Determining Steady-State Operation Criteria Using Transient Performance Modelling and Steady-State Diagnostics
Abstract
1. Introduction
2. Theoretical Background
- The energy balance equation between components on the same shaft, due to the existence of the shaft acceleration or deceleration power;
- The energy equation of the components, due to the presence of heat transfer between the fluid and the component solid walls;
- The continuity and momentum equation of the components, due to the inertia and compressibility of the fluid within the component.
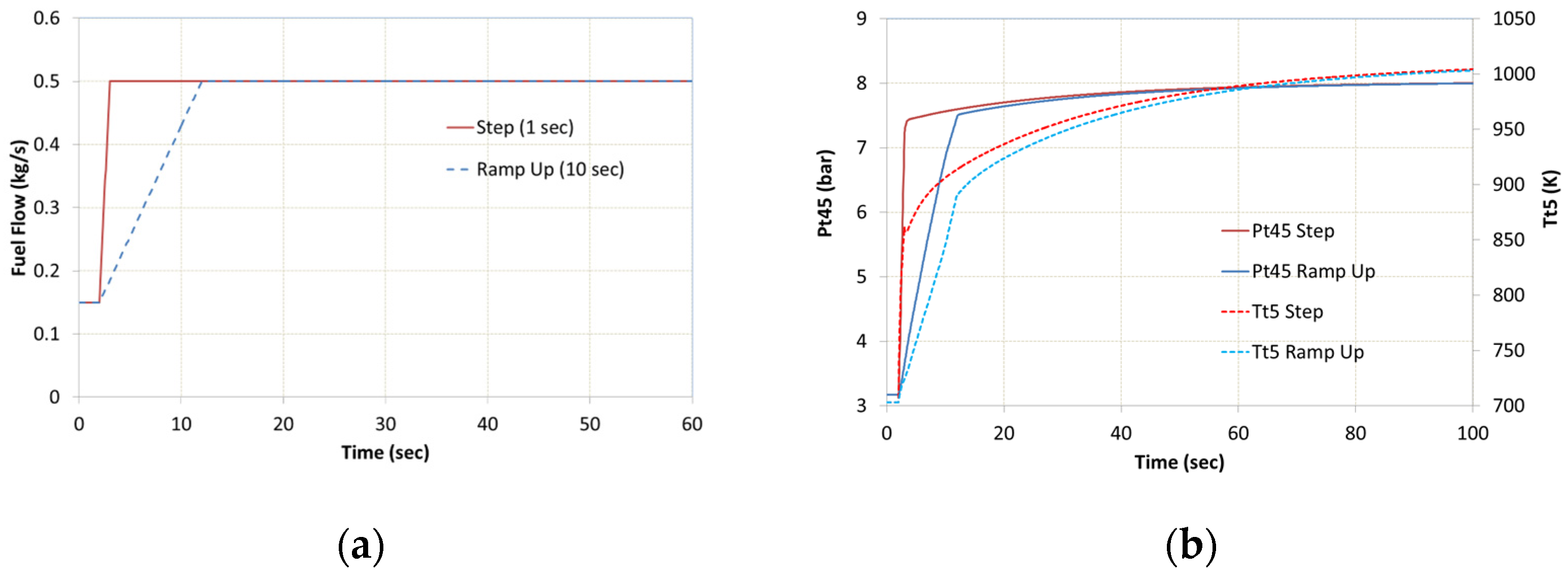
3. Principles Demonstration through Application Example
Application to Typical Transients
4. Discussion
5. Steady-State Criterion Derivation from Flight Data
- The magnitude of the slope that is used as a threshold, a choice that has been substantiated in our analysis in the preceding sections.
- The size of the window for calculating the slope, since the data collected contain noise.
