Design and On-Orbit Performance of the Payload Rack Thermal Management System for China Space Station Experimental Lab Module
Abstract
1. Introduction
2. Payload Characteristics and Thermal Control Requirements
2.1. The Overall Distribution of Payloads in CSS
- Heat conduction installation boundary
- 2.
- Air convection environment
- 3.
- Radiation background environment
- 4.
- The boundary of fluid heat dissipation

2.2. Thermal Characteristics of Payloads and Control Requirements
3. Thermal Control System Scheme and Unit Design
3.1. Framework and Scheme
3.2. First-Stage TCB
3.2.1. Operating Principle
3.2.2. Fluid Drive Device
3.3. Second-Stage Thermal Control System inside the Rack
3.3.1. Operating Principle
3.3.2. Design of Thermal Control Terminal
4. Regulation Method and Characteristics Analysis
4.1. Pump Bypass Model and Control Characteristics Subsection
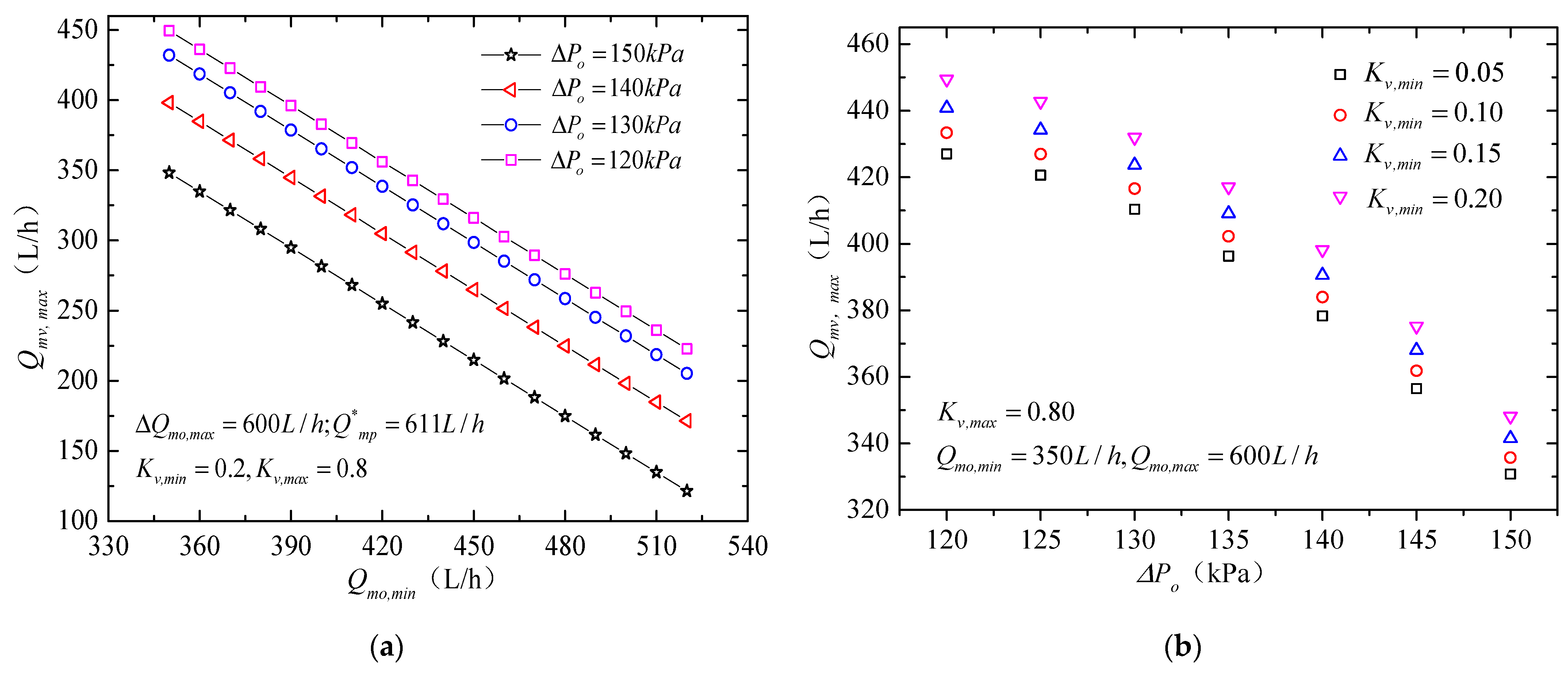
4.2. Valve Model and Control Characteristics
- (1)
- Considering the influence of pump characteristics, load flow resistance coefficient and the number of parallel branches, the operating characteristic curve of the actual flow path will be deformed.
