 10, 147. [Google Scholar] [CrossRef]
- Jung, J.; Park, W. Acinetobacter species as model microorganisms in environmental microbiology: Current state and perspectives. Appl. Microbiol. Biotechnol. 2015, 99, 2533–2548. [Google Scholar] [CrossRef] [PubMed]
- Dehghani, M.; Taatizadeh, S.B.; Samaei, M.R. Biodegradation of n-hexadecane in Acinetobacter radioresistens liquid culture. Health Scope 2013, 2, 162–167. [Google Scholar] [CrossRef]
- Morovati, R.; Abbasi, F.; Samaei, M.R.; Mehrazmay, H.; Lari, A.R. Modelling of n-Hexadecane Bioremediation from Soil by Slurry Bioreactors Using Artificial Neural Network Method. Sci. Rep. 2022, 12, 19662. [Google Scholar] [CrossRef]
- Eula, B.; Barbara, C.; Charles, P. Patty’s Toxicology, 5th ed.; Wiley: New York, NY, USA, 2001. [Google Scholar]
- Ali Khan, A.H.; Tanveer, S.; Alia, S.; Anees, M.; Sultan, A.; Iqbal, M.; Yousaf, S. Role of Nutrients in Bacterial Biosurfactant Production and Effect of Biosurfactant Production on Petroleum Hydrocarbon Biodegradation. Ecol. Eng. 2017, 104, 158–164. [Google Scholar] [CrossRef]
- Pandolfo, E.; Barra Caracciolo, A.; Rolando, L. Recent Advances in Bacterial Degradation of Hydrocarbons. Water 2023, 15, 375. [Google Scholar] [CrossRef]
- Xu, X.; Liu, W.; Tian, S.; Wang, W.; Qi, Q.; Jiang, P.; Gao, X.; Li, F.; Li, H.; Yu, H. Petroleum Hydrocarbon-Degrading Bacteria for the Remediation of Oil Pollution Under Aerobic Conditions: A Perspective Analysis. Front. Microbiol. 2018, 9, 2885. [Google Scholar] [CrossRef] [PubMed]
- Khan, A.H.A.; Tanveer, S.; Kiyani, A.; Barros, R.; Iqbal, M.; Yousaf, S. Biosurfactant-Producing Aspergillus, Penicillium, and Candida Performed Higher Biodegradation of Diesel Oil than a Non-Producing Fungal Strain. Appl. Biochem. Microbiol. 2023, 59, 282–289. [Google Scholar] [CrossRef]
- Asemoloye, M.D.; Tosi, S.; Daccò, C.; Wang, X.; Xu, S.; Marchisio, M.A.; Gao, W.; Jonathan, S.G.; Pecoraro, L. Hydrocarbon Degradation and Enzyme Activities of Aspergillus oryzae and Mucor irregularis Isolated from Nigerian Crude Oil-Polluted Sites. Microorganisms 2020, 8, 1912. [Google Scholar] [CrossRef]
- Daccò, C.; Girometta, C.; Asemoloye, M.D.; Carpani, G.; Picco, A.M.; Tosi, S. Key Fungal Degradation Patterns, Enzymes and Their Applications for the Removal of Aliphatic Hydrocarbons in Polluted Soils: A Review. Int. Biodeterior. Biodegrad. 2020, 147, 104866. [Google Scholar] [CrossRef]
- Pan, F.; Yang, Q.; Zhang, Y.; Zhang, S.; Yang, M. Biodegradation of Polycyclic Aromatic Hydrocarbons by Pichia anomala. Biotechnol. Lett. 2004, 26, 803–806. [Google Scholar] [CrossRef] [PubMed]
- Schlüter, R.; Schauer, F. Biotransformation and Detoxification of Environmental Pollutants with Aromatic Structures by Yeasts. In Yeast Diversity in Human Welfare; Satyanarayana, T., Kunze, G., Eds.; Springer: Singapore, 2017; pp. 323–369. ISBN 978-981-10-2621-8. [Google Scholar]