6. Conclusions
Author Contributions
Funding
Institutional Review Board Statement
Informed Consent Statement
Data Availability Statement
Conflicts of Interest
Nomenclature
| Symbols | |
| A | Area |
| Cp | Specific heat capacity |
| Function | |
| Health factor | |
| h | Heat transfer coefficient |
| I | Moment of Inertia |
| m | Mass of metal |
| n | Isentropic efficiency |
| NH | High-pressure spool rotational speed |
| NL | Low-pressure spool rotational speed |
| P | Power |
| Pt | Total pressure |
| Efficiency health factor | |
| SW | Flow health factor |
| Tm | Metal temperature |
| Tt | Total temperature |
| Vector of parameters setting the operating point | |
| W | Mass flow rate |
| Wf | Fuel flow rate |
| Δf | Health factors deviation |
| ΔΥ | Measurements deviation |
| Measurement vector | |
| ω | Rotational velocity |
| Subscripts/Superscripts | |
| Acceleration | |
| Compressor | |
| Gas | |
| i | Station number |
| ref | Reference |
| SS | Steady state |
| TR | Transient |
| Turbine | |
References
- Li, J.; Ying, Y.; Wu, Z. Gas turbine gas-path fault diagnosis in power plant under transient operating condition with variable geometry compressor. Energy Sci. Eng. 2022, 10, 3423–3442. [Google Scholar] [CrossRef]
- Li, J.; Ying, Y. Gas turbine gas path diagnosis under transient operating conditions: A steady state performance model based local optimization approach. Appl. Therm. Eng. 2020, 170, 115025. [Google Scholar] [CrossRef]
- Chen, Y.-Z.; Tsoutsanis, E.; Wang, C.; Gou, L.-F. A time-series turbofan engine successive fault diagnosis under both steady-state and dynamic conditions. Energy J. 2023, 263, 125848. [Google Scholar] [CrossRef]
- Tsoutsanis, E.; Qureshi, I.; Hesham, M. Performance diagnostics of gas turbines operating under transient conditions based on dynamic engine model and artificial neural networks. J. Eng. Appl. AI 2023, 126, 106936. [Google Scholar] [CrossRef]
- Salilew, W.M.; Abdul Karim, Z.A.; Lemma, T.A.; Fentaye, A.D.; Kyprianidis, K.G. Three Shaft Industrial Gas Turbine Transient Performance Analysis. Sens. J. 2023, 23, 1767. [Google Scholar] [CrossRef] [PubMed]
- Volponi, A.J.; Tang, L. Improved Engine Health Monitoring Using Full Flight Data and Companion Engine Information. SAE Int. J. Aerosp. 2016, 9, 91–102. [Google Scholar] [CrossRef]
- Tang, L.; Volponi, A.J.; Prihar, E. Extending Engine Gas Path Analysis Using Full Flight Data. In Proceedings of the ASME Turbo Expo 2019, Phoenix, AZ, USA, 17–21 June 2019. [Google Scholar] [CrossRef]
- Weiss, M.; Staudacher, S.; Becchio, D.; Keller, C.; Mathes, J. Steady-State Fault Detection with Full-Flight Data. Machines 2022, 10, 140. [Google Scholar] [CrossRef]
- Cao, S.; Rhinehart, R.R. An efficient method for on-line identification of steady state. J. Process Control 1995, 5, 363–374. [Google Scholar] [CrossRef]
- Simon, D.L.; Litt, J.S. A Data Filter for Identifying Steady-State Operating Points in Engine Flight Data for Condition Monitoring Applications. In Proceedings of the ASME Turbo Expo 2010, Glasgow, UK, 14–18 June 2010. [Google Scholar] [CrossRef]
- Davison, C.R. Determination of Steady State Gas Turbine Operation. In Proceedings of the ASME Turbo Expo 2012, Copenhagen, Denmark, 11–15 June 2012. [Google Scholar] [CrossRef]
- Celis, C.; Xavier, É.; Teixeira, T.; Pinto, G.R.S. Steady State Detection in Industrial Gas Turbines for Condition Monitoring and Diagnostics Applications. In Proceedings of the ASME Turbo Expo 2014, Düsseldorf, Germany, 16–20 June 2014. [Google Scholar] [CrossRef]
- Putz, A.; Staudacher, S.; Koch, C.; Brandes, T. Jet Engine Gas Path Analysis Based on Takeoff Performance Snapshots. J. Eng. Gas Turbines Power 2017, 139, 111201. [Google Scholar] [CrossRef]
- Wang, P.; Liu, K.; Tang, Z. Turbofan Engine Baseline Model Extraction Based on FDR Data. In Proceedings of the Chinese Control And Decision Conference (CCDC), Nanchang, China, 3–5 June 2019. [Google Scholar] [CrossRef]