- (2)
- Linear- and logarithmic-type valves have ideal characteristics, which can compensate for the effect of flow resistance due to load, therefore having strong ability to resist saturation.
- (3)
- In the practical application, it is necessary to build an optimized valve resistance ratio. A large valve resistance ratio will lead to a decrease in carrying capacity and a decrease in system efficiency, which will lead to an increase in system power consumption. If the valve resistance ratio is too small, the regulating capacity of branch will be limited and the regulating range of flow rate will be lower under constant pressure difference.
5. Flight Verification and Data Analysis
5.1. The Composition of Thermal Management System of a Certain Module
5.2. On-Orbit Parameters and Boundary Conditions
5.3. Key Parameters of Fluid Network On-Orbit
5.4. Analysis of Two-Stage Fluid Network Regulation Effect
5.5. Analysis of Heat Transfer Characteristics On-Orbit
5.5.1. Heat Transfer Characteristics of TCB in Module
5.5.2. Analysis of Heat Transfer Characteristics inside Payload Rack
6. Conclusions
- The two-stage thermal management system based on single-phase fluid circuit and parallel bus can effectively solve the system heat dissipation and diversified thermal control requirements of the cluster space payloads.
- Based on the pump bypass structure of the system, the proper increase in working pressure difference in TCB is conducive to improve the flow rate control capacity of the downstream rack, and also to reduce the work flow rate of the circulating pump under the same flow rate output capacity of TCB, which will reduce system power consumption.
- A reasonable valve resistance ratio is the key to control ability in the rack. Too large a valve resistance ratio will lead to an increase in resource costs under the same flow rate demand, and too small a valve resistance ratio will lead to insufficient control and compensation ability.
Author Contributions
Funding
Institutional Review Board Statement
Informed Consent Statement
Data Availability Statement
Acknowledgments
Conflicts of Interest
References
- Yu, X.G.; Meng, F.K.; Han, H.Y. The development of manned spacecraft thermal control technology in our country. Spacecr. Eng. 2022, 31, 156–165. [Google Scholar] [CrossRef]
- Miao, J.Y.; Zhong, Q. Thermal Control Technology of Spacecraft, 1st ed.; Beijing Institute of Technology Press: Beijing, China, 2018. [Google Scholar]
- Hou, Z.Q.; Hu, J.G. Thermal Control Technology of Spacecraft-Principle and Application, 3rd ed.; China Science and Technology Press: Beijing, China, 2007. [Google Scholar]
- Min, G.R.; Guo, S. Spacecraft Thermal Control, 2nd ed.; Science Press: Beijing, China, 1998. [Google Scholar]
- Ning, X.W.; Li, J.D.; Wang, Y.Y.; Jiang, F. Review on construction of new spacecraft thermal control system in China. Acta Aeronaut. Astronaut. Sin. 2019, 40, 022874. [Google Scholar] [CrossRef]
- Ning, X.W.; Xu, K.; Wang, Y.Y.; Jiang, F. Chang’e-5 complex of lander and ascent vehicle lightweight pumped fluid loop thermal bus: Design and implementation. J. Aeronaut. 2022, 43, 126292. [Google Scholar] [CrossRef]
- Birur, G.; Bhandari, P. Mars Pathfinder Active Thermal Control System: Ground and Flight Performance of a Mechanically Pumped Loop. In Proceedings of the AIAA Thermophysics Conference, Atlanta, GA, USA, 23–25 June 1997. [Google Scholar]
- Guo, Z.Y.; Liang, X.G.; Zhang, X.R. Space Station heat management. Chin. Sci. Bull. 2001, 23, 1403–1408. [Google Scholar]
- Li, M.H.; Ren, J.X.; Liang, X.G. Application of heat pump integrated with waste heat recycle in thermal management system of space station. Acta Energiae Solaris Sin. 2002, 23, 181–186. [Google Scholar]
- Zhou, Z.X.; Huang, J.Y.; Zhang, H.X.; Zhao, L. Development and prospect of spacecraft thermal control technology in China. Spacecr. Eng. 2023, 32, 1–9. [Google Scholar] [CrossRef]