- Krallish, I.; Gonta, S.; Savenkova, L.; Bergauer, P.; Margesin, R. Phenol Degradation by Immobilized Cold-Adapted Yeast Strains of Cryptococcus terreus and Rhodotorula creatinivora. Extremophiles 2006, 10, 441–449. [Google Scholar] [CrossRef]
- Chen, W.; Lee, M.K.; Jefcoate, C.; Kim, S.C.; Chen, F.; Yu, J.H. Fungal Cytochrome P450 Monooxygenases: Their Distribution, Structure, Functions, Family Expansion, and Evolutionary Origin. Genome Biol. Evol. 2014, 6, 1620–1634. [Google Scholar] [CrossRef]
- Kurtzman, C.P.; Fell, J.W.; Boekhout, T. (Eds.) The Yeasts: A Taxonomic Study, 5th ed.; Elsevier: Amsterdam, The Netherlands, 2010; ISBN 978-0-444-52149-1. [Google Scholar]
- Fickers, P.; Benetti, P.H.; Waché, Y.; Marty, A.; Mauersberger, S.; Smit, M.S.; Nicaud, J.M. Hydrophobic Substrate Utilisation by the Yeast Yarrowia lipolytica, and Its Potential Applications. FEMS Yeast Res. 2005, 5, 527–543. [Google Scholar] [CrossRef]
- Harzevili, F.D. Biotechnological Applications of the Yeast Yarrowia lipolytica; Springer: New York, NY, USA, 2014; Volume 74. [Google Scholar] [CrossRef]
- Loira, N.; Dulermo, T.; Nicaud, J.M.; Sherman, D.J. A Genome-Scale Metabolic Model of the Lipid-Accumulating Yeast Yarrowia lipolytica. BMC Syst. Biol. 2012, 6, 35. [Google Scholar] [CrossRef] [PubMed]
- Devillers, H.; Neuvéglise, C. Genome Sequence of the Oleaginous Yeast Yarrowia lipolytica H222. Microbiol. Resour. Announc. 2019, 8, 10–1128. [Google Scholar] [CrossRef]
- Coelho, M.A.Z.; Amaral, P.F.F.; Belo, I. Yarrowia lipolytica: An Industrial Workhorse; Formatex Research Center: Badajoz, Spain, 2010. [Google Scholar]
- Santos, D.K.F.; Rufino, R.D.; Luna, J.M.; Santos, V.A.; Sarubbo, L.A. Biosurfactants: Multifunctional Biomolecules of the 21st Century. Int. J. Mol. Sci. 2016, 17, 401. [Google Scholar] [CrossRef] [PubMed]
- Rufino, R.D.; Luna, J.M.; Campos-Takaki, G.M.; Ferreira, S.R.M.; Sarubbo, L.A. Application of the Biosurfactant Produced by Candida lipolytica in the Remediation of Heavy Metals. Chem. Eng. Trans. 2012, 27, 61–66. [Google Scholar] [CrossRef]
- Fernandes, N.; Simoes, L.A.; Dias, D.R. Biosurfactants Produced by Yeasts: Fermentation, Screening, Recovery, Purification, Characterization, and Applications. Fermentation 2023, 9, 207. [Google Scholar] [CrossRef]
- Hanson, K.G.; Desai, J.D.; Desai, A.J. A Rapid and Simple Screening Technique for Potential Crude Oil Degrading Microorganisms. Biotechnol. Tech. 1993, 7, 745–748. [Google Scholar] [CrossRef]
- Lopes, P.; Bidoia, E.; Montagnolli, R. Microbial Biodegradation Potential of Hydrocarbons Evaluated by Colorimetric Technique: A Case Study. Appl. Microbiol. Biotechnol. 2010, 7, 1277–1288. [Google Scholar]
- Chrzanowski, Ł.; Bielicka-Daszkiewicz, K.; Owsianiak, M.; Aurich, A.; Kaczorek, E.; Olszanowski, A. Phenol and n-Alkanes (C 12 and C 16) Utilization: Influence on Yeast Cell Surface Hydrophobicity. World J. Microbiol. Biotechnol. 2008, 24, 1943–1949. [Google Scholar] [CrossRef]
