Sign in to use this feature.

Years

Between: -

Subjects

remove_circle_outline
remove_circle_outline
remove_circle_outline
remove_circle_outline
remove_circle_outline
remove_circle_outline
remove_circle_outline

Journals

remove_circle_outline

Article Types

Countries / Regions

Search Results (2)

Search Parameters:
Keywords = SJM micro-parameters

Order results
Result details
Results per page
Select all
Export citation of selected articles as:
17 pages, 10415 KB  
Article
Calibration Method of PFC3D Micro-Parameters under Impact Load
by Zehua Zhang, Wenle Gao and Yuming Kou
Appl. Sci. 2024, 14(7), 3020; https://doi.org/10.3390/app14073020 - 3 Apr 2024
Cited by 2 | Viewed by 3129
Abstract
Micro-parameter calibration is essential in constructing an accurate and reliable numerical model of particle discrete element PFC3D 6.0 software. Micro-parameter calibration is mainly accomplished according to the macro-parameters obtained from static or quasi-static laboratory tests such as UCS. However, there is little current [...] Read more.
Micro-parameter calibration is essential in constructing an accurate and reliable numerical model of particle discrete element PFC3D 6.0 software. Micro-parameter calibration is mainly accomplished according to the macro-parameters obtained from static or quasi-static laboratory tests such as UCS. However, there is little current research concerning the calibration method under impact load. An SJM micro-parameter calibration method, based on the SHPB rock test and the FLAC3D/PFC3D coupling method, is proposed to solve this problem. Firstly, UCS, SHPB, and other laboratory rock tests were carried out to determine the rock sample’s macroscopic physical and mechanical parameters. Secondly, the FLAC3D/PFC3D numerical coupling model of the SHPB test was established, and the single-factor and double-factor orthogonal numerical simulation was carried out. Then, the main micro-parameters that affect the macroscopic physical and mechanical parameters of the SJM particle discrete element model were proposed. Finally, the quantitative relationship between the model’s macro-parameters and micro-parameters was established through multiple linear regression. A set of PFC3D micro-parameter calibration processes under impact load was established. The relative errors of the macro-parameters obtained from laboratory and numerical tests totaled less than 5%, which further verifies the rationality of the calibration method. This method provides some reference values for PFC3D micro-parameter calibration under impact load. Full article
(This article belongs to the Section Civil Engineering)
Show Figures

Figure 1

18 pages, 57919 KB  
Article
Macroscopic Mechanical Properties of Brittle Materials with a 3D Internal Crack Based on Particle Flow Simulations
by Suling Chang, Zaiquan Wang and Yu Cong
Sustainability 2023, 15(5), 4563; https://doi.org/10.3390/su15054563 - 3 Mar 2023
Cited by 2 | Viewed by 2089
Abstract
Pre-existing cracks significantly influence the macro-mechanical properties of rock. The macro-mechanical properties and crack propagation process of brittle materials with a 3D internal crack were investigated with PFC3D simulation in this paper. To determine the micro-parameters, the influence of micro-parameters on the [...] Read more.
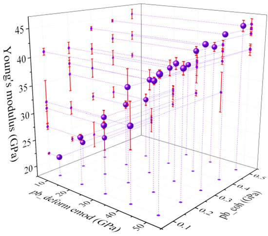
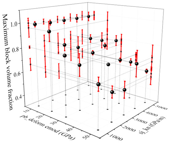
Pre-existing cracks significantly influence the macro-mechanical properties of rock. The macro-mechanical properties and crack propagation process of brittle materials with a 3D internal crack were investigated with PFC3D simulation in this paper. To determine the micro-parameters, the influence of micro-parameters on the macro-mechanical properties and ultimate failure mode was discussed. SJM’s parameters had little influence on the macro-mechanical properties and ultimate failure mode. Peak axial stress was changed greatly by strength parameters and friction coefficient, and the macro-elastic modulus was influenced greatly by Young’s modulus and changed slightly with other parameters. The failure mode changed gradually with all micro-parameters except Young’s modulus, which had a strong but irregular impact on it. The peak stress was 138 MPa in the simulation of the sample with a 3D internal crack, which agreed well with the experimental result (137 MPa). The crack propagation process can be divided into three stages: 17% of total crack was generated in the initial stage; 76% of the total crack was propagated when main failure surface coalesced; finally, the failure surface expanded downwards and caused the sample to be destroyed. Cracks initially appeared near the end of the lower major axis of the internal crack, which was in agreement with experimental results. The results demonstrated that PFC3D is a reliable method to simulate the failure process of brittle materials with internal cracks. Full article
(This article belongs to the Special Issue Deep Mining Engineering in Sustainability)
Show Figures

Figure 1

Back to TopTop