- Yan, Y. Development process and follow-up planning of International Space Station. Space Int. 2021, 4, 16–24. [Google Scholar]
- Wieland, P.O.; Roman, M.C. Living Together in Space: The International Space Station Internal Active Thermal Control System Issues and Solutions-Sustaining Engineering Activities at the Marshall Space Flight Center from 1998 to 2005; Marshall Space Flight Center: Huntsville, AL, USA, 2007. [Google Scholar]
- De Palo, S.; Klingberg, T.; Persson, J. Control Stability Analysis Applied to Columbus ATCS; SAE Technical Paper; SAE: Warrendale, PA, USA, 2009. [Google Scholar]
- Thurman, R.L. Active Thermal Control of Parallel Heat Loads on Space Station US Laboratory Module; SAE Technical Paper; SAE: Warrendale, PA, USA, 1994. [Google Scholar]
- Sleiman, A.Y. Active Thermal Control System Kit for International Standard Payload Rack. In Proceedings of the 25th International Conference on Environmental Systems, San Diego, CA, USA, 10–13 July 1995. [Google Scholar] [CrossRef]
- Vaccaneo, P.; Gottero, M. The Thermal Environmental Control (TEC) of the Fluid Science Laboratory (FSL): A Combined (Water/Air) Thermal Design Solution for a Columbus Active Rack. In Proceedings of the 31st International Conferenceon Environmental Systems, Orlando, Florida, USA, 9–12 July 2001. [Google Scholar] [CrossRef]
- Julian, D.; Kohlhase, A.O.; Porth, N. An advanced columbus thermal and environmental control system. SpaceOps 2012, 2012, 1292285. [Google Scholar] [CrossRef][Green Version]
- Wang, X.; Zhang, Q.; Wang, W. System characteristics and prospect of China Space Station. Spacecr. Eng. 2022, 31, 26–39. [Google Scholar] [CrossRef]
- Yang, R. The Construction Road of China Space Station. PLA Daily, 28 October 2022. [Google Scholar] [CrossRef]
- Chen, B. The basic configuration of the “T” shape of the Chinese Space Station has been assembled On-orbit. Satell. Appl. 2022, 11, 70. [Google Scholar]
- Gu, Y.D. The China Space Station: A new opportunity for space science. Natl. Sci. Rev. 2022, 9, nwab219. [Google Scholar] [CrossRef] [PubMed]
- Fluid Physics, Two-Phase Systems, High-Precision Time-Frequency. What’s in the Science Locker? Nine Scientists Are Hard-Core Science. Available online: https://export.shobserver.com/baijiahao/html/544617.html (accessed on 17 September 2022).
- The Lab Module of “Wen Tian”. Available online: https://baike.so.com/doc/30100326-31725326.html (accessed on 31 October 2022).
- Let’s Visit the New Classroom and Explain the 4 Racks in the Lab Module of “Wen Tian”. Available online: https://china.zjol.com.cn/gnxw/202210/t20221012_24916388.shtml (accessed on 12 October 2022).
- Yan, J. Discussion about Bus-Mechanical Hydraulic Circuit. Met. Mater. Metall. Eng. 2008, 36, 25–27. [Google Scholar]
- Qu, S.L.; Wu, Y.B.; Zhao, H.B. Study on flow regulation characteristics of valve in water distribution system. Fluid Mach. 2003, 31, 16–18. [Google Scholar]
- Chen, S. Analysis and optimization of valve flow characteristics. Electromech. Inf. 2018, 540, 88–89. [Google Scholar]























| Name | Description | Type 1 * | Type 2 * | Type 3 * |
|---|---|---|---|---|
| Payload layout | Layout Feature | Centralized and regular layout | Large enclosed space, small-size discrete distribution | Special-shaped layout, personalized layout |
| Heat consumption | Indicators (W) | <300 W | 300–1000 W | 1000–2300 W |
| Tem Stability | Indicator (°C/h) | ±5 °C/h | ±0.5–1 °C/h | mK/h |
| Objective | Electronics equipment | Optical load | Basic physical load | |
| Tem level | Indicators (°C) | −10–45 °C | 0–10 °C | 4 °C, −20 °C, −80 °C |
| Objective | Electronics equipment | Low-temperature load | Biological sample | |
| Tem Uniformity | / | No special needs | ≯5 °C | ≯10 mK |
| Mode of operation | / | Continuously | Discontinuous | Monorail time-sharing work |
| Other constraints | / | Contact heat transfer | Non-contact heat transfer | Heat transfer without disturbance |