- Cooper, D.G.; Goldenberg, B.G. Surface-Active Agents from Two Bacillus Species. Appl. Environ. Microbiol. 1987, 53, 224–229. [Google Scholar] [CrossRef] [PubMed]
- Nicula, N.-O.; Lungulescu, E.-M.; Rîmbu, G.A.; Marinescu, V.; Corbu, V.M.; Csutak, O. Bioremediation of Wastewater Using Yeast Strains: An Assessment of Contaminant Removal Efficiency. Int. J. Environ. Res. Public Health 2023, 20, 4795. [Google Scholar] [CrossRef]
- Csutak, O.; Corbu, V.; Stoica, I.; Ionescu, R.; Vassu, T. Biotechnological Applications of Yarrowia Lipolytica CMGB32. Agric. Agric. Sci. Procedia 2015, 6, 545–553. [Google Scholar] [CrossRef]
- Csutak, O.; Sarbu, I.; Rusu, E.; Vassu, T.; Corbu, V. Antimicrobial and antiadhesion activity of biosurfactants from Rhodotorula glutinis grown on n-dodecane. Rev. Chim. 2020, 71, 99–105. [Google Scholar] [CrossRef]
- Corpuz, M.V.A.; Borea, L.; Senatore, V.; Castrogiovanni, F.; Buonerba, A.; Oliva, G.; Ballesteros, F.; Zarra, T.; Belgiorno, V.; Choo, K.-H.; et al. Wastewater Treatment and Fouling Control in an Electro Algae-Activated Sludge Membrane Bioreactor. Sci. Total Environ. 2021, 786, 147475. [Google Scholar] [CrossRef] [PubMed]
- ISO 6060:1989; Water Quality—Determination of the Chemical Oxygen Demand. International Organization for Standardization: Geneva, Switzerland, 1989.
- Hanna Hanna Instruments HI83300 Instruction Manual. Available online: https://www.haines.com.au/mwdownloads/download/link/id/222/ (accessed on 19 March 2024).
- Corbu, V.M.; Gheorghe, I.; Marinaș, I.C.; Geanǎ, E.I.; Moza, M.I.; Csutak, O.; Chifiriuc, M.C. Demonstration of Allium sativum Extract Inhibitory Effect on Biodeteriogenic Microbial Strain Growth, Biofilm Development, and Enzymatic and Organic Acid Production. Molecules 2021, 26, 7195. [Google Scholar] [CrossRef]
- Luna, J.M.; Rufino, R.D.; Sarubbo, L.A.; Rodrigues, L.R.M.; Teixeira, J.A.C.; De Campos-Takaki, G.M. Evaluation Antimicrobial and Antiadhesive Properties of the Biosurfactant Lunasan Produced by Candida sphaerica UCP 0995. Curr. Microbiol. 2011, 62, 1527–1534. [Google Scholar] [CrossRef]
- Csutak, O.; Simon-Gruiţă, A.; Corbu, V.; Constantin, N.; Pojoga, D.; Vassu, T.; Duţă-Cornescu, G. Preliminary studies on yeast-plant systems with applications in phytoremediation. Sci. Bull. Ser. F Biotechnol. 2017, 21, 183–189. [Google Scholar]
- Junior, J.S.; Mariano, A.P.; Angelis, D. Biodegradation of biodiesel/diesel blends by Candida viswanathii. Afr. J. Biotechnol. 2009, 8, 2774–2778. [Google Scholar]
- Miranda, R.D.C.; Souza, C.S.D.; Gomes, E.D.B.; Lovaglio, R.B.; Lopes, C.E.; Sousa, M.D.F.V.D.Q. Biodegradation of Diesel Oil by Yeasts Isolated from the Vicinity of Suape Port in the State of Pernambuco-Brazil. Braz. Arch. Biol. Technol. 2007, 50, 147–152. [Google Scholar] [CrossRef]
- Bogan, A.A.; Thorn, K.S. Anatomy of Hot Spots in Protein Interfaces. J. Mol. Biol. 1998, 280, 1–9. [Google Scholar] [CrossRef] [PubMed]