- Vazquez, L.; Blanco, J.M.; Ramis, R.; Peña, F.; Diaz, D. Robust methodology for steady state measurements estimation based framework for a reliable long term thermal power plant operation performance monitoring. Energy J. 2015, 93, 923–944. [Google Scholar] [CrossRef]
- Wang, Z.; Gu, Y. A steady-state detection method based on Gaussian discriminant analysis for the on-line gas turbine process. Appl. Therm. Eng. 2018, 133, 1–7. [Google Scholar] [CrossRef]
- Mashoshin, O.F.; Kharmats, I.G. Application of the method of insignificant divergences to diagnose the technical aircraft gas turbine engine state under the transient-state conditions of its operation. Civil Aviat. High Technol. 2023, 26, 81–95. [Google Scholar] [CrossRef]
- Huang, D.; Ma, S.; Zhou, D.; Jia, X.; Peng, Z.; Ma, Y. Gas path fault diagnosis for gas turbine engines with fully operating regions using mode identification and model matching. Meas. Sci. Technol. 2022, 34, 015903. [Google Scholar] [CrossRef]
- Stamatis, A.; Mathioudakis, K.; Ruiz, J.; Curnock, B. Real Time Engine Model Implementation for Adaptive Control & Performance Monitoring of Large Civil Turbofans. In Proceedings of the ASME Turbo Expo 2001, New Orleans, LA, USA, 4–7 June 2001. [Google Scholar] [CrossRef]
- Alexiou, A.; Mathioudakis, K. Development of Gas Turbine Performance Models using a Generic Simulation Tool. In Proceedings of the ASME Turbo Expo 2005, Reno, NV, USA, 6–9 June 2005. [Google Scholar] [CrossRef]
- Kim, S.; Kim, K.; Son, C. Transient system simulation for an aircraft engine using a data-driven model. Energy J. 2020, 196, 117046. [Google Scholar] [CrossRef]
- Aretakis, N.; Roumeliotis, I.; Alexiou, A.; Romesis, C.; Mathioudakis, K. Turbofan Engine Health Assessment From Flight Data. ASME J. Eng. Gas Turbines Power 2015, 137, 041203. [Google Scholar] [CrossRef]
- EcosimPro|PROOSIS Modelling and Simulation Software. Available online: http://www.proosis.com/ (accessed on 22 March 2024).
- Stamatis, A.; Mathioudakis, K.; Papailiou, K.D. Adaptive Simulation of Gas Turbine Performance. ASME J. Eng. Gas. Turbines Power 1990, 112, 168–175. [Google Scholar] [CrossRef]
- Mathioudakis, K. (National Technical University of Athens, 15780 Athens, Greece). Aegean Airlines: Data from an intra-European flight. Personal communication, 2019. [Google Scholar]
- Bose, N.K.; Liang, P. Neural Network Fundamentals with Graphs, Algorithms and Applications, 1st ed.; McGraw-Hill College: New York, NY, USA, 1995. [Google Scholar]

















Disclaimer/Publisher’s Note: The statements, opinions and data contained in all publications are solely those of the individual author(s) and contributor(s) and not of MDPI and/or the editor(s). MDPI and/or the editor(s) disclaim responsibility for any injury to people or property resulting from any ideas, methods, instructions or products referred to in the content. |
© 2024 by the authors. Licensee MDPI, Basel, Switzerland. This article is an open access article distributed under the terms and conditions of the Creative Commons Attribution (CC BY) license (https://creativecommons.org/licenses/by/4.0/).
Share and Cite
Mathioudakis, K.; Aretakis, N.; Alexiou, A. Determining Steady-State Operation Criteria Using Transient Performance Modelling and Steady-State Diagnostics. Appl. Sci. 2024, 14, 2863. https://doi.org/10.3390/app14072863
Mathioudakis K, Aretakis N, Alexiou A. Determining Steady-State Operation Criteria Using Transient Performance Modelling and Steady-State Diagnostics. Applied Sciences. 2024; 14(7):2863. https://doi.org/10.3390/app14072863
Chicago/Turabian StyleMathioudakis, Konstantinos, Nikolaos Aretakis, and Alexios Alexiou. 2024. "Determining Steady-State Operation Criteria Using Transient Performance Modelling and Steady-State Diagnostics" Applied Sciences 14, no. 7: 2863. https://doi.org/10.3390/app14072863
APA StyleMathioudakis, K., Aretakis, N., & Alexiou, A. (2024). Determining Steady-State Operation Criteria Using Transient Performance Modelling and Steady-State Diagnostics. Applied Sciences, 14(7), 2863. https://doi.org/10.3390/app14072863