| Indicator Type | Key Indicators | Parameter |
|---|---|---|
| Performance indicators | Flow rate of TCB (L/h) | ≮600 |
| Operating pressure (kPa) | 150–180 | |
| Pressure difference in TCB (kPa) | ≮75 | |
| Temperature (°C) | 19–26 | |
| Flow rate of load equipment branch (L/h) | (60 ± 10) | |
| Flow rate of payload rack (L/h) | 30–170 | |
| Boundary conditions | Temperature of heat exchanger (°C) | 16–22 |
| Flow rate of heat exchanger (L/h) | 500 ± 50 | |
| Air temperature inside module (°C) | 19–26 °C |
| Data Sources | Flow Rate (L/h) | Pressure Difference (kPa) | Pump Speed (rpm) |
|---|---|---|---|
| Ground | 670.2–677.6 | 193.2–196.2 | 9060–9120 |
| On-orbit | 666.8–674.7 | 195.6–201.1 | 9060–9120 |
| Mean Deviation | 0.467% | 1.87% | 0 |
| Number | Name of the Payload | (W) | Valve Opening |
|---|---|---|---|
| 1 | Load equipment 1–3 | 268 | = 30% |
| 2 | Payload rack 1 | 345 | = 35% = 30% = 30% |
| 3 | Payload rack 2 | 420 | = 32% = 5% 1 = 47% |
| 4 | Payload rack 3 | 95 | = 24% = 5% 1 = 5% |
| 5 | Payload rack 4 | 185 | = 28% = 5% 1 = 36% |
| 6 | Payload rack 5 | 72–1050 W | = 38% = 44% = 5% |
| 7 | Payload rack 6 | 0 | = 5% 1 = 5% 1 |
| 8 | Payload rack 7 | 360 | = 22% = 40% |
| 9 | Total of the module | 1745–2723 | / |
| Name of Payload | Object | (%) | (W) | (°C) | (W) | |
|---|---|---|---|---|---|---|
| Payload rack 1 | Branch 1 | 35 | 3.5 | 211.51 | ||
| Branch 2 | 30 | 1.3 | 41.30 | |||
| Total of rack | 345 | 2.4 | 296.55 | 85.96% | ||
| Payload rack 2 | Branch 1 | 32 | 1.5 | 55.14 | ||
| Branch 2 | 5 | 2.2 | 0.00 | |||
| Total of rack | 420 | 3.3 | 368.35 | 87.70% | ||
| Payload rack 4 | Branch 1 | 28 | 2.9 | 93.95 | ||
| Branch 2 | 5 | 2.2 | 0.00 | |||
| Total of rack | 185 | 1.8 | 165.03 | 89.21% | ||
| Payload rack 5 | Branch 1 | 38 | 2.7 | 165.41 | ||
| Branch 2 | 44 | 11.6 | 799.77 | |||
| Total of rack | 1050 | 7 | 911.45 | 86.80% | ||
| Payload rack 7 | Branch 1 | 22 | 1.8 | 82.80 | ||
| Branch 2 | 40 | 2.8 | 209.62 | |||
| Total of rack | 360 | 2.5 | 302.16 | 83.93% | ||
| The whole module | 2723 | 3.3 | 2279.99 | 83.73% |
Disclaimer/Publisher’s Note: The statements, opinions and data contained in all publications are solely those of the individual author(s) and contributor(s) and not of MDPI and/or the editor(s). MDPI and/or the editor(s) disclaim responsibility for any injury to people or property resulting from any ideas, methods, instructions or products referred to in the content. |
© 2024 by the authors. Licensee MDPI, Basel, Switzerland. This article is an open access article distributed under the terms and conditions of the Creative Commons Attribution (CC BY) license (https://creativecommons.org/licenses/by/4.0/).
Share and Cite
Guo, D.; Xie, M.; Xia, X.; Wang, W.; Xue, J.; Cao, J.; Wang, Z.; Sheng, Q.; Wang, K. Design and On-Orbit Performance of the Payload Rack Thermal Management System for China Space Station Experimental Lab Module. Appl. Sci. 2024, 14, 2938. https://doi.org/10.3390/app14072938
Guo D, Xie M, Xia X, Wang W, Xue J, Cao J, Wang Z, Sheng Q, Wang K. Design and On-Orbit Performance of the Payload Rack Thermal Management System for China Space Station Experimental Lab Module. Applied Sciences. 2024; 14(7):2938. https://doi.org/10.3390/app14072938
Chicago/Turabian StyleGuo, Dong, Ming Xie, Xinlin Xia, Wei Wang, Jing Xue, Jiaokun Cao, Ze Wang, Qiang Sheng, and Ke Wang. 2024. "Design and On-Orbit Performance of the Payload Rack Thermal Management System for China Space Station Experimental Lab Module" Applied Sciences 14, no. 7: 2938. https://doi.org/10.3390/app14072938
APA StyleGuo, D., Xie, M., Xia, X., Wang, W., Xue, J., Cao, J., Wang, Z., Sheng, Q., & Wang, K. (2024). Design and On-Orbit Performance of the Payload Rack Thermal Management System for China Space Station Experimental Lab Module. Applied Sciences, 14(7), 2938. https://doi.org/10.3390/app14072938