- Moreira, I.S.; Martins, J.M.; Ramos, R.M.; Fernandes, P.A.; Ramos, M.J. Understanding the Importance of the Aromatic Amino-Acid Residues as Hot-Spots. Biochim. Et Biophys. Acta BBA Proteins Proteom. 2013, 1834, 404–414. [Google Scholar] [CrossRef] [PubMed]
- Khopade, A.; Biao, R.; Liu, X.; Mahadik, K.; Zhang, L.; Kokare, C. Production and Stability Studies of the Biosurfactant Isolated from Marine Nocardiopsis sp. B4. Desalination 2012, 285, 198–204. [Google Scholar] [CrossRef]
- Ilori, M.O.; Amobi, C.J.; Odocha, A.C. Factors Affecting Biosurfactant Production by Oil Degrading Aeromonas Spp. Isolated from a Tropical Environment. Chemosphere 2005, 61, 985–992. [Google Scholar] [CrossRef]
- Ferreira, T.F.; Martins, F.F.; Cayres, C.A.; Amaral, P.F.; Azevedo, D.D.A.; Coelho, M.A.Z. Biosurfactant Production from the Biodegradation of n-Paraffins, Isoprenoids and Aromatic Hydrocarbons from Crude Petroleum by Yarrowia lipolytica IMUFRJ 50682. Fermentation 2022, 9, 21. [Google Scholar] [CrossRef]
- Elnahas, M.O.; Hou, L.; Wall, J.D.; Majumder, E.L.W. Bioremediation Potential of Streptomyces sp. MOE6 for Toxic Metals and Oil. Polysaccharides 2021, 2, 47–68. [Google Scholar] [CrossRef]
- Raddadi, N.; Giacomucci, L.; Totaro, G.; Fava, F. Marinobacter sp. from Marine Sediments Produce Highly Stable Surface-Active Agents for Combatting Marine Oil Spills. Microb. Cell Factories 2017, 16, 186. [Google Scholar] [CrossRef]
- Camara-Lemarroy, C.R.; Rodríguez-Gutiérrez, R.; Monreal-Robles, R.; González-González, J.G. Acute Toluene Intoxication–Clinical Presentation, Management and Prognosis: A Prospective Observational Study. BMC Emerg. Med. 2015, 15, 19. [Google Scholar] [CrossRef] [PubMed]
- Konya, A.; Fiddler, B.A.; Bunch, O.; Hess, K.Z.; Ferguson, C.; Krzmarzick, M.J. Lead or Cadmium Co-Contamination Alters Benzene and Toluene Degrading Bacterial Communities. Biodegradation 2023, 34, 357–369. [Google Scholar] [CrossRef] [PubMed]
- Caicedo-Bejarano, L.D.; Osorio-Vanegas, L.S.; Ramírez-Castrillón, M.; Castillo, J.E.; Martínez-Garay, C.A.; Chávez-Vivas, M. Water Quality, Heavy Metals, and Antifungal Susceptibility to Fluconazole of Yeasts from Water Systems. Int. J. Environ. Res. Public Health 2023, 20, 3428. [Google Scholar] [CrossRef] [PubMed]
- Jarboui, R.; Baati, H.; Fetoui, F.; Gargouri, A.; Gharsallah, N.; Ammar, E. Yeast Performance in Wastewater Treatment: Case Study of Rhodotorula mucilaginosa. Environ. Technol. 2012, 33, 951–960. [Google Scholar] [CrossRef] [PubMed]
- Ertuđrul, S.; San, N.O.; Dönmez, G. Treatment of Dye (Remazol Blue) and Heavy Metals Using Yeast Cells with the Purpose of Managing Polluted Textile Wastewaters. Ecol. Eng. 2009, 35, 128–134. [Google Scholar] [CrossRef]
- Grujić, S.; Radojevic, I.; Vasić, S.; Čomić, L.; Ostojić, A. Heavy Metal Tolerance and Removal Efficiency of the Rhodotorula mucilaginosa and Saccharomyces boulardii Planktonic Cells and Biofilm. Kragujev. J. Sci. 2018, 40, 217–226. [Google Scholar] [CrossRef]
- Vidal, N.F.; Dávila, J.W. Lead and Cadmium Removal with Native Yeast from Coastal Wetlands. Open Chem. 2022, 20, 1096–1109. [Google Scholar] [CrossRef]
- Alisawi, H.A.O. Performance of Wastewater Treatment during Variable Temperature. Appl. Water Sci. 2020, 10, 89. [Google Scholar] [CrossRef]
- Olabode, G.S.; Olorundare, O.F.; Somerset, V.S. Physicochemical Properties of Wastewater Effluent from Two Selected Wastewater Treatment Plants (Cape Town) for Water Quality Improvement. Int. J. Environ. Sci. Technol. 2020, 17, 4745–4758. [Google Scholar] [CrossRef]
- Sahu, O.; Mazumdar, B.; Chaudhari, P.K. Treatment of Wastewater by Electrocoagulation: A Review. Environ. Sci. Pollut. Res. 2014, 21, 2397–2413. [Google Scholar] [CrossRef]
- Li, D.; Zou, M.; Jiang, L. Dissolved Oxygen Control Strategies for Water Treatment: A Review. Water Sci. Technol. 2022, 86, 1444–1466. [Google Scholar] [CrossRef] [PubMed]
- Paquet, J.; Lacroix, C.; Audet, P.; Thibault, J. Electrical Conductivity as a Tool for Analysing Fermentation Processes for Production of Cheese Starters. Int. Dairy J. 2000, 10, 391–399. [Google Scholar] [CrossRef]
- Zikánová, B.; Kuthan, M.; Řičicová, M.; Forstová, J.; Palková, Z. Amino Acids Control Ammonia Pulses in Yeast Colonies. Biochem. Biophys. Res. Commun. 2002, 294, 962–967. [Google Scholar] [CrossRef] [PubMed]
- Corbu, V.; Petrut, S.; Vassu, T.; Pelinescu, D.; Sarbu, I.; Rusu, E.; Csutak, O. Environmental Stress Responses in Yeasts and Lactic Acid Bacteria Strains Isolated from Dairy Traditional Romanian Fermented Products. Rom. Biotechnol. Lett. 2021, 26, 2548–2559. [Google Scholar] [CrossRef]
- Hu, X.; Cao, J.; Yang, H.; Li, D.; Qiao, Y.; Zhao, J.; Zhang, Z.; Huang, L. Pb2+ biosorption from aqueous solutions by live and dead biosorbents of the hydrocarbon-degrading strain Rhodococcus sp. HX-2. PLoS ONE 2020, 15, e0226557. [Google Scholar] [CrossRef] [PubMed]
- Wifak, B.; Nezha Tahri, J.; Meryem, A.; Hanane, S.; Nabil, T.; Naïma, E.G. Yeast Biomass: An Alternative for Bioremediation of Heavy Metals. In Yeast; Antonio, M., Iris, L., Eds.; IntechOpen: Rijeka, Croatia, 2017; Chapter 12. [Google Scholar]
- Khorram Abadi, V.; Habibi, D.; Heydari, S.; Ariannezhad, M. The effective removal of Ni2+, Cd2+, and Pb2+ from aqueous solution by adenine-based nano-adsorbent. RSC Adv. 2023, 13, 5970–5982. [Google Scholar] [CrossRef] [PubMed]
- Sandifer, R.D.; Hopkin, S.P. Effects of pH on the toxicity of cadmium, copper, lead and zinc to Folsomia candida Willem, 1902 (Collembola) in a standard laboratory test system. Chemosphere 1996, 33, 2475–2486. [Google Scholar] [CrossRef]
- Naeem, A.; Woertz, J.R.; Fein, J.B. Experimental Measurement of Proton, Cd, Pb, Sr, and Zn Adsorption Onto the Fungal Species Saccharomyces cerevisiae. Environ. Sci. Technol. 2006, 40, 5724–5729. [Google Scholar] [CrossRef]
- El-Shimi, N.M.; Ihab, A.M.; Saad, M.M.; Abdel-Rhaman, G.N. Effects of Cu, Mn, Pb and Cd on the technological properties of baker’s yeast (in vitro study). J. Food Dairy Sci. 2009, 34, 8891–8901. [Google Scholar] [CrossRef]
- Wierzbicka, M.H.; Przedpełska, E.; Ruzik, R.; Ouerdane, L.; Połeć-Pawlak, K.; Jarosz, M.; Szpunar, J.; Szakiel, A. Comparison of the toxicity and distribution of cadmium and lead in plant cells. Protoplasma 2007, 231, 99–111. [Google Scholar] [CrossRef]
- Keffala, C.; Zouhir, F.; Abdallah, B.H.; Kammoun, S. Use of Bacteria and Yeast Strains for Dairy Wastewater Treatment. Int. J. Res. Eng. Technol. 2017, 6, 108–113. [Google Scholar]
- Gizaw, A.; Zewge, F.; Kumar, A.; Mekonnen, A.; Tesfaye, M. A Comprehensive Review on Nitrate and Phosphate Removal and Recovery from Aqueous Solutions by Adsorption. AQUA Water Infrastruct. Ecosyst. Soc. 2021, 70, 921–947. [Google Scholar] [CrossRef]
- Nicula, N.O.; Lungulescu, E.M.; Ieropoulos, I.A.; Rimbu, G.A.; Csutak, O. Nutrients Removal from Aquaculture Wastewater by Biofilter/Antibiotic-Resistant Bacteria Systems. Water 2022, 14, 607. [Google Scholar] [CrossRef]
- Nicula, N.O.; Lungulescu, E.M.; Rimbu, G.A.; Culcea, A.; Csutak, O. Nutrient and Organic Pollutants Removal in Synthetic Wastewater by Pseudomonas aeruginosa and Chryseobacterium sp./Biofilter Systems. Environ. Monit. Assess. 2022, 194, 881. [Google Scholar] [CrossRef] [PubMed]
- Li, J.; Jin, Q.; Liang, Y.; Geng, J.; Xia, J.; Chen, H.; Yun, M. Highly Efficient Removal of Nitrate and Phosphate to Control Eutrophication by the Dielectrophoresis-Assisted Adsorption Method. Int. J. Environ. Res. Public Health 2022, 19, 1890. [Google Scholar] [CrossRef] [PubMed]
- Zou, X.; Zhou, Y.; Yang, S.-T. Production of Polymalic Acid and Malic Acid by Aureobasidium Pullulans Fermentation and Acid Hydrolysis. Biotechnol. Bioeng. 2013, 110, 2105–2113. [Google Scholar] [CrossRef]
- Avram, I.; Pelinescu, D.; Stoica, I.; Marutescu, L.; Vassu, T. Phenotypic Profiles of Virulence in Different Candida Species Isolated from Vulvovaginal Infections. Roum. Arch. Microbiol. Immunol. 2013, 72, 225–233. [Google Scholar]
- Kacprzak, M.; Neczaj, E.; Okoniewska, E. The Comparative Mycological Analysis of Wastewater and Sewage Sludges from Selected Wastewater Treatment Plants. Desalination 2005, 185, 363–370. [Google Scholar] [CrossRef]
- Hamed, S.Z. Isolation and Identification of Yeasts along Wastewater Treatment Lines at Zagazig Plant. Ann. Agric. Sci. Moshtohor 2016, 54, 77–84. [Google Scholar] [CrossRef]
- Gómez-Gaviria, M.; Mora-Montes, H.M. Current Aspects in the Biology, Pathogeny, and Treatment of Candida krusei, a Neglected Fungal Pathogen. Infect. Drug Resist. 2020, 13, 1673–1689. [Google Scholar] [CrossRef]
- Rufino, R.D.; de Luna, J.M.; Sarubbo, L.A.; Rodrigues, L.R.M.; Teixeira, J.A.C.; de Campos-Takaki, G.M. Antimicrobial and Anti-Adhesive Potential of a Biosurfactants Produced by Candida Species. In Practical Applications in Biomedical Engineering; IntechOpen: Rijeka, Croatia, 2013; ISBN 978-953-51-0924-2. [Google Scholar]
- Carrillo, C.; Teruel, J.A.; Aranda, F.J.; Ortiz, A. Molecular Mechanism of Membrane Permeabilization by the Peptide Antibiotic Surfactin. Biochim. Biophys. Acta 2003, 1611, 91–97. [Google Scholar] [CrossRef] [PubMed]
- Kitamoto, K. Molecular Biology of the Koji Molds. In Advances in Applied Microbiology; Laskin, A.I., Bennett, J.W., Gadd, G.M., Eds.; Academic Press: Cambridge, MA, USA, 2002; pp. 129–153. [Google Scholar]
- Zhao, A.; Sun, J.; Liu, Y. Understanding Bacterial Biofilms: From Definition to Treatment Strategies. Front. Cell. Infect. Microbiol. 2023, 13, 1137947. [Google Scholar] [CrossRef] [PubMed]
- Percival, S.L.; Suleman, L.; Vuotto, C.; Donelli, G. Healthcare-Associated Infections, Medical Devices and Biofilms: Risk, Tolerance and Control. J. Med. Microbiol. 2015, 64, 323–334. [Google Scholar] [CrossRef] [PubMed]
- Jamiu, A.T.; Albertyn, J.; Sebolai, O.M.; Pohl, C.H. Update on Candida krusei, a Potential Multidrug-Resistant Pathogen. Med. Mycol. 2021, 59, 14–30. [Google Scholar] [CrossRef]
- Sachivkina, N.; Podoprigora, I.; Bokov, D. Morphological Characteristics of Candida albicans, Candida krusei, Candida guilliermondii, and Candida glabrata Biofilms, and Response to Farnesol. Vet. World 2021, 14, 1608–1614. [Google Scholar] [CrossRef] [PubMed]
- Díaz De Rienzo, M.A.; Banat, I.M.; Dolman, B.; Winterburn, J.; Martin, P.J. Sophorolipid Biosurfactants: Possible Uses as Antibacterial and Antibiofilm Agent. New Biotechnol. 2015, 32, 720–726. [Google Scholar] [CrossRef] [PubMed]
- Shah, V.; Jurjevic, M.; Badia, D. Utilization of Restaurant Waste Oil as a Precursor for Sophorolipid Production. Biotechnol. Progress. 2007, 23, 512–515. [Google Scholar] [CrossRef]
- Salehi, R.; Savabi, O.; Kazemi, M.; Kamali, S.; Salehi, A.R.; Eslami, G.; Tahmourespour, A. Effects of Lactobacillus reuteri-Derived Biosurfactant on the Gene Expression Profile of Essential Adhesion Genes (gtfB, gtfC and Ftf) of Streptococcus Mutans. Adv. Biomed. Res. 2014, 3, 169. [Google Scholar] [CrossRef]
- Shatila, F.; Uyar, E.; Yalçın, H.T. Screening of Biosurfactant Production by Yarrowia lipolytica Strains and Evaluation of Their Antibiofilm and Anti-Adhesive Activities against Salmonella enterica Ser. enteritidis Biofilms. Microbiology 2021, 90, 839–847. [Google Scholar] [CrossRef]










| Sample Code | Description |
|---|---|
| P1 | Rhodotorula mucilaginosa CMGB-G1 |
| P2 | Rhodotorula mucilaginosa CMGB 188 |
| Sw | Synthetic wastewater |
| Pb | Synthetic wastewater + Pb2+ |
| Cd | Synthetic wastewater + Cd2+ |
| Bio Y | Synthetic wastewater + Biosurfactant obtained from Yarrowia lipolytica CMGM32 |
| Bio Y + Pb | Synthetic wastewater + Biosurfactant obtained from Yarrowia lipolytica CMGM32 + Pb2+ |
| Bio Y + Cd | Synthetic wastewater + Biosurfactant obtained from Yarrowia lipolytica CMGM32 + Cd2+ |
| Time (h) | Rhodotorula mucilaginosa CMGB-G1 (P1) | ||||||
|---|---|---|---|---|---|---|---|
| Parameters | Sw | Pb | Cd | Bio Y | Bio Y + Pb | Bio Y + Cd | |
| 0 | Conductivity (µS·cm−1) | 1078 | 1040 | 1075 | 1264 | 1262 | 1180 |
| pH | 7.23 | 7.12 | 7.11 | 7.34 | 7.34 | 7.32 | |
| 24 | Conductivity (µS·cm−1) | 1094 | 1070 | 1115 | 1286 | 1280 | 1270 |
| pH | 6.86 | 6.44 | 6.68 | 6.34 | 6.49 | 7.06 | |
| 48 | Conductivity (µS·cm−1) | 1855 | 1900 | 1889 | 2234 | 2205 | 2265 |
| pH | 6.31 | 6.26 | 6.95 | 6.60 | 6.34 | 6.95 | |
| 96 | Conductivity (µS·cm−1) | 1866 | 1899 | 1720 | 2266 | 2273 | 2099 |
| pH | 6.84 | 6.14 | 7.31 | 7.21 | 7.41 | 7.36 | |
| 120 | Conductivity (µS·cm−1) | 1906 | 1961 | 1746 | 2135 | 2177 | 2019 |
| pH | 7.35 | 6.91 | 7.49 | 7.83 | 7.95 | 7.84 | |
| Rhodotorula mucilaginosa CMGB188 (P2) | |||||||
| 0 | Conductivity (µS·cm−1) | 1072 | 1076 | 1072 | 1260 | 1261 | 1237 |
| pH | 7.19 | 7.11 | 7.11 | 7.34 | 7.34 | 7.33 | |
| 24 | Conductivity (µS·cm−1) | 1090 | 1086 | 1100 | 1286 | 1280 | 1282 |
| pH | 6.75 | 6.5 | 6.77 | 6.43 | 6.43 | 7.24 | |
| 48 | Conductivity (µS·cm−1) | 1868 | 1858 | 1864 | 2230 | 2220 | 2267 |
| pH | 6.26 | 6.22 | 6.79 | 6.45 | 6.37 | 7.01 | |
| 96 | Conductivity (µS·cm−1) | 1879 | 1877 | 1832 | 2267 | 2280 | 2179 |
| pH | 6.31 | 6.12 | 7.38 | 7.32 | 7.44 | 7.3 | |
| 120 | Conductivity (µS·cm−1) | 1936 | 1926 | 1750 | 2156 | 2197 | 2145 |
| pH | 7.07 | 6.96 | 7.39 | 7.82 | 7.92 | 7.7 | |
Disclaimer/Publisher’s Note: The statements, opinions and data contained in all publications are solely those of the individual author(s) and contributor(s) and not of MDPI and/or the editor(s). MDPI and/or the editor(s) disclaim responsibility for any injury to people or property resulting from any ideas, methods, instructions or products referred to in the content. |
© 2024 by the authors. Licensee MDPI, Basel, Switzerland. This article is an open access article distributed under the terms and conditions of the Creative Commons Attribution (CC BY) license (https://creativecommons.org/licenses/by/4.0/).
Share and Cite
Csutak, O.E.; Nicula, N.-O.; Lungulescu, E.-M.; Marinescu, V.; Corbu, V.M. Yarrowia lipolytica CMGB32 Biosurfactants Produced Using n-Hexadecane: Developing Strategies for Environmental Remediation. Appl. Sci. 2024, 14, 3048. https://doi.org/10.3390/app14073048
Csutak OE, Nicula N-O, Lungulescu E-M, Marinescu V, Corbu VM. Yarrowia lipolytica CMGB32 Biosurfactants Produced Using n-Hexadecane: Developing Strategies for Environmental Remediation. Applied Sciences. 2024; 14(7):3048. https://doi.org/10.3390/app14073048
Chicago/Turabian StyleCsutak, Ortansa Elisabeta, Nicoleta-Oana Nicula, Eduard-Marius Lungulescu, Virgil Marinescu, and Viorica Maria Corbu. 2024. "Yarrowia lipolytica CMGB32 Biosurfactants Produced Using n-Hexadecane: Developing Strategies for Environmental Remediation" Applied Sciences 14, no. 7: 3048. https://doi.org/10.3390/app14073048
APA StyleCsutak, O. E., Nicula, N.-O., Lungulescu, E.-M., Marinescu, V., & Corbu, V. M. (2024). Yarrowia lipolytica CMGB32 Biosurfactants Produced Using n-Hexadecane: Developing Strategies for Environmental Remediation. Applied Sciences, 14(7), 3048. https://doi.org/10.3390/app14073048

